Body Composition and Physical Fitness in Madeira Youth
Abstract
1. Introduction
2. Methods
2.1. Procedures and Approval
2.2. Sample and Chronological Age
2.3. Anthropometry
2.4. Cardiorespiratory Fitness
2.5. Horizontal Jump
2.6. Flexibility
2.7. Data Analysis
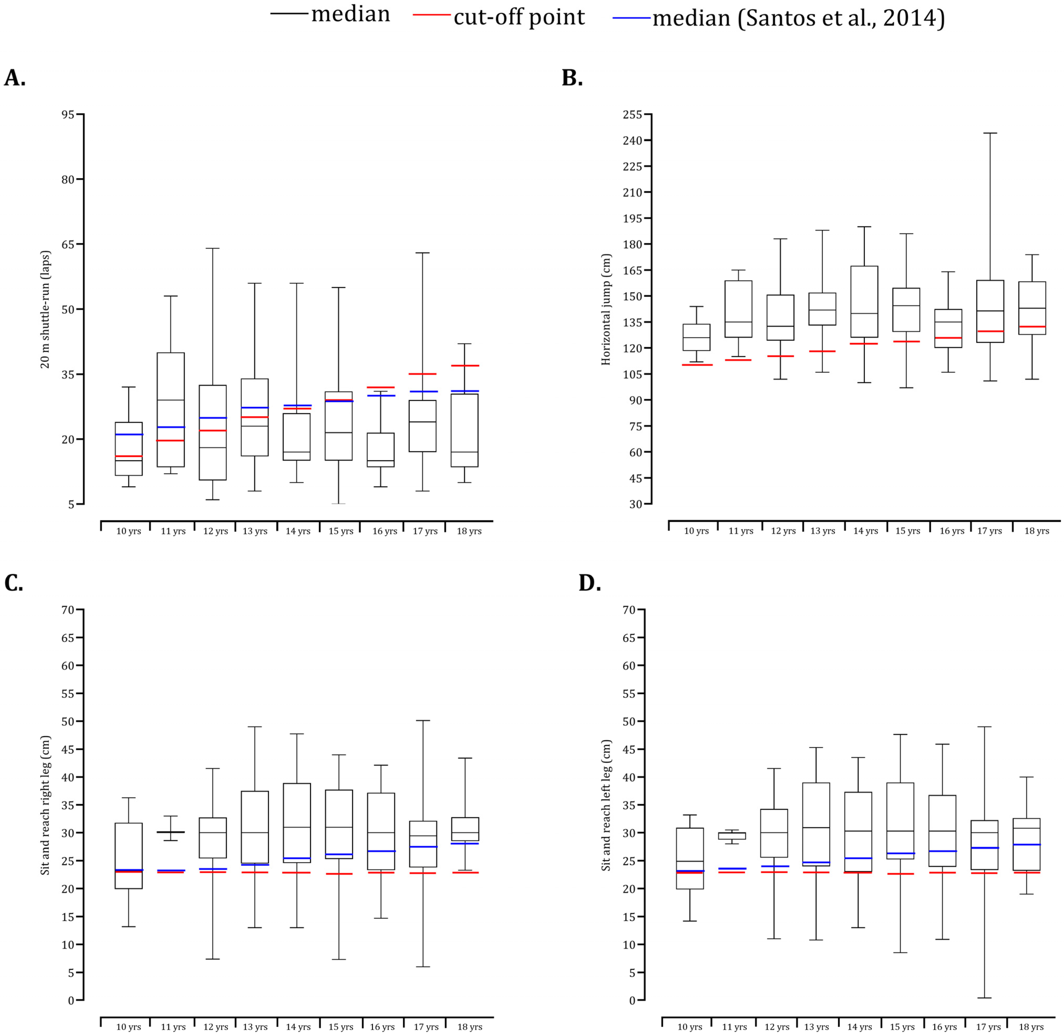
3. Results
4. Discussion
5. Conclusions
Author Contributions
Funding
Institutional Review Board Statement
Informed Consent Statement
Data Availability Statement
Acknowledgments
Conflicts of Interest
References
- Wang, Y.; Lobstein, T. Worldwide trends in childhood overweight and obesity. Int. J. Pediatr. Obes. 2006, 1, 11–25. [Google Scholar] [CrossRef] [PubMed]
- World Health Organization. World Health Statistics 2016: Monitoring Health for the SDGs Sustainable Development Goals; World Health Organization: Geneva, Switzerland, 2016.
