Application of Hydrogen-Bonded Organic Frameworks in Environmental Remediation: Recent Advances and Future Trends
Abstract
1. Introduction
2. Design Rules of Stable HOFs
2.1. Stronger Intermolecular Interactions
2.2. Rigid Stereoscopic Framework
2.3. Highly Interpenetrated Networks
2.4. Additional Intermolecular Interaction
2.5. Avoiding D/A Structure
3. Supramolecular Synthons for Designing HOFs
3.1. DAT Synthons
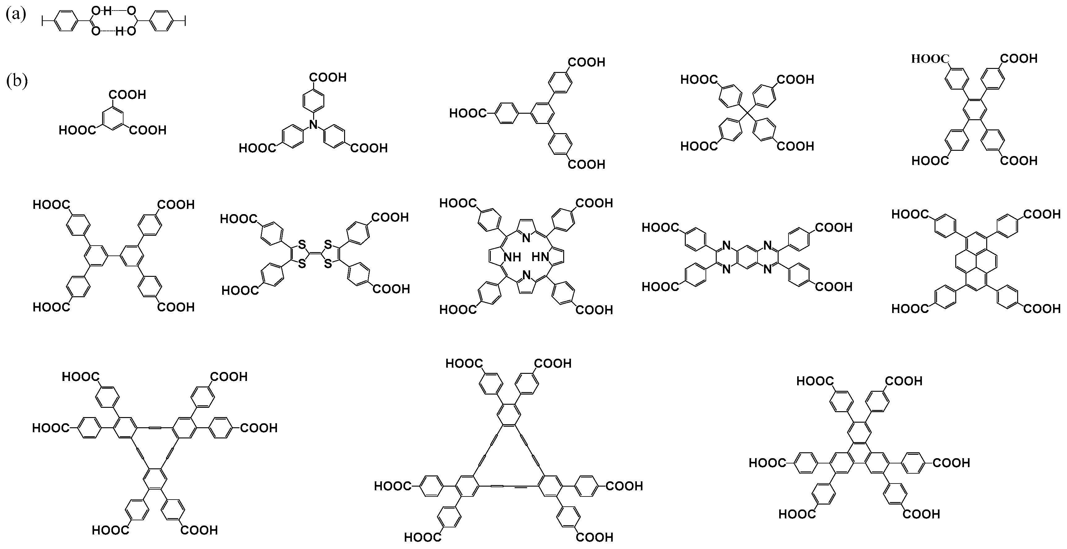
3.2. Carboxylic Acid Synthons
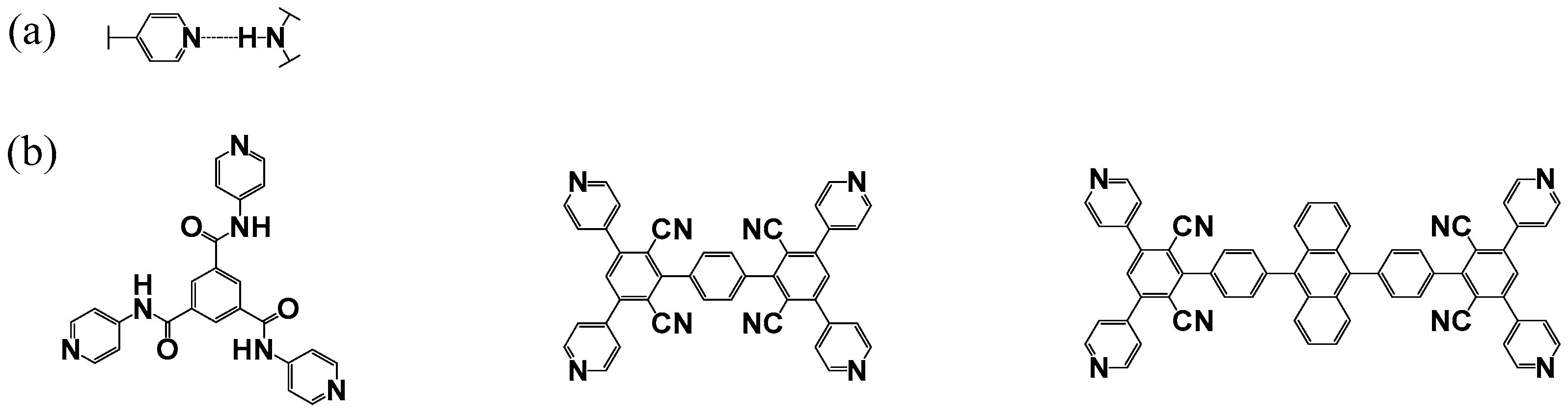
3.3. Pyridine Synthons
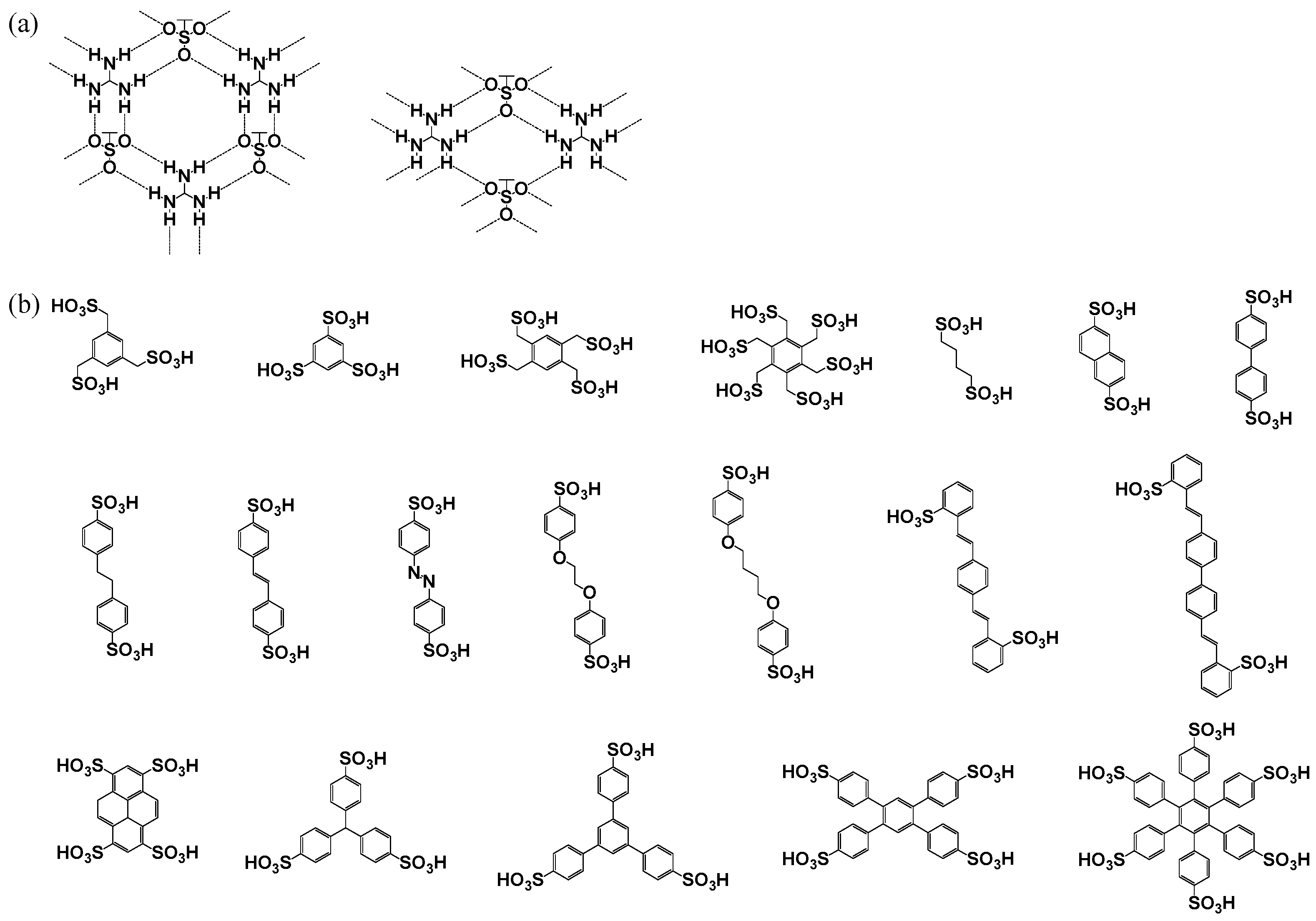
3.4. Sulfonate-Guanidium Sheet Synthons
3.5. Carboxyl-Pyridine Dimer Synthons
4. HOFs Modification/HOF-Derived Materials
4.1. Metallized HOFs
4.1.1. Metallized HOFs Containing Metal-Organic Cations
4.1.2. Metallized HOFs Containing Metal-Organic Anions
4.1.3. Metallized HOFs Containing Neutral Metal-Organic Complexes
4.1.4. Hybrid HOFs Containing Metal-Porphyrin Complexes
4.2. HOF-Derived Materials
4.2.1. HOF Composites
4.2.2. HOF-Derived Pyrolytic Materials
5. Applications of HOFs in Environmental Remediation
5.1. Gas Adsorption and Separation
5.1.1. CO2/CH4 and CO2/N2 Separation
5.1.2. C2H2/C2H4 and C2H4/C2H6 Separation
5.1.3. C2H2/CO2 Separation
5.1.4. NH3 Capture
5.1.5. Xe/Kr Separation
5.2. Adsorption in Aqueous Solution
5.2.1. Metal Ion Adsorption
5.2.2. Adsorption of Organic Contaminants
5.3. Catalysis
5.3.1. Energy Conversion
5.3.2. Degradation of Pollutants
5.4. Sensor Applications
6. Conclusions
- Functionalization brings additional functionality to the HOFs’ holes. Due to the periodic network chemical structure of HOFs, different functional groups, such as aromatic and aliphatic groups, esters, carboxylic acids, and alcohols, can be selected to pre-design the structure of HOFs, so as to achieve the purpose of precise regulation of its structure and properties. Various functional groups allow HOFs to be applied in specific areas, such as increasing the interaction of HOFs with pollutants to remove them from gases or solutions;
- With the development of computer technology, molecular simulation technology has been widely used in the mechanism study of some materials, which can not only clarify the interaction between adsorbent and adsorption sites on the inner surface of adsorbent channels qualitatively, but also obtain quantitative results. Compared with traditional experimental methods, molecular simulation has the advantages of convenience and speed, and can obtain microscopic information which is difficult to obtain in conventional experiments. Therefore, molecular simulation technology can be hoped to screen whether HOFs have adsorption properties for specific pollutants, and explain the adsorption mechanism at the molecular level;
- HOFs need to be extended beyond traditional water and air pollution to cover new frontiers, such as the remediation of contaminated land (soil). Remediation of contaminated soil is an urgent environmental problem. If not dealt with effectively, it will seriously destroy the whole ecosystem and endanger human health through the biological chain. HOFs can be used to separate pollutants from the soil by adsorption, or reduce pollutants to dissoluble states by chemical reducing agents, thus reducing the migration and bioavailability of pollutants in the soil environment;
- Through DFT high-throughput computing and machine learning, we hoped to build predictive single objective/multi-objective nature-oriented HOFs intelligent platforms to develop low-cost and efficient HOFs to remove pollutants from the environment and facilitate their large-scale application.
Author Contributions
Funding
Data Availability Statement
Conflicts of Interest
References
- Ong, W.-J.; Tan, L.-L.; Ng, Y.H.; Yong, S.-T.; Chai, S.-P. Graphitic Carbon Nitride (g-C3N4)-Based Photocatalysts for Artificial Photosynthesis and Environmental Remediation: Are We a Step Closer To Achieving Sustainability? Chem. Rev. 2016, 116, 7159–7329. [Google Scholar] [CrossRef]
- Wang, H.; Li, X.; Zhao, X.; Li, C.; Song, X.; Zhang, P.; Huo, P. A review on heterogeneous photocatalysis for environmental remediation: From semiconductors to modification strategies. Chin. J. Catal. 2022, 43, 178–214. [Google Scholar] [CrossRef]
- Chakraborty, J.; Nath, I.; Song, S.; Mohamed, S.; Khan, A.; Heynderickx, P.M.; Verpoort, F. Porous organic polymer composites as surging catalysts for visible-light-driven chemical transformations and pollutant degradation. J. Photochem. Photobiol. C Photochem. Rev. 2019, 41, 100319. [Google Scholar] [CrossRef]
- Rasheed, T. Covalent organic frameworks as promising adsorbent paradigm for environmental pollutants from aqueous matrices: Perspective and challenges. Sci. Total Environ. 2022, 833, 155279. [Google Scholar] [CrossRef] [PubMed]
- Musarurwa, H.; Tavengwa, N.T. Smart metal-organic framework (MOF) composites and their applications in environmental remediation. Mater. Today Commun. 2022, 33, 104823. [Google Scholar] [CrossRef]
- Lin, R.-B.; Chen, B. Hydrogen-bonded organic frameworks: Chemistry and functions. Chem 2022, 8, 2114–2135. [Google Scholar] [CrossRef]
- Yu, B.; Liu, Y.; Li, Z.; Liu, Y.; Rao, P.; Li, G. Durable substrates incorporated with MOFs: Recent advances in engineering strategies and water treatment applications. Chem. Eng. J. 2023, 455, 140840. [Google Scholar] [CrossRef]
