Comparing Life Expectancy Determinants between Saudi Arabia and United Arab Emirates from 1980–2020
Abstract
1. Introduction
2. Materials and Methods
2.1. Study Design, Data Results, and Data Collection
2.2. The Conceptual Model and Statistical Analysis
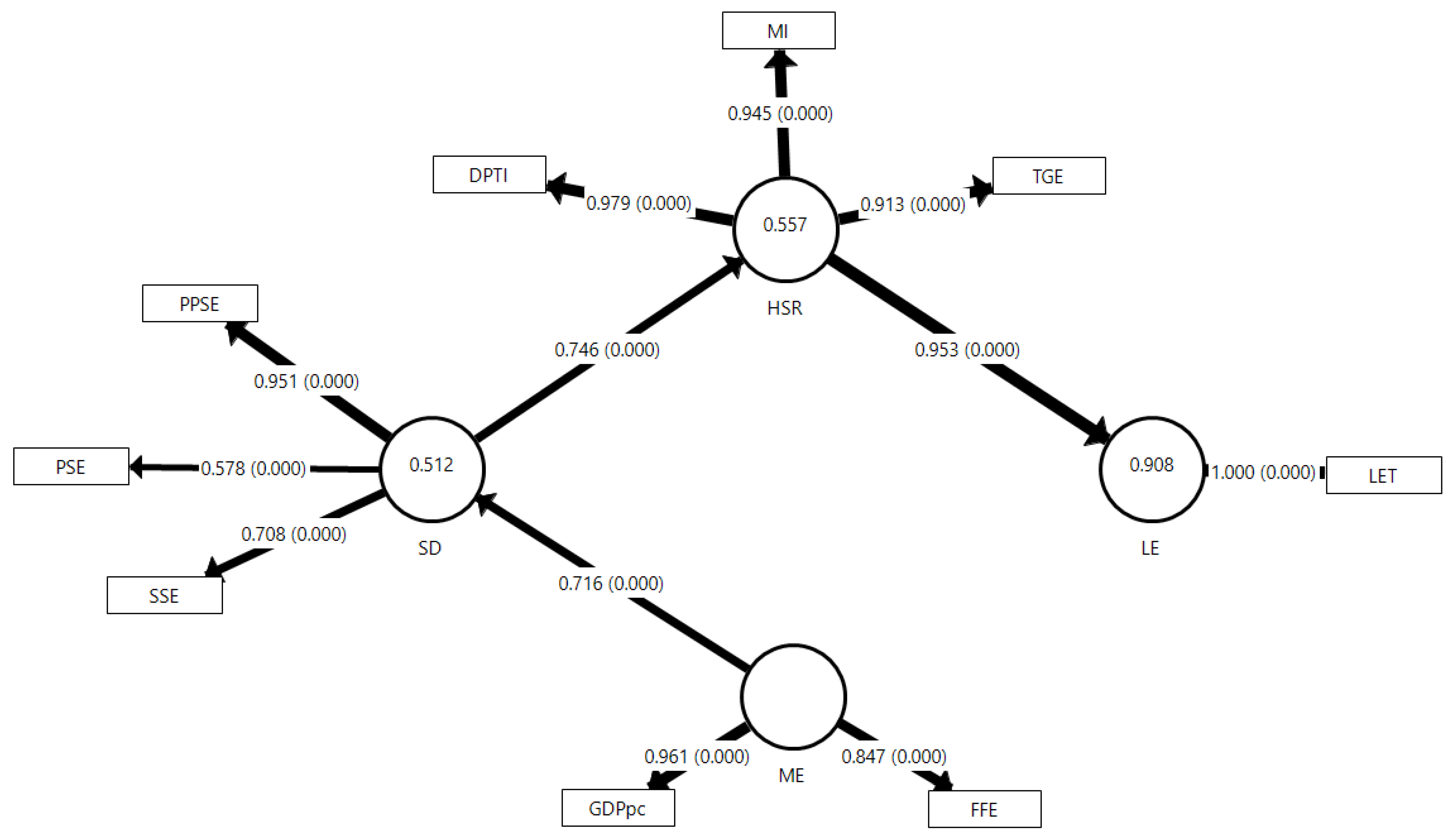
3. Results
4. Discussion
4.1. Comparison between the Two Models
4.2. Limitations of This Study
5. Conclusions
Author Contributions
Funding
Institutional Review Board Statement
Informed Consent Statement
Data Availability Statement
Acknowledgments
Conflicts of Interest
References
- Guénette, J.D.; Kose, M.A.; Sugawara, N. Is a Global Recession Imminent? 2022. Available online: https://ssrn.com/abstract=4223901 (accessed on 4 March 2023).
