Paper Spray Tandem Mass Spectrometry for Assessing Oleic, Linoleic and Linolenic Acid Content in Edible Vegetable Oils
Abstract
1. Introduction
2. Materials and Methods
2.1. Chemicals and Reagents
2.2. Standard Solutions
2.3. Sample Preparation
2.4. Paper Spray Mass Spectrometry
2.5. GC-FID
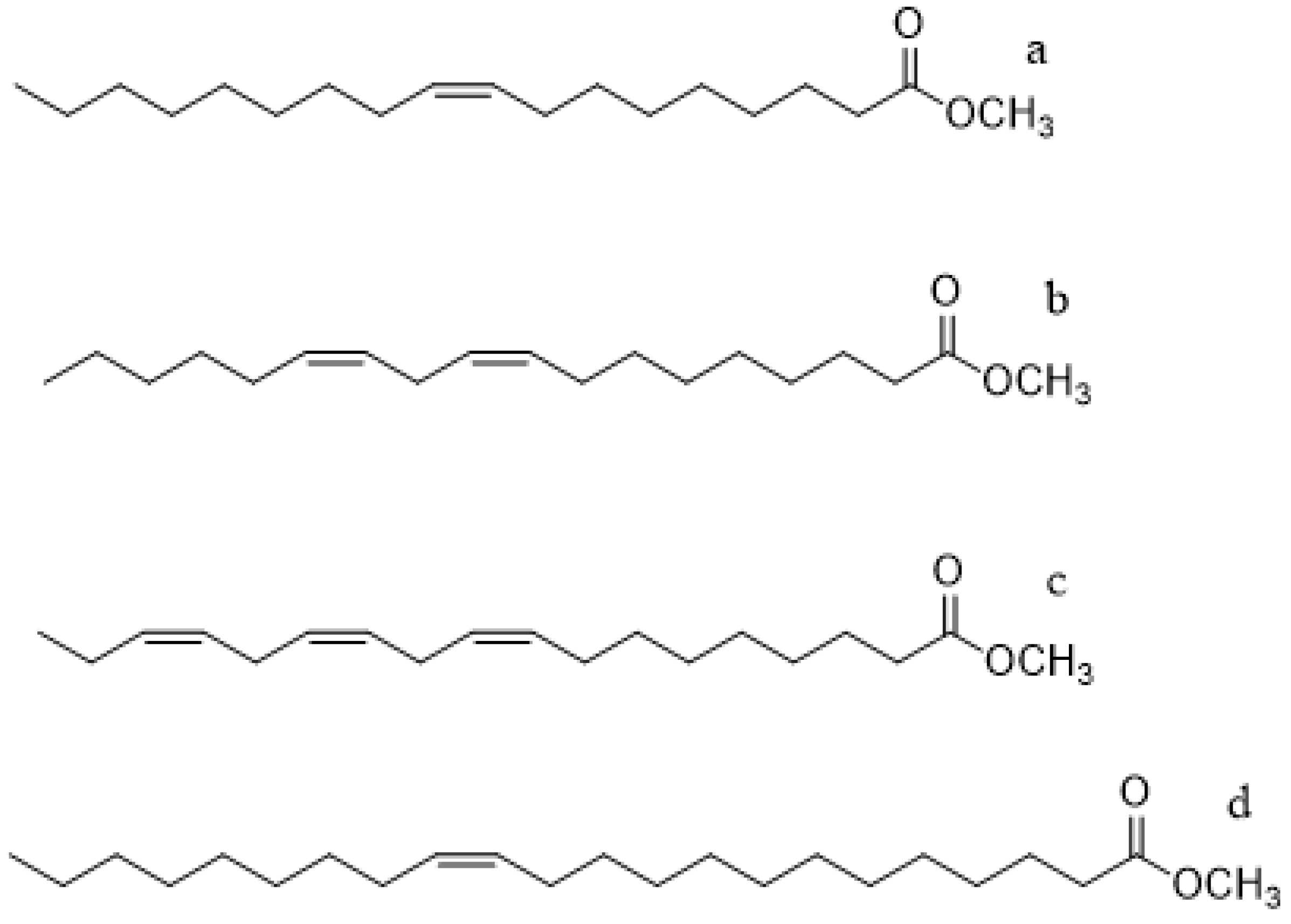
3. Results
4. Discussion
5. Conclusions
Author Contributions
Funding
Institutional Review Board Statement
Informed Consent Statement
Data Availability Statement
Conflicts of Interest
References
- Dubois, V.; Breton, S.; Linder, M.; Fanni, J.; Parmentier, M. Fatty acid profiles of 80 vegetable oils with regard to their nutritional potential Eur. J. Lipid Sci. Technol. 2007, 109, 710–732. [Google Scholar] [CrossRef]
- Orsavova, J.; Ambrozova, J.V.; Vicha, R.; Mlcek, J. Fatty Acids Composition of Vegetable Oils and Its Contribution to Dietary Energy Intake and Dependence of Cardiovascular Mortality on Dietary Intake of Fatty Acids. Int. J. Mol. Sci. 2015, 16, 12871–12890. [Google Scholar] [CrossRef] [PubMed]
- Serini, S.; Fasano, E.; Piccioni, E.; Cittadini, A.R.; Calviello, G. Dietary n-3 polyunsaturated fatty acids and the paradox of their health benefits and potential harmful effects. Chem. Res. Toxicol. 2011, 24, 2093–2105. [Google Scholar] [CrossRef]
- Burr, M.L.; Fehily, A.M.; Gilbert, J.F.; Rogers, S.; Holliday, R.M.; Sweetnam, P.M.; Elwood, P.C.; Deadman, N.M. Effects of changes in fat, fish, and fibre intakes on death and myocardial reinfarction: Diet and reinfarction trial (DART). Lancet. 1989, 2, 757–761. [Google Scholar] [CrossRef]
- Kapoor, B.; Kapoor, D.; Gautam, S.; Singh, R.; Bhardwaj, S. Dietary Polyunsaturated Fatty Acids (PUFAs): Uses and Potential Health Benefits. Curr. Curr. Nutr. Rep. 2021, 10, 232–242. [Google Scholar] [CrossRef]
- Bermudez, B.; Lopez, S.; Ortega, A.; Varela, L.M.; Pacheco, Y.M.; Abia, R.; Muriana, F.J. Oleic acid in olive oil: From a metabolic framework toward a clinical perspective. Curr. Pharm. Des. 2011, 17, 831–843. [Google Scholar] [CrossRef] [PubMed]