- World Health Organization. WHO Guidelines on Physical Activity and Sedentary Behaviour: Web Annex: Evidence Profiles; World Health Organization: Geneva, Switzerland, 2020.
- Oliveira, A.; Araújo, J.; Severo, M.; Correia, D.; Ramos, E.; Torres, D.; Lopes, C. Prevalence of general and abdominal obesity in Portugal: Comprehensive results from the National Food, nutrition and physical activity survey 2015–2016. BMC Public Health 2018, 18, 1–9. [Google Scholar] [CrossRef] [PubMed]
- Moreira, P. Overweight and obesity in Portuguese children and adolescents. J. Public Health 2007, 15, 155–161. [Google Scholar] [CrossRef]
- Ekelund, U.; Sardinha, L.B.; Anderssen, S.A.; Harro, M.; Franks, P.W.; Brage, S.; Cooper, A.R.; Andersen, L.B.; Riddoch, C.; Froberg, K. Associations between objectively assessed physical activity and indicators of body fatness in 9- to 10-y-old European children: A population-based study from 4 distinct regions in Europe (the European Youth Heart Study). Am. J. Clin. Nutr. 2004, 80, 584–590. [Google Scholar] [CrossRef] [PubMed]
- Sousa, B.; Oliveira, B.; Almeida, M.D.V. Assessment of nutritional status in 6- to 10-years-old children of the Autonomous Region of Madeira, Portugal. Public Health Nutr. 2006, 9, 109. [Google Scholar]
- Sardinha, L.B.; Marques, A.; Minderico, C.; Palmeira, A.; Martins, S.; Santos, D.; Ekelund, U. Longitudinal relationship between cardiorespiratory fitness and academic achievement. Med. Sci. Sports Exerc. 2016, 48, 839. [Google Scholar] [CrossRef]
- Teixeira, P.J.; Sardinha, L.B.; Going, S.B.; Lohman, T.G. Total and regional fat and serum cardiovascular disease risk factors in lean and obese children and adolescents. Obes. Res. 2001, 9, 432–442. [Google Scholar] [CrossRef]
- Ribeiro, J.C.; Guerra, S.; Oliveira, J.; Andersen, L.B.; Duarte, J.A.; Mota, J. Body fatness and clustering of cardiovascular disease risk factors in Portuguese children and adolescents. Am. J. Hum. Biol. 2004, 16, 556–562. [Google Scholar] [CrossRef] [PubMed]
- Ness, A.R.; Leary, S.D.; Mattocks, C.; Blair, S.N.; Reilly, J.J.; Wells, J.; Ingle, S.; Tilling, K.; Smith, G.D.; Riddoch, C. Objectively measured physical activity and fat mass in a large cohort of children. PLoS Med. 2007, 4, e97. [Google Scholar] [CrossRef]
- Jiménez-Pavón, D.; Kelly, J.; Reilly, J.J. Associations between objectively measured habitual physical activity and adiposity in children and adolescents: Systematic review. Int. J. Pediatr. Obes. 2010, 5, 3–18. [Google Scholar] [CrossRef]
- Pate, R.R.; Davis, M.G.; Robinson, T.N.; Stone, E.J.; McKenzie, T.L.; Young, J.C. Promoting physical activity in children and youth: A leadership role for schools: A scientific statement from the American Heart Association Council on Nutrition, Physical Activity, and Metabolism (Physical Activity Committee) in collaboration with the Councils on Cardiovascular Disease in the Young and Cardiovascular Nursing. Circulation 2006, 114, 1214–1224. [Google Scholar] [PubMed]
- Santos, R.; Mota, J.; Santos, D.A.; Silva, A.M.; Baptista, F.; Sardinha, L.B. Physical fitness percentiles for Portuguese children and adolescents aged 10–18 years. J. Sports Sci. 2014, 32, 1510–1518. [Google Scholar] [CrossRef] [PubMed]