- Ho, J.Y.; Hendi, A.S. Recent trends in life expectancy across high income countries: Retrospective observational study. BMJ 2018, 362, k2562. [Google Scholar] [CrossRef] [PubMed]
- Roser, M.; Ortiz-Ospina, E.; Ritchie, H. Life Expectancy. Our World in Data. 2013. Available online: https://ourworldindata.org/life-expectancy (accessed on 15 January 2023).
- Chan, M.F. The impact of health care resources, socioeconomic status, and demographics on life expectancy: A cross-country study in three Southeast Asian countries. Asia-Pac. J. Public Health 2015, 27, NP972–NP983. [Google Scholar] [CrossRef]
- Solar, O.; Irwin, A. A Conceptual Framework for Action on the Social Determinants of Health; Social Determinants of Health Discussion Paper 2 (Policy and Practice); World Health Organization: Geneva, Switzerland, 2010. [Google Scholar]
- Wirayuda, A.A.B.; Chan, M.F. A Systematic Review of Sociodemographic, Macroeconomic, and Health Resources Factors on Life Expectancy. Asia Pac. J. Public Health 2021, 33, 335–356. [Google Scholar] [CrossRef]
- Heuveline, P. Global and National Declines in Life Expectancy: An End-of-2021 Assessment. Popul. Dev. Rev. 2022, 48, 31–50. [Google Scholar] [CrossRef]
- World Health Organization. Mortality and Global Health Estimates; World Health Organization: Geneva, Switzerland, 2023; Available online: https://www.who.int/data/gho/data/themes/mortality-and-global-health-estimates (accessed on 14 January 2023).
- OECD. OECD Economic Surveys: United States 2019; OECD Publishing: Washington, DC, USA, 2019. [Google Scholar] [CrossRef]
- OECD. Home. Health at a Glance 2021: OECD Indicators|OECD iLibrary. 2021. Available online: https://www.oecd-ilibrary.org/sites/e0d509f9-en/index.html?itemId=%2Fcontent%2Fcomponent%2Fe0d509f9-en (accessed on 10 December 2022).
- Britannica, T. Editors of Encyclopaedia. Gulf Cooperation Council (GCC)|History, Member Countries, Purpose, & Summits. Encyclopedia Britannica. 13 January 2023. Available online: https://www.britannica.com/topic/Gulf-Cooperation-Council (accessed on 21 March 2023).
- The National News. UAE and Saudi Arabia Drive GCC’s ‘Significant Improvement’ in Economic Diversification. 13 June 2023. Available online: https://www.thenationalnews.com/business/2023/06/13/uae-and-saudi-arabia-drive-gccs-significant-improvement-in-economic-diversification/ (accessed on 20 June 2023).
- Macrotrends. Saudi Arabia Life Expectancy 1950–2022. 2023. Available online: https://www.macrotrends.net/countries/SAU/saudi-arabia/life-expectancy (accessed on 1 June 2023).
- Statista. Share of Gross Domestic Product Expenditures on Healthcare in the Gulf Cooperation Council from in 2019, by Country. 2023. Available online: https://www.statista.com/statistics/672429/gcc-share-of-gdp-spending-on-health-sector-by-country/ (accessed on 21 February 2023).