- Patial, S.; Soni, V.; Kumar, A.; Raizada, P.; Ahamad, T.; Pham, X.M.; van Le, Q.; Nguyen, V.-H.; Thakur, S.; Singh, P. Rational design, structure properties, and synthesis strategies of dual-pore covalent organic frameworks (COFs) for potent applications: A review. Environ. Res. 2023, 218, 114982. [Google Scholar] [CrossRef]
- Thorarinsdottir, A.E.; Harris, T.D. Metal-Organic Framework Magnets. Chem. Rev. 2020, 120, 8716–8789. [Google Scholar] [CrossRef] [PubMed]
- Gaillac, R.; Pullumbi, P.; Beyer, K.A.; Chapman, K.W.; Keen, D.A.; Bennett, T.D.; Coudert, F.-X. Liquid metal-organic frameworks. Nat. Mater. 2017, 16, 1149–1154. [Google Scholar] [CrossRef] [PubMed]
- Xia, C.; Kirlikovali, K.O.; Nguyen, T.H.C.; Nguyen, X.C.; Tran, Q.B.; Duong, M.K.; Nguyen Dinh, M.T.; Le Nguyen, D.T.; Singh, P.; Raizada, P.; et al. The emerging covalent organic frameworks (COFs) for solar-driven fuels production. Coord. Chem. Rev. 2021, 446, 214117. [Google Scholar] [CrossRef]
- Wu, Y.; Mao, X.; Zhang, M.; Zhao, X.; Xue, R.; Di, S.; Huang, W.; Wang, L.; Li, Y.; Li, Y. 2D Molecular Sheets of Hydrogen-Bonded Organic Frameworks for Ultrastable Sodium-Ion Storage. Adv. Mater. 2021, 33, e2106079. [Google Scholar] [CrossRef] [PubMed]
- Hisaki, I.; Suzuki, Y.; Gomez, E.; Cohen, B.; Tohnai, N.; Douhal, A. Docking Strategy To Construct Thermostable, Single-Crystalline, Hydrogen-Bonded Organic Framework with High Surface Area. Angew. Chem. Int. Ed. Engl. 2018, 57, 12650–12655. [Google Scholar] [CrossRef]
- Xu, X.-Q.; Cao, L.-H.; Yang, Y.; Zhao, F.; Bai, X.-T.; Zang, S.-Q. Hybrid Nafion Membranes of Ionic Hydrogen-Bonded Organic Framework Materials for Proton Conduction and PEMFC Applications. ACS Appl. Mater. Interfaces 2021, 13, 56566–56574. [Google Scholar] [CrossRef] [PubMed]
- Wang, B.; Lin, R.-B.; Zhang, Z.; Xiang, S.; Chen, B. Hydrogen-Bonded Organic Frameworks as a Tunable Platform for Functional Materials. J. Am. Chem. Soc. 2020, 142, 14399–14416. [Google Scholar] [CrossRef]
- Khadivjam, T.; Che-Quang, H.; Maris, T.; Ajoyan, Z.; Howarth, A.J.; Wuest, J.D. Modular Construction of Porous Hydrogen-Bonded Molecular Materials from Melams. Chemistry 2020, 26, 7026–7040. [Google Scholar] [CrossRef] [PubMed]
- Duchamp, D.J.; Marsh, R.E. The crystal structure of trimesic acid (benzene-1,3,5-tricarboxylic acid). Acta Crystallogr. B Struct. Crystallogr. Cryst. Chem. 1969, 25, 5–19. [Google Scholar] [CrossRef]
- Simard, M.; Su, D.; Wuest, J.D. Use of hydrogen bonds to control molecular aggregation. Self-assembly of three-dimensional networks with large chambers. J. Am. Chem. Soc. 1991, 113, 4696–4698. [Google Scholar] [CrossRef]
- Brunet, P.; Simard, M.; Wuest, J.D. Molecular Tectonics. Porous Hydrogen-Bonded Networks with Unprecedented Structural Integrity. J. Am. Chem. Soc. 1997, 119, 2737–2738. [Google Scholar] [CrossRef]
- Saied, O.; Maris, T.; Simard, M.; Wuest, J.D. Tetrakis(3,5-dimethoxyphenyl)silane. Acta Crystallogr. E Struct. Rep. Online 2005, 61, o2563–o2566. [Google Scholar] [CrossRef]
- Fournier, J.-H.; Maris, T.; Wuest, J.D. Molecular tectonics. Porous hydrogen-bonded networks built from derivatives of 9,9′-spirobifluorene. J. Org. Chem. 2004, 69, 1762–1775. [Google Scholar] [CrossRef]
- He, Y.; Xiang, S.; Chen, B. A microporous hydrogen-bonded organic framework for highly selective C2H2/C2H4 separation at ambient temperature. J. Am. Chem. Soc. 2011, 133, 14570–14573. [Google Scholar] [CrossRef]
- Lin, R.-B.; He, Y.; Li, P.; Wang, H.; Zhou, W.; Chen, B. Multifunctional porous hydrogen-bonded organic framework materials. Chem. Soc. Rev. 2019, 48, 1362–1389. [Google Scholar] [CrossRef] [PubMed]
- Yang, J.; Wang, J.; Hou, B.; Huang, X.; Wang, T.; Bao, Y.; Hao, H. Porous hydrogen-bonded organic frameworks (HOFs): From design to potential applications. Chem. Eng. J. 2020, 399, 125873. [Google Scholar] [CrossRef]
- Ding, X.; Liu, Z.; Zhang, Y.; Ye, G.; Jia, J.; Chen, J. Binary Solvent Regulated Architecture of Ultra-Microporous Hydrogen-Bonded Organic Frameworks with Tunable Polarization for Highly-Selective Gas Separation. Angew. Chem. Int. Ed. Engl. 2022, 61, e202116483. [Google Scholar] [CrossRef]
- Gao, J.; Cai, Y.; Qian, X.; Liu, P.; Wu, H.; Zhou, W.; Liu, D.-X.; Li, L.; Lin, R.-B.; Chen, B. A Microporous Hydrogen-Bonded Organic Framework for the Efficient Capture and Purification of Propylene. Angew. Chem. Int. Ed. Engl. 2021, 60, 20400–20406. [Google Scholar] [CrossRef]
- Liu, P.-D.; Liu, A.-G.; Wang, P.-M.; Chen, Y.; Li, B. Smart crystalline frameworks constructed with bisquinoxaline-based component for multi-stimulus luminescent sensing materials. Chin. J. Struct. Chem. 2022, 41, 100001. [Google Scholar] [CrossRef]
- Yang, Z.; Zhang, Y.; Wu, W.; Zhou, Z.; Gao, H.; Wang, J.; Jiang, Z. Hydrogen-bonded organic framework membrane with efficient proton conduction. J. Membr. Sci. 2022, 664, 121118. [Google Scholar] [CrossRef]
- Yin, Q.; Alexandrov, E.V.; Si, D.-H.; Huang, Q.-Q.; Fang, Z.-B.; Zhang, Y.; Zhang, A.-A.; Qin, W.-K.; Li, Y.-L.; Liu, T.-F.; et al. Metallization-Prompted Robust Porphyrin-Based Hydrogen-Bonded Organic Frameworks for Photocatalytic CO2 Reduction. Angew. Chem. Int. Ed. Engl. 2022, 61, e202115854. [Google Scholar] [CrossRef] [PubMed]
