The Predictive Role of the Triglyceride/High-Density Lipoprotein Ratio and the Triglyceride–Glucose Index, Along with Anthropometric Measurements, in Diagnosing Non-Alcoholic Fatty Liver Disease in Obese Kids and Juveniles, and the Evaluation of Novel Cardiovascular Risk Markers in Pediatric NAFLD
Highlights
- TG/HDL ratio and TyG index show a significant increase in obese children with NAFLD.
- Cardiovascular risk indices increase in obese children with NAFLD.
- TG/HDL ratio and TyG index are very significant parameters in the early detection of NAFLD.
- The development of NAFLD in obese children also increases the risk of cardiovascular disease.
Abstract
1. Introduction
2. Materials and Methods
- ∗
- Reviewing hospital records to determine any history of chronic illness
- ∗
- Taking a detailed medical history from the family
- ∗
- Performing comprehensive blood tests
- ∗
- Assessing growth and development parameters and vital signs
2.1. Exclusion Criteria
2.2. Statistical Analysis
3. Results
4. Discussion
5. Limitations
Author Contributions
Funding
Institutional Review Board Statement
Informed Consent Statement
Data Availability Statement
Conflicts of Interest
References
- Vos, M.B.; Abrams, S.H.; Barlow, S.E.; Caprio, S.; Daniels, S.R.; Kohli, R.; Mouzaki, M.; Sathya, P.; Schwimmer, J.B.; Sundaram, S.S.; et al. NASPGHAN Clinical Practice Guideline for the Diagnosis and Treatment of Nonalcoholic Fatty Liver Disease in Children. J. Pediatr. Gastroenterol. Nutr. 2017, 64, 319–334. [Google Scholar] [CrossRef] [PubMed]
- Zhang, S.; Du, T.; Zhang, J.; Lu, H.; Lin, X.; Xie, J.; Yang, Y.; Yu, X. The triglyceride and glucose index (TyG) is an effective biomarker to identify nonalcoholic fatty liver disease. Lipids Health Dis. 2017, 16, 15. [Google Scholar] [CrossRef] [PubMed]
- Lee, S.B.; Kim, M.K.; Kang, S.; Park, K.; Kim, J.H.; Baik, S.J.; Nam, J.S.; Ahn, C.W.; Park, J.S. Triglyceride Glucose Index Is Superior to the Homeostasis Model Assessment of Insulin Resistance for Predicting Nonalcoholic Fatty Liver Disease in Korean Adults. Endocrinol. Metab. 2019, 34, 179–186. [Google Scholar] [CrossRef]
- Sahota, A.K.; Shapiro, W.L.; Newton, K.P.; Kim, S.T.; Chung, J.; Schwimmer, J.B. Incidence of Nonalcoholic Fatty Liver Disease in Children: 2009–2018. Pediatrics 2020, 146, e20200771. [Google Scholar] [CrossRef]
- Yu, E.L.; Golshan, S.; Harlow, K.E.; Angeles, J.E.; Durelle, J.; Goyal, N.P.; Newton, K.P.; Sawh, M.C.; Hooker, J.; Sy, E.Z.; et al. Prevalence of Nonalcoholic Fatty Liver Disease in Children with Obesity. J. Pediatr. 2019, 207, 64–70. [Google Scholar] [CrossRef]
- Chalasani, N.; Younossi, Z.; Lavine, J.E.; Diehl, A.M.; Brunt, E.M.; Cusi, K.; Charlton, M.; Sanyal, A.J. The Diagnosis and Management of Non-alcoholic Fatty Liver Disease: Practice Guideline by the American Gastroenterological Association, American Association for the Study of Liver Diseases, and American College of Gastroenterology. Gastroenterology 2012, 142, 1592–1609. [Google Scholar] [CrossRef]