- Statista. Life Expectancy at Birth in the United Arab Emirates from 2000 to 2021. 2022. Available online: https://www.statista.com/statistics/297160/uae-life-expectancy/ (accessed on 4 January 2023).
- World Health Organization. Health Inequities and Their Causes; World Health Organization: Geneva, Switzerland, 2018; Available online: https://www.who.int/news-room/facts-in-pictures/detail/health-inequities-and-their-causes (accessed on 18 December 2022).
- Mattke, S.; Hunter, L.E.; Magnuson, M.; Arifkhanova, A. Population health management and the second Golden age of Arab medicine: Promoting health, localizing knowledge industries, and diversifying economies in the GCC countries. Rand Health Q. 2015, 5, 3. [Google Scholar] [PubMed]
- Fromkin, D. How the modern Middle East map came to be drawn. Smithsonian 1991, 22, 132–146. [Google Scholar]
- Rogan, E.L. The emergence of the Middle East into the modern state system. In International Relations of the Middle East, 5th ed.; Politics Trove: Oxford, UK, 2019; Chapter 2; pp. 17–38. [Google Scholar] [CrossRef]
- Callen, M.T.; Cherif, R.; Hasanov, F.; Hegazy, M.A.; Khandelwal, P. Economic Diversification in the GCC: Past, Present, and Future. International Monetary Fund. 2014. Available online: https://www.imf.org/external/pubs/ft/sdn/2014/sdn1412.pdf (accessed on 24 January 2023).
- Wilson, R. Economic Development in the Middle East; Routledge: Abingdon, UK, 2021. [Google Scholar]
- Goldschmidt, A.; Boum, A. A Concise History of the Middle East; Routledge: Abingdon, UK, 2018. [Google Scholar]
- Torstrick, R.; Faier, E. Culture and Customs of the Arab Gulf States. 2009. Available online: http://publisher.abc-clio.com/EGR3659 (accessed on 28 October 2022).
- Rajan, S.I. Demography of the Gulf region. In South Asian Migration in the Gulf; Palgrave Macmillan: Cham, Switzerland, 2018; pp. 35–59. [Google Scholar]
- Alrouh, H.; Ismail, A.; Cheema, S. Demographic and health indicators in Gulf Cooperation Council nations with an emphasis on UAE. J. Local Glob. Health Perspect. 2013, 2013, 3. [Google Scholar]
- Ben Hassen, T. The GCC Economies in the Wake of COVID-19: Toward Post-Oil Sustainable Knowledge-Based Economies? Sustainability 2022, 14, 11251. [Google Scholar] [CrossRef]
- Abouzzohour, Y. One Year into His Reign, Saudi’s Sultan Must Renegotiate the Social Contract and Prioritize Diversification. Brookings Institution, 13 January 2021. Available online: https://www.brookings.edu/blog/order-from-chaos/2021/01/13/one-year-into-his-reign-omans-sultan-must-renegotiate-the-social-contract-and-prioritize-diversification/ (accessed on 14 May 2023).
- Mugge, D. Studying macroeconomic indicators as powerful ideas. J. Eur. Public Policy 2016, 23, 410–427. [Google Scholar] [CrossRef]
- Miles, D. Macroeconomic impacts of changes in life expectancy and fertility. J. Econ. Ageing 2023, 24, 100425. [Google Scholar] [CrossRef]
- Miladinov, G. Socioeconomic development and life expectancy relationship: Evidence from the EU accession candidate countries. Genus 2020, 76, 2. [Google Scholar] [CrossRef]
- Siddiqui, S.A.; Afzal, M.N.I. Sectoral diversification of UAE toward a knowledge-based economy. Rev. Econ. Political Sci. 2022, 7, 177–193. [Google Scholar] [CrossRef]
- United Nations Conference on Trade and Development. World Investment Report 2022. UNCTAD. TD/63/Rev.2. 2022. Available online: https://unctad.org/system/files/official-document/td63rev2_en.pdf (accessed on 25 January 2023).