- Panagiotakos, D.B.; Dimakopoulou, K.; Katsouyanni, K.; Bellander, T.; Grau, M.; Koenig, W.; Lanki, T.; Pistelli, R.; Schneider, A.; Peters, A. Mediterranean diet and inflammatory response in myocardial infarction survivors. Int. J. Epidemiol. 2009, 38, 856–866. [Google Scholar] [CrossRef]
- Teres, S.; Barcelo-Coblijn, G.; Benet, M.; Alvarez, R.; Bressani, R.; Halver, J.E.; Escriba, P.V. Oleic acid content is responsible for the reduction in blood pressure induced by olive oil. Proc. Natl Acad. Sci. USA 2008, 105, 13811–13816. [Google Scholar] [CrossRef]
- Lee, D.S.; Noh, B.S.; Bae, S.Y.; Kim, K. Characterization of fatty acids composition in vegetable oils by gas chromatography and chemometrics. Anal. Chim. Acta. 1998, 358, 163–175. [Google Scholar] [CrossRef]
- Chowdhury, K.; Banu, A.L.; Khan, S.; Latif, A. Studies on the Fatty Acid Composition of Edible Oil. Bangladesh J. Sci. Ind. Res. 2007, 42, 311–316. [Google Scholar] [CrossRef]
- Kris–Etherton, P.M.; Yu, S. Individual fatty acid effects on plasma lipids and lipoproteins: Human studies. Am. J. Clin. Nutr. 1997, 65, 1628–1644. [Google Scholar] [CrossRef] [PubMed]
- Abeywardena, M.Y.; Head, R.J. Long chain n-3 polyunsaturated fatty acids and blood vessel function. Cardiovasc. Res. 2001, 52, 361–371. [Google Scholar] [CrossRef] [PubMed]
- Shapiro, H. Could ω-3 polyunsaturated fatty acids reduce pathological pain by direct actions on the nervous system? Prostaglandins Leukot. Essent Fat. Acids 2003, 68, 219–224. [Google Scholar] [CrossRef] [PubMed]
- EC, 2012. Commission Regulation (EU) No 432/2012 of 16 May 2012 Establishing a List of Permitted Health Claims Made on Foods, Other Than Those Referring to the Reduction of Disease Risk and to Children’s Development and Health. Off. J. Eur Union No L 136/1. Available online: https://www.legislation.gov.uk/eur/2012/432/resources (accessed on 9 December 2022).