- Marchesini, G.; Moscatiello, S.; Di Domizio, S.; Forlani, G. Obesity-associated liver disease. J. Clin. Endocrinol. Metab. 2008, 93, S74–S80. [Google Scholar] [CrossRef]
- Lim, J.; Kim, J.; Koo, S.H.; Kwon, G.C. Comparison of triglyceride glucose index, and related parameters to predict insulin resistance in Korean adults: An analysis of the 2007-2010 Korean National Health and Nutrition Examination Survey. PLoS ONE 2019, 14, e0212963. [Google Scholar] [CrossRef]
- Moriyama, K. Associations Between the Triglyceride to High-Density Lipoprotein Cholesterol Ratio and Metabolic Syndrome, Insulin Resistance, and Lifestyle Habits in Healthy Japanese. Metab. Syndr. Relat. Disord. 2020, 18, 260–266. [Google Scholar] [CrossRef]
- Farrell, G.C.; Wong, V.W.-S.; Chitturi, S. NAFLD in Asia—as common and important as in the West. Nat. Rev. Gastroenterol. Hepatol. 2013, 10, 307–318. [Google Scholar] [CrossRef]
- Cui, Y.; Blumenthal, R.S.; Flaws, J.A.; Whiteman, M.K.; Langenberg, P.; Bachorik, P.S.; Bush, T.L. Non–High-Density Lipoprotein Cholesterol Level as a Predictor of Cardiovascular Disease Mortality. Arch. Intern. Med. 2001, 161, 1413–1419. [Google Scholar] [CrossRef]
- Kurtoğlu, S.; Hatipoğlu, N.; Mazıcıoğlu, M.; Kendirci, M.; Keskin, M.; Kondolot, M. Insulin Resistance in Obese Children and Adolescents: HOMA-IR Cut-Off Levels in the Prepubertal and Pubertal Periods - Original Article. J. Clin. Res. Pediatr. Endocrinol. 2010, 2, 100–106. [Google Scholar] [CrossRef]
- Simental-Mendía, L.E.; Rodríguez-Morán, M.; Guerrero-Romero, F. The Product of Fasting Glucose and Triglycerides As Surrogate for Identifying Insulin Resistance in Apparently Healthy Subjects. Metab. Syndr. Relat. Disord. 2008, 6, 299–304. [Google Scholar] [CrossRef] [PubMed]
- Dobiášová, M. Atherogenic Index of Plasma [Log(Triglycerides/HDL-Cholesterol)]: Theoretical and Practical Implications. Clin. Chem. 2004, 50, 1113–1115. [Google Scholar] [CrossRef]
- Wu, J.; Chen, S.; Liu, L.; Gao, X.; Zhou, Y.; Wang, C.; Zhang, Q.; Wang, A.; Hussain, M.; Sun, B.; et al. Non-high-density lipoprotein cholesterol vs low-density lipoprotein cholesterol as a risk factor for ischemic stroke: A result from the Kailuan study. Neurol. Res. 2013, 35, 505–511. [Google Scholar] [CrossRef]
- Stampfer, M.J.; Sacks, F.M.; Salvini, S.; Willett, W.C.; Hennekens, C.H. A prospective study apolipoproteins, of cholesterol, and the risk of myocardial infarction. N. Engl. J. Med. 1991, 325, 373–381. [Google Scholar] [CrossRef]