- Gulf News. Diversification Raises Non-Oil Share of UAE’s GDP to 71%. 28 November 2011. Available online: https://gulfnews.com/business/diversification-raises-non-oil-share-of-uaes-gdp-to-71-1.795268 (accessed on 11 January 2023).
- Gulf News. UAE Healthcare Sector in top Shape. 6 December 2023. Available online: https://gulfnews.com/uae/health/uae-healthcare-sector-in-top-shape-1.1638787939625 (accessed on 19 January 2023).
- The Borgen Project. Economic Diversification in Saudi Arabia. 29 July 2020. Available online: https://borgenproject.org/economic-diversification-in-saudi-arabia/ (accessed on 19 November 2022).
- Al Naimi, S.M. Economic diversification trends in the Gulf: The case of Saudi Arabia. Circ. Econ. Sustain. 2021, 2, 221–230. [Google Scholar] [CrossRef]
- Bah, S. How feasible is the life expectancy target in the Saudi Arabian vision for 2030. East. Mediterr. Health J. 2018, 24, 401–404. [Google Scholar] [CrossRef]
- Koornneef, E.; Robben, P.; Blair, I. Progress and outcomes of health systems reform in the United Arab Emirates: A systematic review. BMC Health Serv. Res. 2017, 17, 672. [Google Scholar] [CrossRef]
- Elessawy, F.M. The consequences of population growth on the demographic characteristics of Abu Dhabi City in the United Arab Emirates. Adv. Econ. Bus. 2020, 8, 268–276. [Google Scholar] [CrossRef]
- Chen, Z.; Ma, Y.; Hua, J.; Wang, Y.; Guo, H. Impacts from economic development and environmental factors on life expectancy: A comparative study based on data from both developed and developing countries from 2004 to 2016. Int. J. Environ. Res. Public Health 2021, 18, 8559. [Google Scholar] [CrossRef]
- Hosseini Jebeli, S.S.; Hadian, M.; Souresrafil, A. Study of health resource and health outcomes: Organization of economic corporation and development panel data analysis. J. Educ. Health Promot. 2019, 8, 70. [Google Scholar]
- Al-Soliman, T.M. Environmental impacts and the need for a national environmental policy in Saudia Arabia. J. Archit. Plan. Res. 1993, 10, 219–241. [Google Scholar]
- Hadji, K. Reviewing UAE experience in improving the quality of environmental life and sustainable development. Int. J. Inspir. Resil. Econ. 2019, 3, 24–32. [Google Scholar]
- Roffia, P.; Bucciol, A.; Hashlamoun, S. Determinants of life expectancy at birth: A longitudinal study on OECD countries. Int. J. Health Econ. Manag. 2023, 23, 189–212. [Google Scholar] [CrossRef]
- Wirayuda, A.A.B.; Al-Mahrezi, A.; Chan, M.F. Factors Impacting Life Expectancy in Bahrain: Evidence from 1971 to 2020 Data. Int. J. Soc. Determ. Health Health Serv. 2023, 53, 74–84. [Google Scholar] [CrossRef] [PubMed]
- Gulf Business. Revealed: 7 Stats on the UAE’s Healthcare and Health Insurance Market. 10 September 2016. Available online: https://gulfbusiness.com/revealed-7-stats-uaes-healthcare-health-insurance-market/ (accessed on 19 December 2022).
- Al Saffer, Q.; Al-Ghaith, T.; Alshehri, A.; Al-Mohammed, R.; Al Homidi, S.; Hamza, M.M.; Herbst, C.H.; Alazemi, N. The capacity of primary health care facilities in Saudi Arabia: Infrastructure, services, drug availability, and human resources. BMC Health Serv. Res. 2021, 21, 365. [Google Scholar] [CrossRef]
- Rahman, R. The Privatization of Health Care System in Saudi Arabia. Health Serv. Insights 2020, 13, 1178632920934497. [Google Scholar] [CrossRef]
- Worldometer. Life Expectancy by Country and in the World. 2023. Available online: https://www.worldometers.info/demographics/life-expectancy/ (accessed on 4 January 2023).
