Next Article in Journal
Further Evaluation of the Base Stability of Hydrophilic Interaction Chromatography Columns Packed with Silica or Ethylene-Bridged Hybrid Particles
Previous Article in Journal
Biosynthesized ZnO-NPs Using Sea Cucumber (Holothuria impatiens): Antimicrobial Potential, Insecticidal Activity and In Vivo Toxicity in Nile Tilapia Fish, Oreochromis niloticus
 
 
Font Type:
Arial Georgia Verdana
Font Size:
Aa Aa Aa
Line Spacing:
Column Width:
Background:
Article

Experimental Design and Multiple Response Optimization for the Extraction and Quantitation of Thirty-Four Priority Organic Micropollutants in Tomatoes through the QuEChERS Approach

1
Department of Chemistry, Università degli Studi di Torino, Via Pietro Giuria 7, 10125 Torino, Italy
2
Department of Chemistry “Ugo Schiff”, Università degli Studi di Firenze, Via della Lastruccia 13, 50019 Sesto Fiorentino, Italy
*
Authors to whom correspondence should be addressed.
Separations 2023, 10(3), 174; https://doi.org/10.3390/separations10030174
Submission received: 30 January 2023 / Revised: 24 February 2023 / Accepted: 2 March 2023 / Published: 6 March 2023
(This article belongs to the Section Environmental Separations)

Abstract

The chemical contamination in fruit and vegetables represents a challenging analytical issue, with tomatoes deserving to be investigated as they are fundamental components of the Mediterranean diet. Polychlorinated biphenyls (PCBs), polycyclic aromatic hydrocarbons (PAHs) and nitro-PAHs contamination is of serious concern, due to particulate deposition and to uptake from contaminated soils and water. However, time-consuming, non-simultaneous and/or non-eco-friendly extraction procedures are typically used to investigate organic contamination in tomatoes, with nitro-PAHs that have not yet been studied. Based on these premises, this work reports the development of a QuEChERS-based approach, coupled with gas chromatography/mass spectrometry, for the simultaneous determination of 16 PAHs, 14 PCBs and 4 nitro-PAHs in three tomato cultivars. The effect of dichloromethane, cyclohexane and acetone, as well as of four clean-up phases were studied through the advanced combination of full factorial experimental design and multiple response optimization approaches. The final protocol, based on cyclohexane extraction followed by a double purification step with primary secondary amine and octadecyl silica and a sulfuric acid oxidation, led to 60–120% recoveries (RSD% < 15%). Good repeatability (inter-day precision <15%) and negligible matrix effect (<16%) were confirmed and the protocol was applied to the analysis of real tomato samples purchased in a local market.

Graphical Abstract

1. Introduction

Food contamination is a priority global safety issue, which poses a serious threat to human health. Indeed, the production and the access to safe and non-contaminated food by all people, in particular the poor and people in vulnerable situations, has been included within the Global Goals of United Nations, Task 2.1 [1]. The Food and Agriculture Organization of the United Nations (FAO), in partnership with several other Agencies, estimated that about 2.37 billion people in the world did not have access to safe food in 2020 [2], with an increase of almost 320 million people in just one year, prompted by the COVID-19 pandemic emergency.
Food unsafety can occur in terms of biological (when living organisms are present [3]), physical (when a physical object is present [4]) and chemical contamination [5], with a single action potentially introducing more than one type of contamination to food.
The European Food Safety Authority (EFSA) defines chemical contamination as the presence in food or feed of undesired substances [6]. Since the production and distribution of food is a multistep system (from the field to the plate), such compounds may be present in food as a result of several stages of its production, processing and transport, such as pesticide-based farming practices [7], packaging [8], transport or storage [9]. They might also result from the manipulation during food cooking, with several toxic compounds specifically formed after heating processes (e.g., acrylamide, nitrosamines, chloropropanols, polycyclic aromatic hydrocarbons) [10], and from environmental sources [11].
Among the several food classes subjected to chemical contamination, fruit and vegetable are one of the most studied, in particular, due to their high diet consumption (FAO recommends a daily intake of fruits and vegetables for an adult of at least 400 g per day [12]), and, hence, representing one of most likely vehicles of toxic compounds to human beings. Indeed, many studies have demonstrated that industrial activities [13], dense traffic flows [14], as well as the reuse of treated wastewater for irrigation are only some of the contamination sources of food crops [15]. In this regard, wastewater reuse for irrigation, which showed a rapid growth especially due to water scarcity, should be performed under a strict control, with several studies assessing the chemical and biological impact of this practice [16,17].
Among chemical pollutants of environmental concern that could contaminate fruits and vegetables, polychlorinated biphenyls (PCBs), polycyclic aromatic hydrocarbons (PAHs) and their nitro-derivatives (nitro-PAHs) are of serious concern. The sources of PAHs are mainly from the incomplete combustion process of organic matter, by diagenesis and biosynthesis, while PCBs are present in heat transfer fluids, hydraulic lubricants, dielectric fluids and as plasticizers [18]. PAHs and PCBs are recalcitrant, with some of the congeners being also mutagenic and carcinogenic [19,20]. Nitro-PAHs are derivatives of PAHs with nitro-moiteies (-NO2) on the aromatic ring generated through photochemical reactions, and their toxic effects are more pronounced than those of their parent [21]. They can be produced by gasoline-powered vehicles, combustion chambers of diesel engines and coal burning power plants [22]. In plants and their relative crops, PAHs, PCBs and nitro-PAHs are present mainly due to deposition of airborne particulates and uptake from contaminated soils and water. Due to their lipophilicity, nitro-PAHs are bioaccumulated in organisms and propagate along the food chain [23].
For the above-described impacts, a great effort has been dedicated to the optimization of analytical strategies for the extraction and quantitation of microorganic contaminants in food matrices, including highly consumed fruit and vegetables. In this regard, specific sample protocols able to remove the matrix interferences and/or to concentrate the pollutants from food considered as the main component of the Mediterranean diet, i.e., olives and strawberries [17,24,25], were proposed by our research group.
Among the most consumed fruits and vegetables, tomatoes also deserve to be investigated as they are fundamental components of the Mediterranean diet, are available all year round, have an affordable price and have various benefits also in terms of cancer prevention [26,27]. In this regard, it should be remarked that the European tomato production represents 13% of global world production [28]. Although the organic contamination in tomatoes has been previously studied, most research papers are focused on pesticides contamination [29,30] and only a few investigate PAHs and PCBs content [31,32,33,34,35]. However, most of these latter studies rely on extraction procedures that are time-consuming and have a high environmental impact, as they use, for example, high volumes of organic solvents for extraction [32] or require many steps for sample preparation and processing that can lead to analyte losses [33]. In addition, to the best of our knowledge, nitro-PAH contamination in tomatoes has not yet been studied.
On these premises, the aim of this work was the optimization, validation and application of an easy, quick and robust protocol (QuEChERS), more compliant to green chemistry principles, for the determination of 16 PAHs, 14 PCBs, including six dioxin-like congeners, and (for the first time) four nitro-PAHs in tomatoes. The optimization of the extraction procedure, through the choice of extraction solvents and clean-up phases, obtained through chemometrics techniques, i.e., experimental design and multiple response optimization, has allowed the analysis of the target pollutants by means of gas chromatographic-mass spectrometric analysis at μg/kg levels. After validation, the protocol developed was successfully applied to three tomato cultivars for the evaluation of their possible PAH, nitro-PAH and PCB contamination.