- Berenson, G.S.; Srinivasan, S.R.; Bao, W.; Newman, W.P.; Tracy, R.E.; Wattigney, W.A. Association between Multiple Cardiovascular Risk Factors and Atherosclerosis in Children and Young Adults. N. Engl. J. Med. 1998, 338, 1650–1656. [Google Scholar] [CrossRef]
- Trochimczyk, K.; Flisiak-Jackiewicz, M.; Bobrus-Chociej, A.; Lebensztejn, A.; Wojtkowska, M.; Jamiołkowski, J.; Lebensztejn, D.M. Insulin resistance indices in obese children with MAFLD. Med. Sci. Monit. 2024, 30, e943375-1. [Google Scholar]
- Awujoola, A.O.; Torga, A.P.; Valencia, J.E.; Alemneh, H.; Prince, O.P.; Kant, S.P. Utility of the TG/HDL-CRatio in Estimating Pediatric Cardiometabolic Risk in a Community Hospital. Children 2024, 11, 1277. [Google Scholar] [CrossRef]
- Kim, H.J. Significance of Triglyceride-to-High Density Lipoprotein Cholesterol Ratio in Children with Non-Alcoholic Fatty Liver Disease. Pediatr. Gastroenterol. Hepatol. Nutr. 2023, 26, 312–319. [Google Scholar] [CrossRef]
- Chu, S.-Y.; Jung, J.-H.; Park, M.-J.; Kim, S.-H. Risk assessment of metabolic syndrome in adolescents using the triglyceride/high-density lipoprotein cholesterol ratio and the total cholesterol/high-density lipoprotein cholesterol ratio. Ann. Pediatr. Endocrinol. Metab. 2019, 24, 41–48. [Google Scholar] [CrossRef]
- Kawano, Y.; Cohen, D.E. Mechanisms of hepatic triglyceride accumulation in non-alcoholic fatty liver disease. J. Gastroenterol. 2013, 48, 434–441. [Google Scholar] [CrossRef] [PubMed]
- Alam, S.; Mustafa, G.; Alam, M.; Ahmad, N. Insulin resistance in development and progression of nonalcoholic fatty liver disease. World J. Gastrointest. Pathophysiol. 2016, 7, 211–217. [Google Scholar] [CrossRef] [PubMed]
- Song, K.; Lee, H.W.; Choi, H.S.; Park, G.; Lee, H.S.; Kim, S.J.; Lee, M.; Suh, J.; Kwon, A.; Kim, H.-S.; et al. Comparison of the Modified TyG Indices and Other Parameters to Predict Non-Alcoholic Fatty Liver Disease in Youth. Biology 2022, 11, 685. [Google Scholar] [CrossRef]
- de Brito, A.D.M.; Hermsdorff, H.H.M.; Filgueiras, M.D.S.; Suhett, L.G.; Vieira-Ribeiro, S.A.; Franceschini, S.D.C.C.; de Novaes, J.F. Predictive capacity of triglyceride-glucose (TyG) index for insulin resistance and cardiometabolic risk in children and adolescents: A systematic review. Crit. Rev. Food Sci. Nutr. 2020, 61, 2783–2792. [Google Scholar] [CrossRef]
- Guo, W.; Lu, J.; Qin, P.; Li, X.; Zhu, W.; Wu, J.; Xu, N.; Zhang, Q. The triglyceride-glucose index is associated with the severity of hepatic steatosis and the presence of liver fibrosis in non-alcoholic fatty liver disease: A cross-sectional study in Chinese adults. Lipids Health Dis. 2020, 19, 218. [Google Scholar] [CrossRef]
- Simental-Mendía, L.E.; Ortega-Pacheco, C.J.; García-Guerrero, E.; Sicsik-Aragón, M.A.; Guerrero-Romero, F.; Martínez-Aguilar, G. The triglycerides and glucose index is strongly associated with hepatic steatosis in children with overweight or obesity. Eur. J. Pediatr. 2021, 180, 1755–1760. [Google Scholar] [CrossRef]