- Cutler, D.; Deaton, A.; Lleras-Muney, A. The determinants of mortality. J. Econ. Perspect. 2006, 20, 97–120. [Google Scholar] [CrossRef]
- Budreviciute, A.; Damiati, S.; Sabir, D.K.; Onder, K.; Schuller-Goetzburg, P.; Plakys, G.; Katileviciute, A.; Khoja, S.; Kodzius, R. Management and prevention strategies for non-communicable disease (NCDs) and their risk factors. Front. Public Health 2020, 8, 574111. [Google Scholar] [CrossRef] [PubMed]
- Wirayuda, A.A.B.; Jaju, S.; Alsaidi, Y.; Chan, M.F. A structural equation model to explore sociodemographic, macroeconomic, and health factors affecting life expectancy in Oman. Pan Afr. Med. J. 2022, 41, 75. [Google Scholar]
- World Bank. Saudi Arabia. 2023. Available online: https://data.worldbank.org/country/SA (accessed on 13 January 2023).
- World Bank. United Arab Emirates. 2023. Available online: https://data.worldbank.org/country/AE (accessed on 11 January 2023).
- Hair, J.F.; Black, W.C.; Babin, B.J.; Anderson, R.E. Multivariate Data Analysis; Cengage: Andover, UK, 2019. [Google Scholar]
- Hair, J.F.; Hult, G.T.M.; Ringle, C.M.; Sarstedt, M. A Primer on Partial Least Squares Structural Equation Modeling (PLS-SEM), 3rd ed.; Sage: Thousand Oaks, CA, USA, 2022. [Google Scholar]
- Wang, H.; Lu, S.; Liu, Y. Missing data imputation in PLS-SEM. Qual. Quant. 2022, 56, 4777–4795. [Google Scholar] [CrossRef]
- Zhang, Z. Multiple imputations for time series data with Amelia package. Ann. Transl. Med. 2016, 4, 56. [Google Scholar]
- Chin, W.W. How to write up and report PLS analyses. In Handbook of Partial Least Squares; Springer: Berlin/Heidelberg, Germany, 2010; pp. 655–690. [Google Scholar]
- Franke, G.; Sarstedt, M. Heuristics versus statistics in discriminant validity testing: A comparison of four procedures. Internet Res. 2019, 29, 430–447. [Google Scholar] [CrossRef]
- Henseler, J.; Ringle, C.M.; Sarstedt, M. A new criterion for assessing discriminant validity in variance-based structural equation modeling. J. Acad. Mark. Sci. 2015, 43, 115–135. [Google Scholar] [CrossRef]
- Naimi, A.I.; Schnitzer, M.E.; Moodie, E.E.; Bodnar, L.M. Mediation analysis for health disparities research. Am. J. Epidemiol. 2016, 184, 315–324. [Google Scholar] [CrossRef]
- Kim, J.I.; Kim, G. Effects on inequality in life expectancy from a social ecology perspective. BMC Public Health 2018, 18, 243. [Google Scholar] [CrossRef]
- Mondal, M.N.I.; Shitan, M. Relative importance of demographic, socioeconomic, and health factors on life expectancy in low-and lower-middle-income countries. J. Epidemiol. 2014, 24, 117–124. [Google Scholar] [CrossRef]
- Assadzadeh, A.; Nategh, H. The relationship between per capita electricity consumption and human development indices. In Proceedings of the 6th IASTEM International Conference, Singapore, 6 November 2015; pp. 1–7. [Google Scholar]
- Pasten, C.; Santamarina, J.C. Energy and quality of life. Energy Policy 2012, 49, 468–476. [Google Scholar] [CrossRef]
- Ahmed, A.Z.E. The role of diversification strategies in the economic development for oil-depended countries:-the case of UAE. Int. J. Bus. Econ. Dev. 2015, 3, 47–57. [Google Scholar]