- FDA Completes Review of Qualified Health Claim Petition for Oleic Acid and the Risk of Coronary Heart Disease. Available online: https://www.fda.gov/food/cfsan-constituent-updates/fda-completes-review-qualified-health-claim-petition-oleic-acid-and-risk-coronary-heart-disease (accessed on 6 December 2022).
- EC, 2015. Commission Implementing Regulation (EU) 2015/1833 of 12 October 2015 Amending Regulation (EEC) No 2568/91 on the Characteristics of Olive Oil and Olive-Residue Oil and on the Relevant Methods of Analysis. Off. J. Eur. Union No L 266/29. Available online: https://www.legislation.gov.uk/eur/2015/1833/contents (accessed on 9 December 2022).
- Guerrero-Esperanza, M.; Wrobel, K.; Wrobel, K.; Ordaz-Ortiz, J.J. Determination of fatty acids in vegetable oils by GC-MS, using multiple-ion quantification (MIQ). J. Food Compos. Anal. 2023, 115, 104963. [Google Scholar] [CrossRef]
- Dodds, E.D.; McCoy, M.R.; Rea, L.D.; Kennish, J.M. Gas Chromatographic Quantification of Fatty Acid Methyl Esters: Flame Ionization Detection vs. Electron Impact Mass Spectrometry. Lipids 2005, 40, 4. [Google Scholar] [CrossRef]
- Xu, L.; Cheng, H.; Müller, M.; Sinclair, A.J.; Wang, W.; Guo, X.; Vetter, W.; Wang, Y. Targeted quantitation of furan fatty acids in edible oils by gas chromatography/triple quadrupole tandem mass spectrometry (GC-TQ/MS). Food Chem. 2023, 404, 134521. [Google Scholar] [CrossRef]
- Abidin, S.Z.; Patel, D.; Saha, B. Quantitative Analysis of Fatty Acids Composition in the Used Cooking Oil (Uco) by Gas Chromatography Mass Spectrometry (GC-MS). Can. J. Chem. Eng. 2013, 91, 1896–1903. [Google Scholar] [CrossRef]
- Bartella, L.; Furia, E.; Di Donna, L. Mass spectrometry and potentiometry studies of Al(III)–naringin complexes. RSC Adv. 2017, 7, 55264–55268. [Google Scholar] [CrossRef]
- Di Donna, L.; Bartella, L.; Napoli, A.; Sindona, G.; Mazzotti, F. Assay of lovastatin containing dietary supplement by LC-MS/MS under MRM condition. J. Mass Spectrom. 2018, 53, 811–816. [Google Scholar] [CrossRef]
- Bartella, L.; Mazzotti, F.; Talarico, I.R.; De Luca, G.; Santoro, I.; Prejanò, M.; Riccioni, C.; Marino, T.; Di Donna, L. Structural Characterization of Peripolin and Study of Antioxidant Activity of HMG Flavonoids from Bergamot Fruit. Antioxidants 2022, 11, 1847. [Google Scholar] [CrossRef]
- Wang, X.; Wang, S.; Cai, Z. The latest developments and applications of mass spectrometry in food-safety and quality analysis. Trends Anal. Chem. 2013, 52, 170–185. [Google Scholar] [CrossRef]
- Takats, Z.; Cotte-Rodriguez, I.; Talaty, N.; Chen, H.; Cooks, R.G. Direct, trace level detection of explosives on ambient surfaces by desorption electrospray ionization mass spectrometry. Chem. Comm. 2005, 15, 1950–1952. [Google Scholar] [CrossRef] [PubMed]
- Bartella, L.; Di Donna, L.; Napoli, A.; Sindona, G.; Mazzotti, F. High throughput determination of vitamin E in extra virgin olive oil by paper spray tandem mass spectrometry. Anal. Bioanal. Chem. 2019, 411, 2885–2890. [Google Scholar] [CrossRef] [PubMed]