- Henriques-Neto, D.; Magalhães, J.P.; Júdice, P.; Hetherington-Rauth, M.; Peralta, M.; Marques, A.; Sardinha, L.B. Mediating role of physical fitness and fat mass on the associations between physical activity and bone health in youth. J Sports Sci 2020, 38, 2811–2818. [Google Scholar] [CrossRef]
- Plowman, S.A.; Meredith, M.D. Fitnessgram/Activitygram Reference Guide, 4th ed.; The Cooper Institute: Dallas, TX, USA, 2013. [Google Scholar]
- Janssen, I.; Leblanc, A.G. Systematic review of the health benefits of physical activity and fitness in school-aged children and youth. Int. J. Behav. Nutr. Phys. Act. 2010, 7, 40. [Google Scholar] [CrossRef] [PubMed]
- Konty, K.J.; Day, S.E.; Larkin, M.; Thompson, H.R.; D’Agostino, E.M. Physical fitness disparities among New York City public school youth using standardized methods, 2006–2017. PLoS ONE 2020, 15, e0227185. [Google Scholar] [CrossRef]
- Bai, Y.; Saint-Maurice, P.F.; Welk, G.J.; Allums-Featherston, K.; Candelaria, N.; Anderson, K. Prevalence of Youth Fitness in the United States: Baseline Results from the NFL PLAY 60 FITNESSGRAM Partnership Project. J. Pediatr. 2015, 167, 662–668. [Google Scholar] [CrossRef]
- Colley, R.C.; Clarke, J.; Doyon, C.Y.; Janssen, I.; Lang, J.J.; Timmons, B.W.; Tremblay, M.S. Trends in physical fitness among Canadian children and youth. Health Rep. 2019, 30, 3–13. [Google Scholar]
- Hanssen-Doose, A.; Niessner, C.; Oriwol, D.; Bös, K.; Woll, A.; Worth, A. Population-based trends in physical fitness of children and adolescents in Germany, 2003–2017. Eur. J. Sport Sci. 2021, 21, 1204–1214. [Google Scholar] [CrossRef]
- Costa, A.M.; Costa, M.J.; Reis, A.A.; Ferreira, S.; Martins, J.; Pereira, A. Secular trends in anthropometrics and physical fitness of young Portuguese school-aged children. Acta Med. Port. 2017, 30, 108–114. [Google Scholar] [CrossRef]
- Tomkinson, G.R.; Lang, J.J.; Tremblay, M.S. Temporal trends in the cardiorespiratory fitness of children and adolescents representing 19 high-income and upper middle-income countries between 1981 and 2014. Br. J. Sports Med. 2019, 53, 478–486. [Google Scholar] [CrossRef]
- Ornelas, R.T.; Silva, A.M.; Minderico, C.S.; Sardinha, L.B. Changes in cardiorespiratory fitness predict changes in body composition from childhood to adolescence: Findings from the European Youth Heart Study. Phys. Sportsmed. 2011, 39, 78–86. [Google Scholar] [CrossRef] [PubMed]
- Marques, A.; Santos, R.; Ekelund, U.; Sardinha, L.B. Association between physical activity, sedentary time, and healthy fitness in youth. Med. Sci. Sports Exerc. 2015, 47, 575–580. [Google Scholar] [CrossRef] [PubMed]
- Baranowski, T.; Bouchard, C.; Bar-Or, O.; Bricker, T.; Heath, G.; Kimm, S.; Malina, R.; Obarzanek, E.; Pate, R.; Strong, W.B. Assessment, prevalence, and cardiovascular benefits of physical activity and fitness in youth. Med. Sci. Sports Exerc. 1992, 24, S237–S247. [Google Scholar] [CrossRef] [PubMed]
- Coelho-E-Silva, M.J.; Vaz Ronque, E.R.; Cyrino, E.S.; Fernandes, R.A.; Valente-Dos-Santos, J.; Machado-Rodrigues, A.; Martins, R.; Figueiredo, A.J.; Santos, R.; Malina, R.M. Nutritional status, biological maturation and cardiorespiratory fitness in Azorean youth aged 11-15 years. BMC Public Health 2013, 13, 495. [Google Scholar] [CrossRef] [PubMed]
- Instituto Nacional de Estatística, Censos 2021. Available online: https://censos.ine.pt/xportal/xmain?xpgid=censos21_main&xpid=CENSOS21&xlang=pt (accessed on 22 October 2022).