- Simental-Mendía, L.E.; Ortega-Pacheco, C.J.; García-Guerrero, E.; Sicsik-Aragón, M.A.; Guerrero-Romero, F.; Martínez-Aguilar, G. Comparison of the Triglyceride Glucose Index and Modified Triglyceride Glucose Indices to Predict Nonalcoholic Fatty Liver Disease in Youths. J. Pediatr. 2022, 242, 79–85. [Google Scholar] [CrossRef]
- Zhang, S.; Du, T.; Li, M.; Jia, J.; Lu, H.; Lin, X.; Yu, X. Triglyceride glucose-body mass index is effective in identifying nonalcoholic fatty liver disease in nonobese subjects. Medicine 2017, 96, e7041. [Google Scholar] [CrossRef]
- Khoury, M.; Manlhiot, C.; McCrindle, B.W. Role of the waist/height ratio in the cardiometabolic risk assessment of children classified by body mass index. J. Am. Coll. Cardiol. 2013, 62, 742–751. [Google Scholar] [CrossRef]
- Maffeis, C.; Banzato, C.; Talamini, G. Obesity Study Group of the Ital ian Society of Pediatric Endocrinology and Diabetology. Waist-to height ratio, a useful index to identify high metabolic risk in over weight children. J. Pediatr. 2008, 152, 207–213. [Google Scholar] [CrossRef] [PubMed]
- Choi, M.; Lee, S.; Bae, S.H.; Chung, S. Application of body composition zones in boys with nonalcoholic fatty liver disease. Ann. Pediatr. Endocrinol. Metab. 2019, 24, 243–247. [Google Scholar] [CrossRef] [PubMed]
- Williams, D.P.; Going, S.B.; Lohman, T.G.; Harsha, D.W.; Srinivasan, S.R.; Webber, L.S.; Berenson, G.S. Body fatness and risk for elevated blood pressure, total cholesterol, and serum lipoprotein ratios in children and adolescents. Am. J. Public Heal. 1992, 82, 358–363. [Google Scholar] [CrossRef]
- Onat, A.; Can, G.; Kaya, H.; Hergenç, G. “Atherogenic index of plasma”(log10 triglyceride/high-density lipoprote in− cholesterol) predicts high blood pressure, diabetes, and vascular events. J. Clin. Lipidol. 2010, 4, 89–98. [Google Scholar] [CrossRef]
- Zhu, X.; Yu, L.; Zhou, H.; Ma, Q.; Zhou, X.; Lei, T.; Hu, J.; Xu, W.; Yi, N. Atherogenic index of plas ma is a novel and better biomarker associated with obe sity: A population-based cross-sectional study in China. Lipids Health Dis. 2018, 17, 37. [Google Scholar] [CrossRef]
- Shen, S.-W.; Lu, Y.; Li, F.; Yang, C.-J.; Feng, Y.-B.; Li, H.-W.; Yao, W.-F.; Shen, Z.-H. Atherogenic index of plasma is an effective index for estimating abdominal obesity. Lipids Heal. Dis. 2018, 17, 11. [Google Scholar] [CrossRef]
- Zhang, Y.; Tuomilehto, J.; Jousilahti, P.; Wang, Y.; Antikainen, R.; Hu, G. Total and High-Density Lipoprotein Cholesterol and Stroke Risk. Stroke 2012, 43, 1768–1774. [Google Scholar] [CrossRef]
- Sujatha, R.; Kavitha, S. Atherogenic indices in stroke patients: A retrospective study. Iran J. Neurol. 2017, 16, 78–82. [Google Scholar]