2. Materials and Methods

2.1. Reagents and Standard Solutions

For the QuEChERS procedure, organic solvents (dichloromethane, cyclohexane, acetone) as well as salting out and drying agents (sodium chloride and magnesium sulfate) were from Sigma Aldrich-Merck (Darmstadt, Germany), while the dispersive solid phase extraction (d-SPE) sorbents tested were purchased as follows: primary secondary amine bulk sorbent (PSA) and Endcapped C18 from Agilent Technologies (Santa Clara, CA, USA), Z-sep and Florisil (Sigma Aldrich-Merck, Darmstadt, Germany). Sulfuric acid 95–97% purity was purchased from Honeywell (Offenbach, Germany). Salts (Sigma Aldrich-Merck, Darmstadt, Germany).
Ultrapure water (18.2 MΩ cm resistivity at 25 °C) was produced by an Elix-Milli Q Academic system (Millipore-Merck, Vimodrone, Italy).
An amount of 16 PAHs stock solution (100 mg/L in toluene), from the priority Environmental Protection Agency (EPA) list, and 14 PCBs stock solution (500 mg/L standards in dichloromethane), chosen according to the results of the main environmental monitoring campaigns, were purchased from Sigma Aldrich-Merck and LGC Standards (Milan, Italy), respectively. The nitro-PAHs stock solutions (100 mg/L) were obtained from AccuStandard (New Haven, CT, USA).
The following isotope labelled compounds for PAHs and nitro-PAHs (5 mg/L) and for PCBs (2 mg/L), purchased from Wellington Laboratories (Guelph, ON, Canada) and AccuStandard, were used as internal standards and surrogate compounds to build calibration curves and to calculate extraction yields: benzo[a]anthracene-d12 (BaA-d12), chrisene-d12 (Chr-d12), benzo[b]fluoranthene-d12 (BbFl-d12), benzo[k]fluoranthene-d12 (BkFl-d12), benzo[a]pyrene-d12 (BaP-d12), indeno [1,2,3-cd]pyrene-d12 (Ind-d12), dibenzo[a,h]anthracene-d14 (DBA-d14), benzo[g,h,i]perylene-d12 (BP-d12) and 1-nitropyrene-d9. The 13C12-PCB surrogate solution included the following congeners: 13C12-PCB28, 13C12-PCB52, 13C12-PCB118, 13C12-PCB153, and 13C12-PCB180.
Anthracene-d10 (PAHs and nitro-PAHs) and 13C12-PCB70 (PCBs) were used as internal standards.
The list of target PAHs, PCBs and nitro-PAHs, internal standards and labelled surrogates, is summarized in Table 1, with their molecular weight (MW), octanol/water partition coefficient (logP) and their typical mass spectrometry m/z values (see Section 2.2).

2.2. Instrumentation and Softwares

PAHs, nitro-PAHs and PCBs extracted from tomatoes, as detailed in the following paragraphs, were analyzed by gas chromatography/mass spectrometry (GC–MS). In detail, an Agilent 6980 GC coupled with an Agilent 5973N MS detector and an Agilent 7683 autosampler were used, controlled by Agilent ChemStation software (8.8 version).
Chromatographic conditions are extensively described in previous works from the same authors [17,18]. The complete separation of the 16 PAHs, 4 nitro-PAHs and 14 PCBs was obtained within 52 min.
MiniTab 18.0 was used as the chemometric software tools.

2.3. Tomato Samples and Pre-Treatment

The extraction protocol was developed and validated using tomato samples of “Rio Grande” cultivar, chosen as model fruit, and then applied also to “Beefsteak” and “Vine” cultivars. All the tomato species were purchased in a local market.
Fruits were preliminarily cut into slices and dried in an oven for 48 h at 60 °C, in order to avoid target compounds’ degradation. Once dried, they were finely ground with a mortar to obtain a homogeneous sample and stored at −10 °C until extraction.

2.4. Analytical Protocol

2.4.1. Optimization of QuEChERS Extraction Parameters

To determine the best extraction solvent, 0.5 g of dried tomato were weighed into a 50 mL centrifuge tube. Additionally, 1 g anhydrous MgSO4 and 0.4 g NaCl. 10 mL extraction solvent were added, and the tube was shaken in an orbital shaker for 5 min (300 oscillations per min) and centrifuged for 5 min (1507× g).
Within this study, three organic solvents with different polarity were tested, namely acetone, dichloromethane and cyclohexane. The absence of co-extracted pigments in the extract was chosen as qualitative response to determine the best extraction solvent that can minimize co-extraction of matrix components and hence matrix effect.
Extracts from previous steps were subsequently purified through a clean-up procedure. In detail, an optimized amount of d-SPE phase was added, together with 1 g anhydrous MgSO4, and the vial was shaken in an orbital shaker for 5 min (300 oscillations per min) and centrifuged for 10 min (7871× g).
Four d-SPE sorbents were chosen, namely, primary-secondary amine (PSA), Endcapped C18, Z-sep and Florisil, and tested also in sequential extraction.
A final optimized volume of sulfuric acid was added to 1.5 mL of the purified extract to oxidize the residual organic contamination. The vial was then shaken for 5 min at 300 oscillations per min and centrifuged for 5 min (1507× g). To determine the most efficient clean-up conditions, a combination between a full factorial experimental design (frequently chosen as effective tool in the optimization of analytical protocols [36]) and a multiple response optimization was used.

2.4.2. Analysis of PAHs, Nitro-PAHs and PCBs and Recovery Evaluation

1 mL extract was spiked with the internal standard solution of PAHs and PCBs prior to GC-MS analysis, (5 μg/L concentration).
Extraction yields were evaluated spiking the sample with surrogate solutions of PAHs, nitro-PAHs and PCBs (see Table 1) at 2 μg/L concentration (Csurr). After extraction, an external standard calibration curve was used to calculate the concentrations and the apparent extraction recovery, calculated according to the Equation (1) [37]:
E x t r a c t i o n   y i e l d = C e x t r C s u r r
where Cextr is the post-extraction concentration of the surrogate (μg/L).

2.4.3. Protocol Validation

The linearity was evaluated in cyclohexane solvent over 10 concentration levels: 0.15 µg/L and 3.5 µg/L for PAHs; 2.9 µg/L and 67 µg/L for nitro-PAH (6-nytrobenzo[a]pyrene between 22 µg/L and 500 µg/L); 0.25 µg/L and 6.75 µg/L for PCBs.
Method detection limits (MDLs) and method quantitation limits (MQLs) for the target compounds were calculated through the response error (RMSE) and the slope of the calibration curves, as detailed in the following expression: MDL = 3.3 Sy/m, and MQL = 10 Sy/m, where Sy = response error; m = slope of the calibration [38].
The intra-day and inter-day precision were evaluated using n = 10 and n = 30 determinations for tomatoes spiked with 2 μg/L surrogate standards, on a single day or on three separate days of analysis.
Matrix effect (ME) was evaluated by comparing the chromatographic area corresponding to the standards spiked into post-extracted blank tomato solutions (Astd,matrix) with the chromatographic area corresponding to the standards spiked in the extraction mixture (Astd,solvent), according to the Equation (2):
M E % = 100 · A s t d , m a t r i x A s t d , s o l v e n t A s t d , s o l v e n t
Native contamination in the tomatoes was subtracted performing two non-fortified blank analyses. Matrix effect was evaluated over three concentration levels, closer to the MQLs, namely level (1) PAHs: 0.30 µg/L, nitro-PAHs (excluding 6-N-BaP): 6 µg/L, 6-N-BaP: 45 µg/L, PCBs: 0.50 µg/L; level (2) PAHs: 0.46 µg/L, nitro-PAHs (excluding 6-N-BaP): 8.5 µg/L, 6-N-BaP: 62 µg/L, PCBs: 0.9 µg/L; level (3) PAHs: 0.62 µg/L, nitro-PAHs (excluding 6-N-BaP): 12 µg/L, 6-N-BaP: 90 µg/L and PCBs: 1 µg/L.

2.4.4. Optimized Protocol

The whole analytical protocol developed for the extraction and the analysis of PAHs, nitro-PAHs and PCBs (see Section 3.1) is summarized in Figure 1.

3. Results and Discussion

3.1. Optimization of Extraction Protocol

The analysis of organic xenobiotic in fruits and vegetables is often challenging, due to their complex matrix that is rich in interfering components such as essential oils, waxes, carotenoids and chlorophylls, thus typically requiring time-consuming and expensive protocols [39]. Hence, in this work a QuEChERS approach was chosen to extract the 16 PAHs, 4 nitro-PAHs and 14 PCBs from tomatoes due to its typical advantages, such as simplicity, low amount of organic solvent required and low time consumed [40].
The optimization strategy followed: (1) a first identification of the best extraction solvent (Section 3.1.1); (2) a subsequent optimization of the extract purification conditions (d-SPE sorbents, oxidizing agents, etc.) in order to obtain the highest extraction recoveries with the lowest co-extracted interferences from the matrix (Section 3.1.2).