- Khan, M.N.; Aziz, G.; Khan, M.S. The Impact of Sustainable Growth and Sustainable Environment on Public Health: A Study of GCC Countries. Front. Public Health 2022, 10, 887680. [Google Scholar] [CrossRef]
- Raghupathi, V.; Raghupathi, W. Healthcare Expenditure and Economic Performance: Insights From the United States Data. Front. Public Health 2020, 8, 156. [Google Scholar] [CrossRef] [PubMed]
- Kunze, L. Life expectancy and economic growth. J. Macroecon. 2014, 39, 54–65. [Google Scholar] [CrossRef]
- Wang, Z.; Asghar, M.M.; Zaidi, S.A.H.; Nawaz, K.; Wang, B.; Zhao, W.; Xu, F. The dynamic relationship between economic growth and life expectancy: Contradictory role of energy consumption and financial development in Pakistan. Struct. Chang. Econ. Dyn. 2020, 53, 257–266. [Google Scholar] [CrossRef]
- Rappuoli, R. Vaccines: Science, health, longevity, and wealth. Proc. Natl. Acad. Sci. USA 2014, 111, 12282. [Google Scholar] [CrossRef] [PubMed]
- Luy, M.; Di Giulio, P.; Di Lego, V.; Lazarevič, P.; Sauerberg, M. Life expectancy: Frequently used but hardly understood. Gerontology 2020, 66, 95–104. [Google Scholar] [CrossRef] [PubMed]




| LV | MV | Abbreviation | Indicator (Unit) | Loading | |
|---|---|---|---|---|---|
| Saudi | UAE | ||||
| LE | LET | Life Expectancy in Total | Life expectancy at birth, total (years) | 1.000 * | 1.000 * |
| ME | GDPpc | GDP per capita | GDP per capita (Local Currency Unit) | 0.950 * | 0.961 * |
| FFE | Fossil Fuel Electricity | Fossil fuels electricity generation (billion kilo-watthours) | 0.966 * | - | |
| Electricity production from natural gas sources (%) | - | 0.847 * | |||
| SD | PPSE | Pre-Primary School Enrollment | School enrollment, pre-primary (% gross) | - | 0.951 * |
| PSE | Primary School Enrollment | School enrollment, primary (% gross) | - | 0.578 * | |
| SSE | Secondary School Enrollment | School enrollment, secondary (% gross) | - | 0.708 * | |
| TSE | Tertiary School Enrollment | School enrollment, tertiary (% gross) | 1.000 | - | |
| HSR | DPTI | Diphtheria, Pertussis, and Tetanus (DPT) Immunization | Immunization, DPT (% of children ages 12–23 months) | 0.972 * | 0.979 * |
| MI | Measles Immunization | Immunization, measles (% of children ages 12–23 months) | 0.980 * | 0.945 * | |
| TGE | Total Greenhouse Emissions | Total greenhouse gas emissions (kilotons of CO2) | 0.948 * | 0.913 * | |
| LV | Country | CA | CR | Rhô-A | AVE | Q2 | R2 | HTMT (95%CI) | ||
|---|---|---|---|---|---|---|---|---|---|---|
| ME | SD | HSR | ||||||||
| ME | Saudi | 0.930 | 0.952 | 0.957 | 0.775 | - | - | - | - | - |
| UAE | 0.800 | 0.901 | 0.914 | 0.734 | - | - | ||||
| SD | Saudi | 1.000 | 1.000 | 1.000 | 1.000 | 0.590 | 0.919 | 0.668 (0.258–0.983) | - | - |
| UAE | 0.644 | 0.799 | 0.953 | 0.523 | 0.740 | 0.512 | 0.783 (0.573–0.960) | - | ||
| HSR | Saudi | 0.965 | 0.977 | 0.972 | 0.934 | 0.640 | 0.358 | 0.800 (0.702–0.988) | 0.524 (0.274–0.803) | - |