- Liang, W.; Carraro, F.; Solomon, M.B.; Bell, S.G.; Amenitsch, H.; Sumby, C.J.; White, N.G.; Falcaro, P.; Doonan, C.J. Enzyme Encapsulation in a Porous Hydrogen-Bonded Organic Framework. J. Am. Chem. Soc. 2019, 141, 14298–14305. [Google Scholar] [CrossRef]
- Zhang, N.; Yin, Q.; Guo, S.; Chen, K.-K.; Liu, T.-F.; Wang, P.; Zhang, Z.-M.; Lu, T.-B. Hot-electron leading-out strategy for constructing photostable HOF catalysts with outstanding H2 evolution activity. Appl. Catal. B Environ. 2021, 296, 120337. [Google Scholar] [CrossRef]
- Luo, X.-Z.; Jia, X.-J.; Deng, J.-H.; Zhong, J.-L.; Liu, H.-J.; Wang, K.-J.; Zhong, D.-C. A microporous hydrogen-bonded organic framework: Exceptional stability and highly selective adsorption of gas and liquid. J. Am. Chem. Soc. 2013, 135, 11684–11687. [Google Scholar] [CrossRef] [PubMed]
- Zhou, H.; Ye, Q.; Wu, X.; Song, J.; Cho, C.M.; Zong, Y.; Tang, B.Z.; Hor, T.S.A.; Yeow, E.K.L.; Xu, J. A thermally stable and reversible microporous hydrogen-bonded organic framework: Aggregation induced emission and metal ion-sensing properties. J. Mater. Chem. C 2015, 3, 11874–11880. [Google Scholar] [CrossRef]
- Lu, Y.; Yu, K.; Yin, Q.; Liu, J.; Han, X.; Zhao, D.; Liu, T.; Li, C. Embedding red-emitting dyes in robust hydrogen-bonded organic framework for application in warm white light-emitting diodes. Microporous Mesoporous Mater. 2022, 331, 111673. [Google Scholar] [CrossRef]
- Han, B.; Wang, H.; Wang, C.; Wu, H.; Zhou, W.; Chen, B.; Jiang, J. Postsynthetic Metalation of a Robust Hydrogen-Bonded Organic Framework for Heterogeneous Catalysis. J. Am. Chem. Soc. 2019, 141, 8737–8740. [Google Scholar] [CrossRef]
- Wang, H.; Li, B.; Wu, H.; Hu, T.-L.; Yao, Z.; Zhou, W.; Xiang, S.; Chen, B. A Flexible Microporous Hydrogen-Bonded Organic Framework for Gas Sorption and Separation. J. Am. Chem. Soc. 2015, 137, 9963–9970. [Google Scholar] [CrossRef]
- Liu, J.; Li, L.; Niu, W.; Wang, N.; Zhao, D.; Zeng, S.; Chen, S. A Hydrogen-Bonded Organic-Framework-Derived Mesoporous N-Doped Carbon for Efficient Electroreduction of Oxygen. ChemElectroChem 2016, 3, 1116–1123. [Google Scholar] [CrossRef]
- Shi, H.; Feng, D.; Li, H.; Yu, D.; Chen, X. Hydrophilic hydrogen-bonded organic frameworks/g-C3N4 all-organic Z-scheme heterojunction for efficient visible-light photocatalytic hydrogen production and dye degradation. J. Photochem. Photobiol. A Chem. 2023, 435, 114292. [Google Scholar] [CrossRef]
- Liu, Y.; Xu, X.; Lu, H.; Yan, B. Dual-emission ratiometric fluorescent probe-based lanthanide-functionalized hydrogen-bonded organic framework for the visual detection of methylamine. J. Mater. Chem. C 2022, 10, 1212–1219. [Google Scholar] [CrossRef]
- Zhu, Z.-H.; Wang, H.-L.; Zou, H.-H.; Liang, F.-P. Metal hydrogen-bonded organic frameworks: Structure and performance. Dalton Trans. 2020, 49, 10708–10723. [Google Scholar] [CrossRef]
- Yan, L.; Li, C.; Chen, X. Hydrogen bonded supra-molecular framework in inorganic–organic hybrid compounds of Mn(II) and Zn(II): Syntheses, structures, and photoluminescent studies. J. Mol. Struct. 2014, 1058, 277–283. [Google Scholar] [CrossRef]
- Kanetomo, T.; Ni, Z.; Enomoto, M. Hydrogen-bonded cobalt(II)-organic framework: Normal and reverse spin-crossover behaviours. Dalton Trans. 2022, 51, 5034–5040. [Google Scholar] [CrossRef]
- Werner, T.W.; Reschke, S.; Bunzen, H.; von Nidda, H.-A.K.; Deisenhofer, J.; Loidl, A.; Volkmer, D. Co5Tp*4(Me2bta)6: A Highly Symmetrical Pentanuclear Kuratowski Complex Featuring Tris(pyrazolyl)borate and Benzotriazolate Ligands. Inorg. Chem. 2016, 55, 1053–1060. [Google Scholar] [CrossRef]
- Lin, T.; Sun, Y.; Tian, C.; Wang, D.; Hou, L.; Ye, F.; Zhao, S. A silk-like hydrogen-bonded organic framework functionalized membrane with intrinsic catalytic activity for nonmetallic reduction of 4-nitrophenol. Chem. Eng. J. 2022, 441, 136092. [Google Scholar] [CrossRef]
- Song, Q.; Xu, D.; David Wang, W.; Fang, J.; Sun, X.; Li, F.; Li, B.; Kou, J.; Zhu, H.; Dong, Z. Ru clusters confined in Hydrogen-bonded organic frameworks for homogeneous catalytic hydrogenation of N-heterocyclic compounds with heterogeneous recyclability. J. Catal. 2022, 406, 19–27. [Google Scholar] [CrossRef]
- Hou, X.; Wang, Z.; Overby, M.; Ugrinov, A.; Oian, C.; Singh, R.; Chu, Q.R. A two-dimensional hydrogen bonded organic framework self-assembled from a three-fold symmetric carbamate. Chem. Commun. 2014, 50, 5209–5211. [Google Scholar] [CrossRef] [PubMed]
- Lin, Z.-J.; Mahammed, S.A.R.; Liu, T.-F.; Cao, R. Multifunctional Porous Hydrogen-Bonded Organic Frameworks: Current Status and Future Perspectives. ACS Cent. Sci. 2022, 8, 1589–1608. [Google Scholar] [CrossRef] [PubMed]
- Li, P.; He, Y.; Guang, J.; Weng, L.; Zhao, J.C.-G.; Xiang, S.; Chen, B. A homochiral microporous hydrogen-bonded organic framework for highly enantioselective separation of secondary alcohols. J. Am. Chem. Soc. 2014, 136, 547–549. [Google Scholar] [CrossRef]
- Nicks, J.; Boer, S.A.; White, N.G.; Foster, J.A. Monolayer nanosheets formed by liquid exfoliation of charge-assisted hydrogen-bonded frameworks. Chem. Sci. 2021, 12, 3322–3327. [Google Scholar] [CrossRef]
- Mastalerz, M.; Oppel, I.M. Rational construction of an extrinsic porous molecular crystal with an extraordinary high specific surface area. Angew. Chem. Int. Ed. Engl. 2012, 51, 5252–5255. [Google Scholar] [CrossRef]