3.1.1. Choice of Extraction Solvent

The characteristic red pigmentation of tomato fruit should be ascribed to carotenoids, in particular lycopene and β-carotene, and, to a lesser extent, to chlorophyll [41], potentially interfering with the subsequent GC-MS analysis if co-extracted with the pollutants of interest. Concerning lycopene and β-carotene, both are characterized by a strong non-polar nature (logP = 11.9 and 11.1, respectively), differently from target PAH, nitro-PAHs and PCBs that are characterized by a lower non-polar character (logP included within 2.96 and 7.85, Table 1).
In order to take advantage of the above-mentioned polarity differences, three extraction solvents (affine to target compounds and fully compatible with the HP-5MS GC column), from strongly nonpolar to medium polarity, were tested, trying to minimize the pigment’s coextraction. The solvents tested were cyclohexane (polarity index P’ = 0.2), dichloromethane (P’ = 3.1) and acetone (P’ = 5.1) [42] and the color intensity of the extracted solutions was chosen as a qualitative response variable.
Results showed that for all the tested extraction solvents, part of carotenoids are co-extracted, with the highest concentration in dichloromethane (dark red color), followed by acetone and cyclohexane (soft yellow), as represented in Figure S1 of Supplementary Materials. Despite lycopene and β-carotene are nonpolar compounds, thus supposing a stronger affinity with cyclohexane (having the lower P’ value), the darker coloration obtained for dichloromethane should be addressed to their higher solubility in this latter organic solvent, as reported by previous studies [43,44].
Similar co-extracted interferences were visually observed for acetone and cyclohexane, despite their different polarity. Since for acetone, none of the subsequently tested d-SPE phases was shown to be effective in the removal of carotenoids, cyclohexane was chosen as the extraction solvent for the further optimization steps.

3.1.2. Optimization of Purification Conditions of Extract

To ensure an accurate quantification of analytes, clean-up steps are necessary to remove interfering compounds and to avoid matrix effect, before injecting the extract. As mentioned in the Materials and Method section, within this work, we evaluated the effect of several d-SPE sorbents to optimize the removal of interferents, while reducing the adsorption (and the loss) of target PAHs, nitro-PAHs and PCBs and, hence, enhancing the analytes’ recovery.
Taking into account the composition of tomatoes [45], four different phases were evaluated: PSA (enhanced affinity towards sugars [24] and pigments, including carotenoids [46]); C18 (enhanced affinity for fats and waxes [46]); Z-Sep (affinity towards natural pigments [47]); and Florisil, due to its polar behaviour and affinity towards selected pigments [48]. Even if graphitized carbon black, another frequently used d-SPE sorbent, is recognized to be effective in pigments abatement [47], it was not considered due to its high affinity to planar compounds such as PAHs and nitro-PAHs [49], thus promoting their undesired removal from the samples.
Preliminary visual tests on pigments abatement showed that both Z-sep and Florisil sorbents did not provide any improvement in decoloring, probably due to the high hydrophobicity of coextracted lycopene and β-carotene that resulted in a low affinity of the two quite polar adsorbents. Instead, C18 and PSA were shown to be effective in the reducing of the color in the extracts when performing two clean-up steps in sequence. Additionally, in order to boost the oxidation of residual co-extracted organic compounds not completely removed by d-SPE phase and, hence, to obtain a final colorless extract, the effect of the addition of sulfuric acid to the extract was tested.
Experimental Design
On these premises, to optimize clean-up conditions, a chemometric approach based on experimental design was followed. For each of the 14 surrogates, a full factorial design was chosen, thus estimating constant, linear terms and interactions between the different variables, as indicated by the following model reported in Equation (3):
Y = a 0 + a 1 · X 1 + a 2 · X 2 + a 3 · X 3 + a 12 · X 1 · X 2 + a 13 · X 1 · X 3 + a 23 · X 2 · X 3
In this study, the extraction yield of each surrogate was considered as the response variable (Y), ai are the coefficient of the linear term, aij are the coefficients of the interactions. The following three factors were studied at two levels (23): (i) volume, in µL, of sulfuric acid (X1), (ii) amount, in mg, of PSA (X2) and (iii) amount, in mg, of C18 (X3). The a123 interaction is not taken into account since no replicates were used to calculate the model, with a consequent loss of one degree of freedom [50].
Coded variables and levels together with the whole experimental design matrix are summarized in Table 2, while the extraction recovery percentages recorded for each surrogate are reported in Table 3.
Data show that the obtained extraction recoveries vary in a wide range, being included within 16 and 274%. In particular, it could be clearly observed that the highest enhancing matrix effect (with average apparent recovery higher than 150%) is present where both PSA and C18 are used in low amounts (experiments 1 and 2). Conversely, when both the d-SPE phases are present at the highest level (experiments 7 and 8), average extraction recoveries do not exceed 100% values, thus suggesting the efficacy of both d-SPE clean-up phases in matrix removal when used at higher amounts.
To better highlight the main and interaction effects within the experimental factors, a deep investigation through the Yates algorithm was performed [51,52,53]. For all the analytes, coefficients aij, resulting from the combination of variables, are at least two orders of magnitude lower in respect to ai linear terms (data not shown), thus suggesting that no synergistic effects in the clean-up step of analytes occurred. Hence, they will not be further discussed. Concerning linear terms (summarized in Table 4), the coefficient of X1 (volume of sulfuric acid) suggests that this parameter most influences the response for all the surrogates, since the average for the absolute value of all a1 coefficients is equal to 1.62, being more than three times higher than the average value of a2 coefficients (0.5) and five times than the average value of a3 coefficients (0.23).
It is interesting to note that for PAH, nitro-PAH and PCB surrogates a univocal correlation between sulfuric acid clean-up (X1) and surrogates’ recovery could not be observed. Indeed, both negative (higher H2SO4 volumes lead to lower recoveries) and positive (higher H2SO4 volumes lead higher recoveries) correlations are present.
Concerning PAH and nitro-PAH surrogates, a negative to positive trend of a1 (from −7.3 to 4.2) could be observed with the increase in congeners molecular weight (Table 4). We can hypothesize that medium molecular weight PAHs (MW ranging from 240 to 256, with 4 aromatic rings) undergo a partial degradation by the sulfuric acid used to remove the residual matrix, resulting in lower extraction recoveries. Conversely, for higher molecular weight congeners (MW ranging from 264 to 288, with 5 aromatic rings), no degradation is postulated. For these compounds, sulfuric acid exploited its oxidative function towards co-extracted interfering organic species, thus reducing the suppressive matrix effect and, hence, increasing the extraction yields. However, such observed correlation is not linear, since low R2 coefficients were obtained (0.2259 and 0.1894 for molecular weight and logP, respectively). PCB a1 coefficients exhibit a trend similar to PAHs, but they are characterized by a narrower range of values (from −1.1 to 0.1), meaning that these compounds are less influenced by sulfuric clean-up in their extraction, in accordance with the results obtained by Lamoree and co-workers [54].
The amount of PSA and C18 used for the clean-up was shown to influence the extraction recoveries of congeners to a lesser extent, apart from BbFl-d12, BkFl-d12 and 13C12-PCB52, whose coefficients for PSA term (X2) has a higher weight than for sulfuric acid (X1) as shown in Table 4. Since the a2 coefficients are negative, possible interactions between PSA and BbFl, BkFl and PCB52 are hypothesized, thus resulting in their partial removal from the extract and, hence, in lower recoveries.
For each surrogate, models obtained by the experimental design are reported in Table S1 of Supplementary Materials, together with the relative weight assigned to each variable.
Multiple Response Optimization
Since in this study the optimization procedure involves more than one response (fourteen responses, one for each surrogate), it is necessary to combine all the previously obtained models in function of a specific target criterion (e.g., minimized response, maximized response or target response), for obtaining the overall optimized values for the studied system.
In this regard, a multiple response optimization approach was innovatively chosen. In more detail, models previously fitted for each surrogate through experimental design were combined, setting the software to extrapolate the optimal X1, X2 and X3 conditions to reach a recovery as closest as possible to 100% (so called “target response” approach). The only constraint imposed was that those combinations leading to recoveries higher than 120% should be discarded.
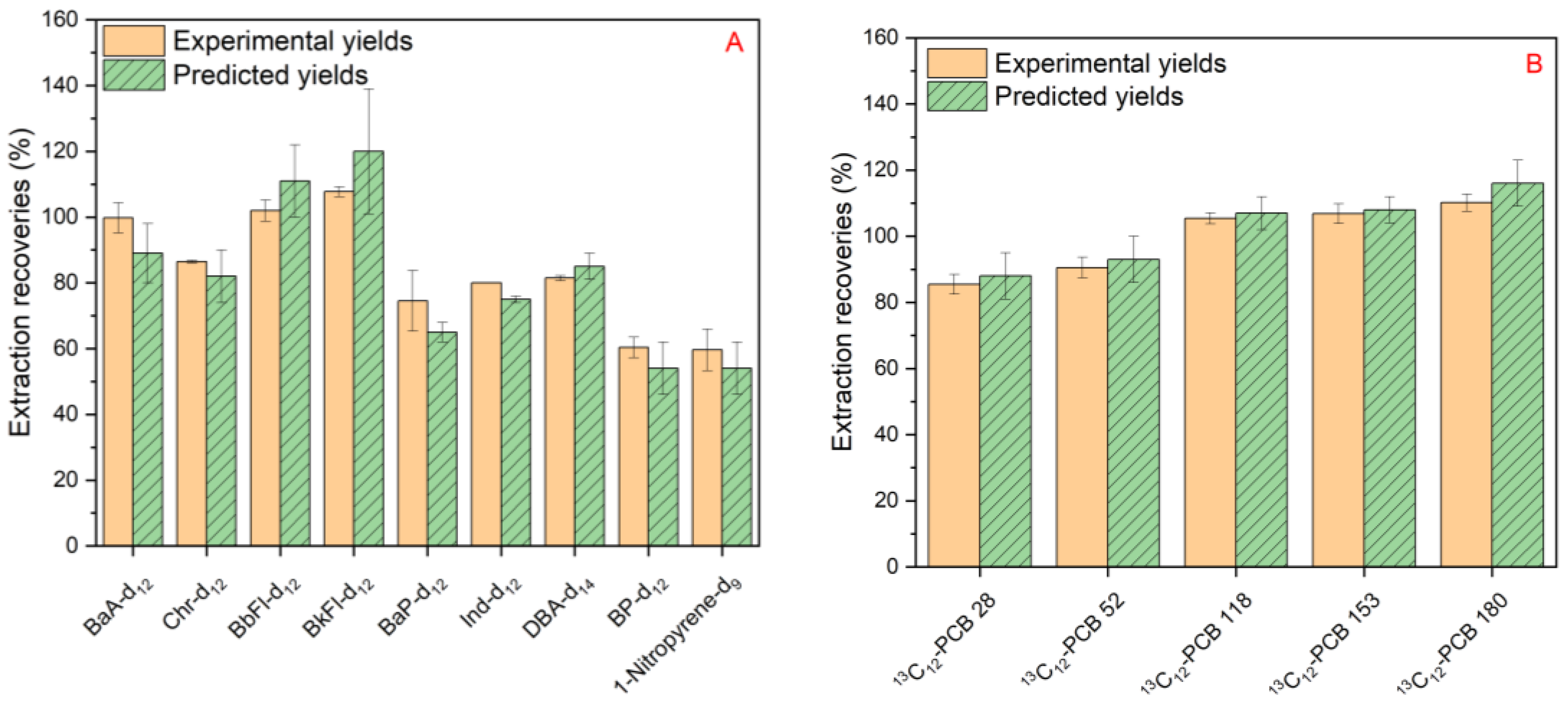
After calculation, the software provided the optimization plot (a graph showing how the variables affect the predicted responses, as detailed in Figure S2 of the Supplementary Materials), and the optimal combination of X1, X2 and X3 variables, that leads to the highest extraction recovery, namely: (i) 9 µL of sulfuric acid (X1), (ii) 150 mg PSA (X2) and (iii) 150 mg C18 (X3), coinciding with the conditions tested in experiment 7 of the experimental design (see Experimental Design Section). Hence, to evaluate the accuracy of the statistical model, the extraction yields predicted from the multiple response optimization were compared with those obtained in test #7 of the full factorial design, replicated three times (Figure 2A,B).
Results showed that predicted extraction yields ranged from 54% to 120% recoveries (PAHs and nitro-PAH) and from 88% to 116% (PCBs), while experimental recoveries ranged from 59% to 111% (PAHs and nitro-PAH) and from 85% to 110% (PCBs). Hence, a very good agreement between modelled and experimental recoveries was obtained, with deviations lower than 10% for all the surrogates tested. Additionally, RSD% obtained for experimental replicates are below 15% for all the surrogates, thus suggesting a good repeatability.
The partial decrease in PAH recoveries observed at the increase in molecular weight was already assessed elsewhere, when using PSA as clean-up phase [24]. Conversely, concerning PCBs, the extraction recoveries slightly decrease with the increasing of congeners polarity (from 13C12-PCB180 to 13C12-PCB28). This behavior could not tentatively be ascribed to the clean-up procedure, but rather to the low cyclohexane polarity, which better promotes the extraction of less polar species.
For the above-mentioned considerations, obtained clean-up conditions of test #7 were considered as optimal and the whole optimized protocol (Figure 1) was validated, as described in the following paragraphs.