- Kinosian, B.; Glick, H.; Garland, G. Cholesterol and Coronary Heart Disease: Predicting Risks by Levels and Ratios. Ann. Intern. Med. 1994, 121, 641–647. [Google Scholar] [CrossRef]
- Furdela, V.; Pavlyshyn, H.; Shulhai, A.-M.; Kozak, K.; Furdela, M. Triglyceride glucose index, pediatric NAFLD fibrosis index, and triglyceride-to-high-density lipoprotein cholesterol ratio are the most predictive markers of the metabolically unhealthy phenotype in overweight/obese adolescent boys. Front. Endocrinol. 2023, 14, 1124019. [Google Scholar] [CrossRef]


| Group 1 NAFLD n = 77 (38.7%) | Group 2 Non-NAFLD n = 73 (36.7%) | Group 3 Control n = 49 (24.6%) | Test-Value | p | Post Hoc | |
|---|---|---|---|---|---|---|
| Age | 11.81 ± 2.90 | 11.75 ± 2.95 | 11.73 ± 2.73 | 0.011 | 0.989 | |
| Gender | ||||||
| Female | 44 (57.1%) | 42 (57.5%) | 28 (57.1%) | 0.003 | 0.999 | |
| Male | 33 (42.9%) | 31 (42.5%) | 21 (42.9%) | |||
| TG/HDL | 3.91 ± 1.96 | 1.57 ± 0.56 | 1.11 ± 0.47 | 92.335 | <0.001 | 1−2, 1−3, 2−3 |
| TyG index | 3.81 ± 0.18 | 3.5 ± 0.14 | 3.37 ± 0.14 | 124.04 | <0.001 | 1−2, 1−3, 2−3 |
| AIP | 0.54 ± 0.20 | 0.16 ± 0.17 | 0.01 ± 0.18 | 142.38 | <0.001 | 1−2, 1−3, 2−3 |
| AC | 2.86 ± 0.77 | 2.15 ± 0.52 | 1.73 ± 0.45 | 54.85 | <0.001 | 1−2, 1−3, 2−3 |
| CRI-I | 3.86 ± 0.77 | 3.15 ± 0.52 | 2.73 ± 0.45 | 54.85 | <0.001 | 1−2, 1−3, 2−3 |
| CRI-II | 2.57 ± 0.61 | 1.95 ± 0.41 | 1.58 ± 0.35 | 66.42 | <0.001 | 1−2, 1−3, 2−3 |
| Group 1 NAFLD n = 77 (51.3%) | Group 2 Non-NAFLD n = 73 (48.7%) | Test-Value | p | |
|---|---|---|---|---|
| HOMA-IR | 4.24 ± 2.43 | 2.66 ± 1.30 | 5.008 | <0.001 |
| BMI (kg/m2) | 28.61 ± 5.12 | 26.34 ± 4.43 | 2.879 | 0.005 |
| BFP (%) | 36.69 ± 8.42 | 33.85 ± 6.73 | 2.272 | 0.025 |
| BFM (kg) | 25.72 ± 11.93 | 20.61 ± 9.66 | 2.871 | 0.005 |
| WC (cm) | 101.22 ± 13.92 | 95.27 ± 13.73 | 2.632 | 0.009 |
| Systolic (mmHg) | 122.69 ± 11.89 | 117.19 ± 12.59 | 2.749 | 0.007 |
| Diastolic (mmHg) | 68.78 ± 10.11 | 66.85 ± 7.78 | 1.313 | 0.191 |
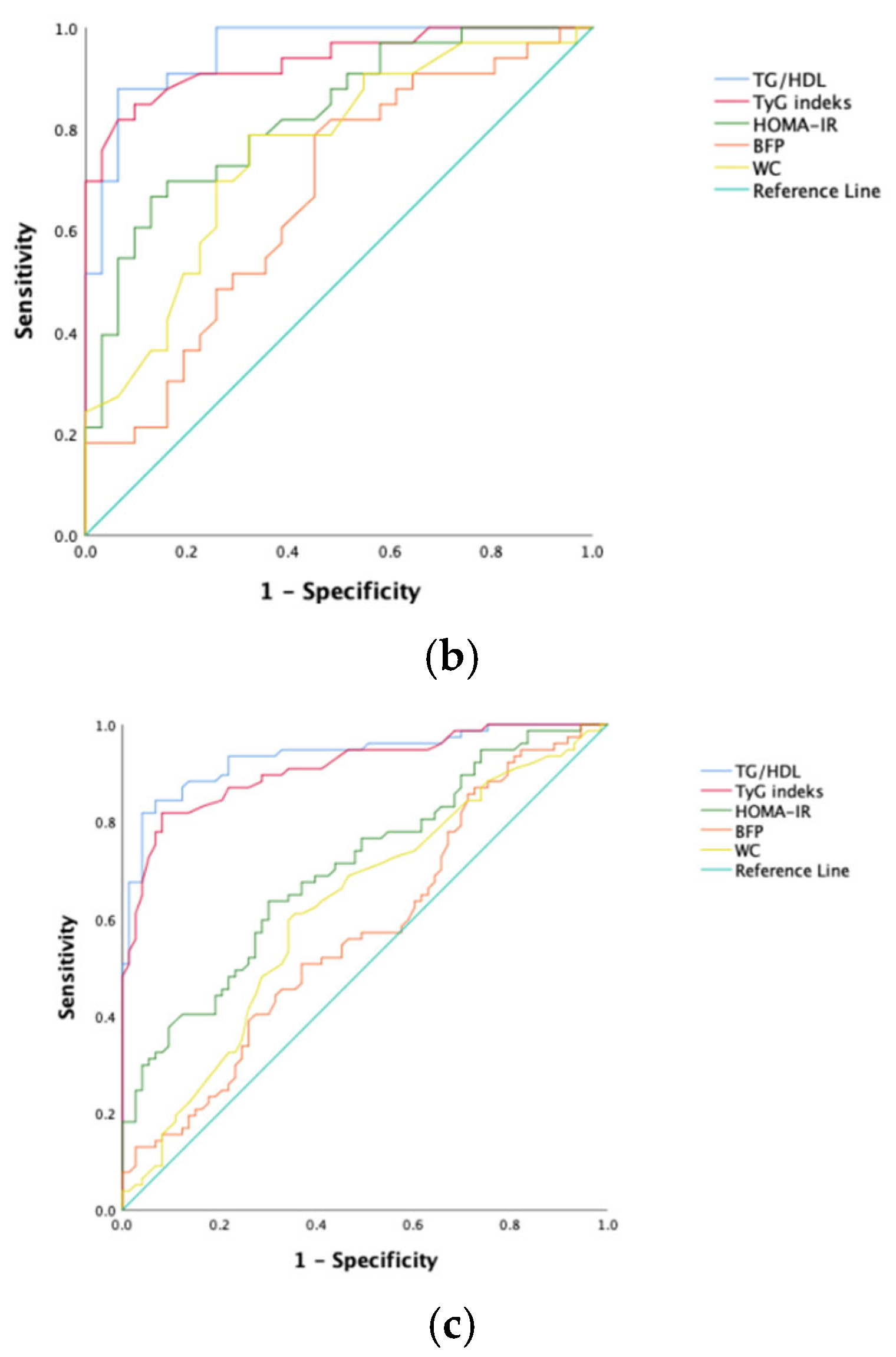
| Variables | Cutoff | Sensitivity | Specificity | Youden Index | AUC (95% CI) | p |
|---|---|---|---|---|---|---|
| All subject | ||||||
| TG/HDL | 2.40 | 0.818 | 0.959 | 0.777 | 0.936 | <0.001 |
| TyG | 3.66 | 0.818 | 0.918 | 0.736 | 0.912 | <0.001 |
| HOMA-IR | 3.09 | 0.636 | 0.699 | 0.335 | 0.705 | <0.001 |
| BFP | 30.25 | 0.857 | 0.288 | 0.145 | 0.574 | 0.118 |
| WC | 99.5 | 0.597 | 0.658 | 0.255 | 0.621 | 0.011 |
| Female | ||||||
| TG/HDL | 2.46 | 0.818 | 0.976 | 0.794 | 0.921 | <0.001 |
| TyG | 3.66 | 0.795 | 0.929 | 0.724 | 0.897 | <0.001 |
| HOMA-IR | 5.01 | 0.25 | 0.952 | 0.202 | 0.596 | 0.124 |
| BFP | 31.75 | 0.432 | 0.690 | 0.122 | 0.501 | 0.993 |
| WC | 99.5 | 0.545 | 0.595 | 0.140 | 0.524 | 0.704 |
| Male | ||||||
| TG/HDL | 2.31 | 0.879 | 0.935 | 0.814 | 0.954 | <0.001 |
| TyG | 3.72 | 0.818 | 0.935 | 0.753 | 0.935 | <0.001 |