- Hashim, M.I.; Le, H.T.M.; Chen, T.-H.; Chen, Y.-S.; Daugulis, O.; Hsu, C.-W.; Jacobson, A.J.; Kaveevivitchai, W.; Liang, X.; Makarenko, T.; et al. Dissecting Porosity in Molecular Crystals: Influence of Geometry, Hydrogen Bonding, and π···π Stacking on the Solid-State Packing of Fluorinated Aromatics. J. Am. Chem. Soc. 2018, 140, 6014–6026. [Google Scholar] [CrossRef] [PubMed]
- Li, Y.-L.; Alexandrov, E.V.; Yin, Q.; Li, L.; Fang, Z.-B.; Yuan, W.; Proserpio, D.M.; Liu, T.-F. Record Complexity in the Polycatenation of Three Porous Hydrogen-Bonded Organic Frameworks with Stepwise Adsorption Behaviors. J. Am. Chem. Soc. 2020, 142, 7218–7224. [Google Scholar] [CrossRef] [PubMed]
- Hu, F.; Liu, C.; Wu, M.; Pang, J.; Jiang, F.; Yuan, D.; Hong, M. An Ultrastable and Easily Regenerated Hydrogen-Bonded Organic Molecular Framework with Permanent Porosity. Angew. Chem. Int. Ed. Engl. 2017, 56, 2101–2104. [Google Scholar] [CrossRef] [PubMed]
- Liu, X.; Yang, X.; Wang, H.; Hisaki, I.; Wang, K.; Jiang, J. A robust redox-active hydrogen-bonded organic framework for rechargeable batteries. J. Mater. Chem. A 2022, 10, 1808–1814. [Google Scholar] [CrossRef]
- Yang, W.; Wang, J.; Wang, H.; Bao, Z.; Zhao, J.C.-G.; Chen, B. Highly Interpenetrated Robust Microporous Hydrogen-Bonded Organic Framework for Gas Separation. Cryst. Growth Des. 2017, 17, 6132–6137. [Google Scholar] [CrossRef]
- Malek, N.; Maris, T.; Perron, M.-E.; Wuest, J.D. Molecular tectonics: Porous cleavable networks constructed by dipole-directed stacking of hydrogen-bonded sheets. Angew. Chem. Int. Ed. Engl. 2005, 44, 4021–4025. [Google Scholar] [CrossRef]
- Malek, N.; Maris, T.; Simard, M.; Wuest, J.D. Molecular tectonics. Selective exchange of cations in porous anionic hydrogen-bonded networks built from derivatives of tetraphenylborate. J. Am. Chem. Soc. 2005, 127, 5910–5916. [Google Scholar] [CrossRef]
- Beijer, F.H.; Sijbesma, R.P.; Vekemans, J.A.J.M.; Meijer, E.W.; Kooijman, H.; Spek, A.L. Hydrogen-Bonded Complexes of Diaminopyridines and Diaminotriazines: Opposite Effect of Acylation on Complex Stabilities. J. Org. Chem. 1996, 61, 9636. [Google Scholar] [CrossRef]
- Hisaki, I.; Xin, C.; Takahashi, K.; Nakamura, T. Designing Hydrogen-Bonded Organic Frameworks (HOFs) with Permanent Porosity. Angew. Chem. Int. Ed. Engl. 2019, 58, 11160–11170. [Google Scholar] [CrossRef]
- Yu, B.; Geng, S.; Wang, H.; Zhou, W.; Zhang, Z.; Chen, B.; Jiang, J. A Solid Transformation into Carboxyl Dimers Based on a Robust Hydrogen-Bonded Organic Framework for Propyne/Propylene Separation. Angew. Chem. Int. Ed. Engl. 2021, 60, 25942–25948. [Google Scholar] [CrossRef]
- Russell, V.A.; Etter, M.C.; Ward, M.D. Layered Materials by Molecular Design: Structural Enforcement by Hydrogen Bonding in Guanidinium Alkane- and Arenesulfonates. J. Am. Chem. Soc. 1994, 116, 1941–1952. [Google Scholar] [CrossRef]
- Kang, D.W.; Kang, M.; Kim, H.; Choe, J.H.; Kim, D.W.; Park, J.R.; Lee, W.R.; Moon, D.; Hong, C.S. A Hydrogen-Bonded Organic Framework (HOF) with Type IV NH3 Adsorption Behavior. Angew. Chem. Int. Ed. Engl. 2019, 58, 16152–16155. [Google Scholar] [CrossRef] [PubMed]
- Luo, Y.-H.; He, X.-T.; Hong, D.-L.; Chen, C.; Chen, F.-H.; Jiao, J.; Zhai, L.-H.; Guo, L.-H.; Sun, B.-W. A Dynamic 3D Hydrogen-Bonded Organic Frameworks with Highly Water Affinity. Adv. Funct. Mater. 2018, 28, 1804822. [Google Scholar] [CrossRef]
- Zheng, X.; Xiao, N.; Long, Z.; Wang, L.; Ye, F.; Fang, J.; Shen, L.; Xiao, X. Hydrogen bonded-directed pure organic frameworks based on TTF-tetrabenzoic acid and bipyridine base. Synth. Met. 2020, 263, 116365. [Google Scholar] [CrossRef]
- Lü, J.; Perez-Krap, C.; Suyetin, M.; Alsmail, N.H.; Yan, Y.; Yang, S.; Lewis, W.; Bichoutskaia, E.; Tang, C.C.; Blake, A.J.; et al. A robust binary supramolecular organic framework (SOF) with high CO2 adsorption and selectivity. J. Am. Chem. Soc. 2014, 136, 12828–12831. [Google Scholar] [CrossRef] [PubMed]
- Ahmed, I.; Mondol, M.M.H.; Lee, H.J.; Jhung, S.H. Application of Metal-Organic Frameworks in Adsorptive Removal of Organic Contaminants from Water, Fuel and Air. Chem. Asian J. 2021, 16, 185–196. [Google Scholar] [CrossRef]
- Mondol, M.M.H.; Bhadra, B.N.; Jhung, S.H. Molybdenum nitride@porous carbon, derived from phosphomolybdic acid loaded metal-azolate framework-6: A highly effective catalyst for oxidative desulfurization. Appl. Catal. B Environ. 2021, 288, 119988. [Google Scholar] [CrossRef]
- Bhadra, B.N.; Baek, Y.S.; Kim, S.; Choi, C.H.; Jhung, S.H. Oxidative denitrogenation of liquid fuel over W2N@carbon catalyst derived from a phosphotungstinic acid encapsulated metal–azolate framework. Appl. Catal. B Environ. 2021, 285, 119842. [Google Scholar] [CrossRef]
- Diskin-Posner, Y.; Krishna Kumar, R.; Goldberg, I. Solid-state supramolecular chemistry of porphyrins. Stacked and layered heterogeneous aggregation modes of tetraarylporphyrins with crown ethers. New J. Chem. 1999, 23, 885–890. [Google Scholar] [CrossRef]
- Zhang, Z.; Duan, Y.; Zhang, L.; Yu, M.; Li, J. Synthesis, crystal structure of two new Zn(II), Cu(II) porphyrins and their catalytic activities to ethylbenzene oxidation. Inorg. Chem. Commun. 2015, 58, 53–56. [Google Scholar] [CrossRef]
- Taylor, J.M.; Dwyer, P.J.; Reid, J.W.; Gelfand, B.S.; Lim, D.-W.; Donoshita, M.; Veinberg, S.L.; Kitagawa, H.; Vukotic, V.N.; Shimizu, G.K.H. Holding Open Micropores with Water: Hydrogen-Bonded Networks Supported by Hexaaquachromium(III) Cations. Chem 2018, 4, 868–878. [Google Scholar] [CrossRef]