3.2. Validation of the Analytical Protocol

After optimization, the whole method was validated assessing linearity, method detection and quantitation limits (MDLs and MQLs), intra-day and inter-day precisions and matrix effect (ME). Additionally, the evaluation of the main figures of merit (linearity, MDLs and MQLs, and extraction recoveries) was performed by a second, different operator, thus confirming the reliability of the proposed protocol.

3.2.1. Linearity

The protocol linearity was confirmed for PAHs in the range 0.05–3.5 μg/L (0.5–70 µg/kg), for nitro-PAHs in the range 2.9–67 µg/L (60 µg/kg−1.3 mg/kg), for the 6-nitro-Benzo[a]pyrene that is in the range 22–500 µg/L (0.4–10 mg/kg) and for PCBs in the range 0.3–6.5 μg/L (5–135 µg/kg) with R2 coefficients included within 0.998 and 0.999 for all classes of compounds.

3.2.2. Method Detection and Quantitation Limits

MDLs and MQLs were calculated as described in Section 2.4.3 and are reported in Table 5. MDL ranged from 0.6 to 2.6 μg/kg for PAHs, from 28 to 40 µg/kg for nitro-PAHs and between 1.2 and 6.3 μg/kg for PCBs. MQLs for PAHs varied between 1.9 and 8.3 μg/kg, between 84 and 104 µg/kg for nitro-PAHs and between 3.7 and 19.1 μg/kg for PBCs. 6-Nitrobenzo[a]pyrene showed MDLs and MQLs about one order of magnitude higher than those obtained for the other nitro-PAHs.
To the best of our knowledge, no current regulation limits for PAHs, nitro-PAHs and PCBs in fruits are present. However, MDLs and MQLs here presented are compatible with average PAHs and PCBs contamination detected in tomatoes in previous studies [33,35]. Concerning nitro-PAHs, due to the innovation of this study, a comparison could not be performed.

3.2.3. Method Precision

The intra-day and inter-day precision, evaluated over surrogates and expressed as relative standard deviation (RSD%), was lower than 12% for all the pollutants’ classes. In detail, RSD% intra-days and RSD% inter-days were in the range 6.3% (BbFl-d12)—15.9% (BP-d12) and 0.1 (BkFl-d12)—7.7% (Chr-d12) for PAHs, respectively; in the range 3.9% (13C12-PCB153)—6.5% (13C12-PCB118) and 0.2 (13C12-PCB52)—4.3% (13C12-PCB28) for PCBs, respectively; 11.8 and 2.5% for 1-Nitropyrene-d9, respectively. These data confirm the repeatability of the optimized protocol.

3.2.4. Matrix Effect

The presence of any matrix effect (ME) was singularly evaluated over 3 calibration levels for all the 34 target analytes (see Section 2.4.3). Results showed that only limited matrix contribution is present (Figure 3), with percentages lower than 20% for all the analytes at all the concentration tested (13.1% average |ME| for PAHs, 15.9% for nitro-PAHs and 9.3% for PCBs). Hence, a systematic influence of the matrix within the protocol developed should be excluded [55].
It should be mentioned that the |ME| for 6-nitrobenzo[a]pyrene exceed 20% for all calibration levels (about 50%), probably due to its lower sensitivity in the GC-MS analysis and, therefore, it was not included in Figure 3.
The total-ion-current chromatogram reporting the separation of all the 34 target analytes in post-extraction solvent is reported in Figure S3 of Supplementary Materials.