- Bartella, L.; Di Donna, L.; Napoli, A.; Sindona, G.; Mazzotti, F. Paper spray tandem mass spectrometry: A rapid approach for the assay of parabens in cosmetics and drugs. J. Mass Spectrom. 2020, 55, 4526. [Google Scholar] [CrossRef] [PubMed]
- Espy, R.D.; Muliadi, A.R.; Ouyang, Z.; Cooks, R.G. Spray mechanism in paper spray ionization. Int. J. Mass Spectrom. 2012, 325, 67–171. [Google Scholar] [CrossRef]
- Cooks, R.G.; Ouyang, Z.; Takats, Z.; Wiseman, J.W. Ambient Mass Spectrometry. Science 2006, 311, 1566–1570. [Google Scholar] [CrossRef]
- Bartella, L.; Mazzotti, F.; Sindona, G.; Napoli, A.; Di Donna, L. Rapid determination of the free and total hydroxytyrosol and tyrosol content in extra virgin olive oil by stable isotope dilution analysis and paper spray tandem mass spectrometry. Food Chem. Tox. 2020, 136, 111110. [Google Scholar] [CrossRef]
- Mazzotti, F.; Bartella, L.; Talarico, I.R.; Napoli, A.; Di Donna, L. High-throughput determination of flavanone-O glycosides in citrus beverages by paper spray tandem mass spectrometry. Food Chem. 2021, 360, 130060. [Google Scholar] [CrossRef]
- Bartella, L.; Di Donna, L.; Napoli, A.; Siciliano, C.; Sindona, G.; Mazzotti, F. A rapid method for the assay of methylxanthines alkaloids: Theobromine, theophylline and caffeine, in cocoa products and drugs by paper spray tandem mass spectrometry. Food Chem. 2019, 278, 261–266. [Google Scholar] [CrossRef]
- Teodoro, J.A.R.; Pereira, H.V.; Sena, M.M.; Piccin, E.; Zacca, J.J.; Augusti, R. Paper spray mass spectrometry and chemometric tools for a fast and reliable identification of counterfeit blended Scottish whiskies. Food Chem. 2017, 237, 1058–1064. [Google Scholar] [CrossRef]
- Tosato, F.; Correia, R.M.; Oliveira, B.G.; Fontes, A.M.; França, H.S.; Coltro, W.K.T.; Filgueiras, P.R.; Romao, W. Paper spray ionization mass spectrometry allied to chemometric tools for quantification of whisky adulteration with additions of sugarcane spirit. Anal. Methods 2018, 10, 1952–1960. [Google Scholar] [CrossRef]
- Silva, E.B.M.; Augusti, R.; Meloc, J.O.F.; Takahashi, J.A.; Bello de Araújo, R.L. Physicochemical characterization, antioxidant activity and fingerprints of industrialized “detox” mixed beverages by paper spray mass spectrometry. Química Nova 2020, 43, 319–324. [Google Scholar] [CrossRef]
- Bartella, L.; Bouza, M.; Rocío-Bautista, P.; Di Donna, L.; García-Reyes, J.F.; Molina-Díaz, A. Direct wine profiling by mass spectrometry (MS): A comparison of different ambient MS approaches. Microchem. J. 2022, 179, 107479. [Google Scholar] [CrossRef]
- Taverna, D.; Di Donna, L.; Mazzotti, F.; Tagarelli, A.; Napoli, A.; Furia, E.; Sindona, G. Rapid discrimination of bergamot essential oilby paper spray mass spectrometry andchemometric analysis. J. Mass Spectrom. 2016, 51, 761–767. [Google Scholar] [CrossRef] [PubMed]


| Compound | Transition | CE (eV) | S-Lens (eV) | Linearity |
|---|---|---|---|---|
| Oleic acid methyl ester | m/z 297 → m/z 265 (quan) m/z 297 → m/z 247 | 12 15 | 120 120 | y = 0.356x + 0.2888 R² = 0.9852 |
| Linoleic acid methyl ester | m/z 295 → m/z 263 (quan) m/z 295 → m/z 245 | 12 15 | 120 120 | y = 1.6759x + 0.8368 R² = 0.9913 |