- Wang, X.-Y.; Justice, R.; Sevov, S.C. Hydrogen-bonded metal-complex sulfonate (MCS) inclusion compounds: Effect of the guest molecule on the host framework. Inorg. Chem. 2007, 46, 4626–4631. [Google Scholar] [CrossRef]
- Wang, X.-Y.; Sevov, S.C. Hydrogen-Bonded Host Frameworks of Cationic Metal Complexes and Anionic Disulfonate Linkers: Effects of the Guest Molecules and the Charge of the Metal Complex. Chem. Mater. 2007, 19, 4906–4912. [Google Scholar] [CrossRef]
- Wang, X.-Y.; Sevov, S.C. A Series of Guest-Defined Metal-Complex/Disulfonate Frameworks of Hydrogen-Bonded [Co(en) 2 (ox)] + and 2,6-Naphtalenedisulfonate. Cryst. Growth Des. 2008, 8, 1265–1270. [Google Scholar] [CrossRef]
- Dalrymple, S.A.; Shimizu, G.K.H. Second-sphere coordination networks: ‘Tame-ing’ (Tame=1,1,1-Tris(aminomethyl)ethane) the hydrogen bond. J. Mol. Struct. 2006, 796, 95–106. [Google Scholar] [CrossRef]
- Chand, S.; Pal, S.C.; Pal, A.; Ye, Y.; Lin, Q.; Zhang, Z.; Xiang, S.; Das, M.C. Metalo Hydrogen-Bonded Organic Frameworks (MHOFs) as New Class of Crystalline Materials for Protonic Conduction. Chemistry 2019, 25, 1691–1695. [Google Scholar] [CrossRef] [PubMed]
- Zhang, H.-X.; Yan, X.; Chen, Y.-X.; Zhang, S.-H.; Li, T.; Han, W.-K.; Bao, L.-Y.; Shen, R.; Gu, Z.-G. A zeolite supramolecular framework with LTA topology based on a tetrahedral metal-organic cage. Chem. Commun. 2019, 55, 1120–1123. [Google Scholar] [CrossRef] [PubMed]
- Luo, D.; Zhou, X.-P.; Li, D. Beyond molecules: Mesoporous supramolecular frameworks self-assembled from coordination cages and inorganic anions. Angew. Chem. Int. Ed. Engl. 2015, 54, 6190–6195. [Google Scholar] [CrossRef]
- Ferlay, S.; Hellwig, P.; Wais Hosseini, M. Partially Reversible Thermal-Induced Oxidation During a Dehydration Process in an H-bonded Supramolecular System. Chemphyschem 2018, 19, 3219–3225. [Google Scholar] [CrossRef]
- Mouchaham, G.; Roques, N.; Khodja, W.; Duhayon, C.; Coppel, Y.; Brandès, S.; Fodor, T.; Meyer, M.; Sutter, J.-P. Hydrogen-Bonded Open-Framework with Pyridyl-Decorated Channels: Straightforward Preparation and Insight into Its Affinity for Acidic Molecules in Solution. Chemistry 2017, 23, 11818–11826. [Google Scholar] [CrossRef]
- Yokomori, S.; Ueda, A.; Higashino, T.; Kumai, R.; Murakami, Y.; Mori, H. Construction of three-dimensional anionic molecular frameworks based on hydrogen-bonded metal dithiolene complexes and the crystal solvent effect. CrystEngComm 2019, 21, 2940–2948. [Google Scholar] [CrossRef]
- Beach, G.J.; Hogan, C.E.; Besong, B.N.; Hogan, G.A. Inclusion of alkyl alcohol guest molecules into a copper (II)-based hydrogen-bonded metal-organic framework. J. Mol. Struct. 2019, 1195, 744–746. [Google Scholar] [CrossRef]
- Shao, D.; Peng, P.; You, M.; Shen, L.-F.; She, S.-Y.; Zhang, Y.-Q.; Tian, Z. Hydrogen-Bonded Framework of a Cobalt(II) Complex Showing Superior Stability and Field-Induced Slow Magnetic Relaxation. Inorg. Chem. 2022, 61, 3754–3762. [Google Scholar] [CrossRef]
- Alrefai, A.; Mondal, S.S.; Wruck, A.; Kelling, A.; Schilde, U.; Brandt, P.; Janiak, C.; Schönfeld, S.; Weber, B.; Rybakowski, L.; et al. Hydrogen-bonded supramolecular metal-imidazolate frameworks: Gas sorption, magnetic and UV/Vis spectroscopic properties. J. Incl. Phenom. Macrocycl. Chem. 2019, 94, 155–165. [Google Scholar] [CrossRef]
- Tholen, P.; Peeples, C.A.; Ayhan, M.M.; Wagner, L.; Thomas, H.; Imbrasas, P.; Zorlu, Y.; Baretzky, C.; Reineke, S.; Hanna, G.; et al. Tuning Structural and Optical Properties of Porphyrin-based Hydrogen-Bonded Organic Frameworks by Metal Insertion. Small 2022, 18, e2204578. [Google Scholar] [CrossRef]
- Zhang, A.-A.; Si, D.; Huang, H.; Xie, L.; Fang, Z.-B.; Liu, T.-F.; Cao, R. Partial Metalation of Porphyrin Moieties in Hydrogen-Bonded Organic Frameworks Provides Enhanced CO2 Photoreduction Activity. Angew. Chem. Int. Ed. Engl. 2022, 61, e202203955. [Google Scholar] [CrossRef]
- Zhang, A.-A.; Li, Y.-L.; Fang, Z.-B.; Xie, L.; Cao, R.; Liu, Y.; Liu, T.-F. Facile Preparation of Hydrogen-Bonded Organic Framework/Cu2O Heterostructure Films via Electrophoretic Deposition for Efficient CO2 Photoreduction. ACS Appl. Mater. Interfaces 2022, 14, 21050–21058. [Google Scholar] [CrossRef]
- Liu, B.-T.; Pan, X.-H.; Zhang, D.-Y.; Wang, R.; Chen, J.-Y.; Fang, H.-R.; Liu, T.-F. Construction of Function-Oriented Core-Shell Nanostructures in Hydrogen-Bonded Organic Frameworks for Near-Infrared-Responsive Bacterial Inhibition. Angew. Chem. Int. Ed. Engl. 2021, 60, 25701–25707. [Google Scholar] [CrossRef] [PubMed]
- Li, W.; Li, Y.; Caro, J.; Huang, A. Fabrication of a flexible hydrogen-bonded organic framework based mixed matrix membrane for hydrogen separation. J. Membr. Sci. 2022, 643, 120021. [Google Scholar] [CrossRef]
- Liu, J.; Li, W.; Chen, H.; Li, S.; Yang, L.; Peng, K.; Cai, C.; Huang, X. Applications of functional nanoparticle–stabilized surfactant foam in petroleum-contaminated soil remediation. J. Hazard. Mater. 2023, 443, 130267. [Google Scholar] [CrossRef]
- Mathur, J.; Goswami, P.; Gupta, A.; Srivastava, S.; Minkina, T.; Shan, S.; Rajput, V.D. Nanomaterials for Water Remediation: An Efficient Strategy for Prevention of Metal(loid) Hazard. Water 2022, 14, 3998. [Google Scholar] [CrossRef]