3.3. Greennes Position of the Developed Method in the State of the Art

The protocol here presented proposes new advancements over existing literature both in terms of greenness assessment and analytical performances.
Before comparing the developed protocol with those already available, it should be recalled that the proposed method is innovative since, to the best of our knowledge, no previous protocols dealing with the determination of nitro-PAHs in tomatoes were yet developed. Consequently, the following comparison will be necessarily limited to PAHs and PCBs analysis.
To assess the protocol greenness, a recent open-source tool called AGREE (Analytical GREEnness Metric Approach and Software), developed by Pena-Pereira and co-workers, was innovatively exploited. AGREE calculator is based on the 12 principles of green analytical chemistry that are converted into a unified 0–1 scale. The final outcome is a scheme clearly indicating the final score and the performance of the analytical procedure for each principle, making easier a rapid comparison between evaluated protocols [56].
As represented in Figure 4, the optimized QuECHERS-based approach here developed (which allows for the simultaneous extraction of 16 PAHs, 4 nitro-PAHs and 14 PCBs, together with their 14 proper surrogates), is highly encouraging in respect to already published approaches for the analysis of PAHs and/or PCBs in tomatoes based on gas chromatographic analysis, with a total greenness assessment score far higher than those of compared methods (0.51 in respect to an average of 0.33, respectively).
In detail, most improvements should be addressed to scores 2, 4, 7, 8 and 12 (represented as greener or yellower boxes in the first pictogram) since compared methods are affected by: (i) higher amount of sample weighted (score 2) [32,33,55]; (ii) higher number of operational steps required, such as solvent changes and preconcentration (score 4) [32,55,57]; (iii) higher solvent volumes used and, therefore, higher amount of wastes produced (score 7) [32,33,55]; (iv) reduced number of compounds analyzed in a single run (score 8) [55,57]; use of reagents being more hazardous for the operator (score 12) [32,33,55,57].
In addition, both extraction recoveries and MQLs of the proposed method are in the same range or even better than those reported in the above-reported literature, with quantitation limits even enhanced for more than two orders of magnitude than those reported in the work of Al Nasir and co-workers [32].

3.4. Real Sample Contamination

The optimized method (Figure 1) has been used for the analysis of PAHs, nitro-PAHs and PCBs in samples of “Rio Grande”, “Beefsteak” and “Vine” tomatoes purchased at local markets. Samples were analyzed in triplicate, together with one procedural blank to exclude laboratory contaminations. Additionally, “Beefsteak” and “Vine” samples were spiked with surrogates and the extraction recoveries were compared with those obtained for “Rio Grande” cultivar during the optimization steps (see Section Multiple Response Optimization Section). Data obtained showed that the apparent recoveries obtained for all the three tested cultivars perfectly falls in the same range (Table S2 in the Supplementary Materials), thus confirming the robustness of the proposed protocol. Most of the target organic contamination is below the detection and quantitation limits for all the cultivar analyzed, except for Phe in “Rio Grande” (7.3 ± 0.6 µg/Kg) and in “Beefsteak” (6.8 ± 0.4 µg/Kg). Chromatogram tracks obtained for both cultivars are reported in Figure S4 of Supplementary Materials.
It should be mentioned that the Regulation (EC) No 1881/2006, devoted to set maximum levels for certain contaminants in foodstuffs, does not include fruits and vegetables, with the only exception of dried fruit. However, detected levels are fully in agreement with previous studies investigating the PAH and PCB contamination in tomatoes [32,33].

4. Conclusions

In this work, an easy and robust analytical procedure based on the QuEChERS approach followed by gas chromatographic-mass spectrometric analysis was successfully optimized for the simultaneous analysis of 34 organic micropollutants (16 PAHs, EPA priority), 14 PCBs, including 6 dioxin-like congeners, and, for the first time, 4 nitro-PAH) in tomatoes.
The effect of the polarity of three tested solvents (acetone, cyclohexane and dichloromethane) towards the co-extraction of matrix interfering compounds, such as carotenoids and chlorophyll, was investigated, with cyclohexane resulting as the less affine solvent to interferences. Additionally, the advanced use and combination of powerful chemometric tools, namely a 23 full factorial experimental design and a multiple response optimization, was innovatively exploited for the evaluation of the main effects of four d-SPE phases and sulfuric acid in the clean-up step. An amount of 15 mg of PSA and C18, respectively, and 9 µL were chosen to be effective in the removal of the residual matrix, avoiding adsorption and oxidation of target compounds, and thus obtaining final extraction recoveries in the range of 60–115%.
The method, originally optimized for “Rio Grande” tomato cultivar, was successfully applied also to the monitoring of the contamination in “Beefsteak” and “Vine” cultivars bought in a local market, confirming the same optimal extraction performances in both cultivars. As expected, the pollution impact of target analytes was shown to be negligible, with concentrations below detection limits for all the compounds, with the only exception of Phe and Ant, detected at concentration levels similar to other studies.
To the best of our knowledge, the method optimized in this research represents the first validated analytical approach devoted to nitro-PAHs in this fruit, and it represents a greener alternative to analogue protocols based on more traditional sample preparation steps. In addition, the ease (reduced number of procedural steps) and robustness (RSD% < 16% for intra- and inter-day precision) of the proposed method makes it easily applicable for PAHs, PCBs and nitro-PAHs contamination routine analysis in tomatoes; for example, in view of a future scenario of treated water reuse for irrigation.

Supplementary Materials

The following supporting information can be downloaded at: https://www.mdpi.com/article/10.3390/separations10030174/s1, Figure S1: Visual results of the extraction of “Rio Grande” cultivar using cyclohexane (A), acetone (B) and dichloromethane (C) solvents. 0.5 g sample weight, 10 mL extraction volume and 5 min at 1507× g centrifuge; Figure S2: The optimization plot retrieved from MiniTab software, after performing the multiple response optimization, where columns reported the effect of each factor on the responses (rows). The red lines shows the current factor settings, andthe red numbers at the top represent the level settings of each factor. The blue lines and numbers shows the responses for the current factor level; Figure S3: Total ion chromatogram obtained for the 16 PAHs (red line), 14PCBs (green line) and 4 nitro-PAHs (blue line) in post-extraction solvent using the optimized QuEChERS approach followed by GC-MS. Analysis conditions are detailed in Material and Method section; Figure S4: Chromatograms obtained after the extraction and analysis of “Rio Grande” (blue) and “Beefsteak” (green) using the optimized protocol. “Phe” peak is evidenced by a blue arrow. Protocols details are reported in Material and Method section; Table S1: Equation models and histogram of coefficients retrieved for each surrogate after the full factorial design (conditions detailed in Experimental Design Section); Table S2: Extraction recovery percentages of surrogates from “Rio Grande”, “Beefsteak” and “Vine” cultivars. Extraction conditions are detailed in Section 2.4.4 of the manuscript.

Author Contributions

Conceptualization, L.R. and M.C.B.; Data curation, L.R.; Formal analysis, G.C.; Funding acquisition, M.D.B. and M.C.B.; Methodology, L.R., M.C. and M.C.B.; Project administration, M.C.B.; Software, L.R. and G.C.; Supervision, M.C.B.; Validation, L.R.; Visualization, M.D.B., M.C., V.T., M.I. and M.C.B.; Writing—original draft, L.R. and M.C.B.; Writing—review and editing, L.R. and M.C.B. All authors have read and agreed to the published version of the manuscript.

Funding

This research has received funding from the European Union’s Horizon 2020 research and innovation program under grant agreement Nº 862555. The project SECUREFOOD (to which the scientific results shown here belong) was carried out under the ERA-Net Cofund FOSC (Grant Nº 862555), built upon and supported by the experience from the Joint Programming Initiative on Agriculture, Food Security & Climate change (FACCE-JPI) and the ERA-Net Cofund LEAP-Agri.

Data Availability Statement

Not applicable.

Conflicts of Interest

The authors declare no conflict of interest. The funders had no role in the design of the study; in the collection, analyses, or interpretation of data; in the writing of the manuscript; or in the decision to publish the results.