| UAE | 0.952 | 0.965 | 0.943 | 0.843 | 0.720 | 0.557 | 0.847 (0.723–0.955) | 0.822 (0.633–0.981) | ||
| LE | Saudi | 1.000 | 1.000 | 1.000 | 1.000 | 0.864 | 0.781 | 0.921 (0.821–0.975) | 0.656 (0.293–0.913) | 0.898 (0.852–0.964) |
| UAE | 1.000 | 1.000 | 1.000 | 1.000 | 0.969 | 0.908 | 0.933 (0.849–0.993) | 0.978 (0.945–0.998) | 0.972 (0.946–0.990) | |
| Hypothesis (Relationship) | Country | Direct Effect (95% CI) | Indirect Effect (95% CI) | Total Effect (95%CI) | f2 |
|---|---|---|---|---|---|
| H1 (ME→SD) | Saudi | 0.958 (0.943–0.972) | - | 0.958 (0.943–0.972) | 11.293 |
| UAE | 0.716 (0.625–0.779) | 0.716 (0.625–0.779) | 1.051 | ||
| H2 (ME→HSR) | Saudi | - | 0.574 (0.495–0.648) | 0.574 (0.495–0.648) | - |
| UAE | - | 0.534 (0.434–0.603) | 0.534 (0.434–0.603) | - | |
| H3 (ME→LE) | Saudi | - | 0.507 (0.415–0.590) | 0.507 (0.415–0.590) | - |
| UAE | - | 0.509 (0.411–0.576) | 0.509 (0.411–0.576) | - | |
| H4 (SD→HSR) | Saudi | 0.599 (0.517–0.674) | - | 0.599 (0.517–0.674) | 0.559 |
| UAE | 0.746 (0.627–0.823) | 0.746 (0.627–0.823) | 1.256 | ||
| H5 (SD→LE) | Saudi | - | 0.529 (0.432–0.614) | 0.529 (0.432–0.614) | - |
| UAE | - | 0.711 (0.590–0.793) | 0.711 (0.590–0.793) | - | |
| H6 (HSR→LE) | Saudi | 0.884 (0.815–0.923) | - | 0.884 (0.815–0.923) | 3.558 |
| UAE | 0.953 (0.928–0.970) | 0.953 (0.928–0.970) | 9.870 |
Disclaimer/Publisher’s Note: The statements, opinions and data contained in all publications are solely those of the individual author(s) and contributor(s) and not of MDPI and/or the editor(s). MDPI and/or the editor(s) disclaim responsibility for any injury to people or property resulting from any ideas, methods, instructions or products referred to in the content. |
© 2023 by the authors. Licensee MDPI, Basel, Switzerland. This article is an open access article distributed under the terms and conditions of the Creative Commons Attribution (CC BY) license (https://creativecommons.org/licenses/by/4.0/).
Share and Cite
Wirayuda, A.A.B.; Al-Mahrezi, A.; Chan, M.F. Comparing Life Expectancy Determinants between Saudi Arabia and United Arab Emirates from 1980–2020. Eur. J. Investig. Health Psychol. Educ. 2023, 13, 1293-1305. https://doi.org/10.3390/ejihpe13070095
Wirayuda AAB, Al-Mahrezi A, Chan MF. Comparing Life Expectancy Determinants between Saudi Arabia and United Arab Emirates from 1980–2020. European Journal of Investigation in Health, Psychology and Education. 2023; 13(7):1293-1305. https://doi.org/10.3390/ejihpe13070095
Chicago/Turabian StyleWirayuda, Anak Agung Bagus, Abdulaziz Al-Mahrezi, and Moon Fai Chan. 2023. "Comparing Life Expectancy Determinants between Saudi Arabia and United Arab Emirates from 1980–2020" European Journal of Investigation in Health, Psychology and Education 13, no. 7: 1293-1305. https://doi.org/10.3390/ejihpe13070095
APA StyleWirayuda, A. A. B., Al-Mahrezi, A., & Chan, M. F. (2023). Comparing Life Expectancy Determinants between Saudi Arabia and United Arab Emirates from 1980–2020. European Journal of Investigation in Health, Psychology and Education, 13(7), 1293-1305. https://doi.org/10.3390/ejihpe13070095