| HOMA-IR | 3.35 | 0.667 | 0.871 | 0.538 | 0.825 | <0.001 |
| BFP | 35.30 | 0.485 | 0.742 | 0.227 | 0.669 | 0.020 |
| WC | 93.5 | 0.788 | 0.677 | 0.465 | 0.756 | <0.001 |
Disclaimer/Publisher’s Note: The statements, opinions and data contained in all publications are solely those of the individual author(s) and contributor(s) and not of MDPI and/or the editor(s). MDPI and/or the editor(s) disclaim responsibility for any injury to people or property resulting from any ideas, methods, instructions or products referred to in the content. |
© 2025 by the authors. Licensee MDPI, Basel, Switzerland. This article is an open access article distributed under the terms and conditions of the Creative Commons Attribution (CC BY) license (https://creativecommons.org/licenses/by/4.0/).
Share and Cite
Çığrı, E.; Çatan İnan, F.; Gülten, S.; Bildirici, M.A.; Gökkaya, A.E.; Asıleren, M.; Koyun, M.; Reis, B.; Esen, M. The Predictive Role of the Triglyceride/High-Density Lipoprotein Ratio and the Triglyceride–Glucose Index, Along with Anthropometric Measurements, in Diagnosing Non-Alcoholic Fatty Liver Disease in Obese Kids and Juveniles, and the Evaluation of Novel Cardiovascular Risk Markers in Pediatric NAFLD. Children 2025, 12, 1439. https://doi.org/10.3390/children12111439
Çığrı E, Çatan İnan F, Gülten S, Bildirici MA, Gökkaya AE, Asıleren M, Koyun M, Reis B, Esen M. The Predictive Role of the Triglyceride/High-Density Lipoprotein Ratio and the Triglyceride–Glucose Index, Along with Anthropometric Measurements, in Diagnosing Non-Alcoholic Fatty Liver Disease in Obese Kids and Juveniles, and the Evaluation of Novel Cardiovascular Risk Markers in Pediatric NAFLD. Children. 2025; 12(11):1439. https://doi.org/10.3390/children12111439
Chicago/Turabian StyleÇığrı, Emrah, Funda Çatan İnan, Sedat Gülten, Mehmet Akif Bildirici, Ayşe Ece Gökkaya, Metin Asıleren, Mustafa Koyun, Bahadır Reis, and Merve Esen. 2025. "The Predictive Role of the Triglyceride/High-Density Lipoprotein Ratio and the Triglyceride–Glucose Index, Along with Anthropometric Measurements, in Diagnosing Non-Alcoholic Fatty Liver Disease in Obese Kids and Juveniles, and the Evaluation of Novel Cardiovascular Risk Markers in Pediatric NAFLD" Children 12, no. 11: 1439. https://doi.org/10.3390/children12111439
APA StyleÇığrı, E., Çatan İnan, F., Gülten, S., Bildirici, M. A., Gökkaya, A. E., Asıleren, M., Koyun, M., Reis, B., & Esen, M. (2025). The Predictive Role of the Triglyceride/High-Density Lipoprotein Ratio and the Triglyceride–Glucose Index, Along with Anthropometric Measurements, in Diagnosing Non-Alcoholic Fatty Liver Disease in Obese Kids and Juveniles, and the Evaluation of Novel Cardiovascular Risk Markers in Pediatric NAFLD. Children, 12(11), 1439. https://doi.org/10.3390/children12111439