- Wang, C.; Wang, Y.; Kirlikovali, K.O.; Ma, K.; Zhou, Y.; Li, P.; Farha, O.K. Ultrafine Silver Nanoparticle Encapsulated Porous Molecular Traps for Discriminative Photoelectrochemical Detection of Mustard Gas Simulants by Synergistic Size-Exclusion and Site-Specific Recognition. Adv. Mater. 2022, 34, e2202287. [Google Scholar] [CrossRef]
- Bhadra, B.N.; Yoo, D.K.; Jhung, S.H. Carbon-derived from metal-organic framework MOF-74: A remarkable adsorbent to remove a wide range of contaminants of emerging concern from water. Appl. Surf. Sci. 2020, 504, 144348. [Google Scholar] [CrossRef]
- Wang, L.; Yang, Y.; Liang, H.; Wu, N.; Peng, X.; Wang, L.; Song, Y. A novel N,S-rich COF and its derived hollow N,S-doped carbon@Pd nanorods for electrochemical detection of Hg2+ and paracetamol. J. Hazard. Mater. 2021, 409, 124528. [Google Scholar] [CrossRef] [PubMed]
- Guo, Y.; Sun, Q.; Huang, Q.; Hu, Y.; Su, K.; Li, T.-T.; Huang, S.; Qian, J. Variable HOF-derived carbon-coated cobalt phosphide for electrocatalytic oxygen evolution. Carbon 2022, 196, 457–465. [Google Scholar] [CrossRef]
- Liu, W.-J.; Wen, Y.-Q.; Wang, J.-W.; Zhong, D.-C.; Tan, J.-B.; Lu, T.-B. Nitrogen- and iodine-doped microporous carbon derived from a hydrogen-bonded organic framework: An efficient metal-free electrocatalyst for the oxygen reduction reaction. J. Mater. Chem. A 2019, 7, 9587–9592. [Google Scholar] [CrossRef]
- Hu, H.; Han, L.; Yu, M.; Wang, Z.; Lou, X.W. Metal–organic-framework-engaged formation of Co nanoparticle-embedded carbon@Co9S8 double-shelled nanocages for efficient oxygen reduction. Energy Environ. Sci. 2016, 9, 107–111. [Google Scholar] [CrossRef]
- Zhang, S.; Xia, W.; Yang, Q.; Valentino Kaneti, Y.; Xu, X.; Alshehri, S.M.; Ahamad, T.; Hossain, M.S.A.; Na, J.; Tang, J.; et al. Core-shell motif construction: Highly graphitic nitrogen-doped porous carbon electrocatalysts using MOF-derived carbon@COF heterostructures as sacrificial templates. Chem. Eng. J. 2020, 396, 125154. [Google Scholar] [CrossRef]
- Yang, W.; Greenaway, A.; Lin, X.; Matsuda, R.; Blake, A.J.; Wilson, C.; Lewis, W.; Hubberstey, P.; Kitagawa, S.; Champness, N.R.; et al. Exceptional thermal stability in a supramolecular organic framework: Porosity and gas storage. J. Am. Chem. Soc. 2010, 132, 14457–14469. [Google Scholar] [CrossRef]
- Yin, Q.; Li, Y.-L.; Li, L.; Lü, J.; Liu, T.-F.; Cao, R. Novel Hierarchical Meso-Microporous Hydrogen-Bonded Organic Framework for Selective Separation of Acetylene and Ethylene versus Methane. ACS Appl. Mater. Interfaces 2019, 11, 17823–17827. [Google Scholar] [CrossRef]
- Wang, B.; Lv, X.-L.; Lv, J.; Ma, L.; Lin, R.-B.; Cui, H.; Zhang, J.; Zhang, Z.; Xiang, S.; Chen, B. A novel mesoporous hydrogen-bonded organic framework with high porosity and stability. Chem. Commun. 2019, 56, 66–69. [Google Scholar] [CrossRef] [PubMed]
- Goswami, S.; Ma, K.; Duan, J.; Kirlikovali, K.O.; Bai, J.; Hupp, J.T.; Li, P.; Farha, O.K. Understanding Diffusional Charge Transport within a Pyrene-Based Hydrogen-Bonded Organic Framework. Langmuir 2022, 38, 1533–1539. [Google Scholar] [CrossRef] [PubMed]
- Zhou, D.-D.; Xu, Y.-T.; Lin, R.-B.; Mo, Z.-W.; Zhang, W.-X.; Zhang, J.-P. High-symmetry hydrogen-bonded organic frameworks: Air separation and crystal-to-crystal structural transformation. Chem. Commun. 2016, 52, 4991–4994. [Google Scholar] [CrossRef]
- Nandi, S.; Chakraborty, D.; Vaidhyanathan, R. A permanently porous single molecule H-bonded organic framework for selective CO2 capture. Chem. Commun. 2016, 52, 7249–7252. [Google Scholar] [CrossRef] [PubMed]
- Wang, H.; Wu, H.; Kan, J.; Chang, G.; Yao, Z.; Li, B.; Zhou, W.; Xiang, S.; Cong-Gui Zhao, J.; Chen, B. A microporous hydrogen-bonded organic framework with amine sites for selective recognition of small molecules. J. Mater. Chem. A 2017, 5, 8292–8296. [Google Scholar] [CrossRef]
- Ji, Q.; Takahashi, K.; Noro, S.-I.; Ishigaki, Y.; Kokado, K.; Nakamura, T.; Hisaki, I. A Hydrogen-Bonded Organic Framework Based on Pyrazinopyrazine. Cryst. Growth Des. 2021, 21, 4656–4664. [Google Scholar] [CrossRef]
- Yin, Q.; Lü, J.; Li, H.-F.; Liu, T.-F.; Cao, R. Robust Microporous Porphyrin-Based Hydrogen-Bonded Organic Framework for Highly Selective Separation of C 2 Hydrocarbons versus Methane. Cryst. Growth Des. 2019, 19, 4157–4161. [Google Scholar] [CrossRef]
- Zhang, X.; Li, L.; Wang, J.-X.; Wen, H.-M.; Krishna, R.; Wu, H.; Zhou, W.; Chen, Z.-N.; Li, B.; Qian, G.; et al. Selective Ethane/Ethylene Separation in a Robust Microporous Hydrogen-Bonded Organic Framework. J. Am. Chem. Soc. 2020, 142, 633–640. [Google Scholar] [CrossRef]
- Yang, W.; Yang, F.; Hu, T.-L.; King, S.C.; Wang, H.; Wu, H.; Zhou, W.; Li, J.-R.; Arman, H.D.; Chen, B. Microporous Diaminotriazine-Decorated Porphyrin-Based Hydrogen-Bonded Organic Framework: Permanent Porosity and Proton Conduction. Cryst. Growth Des. 2016, 16, 5831–5835. [Google Scholar] [CrossRef]
- Yang, W.; Li, B.; Wang, H.; Alduhaish, O.; Alfooty, K.; Zayed, M.A.; Li, P.; Arman, H.D.; Chen, B. A Microporous Porphyrin-Based Hydrogen-Bonded Organic Framework for Gas Separation. Cryst. Growth Des. 2015, 15, 2000–2004. [Google Scholar] [CrossRef]
- Yang, Y.; Li, L.; Lin, R.-B.; Ye, Y.; Yao, Z.; Yang, L.; Xiang, F.; Chen, S.; Zhang, Z.; Xiang, S.; et al. Ethylene/ethane separation in a stable hydrogen-bonded organic framework through a gating mechanism. Nat. Chem. 2021, 13, 933–939. [Google Scholar] [CrossRef] [PubMed]