- Governo da Madeira, Estatísticas Gerais da Educação 2020/2021. Available online: https://www.dgeec.mec.pt/np4/1372.html (accessed on 2 October 2022).
- Association, W.M. World Medical Association Declaration of Helsinki: Ethical principles for medical research involving human subjects. JAMA 2013, 310, 2191–2194. [Google Scholar]
- Kuczmarski, R.J.; Ogden, C.L.; Grummer-Strawn, L.M.; Flegal, K.M.; Guo, S.S.; Wei, R.; Mei, Z.; Curtin, L.R.; Roche, A.F.; Johnson, C.L. CDC Growth Charts: United States. Advance Data from Vital and Health Statistics; No. 314; National Center for Health Statistics: Hyattsville, MD, USA, 2000.
- Slaughter, M.H.; Lohman, T.G.; Boileau, R.; Horswill, C.; Stillman, R.; Van Loan, M.; Bemben, D. Skinfold equations for estimation of body fatness in children and youth. Hum. Biol. 1988, 60, 709–723. [Google Scholar]
- Leger, L.A.; Mercier, D.; Gadoury, C.; Lambert, J. The multistage 20 metre shuttle run test for aerobic fitness. J. Sports Sci. 1988, 6, 93–101. [Google Scholar] [CrossRef]
- Laurson, K.R.; Eisenmann, J.C.; Welk, G.J. Development of youth percent body fat standards using receiver operating characteristic curves. Am. J. Prev. Med. 2011, 41, S93–S99. [Google Scholar] [CrossRef]
- Jolliffe, C.J.; Janssen, I. Development of age-specific adolescent metabolic syndrome criteria that are linked to the Adult Treatment Panel III and International Diabetes Federation criteria. J. Am. Coll. Cardiol. 2007, 49, 891–898. [Google Scholar] [CrossRef]
- Welk, G.J.; Laurson, K.R.; Eisenmann, J.C.; Cureton, K.J. Development of youth aerobic-capacity standards using receiver operating characteristic curves. Am. J. Prev. Med. 2011, 41, S111–S116. [Google Scholar] [CrossRef]
- Ortega, F.B.; Artero, E.G.; Ruiz, J.R.; España-Romero, V.; Jiménez-Pavón, D.; Vicente-Rodríguez, G.; Moreno, L.A.; Manios, Y.; Beghin, L.; Ottevaere, C. Physical fitness levels among European adolescents: The HELENA study. Br. J. Sports Med. 2011, 45, 20–29. [Google Scholar] [CrossRef] [PubMed]
- Freitas, D.; Beunen, G.; Maia, J.; Claessens, A.; Thomis, M.; Marques, A.; Gouveia, É.; Lefevre, J. Tracking of fatness during childhood, adolescence and young adulthood: A 7-year follow-up study in Madeira Island, Portugal. Ann. Hum. Biol. 2012, 39, 59–67. [Google Scholar] [CrossRef] [PubMed]
- Seabra, A.F.; Mendonça, D.M.; Thomis, M.A.; Malina, R.M.; Maia, J.A. Sports participation among Portuguese youth 10 to 18 years. J. Phys. Act. Health 2007, 4, 370–380. [Google Scholar] [CrossRef] [PubMed]