References

  1. United Nations. The Global Goals, Goal 2: “Zero Hunger”. Available online: https://www.globalgoals.org/goals/2-zero-hunger/ (accessed on 20 January 2023).
  2. Food and Agriculture Organization of the United Nations. The State of Food Security and Nutrition in the World 2021; FAO: Rome, Italy, 2021. [Google Scholar]
  3. Droby, S. Microbial Food Contamination; CRC Press: Boca Raton, FL, USA, 2000. [Google Scholar]
  4. Darwish, A.; Ricci, M.; Zidane, F.; Vasquez, J.A.T.; Casu, M.R.; Lanteri, J.; Migliaccio, C.; Vipiana, F. Physical Contamination Detection in Food Industry Using Microwave and Machine Learning. Electronics 2022, 11, 3115. [Google Scholar] [CrossRef]
  5. Garvey, M. Food pollution: A comprehensive review of chemical and biological sources of food contamination and impact on human health. Nutrire 2019, 44, 1. [Google Scholar] [CrossRef]
  6. European Food Safety Authority. Chemical Contaminants in Food and Feed. Available online: https://www.efsa.europa.eu/en/topics/topic/chemical-contaminants-food-feed (accessed on 18 January 2023).
  7. Carvalho, F.P. Pesticides, environment, and food safety. Food Energy Secur. 2017, 6, 48–60. [Google Scholar] [CrossRef]
  8. Marsh, K.; Bugusu, B. Food packaging—Roles, materials, and environmental issues. J. Food Sci. 2007, 72, R39–R55. [Google Scholar] [CrossRef]
  9. Yaacob, T.Z.; Jaafar, H.S.; Rahman, F.A. An overview of halal food product contamination risks during transportation. Sci. Int. 2016, 28, 3183–3190. [Google Scholar]
  10. Nerin, C.; Aznar, M.; Carrizo, D. Food contamination during food process. Trends Food Sci. Technol. 2016, 48, 63–68. [Google Scholar] [CrossRef]
  11. Thompson, L.A.; Darwish, W.S. Environmental chemical contaminants in food: Review of a global problem. J. Toxicol. 2019, 2019, 2345283. [Google Scholar] [CrossRef]
  12. World Health Organization. Diet, Nutrition, and the Prevention of Chronic Diseases: Report of a Joint WHO/FAO Expert Consultation; World Health Organization: Geneva, Switzerland, 2003; Volume 916. [Google Scholar]
  13. Zheng, N.; Wang, Q.; Zhang, X.; Zheng, D.; Zhang, Z.; Zhang, S. Population health risk due to dietary intake of heavy metals in the industrial area of Huludao city, China. Sci. Total Environ. 2007, 387, 96–104. [Google Scholar] [CrossRef] [PubMed]
  14. Aubry, C.; Manouchehri, N. Urban agriculture and health: Assessing risks and overseeing practices. Field Actions Sci. Reports. J. Field Actions 2019, 20, 108–111. [Google Scholar]
  15. García, M.G.; Fernández-López, C.; Polesel, F.; Trapp, S. Predicting the uptake of emerging organic contaminants in vegetables irrigated with treated wastewater–implications for food safety assessment. Environ. Res. 2019, 172, 175–181. [Google Scholar] [CrossRef] [PubMed]
  16. Rivoira, L.; Castiglioni, M.; Kettab, A.; Ouazzani, N.; Al-Karablieh, E.; Boujelben, N.; Fibbi, D.; Coppini, E.; Giordani, E.; Del Bubba, M. Impact of effluents from wastewater treatments reused for irrigation: Strawberry as case study. Environ. Eng. Manag. J. (EEMJ) 2019, 18, 2133–2143. [Google Scholar]
  17. Bruzzoniti, M.C.; Rivoira, L.; Castiglioni, M.; El Ghadraoui, A.; Ahmali, A.; El Mansour, T.E.H.; Mandi, L.; Ouazzani, N.; Del Bubba, M. Extraction of polycyclic aromatic hydrocarbons and polychlorinated biphenyls from urban and olive mill wastewaters intended for reuse in agricultural irrigation. J. AOAC Int. 2020, 103, 382–391. [Google Scholar] [CrossRef]
  18. Rivoira, L.; Castiglioni, M.; Nurra, N.; Battuello, M.; Sartor, R.M.; Favaro, L.; Bruzzoniti, M.C. Polycyclic Aromatic Hydrocarbons and Polychlorinated Biphenyls in Seawater, Sediment and Biota of Neritic Ecosystems: Occurrence and Partition Study in Southern Ligurian Sea. Appl. Sci. 2022, 12, 2564. [Google Scholar] [CrossRef]
  19. Xue, W.; Warshawsky, D. Metabolic activation of polycyclic and heterocyclic aromatic hydrocarbons and DNA damage: A review. Toxicol. Appl. Pharmacol. 2005, 206, 73–93. [Google Scholar] [CrossRef] [PubMed]
  20. Letz, G. The toxicology of PCB’s—An overview for clinicians. West. J. Med. 1983, 138, 534. [Google Scholar]
  21. Lee, Y.-Y.; Hsieh, Y.-K.; Huang, B.-W.; Mutuku, J.K.; Chang-Chien, G.-P.; Huang, S. An Overview: PAH and Nitro-PAH Emission from the Stationary Sources and their Transformations in the Atmosphere. Aerosol Air Qual. Res. 2022, 22, 220164. [Google Scholar] [CrossRef]
  22. Bandowe, B.A.M.; Meusel, H. Nitrated polycyclic aromatic hydrocarbons (nitro-PAHs) in the environment—A review. Sci. Total Environ. 2017, 581, 237–257. [Google Scholar] [CrossRef]
  23. Meudec, A.; Dussauze, J.; Deslandes, E.; Poupart, N. Evidence for bioaccumulation of PAHs within internal shoot tissues by a halophytic plant artificially exposed to petroleum-polluted sediments. Chemosphere 2006, 65, 474–481. [Google Scholar] [CrossRef]
  24. Castiglioni, M.; Onida, B.; Rivoira, L.; Del Bubba, M.; Ronchetti, S.; Bruzzoniti, M.C. Amino groups modified SBA-15 for dispersive-solid phase extraction in the analysis of micropollutants by QuEchERS approach. J. Chromatogr. A 2021, 1645, 462107. [Google Scholar] [CrossRef] [PubMed]
  25. Bruzzoniti, M.C.; Rivoira, L.; Castiglioni, M.; Cagno, E.; Kettab, A.; Fibbi, D.; Del Bubba, M. Optimization and Validation of a Method Based on QuEChERS Extraction and Gas Chromatographic-Mass Spectrometric Analysis for the Determination of Polycyclic Aromatic Hydrocarbons and Polychlorinated Biphenyls in Olive Fruits Irrigated with Treated Wastewaters. Separations 2022, 9, 82. [Google Scholar]
  26. Manios, Y.; Detopoulou, V.; Visioli, F.; Galli, C. Mediterranean diet as a nutrition education and dietary guide: Misconceptions and the neglected role of locally consumed foods and wild green plants. Local Mediterr. Food Plants Nutraceuticals 2006, 59, 154–170. [Google Scholar]
  27. Gómez-Romero, M.; Arráez-Román, D.; Segura-Carretero, A.; Fernández-Gutiérrez, A. Analytical determination of antioxidants in tomato: Typical components of the Mediterranean diet. J. Sep. Sci. 2007, 30, 452–461. [Google Scholar] [CrossRef]
  28. Čechura, L.; Žáková Kroupová, Z.; Samoggia, A. Drivers of Productivity Change in the Italian Tomato Food Value Chain. Agriculture 2021, 11, 996. [Google Scholar] [CrossRef]
  29. Elgueta, S.; Valenzuela, M.; Fuentes, M.; Meza, P.; Manzur, J.P.; Liu, S.; Zhao, G.; Correa, A. Pesticide residues and health risk assessment in tomatoes and lettuces from farms of metropolitan region Chile. Molecules 2020, 25, 355. [Google Scholar] [CrossRef] [PubMed]
  30. Lehel, J.; Vöröskői, P.; Palkovics, A.; Szabó, C.; Darnay, L.; Budai, P.; Laczay, P.; Lányi, K. Farm to table: Residues of different pesticides in tomato and tomato juice–Food safety aspects. Acta Vet. Hung. 2022, 70, 236–244. [Google Scholar] [CrossRef]
  31. Paris, A.; Ledauphin, J.; Poinot, P.; Gaillard, J.-L. Polycyclic aromatic hydrocarbons in fruits and vegetables: Origin, analysis, and occurrence. Environ. Pollut. 2018, 234, 96–106. [Google Scholar] [CrossRef] [PubMed]
  32. Al Nasir, F.; Batarseh, M.I. Agricultural reuse of reclaimed water and uptake of organic compounds: Pilot study at Mutah University wastewater treatment plant, Jordan. Chemosphere 2008, 72, 1203–1214. [Google Scholar] [CrossRef]
  33. Araromi, A.; Ayodele, O.; Azeez, M.; Olanipekun, E. Assessment of Trace Organics in Tomatoes from Selected Markets in Ado-Ekiti, Nigeria. J. Mater. Environ. Sci. 2020, 11, 2084–2094. [Google Scholar]
  34. Bansal, V.; Kim, K.-H. Review of PAH contamination in food products and their health hazards. Environ. Int. 2015, 84, 26–38. [Google Scholar] [CrossRef]
  35. Camargo, M.C.R.; Toledo, M.C.l.F. Polycyclic aromatic hydrocarbons in Brazilian vegetables and fruits. Food Control 2003, 14, 49–53. [Google Scholar] [CrossRef]
  36. Ingrando, I.; Rivoira, L.; Castiglioni, M.; Tumiatti, V.; Lenzi, F.; Pagliano, A.; Bruzzoniti, M.C. Microwave-assisted extraction and gas chromatographic determination of thirty priority micropollutants in biowaste fraction derived from municipal solid waste for material recovery in the circular-economy approach. Talanta 2022, 241, 123268. [Google Scholar] [CrossRef]
  37. Burns, D.T.; Danzer, K.; Townshend, A. Use of the term “recovery” and “apparent recovery” in analytical procedures (IUPAC Recommendations 2002). Pure Appl. Chem. 2002, 74, 2201–2205. [Google Scholar] [CrossRef]
  38. Shrivastava, A.; Gupta, V.B. Methods for the determination of limit of detection and limit of quantitation of the analytical methods. Chron. Young Sci. 2011, 2, 21–25. [Google Scholar] [CrossRef]
  39. Speer, K.; Horstmann, P.; Steeg, E.; Kühn, T.; Montag, A. Zur Analytik von Polycyclen in Gemüseproben. Z. Lebensm. Unters. Forsch. 1990, 191, 442–448. [Google Scholar] [CrossRef]
  40. Azaiez, I.; Giusti, F.; Sagratini, G.; Mañes, J.; Fernández-Franzón, M. Multi-mycotoxins analysis in dried fruit by LC/MS/MS and a modified QuEChERS procedure. Food Anal. Methods 2014, 7, 935–945. [Google Scholar] [CrossRef]
  41. Tilahun, S.; Seo, M.H.; Hwang, I.G.; Kim, S.H.; Choi, H.R.; Jeong, C.S. Prediction of lycopene and β-carotene in tomatoes by portable chroma-meter and VIS/NIR spectra. Postharvest Biol. Technol. 2018, 136, 50–56. [Google Scholar] [CrossRef]
  42. Snyder, L.R.; Kirkland, J.J.; Glajch, J.L. Practical HPLC Method Development; John Wiley & Sons: Hoboken, NJ, USA, 2012. [Google Scholar]
  43. Anarjan, N.; Tan, C.P.; Nehdi, I.A.; Ling, T.C. Colloidal astaxanthin: Preparation, characterisation and bioavailability evaluation. Food Chem. 2012, 135, 1303–1309. [Google Scholar] [CrossRef]