- Lee, W.-G.; Yoon, T.-U.; Bae, Y.-S.; Kim, K.S.; Baek, S.B. Selective separation of Xe/Kr and adsorption of water in a microporous hydrogen-bonded organic framework. RSC Adv. 2019, 9, 36808–36814. [Google Scholar] [CrossRef] [PubMed]
- Yang, W.; Zhou, W.; Chen, B. A Flexible Microporous Hydrogen-Bonded Organic Framework. Cryst. Growth Des. 2019, 19, 5184–5188. [Google Scholar] [CrossRef]
- Zhang, X.; Wang, J.-X.; Li, L.; Pei, J.; Krishna, R.; Wu, H.; Zhou, W.; Qian, G.; Chen, B.; Li, B. A Rod-Packing Hydrogen-Bonded Organic Framework with Suitable Pore Confinement for Benchmark Ethane/Ethylene Separation. Angew. Chem. Int. Ed. Engl. 2021, 60, 10304–10310. [Google Scholar] [CrossRef]
- Gong, L.; Ye, Y.; Liu, Y.; Li, Y.; Bao, Z.; Xiang, S.; Zhang, Z.; Chen, B. A Microporous Hydrogen-Bonded Organic Framework for Efficient Xe/Kr Separation. ACS Appl. Mater. Interfaces 2022, 14, 19623–19628. [Google Scholar] [CrossRef] [PubMed]
- Wang, J.-X.; Gu, X.-W.; Lin, Y.-X.; Li, B.; Qian, G. A Novel Hydrogen-Bonded Organic Framework with Highly Permanent Porosity for Boosting Ethane/Ethylene Separation. ACS Mater. Lett. 2021, 3, 497–503. [Google Scholar] [CrossRef]
- Li, P.; He, Y.; Arman, H.D.; Krishna, R.; Wang, H.; Weng, L.; Chen, B. A microporous six-fold interpenetrated hydrogen-bonded organic framework for highly selective separation of C2H4/C2H6. Chem. Commun. 2014, 50, 13081–13084. [Google Scholar] [CrossRef]
- Tang, Y.; Zhang, C.; Fan, L.; Shang, Y.; Feng, Y.; Pang, J.; Cui, X.; Kong, G.; Wang, R.; Kang, Z.; et al. Regulating the Orientation of Hydrogen-Bonded Organic Framework Membranes Based on Substrate Modification. Cryst. Growth Des. 2021, 21, 5292–5299. [Google Scholar] [CrossRef]
- Xing, G.; Bassanetti, I.; Bracco, S.; Negroni, M.; Bezuidenhout, C.; Ben, T.; Sozzani, P.; Comotti, A. A double helix of opposite charges to form channels with unique CO2 selectivity and dynamics. Chem. Sci. 2019, 10, 730–736. [Google Scholar] [CrossRef]
- Wen, H.-M.; Li, B.; Li, L.; Lin, R.-B.; Zhou, W.; Qian, G.; Chen, B. A Metal-Organic Framework with Optimized Porosity and Functional Sites for High Gravimetric and Volumetric Methane Storage Working Capacities. Adv. Mater. 2018, 30, e1704792. [Google Scholar] [CrossRef]
- He, H.; Sun, F.; Aguila, B.; Perman, J.A.; Ma, S.; Zhu, G. A bifunctional metal–organic framework featuring the combination of open metal sites and Lewis basic sites for selective gas adsorption and heterogeneous cascade catalysis. J. Mater. Chem. A 2016, 4, 15240–15246. [Google Scholar] [CrossRef]
- Xiong, S.; Gong, Y.; Wang, H.; Wang, H.; Liu, Q.; Gu, M.; Wang, X.; Chen, B.; Wang, Z. A new tetrazolate zeolite-like framework for highly selective CO2/CH4 and CO2/N2 separation. Chem. Commun. 2014, 50, 12101–12104. [Google Scholar] [CrossRef]
- Nugent, P.; Belmabkhout, Y.; Burd, S.D.; Cairns, A.J.; Luebke, R.; Forrest, K.; Pham, T.; Ma, S.; Space, B.; Wojtas, L.; et al. Porous materials with optimal adsorption thermodynamics and kinetics for CO2 separation. Nature 2013, 495, 80–84. [Google Scholar] [CrossRef] [PubMed]
- Zhou, Y.; Zhang, J.; Wang, L.; Cui, X.; Liu, X.; Wong, S.S.; An, H.; Yan, N.; Xie, J.; Yu, C.; et al. Self-assembled iron-containing mordenite monolith for carbon dioxide sieving. Science 2021, 373, 315–320. [Google Scholar] [CrossRef] [PubMed]
- Chen, L.-H.; Sun, M.-H.; Wang, Z.; Yang, W.; Xie, Z.; Su, B.-L. Hierarchically Structured Zeolites: From Design to Application. Chem. Rev. 2020, 120, 11194–11294. [Google Scholar] [CrossRef]
- Farmahini, A.H.; Krishnamurthy, S.; Friedrich, D.; Brandani, S.; Sarkisov, L. Performance-Based Screening of Porous Materials for Carbon Capture. Chem. Rev. 2021, 121, 10666–10741. [Google Scholar] [CrossRef]
- Wang, Z.; Zhang, S.; Chen, Y.; Zhang, Z.; Ma, S. Covalent organic frameworks for separation applications. Chem. Soc. Rev. 2020, 49, 708–735. [Google Scholar] [CrossRef] [PubMed]
- Wen, H.-M.; Li, B.; Wang, H.; Wu, C.; Alfooty, K.; Krishna, R.; Chen, B. A microporous metal-organic framework with rare lvt topology for highly selective C2H2/C2H4 separation at room temperature. Chem. Commun. 2015, 51, 5610–5613. [Google Scholar] [CrossRef]
- Lin, R.-B.; Li, L.; Wu, H.; Arman, H.; Li, B.; Lin, R.-G.; Zhou, W.; Chen, B. Optimized Separation of Acetylene from Carbon Dioxide and Ethylene in a Microporous Material. J. Am. Chem. Soc. 2017, 139, 8022–8028. [Google Scholar] [CrossRef]
- Qazvini, O.T.; Babarao, R.; Shi, Z.-L.; Zhang, Y.-B.; Telfer, S.G. A Robust Ethane-Trapping Metal-Organic Framework with a High Capacity for Ethylene Purification. J. Am. Chem. Soc. 2019, 141, 5014–5020. [Google Scholar] [CrossRef]
- Xiang, S.-C.; Zhang, Z.; Zhao, C.-G.; Hong, K.; Zhao, X.; Ding, D.-R.; Xie, M.-H.; Wu, C.-D.; Das, M.C.; Gill, R.; et al. Rationally tuned micropores within enantiopure metal-organic frameworks for highly selective separation of acetylene and ethylene. Nat. Commun. 2011, 2, 204. [Google Scholar] [CrossRef] [PubMed]
- Chen, Y.; Qiao, Z.; Wu, H.; Lv, D.; Shi, R.; Xia, Q.; Zhou, J.; Li, Z. An ethane-trapping MOF PCN-250 for highly selective adsorption of ethane over ethylene. Chem. Eng. Sci. 2018, 175, 110–117. [Google Scholar] [CrossRef]
- Liang, W.; Xu, F.; Zhou, X.; Xiao, J.; Xia, Q.; Li, Y.; Li, Z. Ethane selective adsorbent Ni(bdc)(ted)0.5 with high uptake and its significance in adsorption separation of ethane and ethylene. Chem. Eng. Sci. 2016, 148, 275–281. [Google Scholar] [CrossRef]