- Sherar, L.; Cumming, S.P. Physical activity, physical fitness and health. In Oxford Textbook of Children’s Sport and Exercise Medicine; Armstrong, N., Van Mechelen, W., Eds.; Oxford University Press: Oxford, UK, 2017; pp. 225–235. [Google Scholar]
- Perez-Bey, A.; Delgado-Alfonso, A.; Aadland, E.; Resaland, G.K.; Martinez-Gomez, D.; Veiga, O.L.; Ponce-Gonzalez, J.G.; Castro-Piñero, J. Fitness, waist circumference and their association with future blood pressure in youth: The UP&DOWN Longitudinal Study. J. Sci. Med. Sport 2021, 24, 573–579. [Google Scholar] [PubMed]
- Minatto, G.; Sousa, T.F.d.; Carvalho, W.R.G.d.; Ribeiro, R.R.; Santos, K.D.; Petroski, E.L. Relação entre aptidão cardiorrespiratória e adiposidade corporal em meninas. Rev. Paul. Pediatr. 2016, 34, 469–475. [Google Scholar] [CrossRef]
- Mendoza-Muñoz, M.; Adsuar, J.C.; Pérez-Gómez, J.; Muñoz-Bermejo, L.; Garcia-Gordillo, M.Á.; Carlos-Vivas, J. Influence of Body Composition on Physical Fitness in Adolescents. Medicina 2020, 56, 328. [Google Scholar] [CrossRef] [PubMed]
- Ruiz, J.R.; Cavero-Redondo, I.; Ortega, F.B.; Welk, G.J.; Andersen, L.B.; Martinez-Vizcaino, V. Cardiorespiratory fitness cut points to avoid cardiovascular disease risk in children and adolescents; what level of fitness should raise a red flag? A systematic review and meta-analysis. Br. J. Sports Med. 2016, 50, 1451–1458. [Google Scholar] [CrossRef]
- Tomkinson, G.R.; Lang, J.J.; Tremblay, M.S.; Dale, M.; LeBlanc, A.G.; Belanger, K.; Ortega, F.B.; Léger, L. International normative 20 m shuttle run values from 1 142 026 children and youth representing 50 countries. Br. J. Sports Med. 2017, 51, 1545–1554. [Google Scholar] [CrossRef]
- Lang, J.J.; Tremblay, M.S.; Ortega, F.B.; Ruiz, J.R.; Tomkinson, G.R. Review of criterion-referenced standards for cardiorespiratory fitness: What percentage of 1 142 026 international children and youth are apparently healthy? Br. J. Sports Med. 2019, 53, 953–958. [Google Scholar] [CrossRef]
- Silva, G.; Andersen, L.B.; Aires, L.; Mota, J.; Oliveira, J.; Ribeiro, J.C. Associations between sports participation, levels of moderate to vigorous physical activity and cardiorespiratory fitness in childrenand adolescents. J. Sports Sci. 2013, 31, 1359–1367. [Google Scholar] [CrossRef]
- Malina, R.M.; Bouchard, C.; Bar-Or, O. Growth, Maturation, and Physical Activity, 2nd ed.; Human Kinetics: Champaign, IL, USA, 2004. [Google Scholar]