  44. Myong-Kyun, R.; Min-Hee, J.; Jin-Nam, M.; Woi-Sook, M.; Sun-Mee, P.; Jae-Suk, C. A simple method for the isolation of lycopene from Lycopersicon esculentum. Bot. Sci. 2013, 91, 187–192. [Google Scholar] [CrossRef]
  45. Ali, M.Y.; Sina, A.A.I.; Khandker, S.S.; Neesa, L.; Tanvir, E.; Kabir, A.; Khalil, M.I.; Gan, S.H. Nutritional composition and bioactive compounds in tomatoes and their impact on human health and disease: A review. Foods 2020, 10, 45. [Google Scholar] [CrossRef] [PubMed]
  46. Rejczak, T.; Tuzimski, T. A review of recent developments and trends in the QuEChERS sample preparation approach. Open Chem. 2015, 13, 980–1010. [Google Scholar] [CrossRef]
  47. Shim, J.-H.; Rahman, M.M.; Zaky, A.A.; Lee, S.-J.; Jo, A.; Yun, S.-H.; Eun, J.-B.; Kim, J.-H.; Park, J.-W.; Oz, E. Simultaneous Determination of Pyridate, Quizalofop-ethyl, and Cyhalofop-butyl Residues in Agricultural Products Using Liquid Chromatography-Tandem Mass Spectrometry. Foods 2022, 11, 899. [Google Scholar] [CrossRef]
  48. Ahmad, A.; Chan, C.; Abd Shukor, S.; Mashitah, M. Adsorption kinetics and thermodynamics of β-carotene on silica-based adsorbent. Chem. Eng. J. 2009, 148, 378–384. [Google Scholar] [CrossRef]
  49. Nielsen, T.; Ramdahl, T.; Bjørseth, A. The fate of airborne polycyclic organic matter. Environ. Health Perspect. 1983, 47, 103–114. [Google Scholar] [CrossRef] [PubMed]
  50. Granato, D.; Ares, G. Mathematical and Statistical Methods in Food Science and Technology; John Wiley & Sons: Hoboken, NJ, USA, 2014. [Google Scholar]
  51. Bruzzoniti, M.C.; Kobylinska, D.K.; Franko, M.; Sarzanini, C. Flow injection method for the determination of silver concentration in drinking water for spacecrafts. Anal. Chim. Acta 2010, 665, 69–73. [Google Scholar] [CrossRef]
  52. Rivoira, L.; Appendini, M.; Fiorilli, S.; Onida, B.; Del Bubba, M.; Bruzzoniti, M.C. Functionalized iron oxide/SBA-15 sorbent: Investigation of adsorption performance towards glyphosate herbicide. Environ. Sci. Pollut. Res. 2016, 23, 21682–21691. [Google Scholar] [CrossRef] [PubMed]
  53. Rivoira, L.; Studzińska, S.; Szultka-Młyńska, M.; Bruzzoniti, M.C.; Buszewski, B. New approaches for extraction and determination of betaine from Beta vulgaris samples by hydrophilic interaction liquid chromatography-tandem mass spectrometry. Anal. Bioanal. Chem. 2017, 409, 5133–5141. [Google Scholar] [CrossRef]
  54. Lamoree, M.; Swart, K.; Senhorst, H.; van Hattum, B. Validation of the Acidic Sample Clean-Up Procedure for the DR-CALUX Assay; Vrije Universiteit: Amsterdam, The Netherlands, 2004. [Google Scholar]
  55. Fernandes, V.C.; Domingues, V.F.; Mateus, N.; Delerue-Matos, C. Multiresidue pesticides analysis in soils using modified Q u EC h ERS with disposable pipette extraction and dispersive solid-phase extraction. J. Sep. Sci. 2013, 36, 376–382. [Google Scholar] [CrossRef]
  56. Pena-Pereira, F.; Wojnowski, W.; Tobiszewski, M. AGREE—Analytical GREEnness metric approach and software. Anal. Chem. 2020, 92, 10076–10082. [Google Scholar] [CrossRef]
  57. Liu, T.; Yang, D.; Mao, J.; Zhang, X.; Dong, M. Carboxylated multiwalled carbon nanotubes as dispersive solid-Phase extraction sorbent to determine eighteen polychlorinated biphenyls in vegetable samples by gas chromatography-mass spectrometry. J. Anal. Methods Chem. 2019, 2019, 4264738. [Google Scholar] [CrossRef]
Figure 1. Schematic representation of the optimized QuEChERS method for the analysis of PAHs, nitro-PAHs and PCBs in tomatoes.
Figure 1. Schematic representation of the optimized QuEChERS method for the analysis of PAHs, nitro-PAHs and PCBs in tomatoes.
Separations 10 00174 g001
Figure 2. Predicted (green patterned) and experimental (orange) extraction yields of PAHs, nitro-PAHs (A) and PCBs (B) using the optimized extraction and clean-up conditions.
Figure 2. Predicted (green patterned) and experimental (orange) extraction yields of PAHs, nitro-PAHs (A) and PCBs (B) using the optimized extraction and clean-up conditions.
Separations 10 00174 g002
Figure 3. Matrix effect (ME) of the developed QuEChERS method for PAHs (A), PCBs (B) and nitro-PAHs (C) over three calibration levels (summarized in Section 2.4.3).
Figure 3. Matrix effect (ME) of the developed QuEChERS method for PAHs (A), PCBs (B) and nitro-PAHs (C) over three calibration levels (summarized in Section 2.4.3).
Separations 10 00174 g003
Figure 4. AGREE final score showing the green impact of the proposed protocol towards methods already published in the literature for the analysis of PAHs and PCBs in tomatoes.
Figure 4. AGREE final score showing the green impact of the proposed protocol towards methods already published in the literature for the analysis of PAHs and PCBs in tomatoes.
Separations 10 00174 g004
Table 1. List of internal standards, target analytes and their labelled isotopes (surrogates), together with their relative molecular weight (MW), tyipical mass/charge values (m/z) and octanol/water partition coefficient (logP). PCB dioxin-like are marked (*).
Table 1. List of internal standards, target analytes and their labelled isotopes (surrogates), together with their relative molecular weight (MW), tyipical mass/charge values (m/z) and octanol/water partition coefficient (logP). PCB dioxin-like are marked (*).
AnalyteMWm/z aLogP bSurrogateMWm/z a
Naphthalene (Naph)1281282.963
Acenaphthene (AcPY)1521523.329
Acenaphthylene (AcPh)1541523.526
Fluorene (Flu)1661663.739
Phenanthrene (Phe)1781783.952
Anthracene (Ant)1781783.952
Fluoranthene (Flth)2022024.284
Pyrene (Pyr)2022024.284
Benzo[a]anthracene (BaA)2282284.942BaA-d12240240
Chrysene (Chr)2282284.942Chr-d12240240
Benzo[b]fluoranthene (BbFl)2522525.273BbFl-d12264264
Benzo[k]fluoranthene (BkFl)2522525.273BkFl-d12264264
Benzo[a]pyrene (BaP)2522525.273BaP-d12264264
Indeno [1,2,3-cd]pyrene (Ind)2762765.605Ind-d12288288
Dibenz[a,h]anthracene (DBA)2782785.931DBA-d14292292
Benzo[g,h,i]perylene (BP)2762765.605BP-d12288288
PCB112232224.829
PCB152232224.829
PCB282581865.43313C12-PCB28269268
PCB522922926.03713C12-PCB52304304
PCB1013262546.641
PCB81 *2922926.037
PCB118 *3263266.64113C12-PCB118338338
PCB123 *3263266.641
PCB1383613607.245
PCB1533613607.24513C12-PCB153373372
PCB167 *3613607.245
PCB1803953947.84913C12-PCB180407406
PCB169 *3613607.245
PCB189 *3953947.849
1-Nitronaphthalene1731732.904
2-Nitrofluorene2112113.679
1-Nitropyrene2472474.2241-nitropyrene-d9256256
6-Nitrobenzo[a]pyrene2972975.440
Anthracene-d101881883.952
13C12-PCB703043046.037
a 100 msec dwell time for all the m/z ratios; b Chemicalize online calculator (developed by ChemAxon, https://chemicalize.com/), last accessed on 12 December 2022, was used for prediction of logP properties of all the target compounds.
Table 2. Experimental design matrix with coded variables and real factor levels.
Table 2. Experimental design matrix with coded variables and real factor levels.
ExperimentCoded VariablesFactors
X1X2X3H2SO4 (μL)PSA (mg)C18 (mg)
191010
2+181010
3+915010
4++1815010
5+910150
6++1810150
7++9150150
8+++18150150
Table 3. Experimental responses (extraction recovery percentages) for PAH, nitro-PAH and PCB surrogates for each experimental run.
Table 3. Experimental responses (extraction recovery percentages) for PAH, nitro-PAH and PCB surrogates for each experimental run.
Surrogate/Experimental Run12345678
BaA-d12 (%)202115121129886610085
Chr-d12 (%)1841571041221181058680
BbFl-d12 (%)23525112713118810110276
BkFl-d12 (%)228274148139282168108122
BaP-d12 (%)3450544332186616
Ind-d12 (%)18818980145129898064
DBA-d14 (%)2002589199138178216
BP-d12 (%)9369728149676057
1-Nitropyrene-d9 (%)17884193196106456050
13C12-PCB28 (%)11410998101119978692
13C12-PCB52 (%)114120100103113989195
13C12-PCB118 (%)128126119116121125105123
13C12-PCB153 (%)129129111125136118107114
13C12-PCB180 (%)144184125143151141110129
Table 4. ai coefficients of linear terms retrieved from the 23 full factorial design of each surrogate.
Table 4. ai coefficients of linear terms retrieved from the 23 full factorial design of each surrogate.
SurrogateMWLogPa1a2a3
BaA-d122404.942−7.3−0.745−0.752
Chr-d122404.942−1.9−0.642−0.339
1-nitropyrene-d9 2564.224−1.24−0.095−0.304
BbFl-d122645.273−0.3−1.0050.004
BkFl-d122645.2730.09−1.080.52
BaP-d122645.2731.1050.35380.2258
Ind-d122885.6051.17−0.9520.08
DBA-d142925.9313.25−0.9250.252
BP-d122885.6054.24−0.095−0.304
13C12-PCB282695.433−1.07−0.2620.051
13C12-PCB523046.0370.07−0.1870.018
13C12-PCB1183386.641−0.585−0.1209−0.1592
13C12-PCB1533737.245−0.299−0.26550.1009
13C12-PCB1804077.8490.1−0.2360.133
Table 5. Method detection (MDLs) and quantitation (MQLs) limits for the target PAHs, nitro-PAHs and PCBs. Concentrations are expressed in µg/kg.
Table 5. Method detection (MDLs) and quantitation (MQLs) limits for the target PAHs, nitro-PAHs and PCBs. Concentrations are expressed in µg/kg.
AnalyteMDLMQLAnalyteMDLMQL
Naph0.61.9PCB113.611.0
AcPY1.44.1PCB152.47.2
AcPh1.13.2PCB283.911.8
Flu0.72.2PCB526.319.1
Phe2.26.5PCB1011.95.7
Ant0.92.7PCB812.88.4
Flth2.06.1PCB1181.75.2
Pyr0.72.2PCB1231.23.7
BaA2.78.3PCB1382.57.7
Chr2.16.3PCB1531.33.8
BbFl1.75.1PCB1672.47.2
BkFl1.75.2PCB1802.47.2
BaP2.47.1PCB1692.36.8
Ind1.85.4PCB1891.75.3
DBA2.47.2
BP2.68.0
1-Nitronaphthalene34.4104
2-Nitrofluorene39.1118
1-Nitropyrene27.984
6-Nitrobenzo[a]pyrene307931
Disclaimer/Publisher’s Note: The statements, opinions and data contained in all publications are solely those of the individual author(s) and contributor(s) and not of MDPI and/or the editor(s). MDPI and/or the editor(s) disclaim responsibility for any injury to people or property resulting from any ideas, methods, instructions or products referred to in the content.