| Linolenic acid methyl ester | m/z 293 → m/z 261 (quan) m/z 293 → m/z 243 | 15 18 | 120 120 | y = 1.1231x + 0.1458 R² = 0.9953 |
| Erucic acid methyl ester (IS) | m/z 353 → m/z 321 (quan) m/z 353 → m/z 303 | 18 20 | 120 120 |
| Sample | Calculated Amount (w/w %) | Accuracy (%) | Repeatability (RSD %) | Reproducibility (RSD %) | ||
|---|---|---|---|---|---|---|
| S1 (w/w %) | Oleic acid | 80% | 82 ± 7 | 102 | 8.5 | 9.2 |
| Linoleic acid | 20% | 18 ± 2 | 90 | 11.1 | 12.0 | |
| S2 (w/w %) | Oleic acid | 20% | 21 ± 2 | 105 | 9.5 | 10.2 |
| Linoleic acid | 80% | 77 ± 6 | 96 | 7.7 | 8.4 | |
| Methyl Oleate (w/w %) | Methyl Linoleate (w/w %) | Methyl Linolenate (w/w %) | ||||
|---|---|---|---|---|---|---|
| Sample | PS-MS | GC-FID | PS-MS | GC-FID | PS-MS | GC-FID |
| Olive oil 1 | 60 ± 8 | 69 | 9 ± 1 | 8 | 0.8 ± 0.1 | 1.0 |
| Olive oil 2 | 55 ± 9 | 68 | 6 ± 1 | 6 | 0.6 ± 0.2 | 0.7 |
| Olive oil 3 | 63 ± 9 | 70 | 7 ± 1 | 5 | 0.45 ± 0.05 | 0.8 |
| Corn oil 1 | 28 ± 4 | 31 | 60 ± 11 | 53 | 0.8 ± 0.2 | 1.2 |
| Corn oil 2 | 24.5 ± 4.0 | 32 | 47 ± 6 | 52 | 1.6 ± 0.2 | 1.6 |
| Corn oil 3 | 25 ± 5 | 31 | 46 ± 3 | 51 | 1.5 ± 0.3 | 1.3 |
| Sunflower oil 1 | 29 ± 4 | 25 | 57 ± 6 | 63 | 1.1 ± 0.1 | 0.8 |
| Soybean oil 1 | 20 ± 4 | 24 | 55 ± 8 | 53 | 3.7 ± 0.5 | 5.3 |
| Soybean oil 2 | 23.5 ± 4.5 | 23 | 51 ± 11 | 51 | 6.5 ± 0.5 | 6.1 |
Disclaimer/Publisher’s Note: The statements, opinions and data contained in all publications are solely those of the individual author(s) and contributor(s) and not of MDPI and/or the editor(s). MDPI and/or the editor(s) disclaim responsibility for any injury to people or property resulting from any ideas, methods, instructions or products referred to in the content. |
© 2023 by the authors. Licensee MDPI, Basel, Switzerland. This article is an open access article distributed under the terms and conditions of the Creative Commons Attribution (CC BY) license (https://creativecommons.org/licenses/by/4.0/).
Share and Cite
Bartella, L.; Mazzotti, F.; Talarico, I.R.; Santoro, I.; Di Donna, L. Paper Spray Tandem Mass Spectrometry for Assessing Oleic, Linoleic and Linolenic Acid Content in Edible Vegetable Oils. Separations 2023, 10, 26. https://doi.org/10.3390/separations10010026
Bartella L, Mazzotti F, Talarico IR, Santoro I, Di Donna L. Paper Spray Tandem Mass Spectrometry for Assessing Oleic, Linoleic and Linolenic Acid Content in Edible Vegetable Oils. Separations. 2023; 10(1):26. https://doi.org/10.3390/separations10010026
Chicago/Turabian StyleBartella, Lucia, Fabio Mazzotti, Ines Rosita Talarico, Ilaria Santoro, and Leonardo Di Donna. 2023. "Paper Spray Tandem Mass Spectrometry for Assessing Oleic, Linoleic and Linolenic Acid Content in Edible Vegetable Oils" Separations 10, no. 1: 26. https://doi.org/10.3390/separations10010026
APA StyleBartella, L., Mazzotti, F., Talarico, I. R., Santoro, I., & Di Donna, L. (2023). Paper Spray Tandem Mass Spectrometry for Assessing Oleic, Linoleic and Linolenic Acid Content in Edible Vegetable Oils. Separations, 10(1), 26. https://doi.org/10.3390/separations10010026