- Freitas, D.; Maia, J.; Stasinopoulos, M.; Gouveia, É.R.; Antunes, A.M.; Thomis, M.; Lefevre, J.; Claessens, A.; Hedeker, D.; Malina, R.M. Biological and environmental determinants of 12-minute run performance in youth. Ann. Hum. Biol. 2017, 44, 607–613. [Google Scholar] [CrossRef] [PubMed]





| CA Group, Years | Variables | Boys | Girls | Mean Differences | |
|---|---|---|---|---|---|
| Mean ± SD | Mean ± SD | t | p | ||
| 10.0–10.9 | Height, cm | 142.2 ± 6.7 | 143.0 ± 5.6 | 0.308 | 0.761 |
| n = 12 boys | Weight, kg | 37.0 ± 8.5 | 37.4 ± 6.6 | 0.116 | 0.909 |
| n = 10 girls | BMI, kg·m−2 | 18.1 ± 2.9 | 18.2 ± 2.6 | 0.072 | 0.943 |
| Waist circumference, cm | 67.8 ± 9.8 | 66.1 ± 7.2 | 0.460 | 0.650 | |
| Fat mass, % | 24.0 ± 10.2 | 25.7 ± 8.9 | 0.423 | 0.677 | |
| 11.0–11.9 | Height, cm | 147.6 ± 10.2 | 149.4 ± 5.0 | 0.464 | 0.650 |
| n = 6 boys | Weight, kg | 41.2 ± 9.6 | 39.7 ± 5.9 | 0.380 | 0.710 |
| n = 9 girls | BMI, kg·m−2 | 18.7 ± 2.4 | 17.7 ± 1.9 | 0.893 | 0.388 |
| Waist circumference, cm | 71.1 ± 9.1 | 66.1 ± 6.1 | 1.259 | 0.230 | |
| Fat mass, % | 21.6 ± 6.6 | 20.7 ± 3.9 | 0.309 | 0.762 | |
| 12.0–12.9 | Height, cm | 155.8 ± 7.7 | 156.2 ± 4.9 | 0.271 | 0.787 |
| n = 37 boys | Weight, kg | 53.5 ± 12.9 | 50.8 ± 10.5 | 1.038 | 0.303 |
| n = 40 girls | BMI, kg·m−2 | 21.9 ± 4.5 | 20.7 ± 3.4 | 1.408 | 0164 |
| Waist circumference, cm | 79.3 ± 13.1 | 74.2 ± 9.3 | 1.980 | 0.052 | |
| Fat mass, % | 31.3 ± 12.4 | 26.4 ± 7.2 | 2.101 | 0.040 | |
| 13.0–13.9 | Height, cm | 161.3 ± 8.4 | 157.4 ± 5.2 | 2.703 | 0.008 |
| n = 49 boys | Weight, kg | 54.6 ± 12.6 | 51.2 ± 10.5 | 1.408 | 0.163 |
| n = 43 girls | BMI, kg·m−2 | 20.8 ± 3.6 | 20.6 ± 3.5 | 0.379 | 0.706 |
| Waist circumference, cm | 76.9 ± 12.4 | 73.4 ± 9.5 | 1.498 | 0.138 | |
| Fat mass, % | 23.4 ± 10.3 | 25.7 ± 7.5 | 1.238 | 0.219 | |
| 14.0–14.9 | Height, cm | 164.7 ± 7.3 | 158.5 ± 5.9 | 3.650 | 0.001 |
| n = 34 boys | Weight, kg | 57.2 ± 11.8 | 56.2 ± 12.8 | 0.321 | 0.749 |
| n = 29 girls | BMI, kg·m−2 | 21.0 ± 3.9 | 22.2 ± 4.3 | 1.174 | 0.245 |
| Waist circumference, cm | 77.2 ± 10.8 | 76.6 ± 10.3 | 0.241 | 0.810 | |
| Fat mass, % | 21.0 ± 10.3 | 28.9 ± 9.8 | 3.106 | 0.003 | |
| 15.0–15.9 | Height, cm | 169.3 ± 7.1 | 160.0 ± 6.2 | 6.327 | <0.001 |
| n = 45 boys | Weight, kg | 63.9 ± 16.0 | 57.2 ± 9.8 | 2.272 | 0.026 |
| n = 40 girls | BMI, kg·m−2 | 22.2 ± 5.1 | 22.3 ± 3.8 | 0.154 | 0.878 |
| Waist circumference, cm | 80.8 ± 14.1 | 74.8 ± 8.2 | 2.430 | 0.018 | |
| Fat mass, % | 19.2 ± 7.9 | 26.4 ± 6.5 | 4.596 | <0.001 | |
| 16.0–16.9 | Height, cm | 173.8 ± 6.0 | 161.6 ± 6.7 | 5.504 | <0.001 |
| n = 16 boys | Weight, kg | 67.8 ± 13.8 | 59.0 ± 12.3 | 1.939 | 0.062 |