Share and Cite

MDPI and ACS Style

Rivoira, L.; Del Bubba, M.; Cecconi, G.; Castiglioni, M.; Testa, V.; Isola, M.; Bruzzoniti, M.C. Experimental Design and Multiple Response Optimization for the Extraction and Quantitation of Thirty-Four Priority Organic Micropollutants in Tomatoes through the QuEChERS Approach. Separations 2023, 10, 174. https://doi.org/10.3390/separations10030174

AMA Style

Rivoira L, Del Bubba M, Cecconi G, Castiglioni M, Testa V, Isola M, Bruzzoniti MC. Experimental Design and Multiple Response Optimization for the Extraction and Quantitation of Thirty-Four Priority Organic Micropollutants in Tomatoes through the QuEChERS Approach. Separations. 2023; 10(3):174. https://doi.org/10.3390/separations10030174

Chicago/Turabian Style

Rivoira, Luca, Massimo Del Bubba, Giasmin Cecconi, Michele Castiglioni, Valentina Testa, Mattia Isola, and Maria Concetta Bruzzoniti. 2023. "Experimental Design and Multiple Response Optimization for the Extraction and Quantitation of Thirty-Four Priority Organic Micropollutants in Tomatoes through the QuEChERS Approach" Separations 10, no. 3: 174. https://doi.org/10.3390/separations10030174

APA Style

Rivoira, L., Del Bubba, M., Cecconi, G., Castiglioni, M., Testa, V., Isola, M., & Bruzzoniti, M. C. (2023). Experimental Design and Multiple Response Optimization for the Extraction and Quantitation of Thirty-Four Priority Organic Micropollutants in Tomatoes through the QuEChERS Approach. Separations, 10(3), 174. https://doi.org/10.3390/separations10030174

Note that from the first issue of 2016, this journal uses article numbers instead of page numbers. See further details here.

Article Metrics

Back to TopTop