| n = 17 girls | BMI, kg·m−2 | 22.5 ± 4.9 | 22.5 ± 4.3 | 0.034 | 0.973 |
| Waist circumference, cm | 81.8 ± 13.5 | 76.3 ± 10.4 | 1.310 | 0.200 | |
| Fat mass, % | 19.8 ± 11.6 | 30.4 ± 6.4 | 3.266 | 0.004 | |
| 17.0–17.9 | Height, cm | 172.9 ± 6.6 | 162.0 ± 6.0 | 8.581 | <0.001 |
| n = 41 boys | Weight, kg | 66.0 ± 13.0 | 59.7 ± 13.1 | 2.369 | 0.020 |
| n = 62 girls | BMI, kg·m−2 | 22.0 ± 3.9 | 22.6 ± 4.1 | 0.763 | 0.447 |
| Waist circumference, cm | 80.6 ± 11.3 | 79.0 ± 11.2 | 0.722 | 0.472 | |
| Fat mass, % | 20.5 ± 10.0 | 29.3 ± 10.6 | 4.261 | <0.001 | |
| 18.0–18.9 | Height, cm | 174.7 ± 4.9 | 162.0 ± 3.9 | 7.750 | <0.001 |
| n = 18 boys | Weight, kg | 68.4 ± 11.7 | 58.1 ± 8.4 | 2.707 | 0.011 |
| n = 13 girls | BMI, kg·m−2 | 22.4 ± 3.4 | 22.2 ± 3.3 | 0.160 | 0.874 |
| Waist circumference, cm | 82.4 ± 9.9 | 77.3 ± 8.8 | 1.496 | 0.146 | |
| Fat mass, % | 19.4 ± 1 | 28.1 ± 8.9 | 2.497 | 0.018 | |
| CA Group, Years | Variables | Boys | Girls | Mean Differences | |
|---|---|---|---|---|---|
| Mean ± SD | Mean ± SD | t | p | ||
| 10.0–10.9 | Shuttle run, laps | 23 ± 6 | 18 ± 8 | 1.858 | 0.078 |
| n = 12 boys | Horizontal jump, cm | 129 ± 21 | 127 ± 10 | 0.394 | 0.699 |
| n = 10 girls | Sit and reach RL, cm | 20.1 ± 6.2 | 25.1 ± 7.2 | 1.733 | 0.098 |
| Sit and reach LL, cm | 19.4 ± 6.5 | 25.0 ± 6.0 | 2.082 | 0.050 | |
| 11.0–11.9 | Shuttle run, laps | 27 ± 14 | 29 ± 14 | 0.287 | 0.779 |
| n = 6 boys | Horizontal jump, cm | 131 ± 28 | 140 ± 18 | 0.841 | 0.416 |
| n = 9 girls | Sit and reach RL, cm | 20.9 ± 10.2 | 30.2 ± 1.2 | 2.222 | 0.076 |
| Sit and reach LL, cm | 20.9 ± 8.6 | 29.4 ± 0.8 | 2.412 | 0.060 | |
| 12.0–12.9 | Shuttle run, laps | 23 ± 14 | 22 ± 13 | 0.056 | 0.956 |
| n = 37 boys | Horizontal jump, cm | 143 ± 26 | 136 ± 19 | 1.164 | 0.249 |
| n = 40 girls | Sit and reach RL, cm | 23.8 ± 7.5 | 28.9 ± 5.9 | 3.336 | 0.001 |
| Sit and reach LL, cm | 22.4 ± 7.2 | 29.2 ± 6.1 | 4.447 | <0.001 | |
| 13.0–13.9 | Shuttle run, laps | 37 ± 21 | 26 ± 12 | 3.205 | 0.002 |
| n = 49 boys | Horizontal jump, cm | 161 ± 33 | 142 ± 18 | 3.588 | 0.001 |
| n = 43 girls | Sit and reach RL, cm | 22.3 ± 9.1 | 30.6 ± 8.3 | 4.488 | <0.001 |
| Sit and reach LL, cm | 21.8 ± 8.9 | 30.7 ± 9.0 | 4.743 | <0.001 | |
| 14.0–14.9 | Shuttle run, laps | 40 ± 19 | 22 ± 11 | 4.583 | <0.001 |
| n = 34 boys | Horizontal jump, cm | 173 ± 39 | 143 ± 23 | 3.604 | 0.001 |
| n = 29 girls | Sit and reach RL, cm | 27.9 ± 9.5 | 30.9 ± 9.3 | 1.267 | 0.210 |
| Sit and reach LL, cm | 26.8 ± 10.0 | 30.0 ± 8.6 | 1.350 | 0.182 | |
| 15.0–15.9 | Shuttle run, laps | 44 ± 21 | 24 ± 12 | 5.609 | <0.001 |
| n = 45 boys | Horizontal jump, cm | 178 ± 27 | 144 ± 21 | 6.333 | <0.001 |
| n = 40 girls | Sit and reach RL, cm | 23.2 ± 7.4 | 30.9 ± 8.5 | 4.483 | <0.001 |
| Sit and reach LL, cm | 22.2 ± 8.2 | 30.5 ± 9.3 | 4.352 | <0.001 | |
| 16.0–16.9 | Shuttle run, laps | 43 ± 19 | 17 ± 7 | 5.324 | <0.001 |
| n = 16 boys | Horizontal jump, cm | 193 ± 41 | 134 ± 16 | 5.500 | <0.001 |
| n = 17 girls | Sit and reach RL, cm | 22.4 ± 7.0 | 29.9 ± 8.0 | 2.846 | 0.008 |
| Sit and reach LL, cm | 20.7 ± 9.2 | 30.2 ± 8.4 | 3.073 | 0.004 | |
| 17.0–17.9 | Shuttle run, laps | 49 ± 22 | 25 ± 11 | 6.443 | <0.001 |
| n = 41 boys | Horizontal jump, cm | 193 ± 24 | 145 ± 28 | 9.275 | <0.001 |
| n = 62 girls | Sit and reach RL, cm | 25.2 ± 8.5 | 27.9 ± 7.2 | 1.754 | 0.082 |
| Sit and reach LL, cm | 22.6 ± 8.6 | 27.6 ± 8.0 | 3.003 | 0.003 | |
| 18.0–18.9 | Shuttle run, laps | 47 ± 19 | 22 ± 11 | 4.328 | <0.001 |
| n = 18 boys | Horizontal jump, cm | 202 ± 21 | 142 ± 20 | 8.093 | <0.001 |
| n = 13 girls | Sit and reach RL, cm | 25.8 ± 6.9 | 31.0 ± 4.7 | 2.369 | 0.025 |
| Sit and reach LL, cm | 25.2 ± 8.0 | 29.0 ± 6.5 | 1.422 | 0.166 | |
Publisher’s Note: MDPI stays neutral with regard to jurisdictional claims in published maps and institutional affiliations. |
© 2022 by the authors. Licensee MDPI, Basel, Switzerland. This article is an open access article distributed under the terms and conditions of the Creative Commons Attribution (CC BY) license (https://creativecommons.org/licenses/by/4.0/).
Share and Cite
Martinho, D.V.; Gouveia, É.R.; França, C.; Lopes, H.; Ihle, A.; Marques, A.; Rodrigues, A.; Alves, R.; Sarmento, H. Body Composition and Physical Fitness in Madeira Youth. Children 2022, 9, 1833. https://doi.org/10.3390/children9121833
Martinho DV, Gouveia ÉR, França C, Lopes H, Ihle A, Marques A, Rodrigues A, Alves R, Sarmento H. Body Composition and Physical Fitness in Madeira Youth. Children. 2022; 9(12):1833. https://doi.org/10.3390/children9121833
Chicago/Turabian StyleMartinho, Diogo V., Élvio Rúbio Gouveia, Cíntia França, Helder Lopes, Andreas Ihle, Adilson Marques, Ana Rodrigues, Ricardo Alves, and Hugo Sarmento. 2022. "Body Composition and Physical Fitness in Madeira Youth" Children 9, no. 12: 1833. https://doi.org/10.3390/children9121833
APA StyleMartinho, D. V., Gouveia, É. R., França, C., Lopes, H., Ihle, A., Marques, A., Rodrigues, A., Alves, R., & Sarmento, H. (2022). Body Composition and Physical Fitness in Madeira Youth. Children, 9(12), 1833. https://doi.org/10.3390/children9121833