- Liao, P.-Q.; Zhang, W.-X.; Zhang, J.-P.; Chen, X.-M. Efficient purification of ethene by an ethane-trapping metal-organic framework. Nat. Commun. 2015, 6, 8697. [Google Scholar] [CrossRef]
- Li, L.; Lin, R.-B.; Krishna, R.; Li, H.; Xiang, S.; Wu, H.; Li, J.; Zhou, W.; Chen, B. Ethane/ethylene separation in a metal-organic framework with iron-peroxo sites. Science 2018, 362, 443–446. [Google Scholar] [CrossRef]
- Chen, Y.; Wu, H.; Lv, D.; Shi, R.; Chen, Y.; Xia, Q.; Li, Z. Highly Adsorptive Separation of Ethane/Ethylene by An Ethane-Selective MOF MIL-142A. Ind. Eng. Chem. Res. 2018, 57, 4063–4069. [Google Scholar] [CrossRef]
- Lv, D.; Shi, R.; Chen, Y.; Wu, Y.; Wu, H.; Xi, H.; Xia, Q.; Li, Z. Selective Adsorption of Ethane over Ethylene in PCN-245: Impacts of Interpenetrated Adsorbent. ACS Appl. Mater. Interfaces 2018, 10, 8366–8373. [Google Scholar] [CrossRef]
- Lin, R.-B.; Wu, H.; Li, L.; Tang, X.-L.; Li, Z.; Gao, J.; Cui, H.; Zhou, W.; Chen, B. Boosting Ethane/Ethylene Separation within Isoreticular Ultramicroporous Metal-Organic Frameworks. J. Am. Chem. Soc. 2018, 140, 12940–12946. [Google Scholar] [CrossRef]
- Böhme, U.; Barth, B.; Paula, C.; Kuhnt, A.; Schwieger, W.; Mundstock, A.; Caro, J.; Hartmann, M. Ethene/ethane and propene/propane separation via the olefin and paraffin selective metal-organic framework adsorbents CPO-27 and ZIF-8. Langmuir 2013, 29, 8592–8600. [Google Scholar] [CrossRef] [PubMed]
- Gücüyener, C.; van den Bergh, J.; Gascon, J.; Kapteijn, F. Ethane/ethene separation turned on its head: Selective ethane adsorption on the metal-organic framework ZIF-7 through a gate-opening mechanism. J. Am. Chem. Soc. 2010, 132, 17704–17706. [Google Scholar] [CrossRef]
- Wang, L.; Yang, L.; Gong, L.; Krishna, R.; Gao, Z.; Tao, Y.; Yin, W.; Xu, Z.; Luo, F. Constructing redox-active microporous hydrogen-bonded organic framework by imide-functionalization: Photochromism, electrochromism, and selective adsorption of C2H2 over CO2. Chem. Eng. J. 2020, 383, 123117. [Google Scholar] [CrossRef]
- Cha, J.; Jo, Y.S.; Jeong, H.; Han, J.; Nam, S.W.; Song, K.H.; Yoon, C.W. Ammonia as an efficient COX-free hydrogen carrier: Fundamentals and feasibility analyses for fuel cell applications. Appl. Energy 2018, 224, 194–204. [Google Scholar] [CrossRef]
- Rieth, A.J.; Dincă, M. Controlled Gas Uptake in Metal-Organic Frameworks with Record Ammonia Sorption. J. Am. Chem. Soc. 2018, 140, 3461–3466. [Google Scholar] [CrossRef] [PubMed]
- van Humbeck, J.F.; McDonald, T.M.; Jing, X.; Wiers, B.M.; Zhu, G.; Long, J.R. Ammonia capture in porous organic polymers densely functionalized with Brønsted acid groups. J. Am. Chem. Soc. 2014, 136, 2432–2440. [Google Scholar] [CrossRef] [PubMed]
- Doonan, C.J.; Tranchemontagne, D.J.; Glover, T.G.; Hunt, J.R.; Yaghi, O.M. Exceptional ammonia uptake by a covalent organic framework. Nat. Chem. 2010, 2, 235–238. [Google Scholar] [CrossRef] [PubMed]
- Kang, D.W.; Kang, M.; Moon, M.; Kim, H.; Eom, S.; Choe, J.H.; Lee, W.R.; Hong, C.S. PDMS-coated hypercrosslinked porous organic polymers modified via double postsynthetic acidifications for ammonia capture. Chem. Sci. 2018, 9, 6871–6877. [Google Scholar] [CrossRef]
- Barin, G.; Peterson, G.W.; Crocellà, V.; Xu, J.; Colwell, K.A.; Nandy, A.; Reimer, J.A.; Bordiga, S.; Long, J.R. Highly effective ammonia removal in a series of Brønsted acidic porous polymers: Investigation of chemical and structural variations. Chem. Sci. 2017, 8, 4399–4409. [Google Scholar] [CrossRef] [PubMed]
- Rieth, A.J.; Tulchinsky, Y.; Dincă, M. High and Reversible Ammonia Uptake in Mesoporous Azolate Metal-Organic Frameworks with Open Mn, Co, and Ni Sites. J. Am. Chem. Soc. 2016, 138, 9401–9404. [Google Scholar] [CrossRef]
- Chen, L.; Reiss, P.S.; Chong, S.Y.; Holden, D.; Jelfs, K.E.; Hasell, T.; Little, M.A.; Kewley, A.; Briggs, M.E.; Stephenson, A.; et al. Separation of rare gases and chiral molecules by selective binding in porous organic cages. Nat. Mater. 2014, 13, 954–960. [Google Scholar] [CrossRef]
- Chakraborty, D.; Nandi, S.; Sinnwell, M.A.; Liu, J.; Kushwaha, R.; Thallapally, P.K.; Vaidhyanathan, R. Hyper-Cross-linked Porous Organic Frameworks with Ultramicropores for Selective Xenon Capture. ACS Appl. Mater. Interfaces 2019, 11, 13279–13284. [Google Scholar] [CrossRef]
- Lawler, K.V.; Hulvey, Z.; Forster, P.M. Nanoporous metal formates for krypton/xenon separation. Chem. Commun. 2013, 49, 10959–10961. [Google Scholar] [CrossRef]
- Wang, H.; Yao, K.; Zhang, Z.; Jagiello, J.; Gong, Q.; Han, Y.; Li, J. The first example of commensurate adsorption of atomic gas in a MOF and effective separation of xenon from other noble gases. Chem. Sci. 2014, 5, 620–624. [Google Scholar] [CrossRef]
- Meek, S.T.; Teich-McGoldrick, S.L.; Perry, J.J.; Greathouse, J.A.; Allendorf, M.D. Effects of Polarizability on the Adsorption of Noble Gases at Low Pressures in Monohalogenated Isoreticular Metal–Organic Frameworks. J. Phys. Chem. C 2012, 116, 19765–19772. [Google Scholar] [CrossRef]
- Mohamed, M.H.; Elsaidi, S.K.; Pham, T.; Forrest, K.A.; Schaef, H.T.; Hogan, A.; Wojtas, L.; Xu, W.; Space, B.; Zaworotko, M.J.; et al. Hybrid Ultra-Microporous Materials for Selective Xenon Adsorption and Separation. Angew. Chem. Int. Ed. Engl. 2016, 55, 8285–8289. [Google Scholar] [CrossRef] [PubMed]
- Saptiama, I.; Kaneti, Y.V.; Oveisi, H.; Suzuki, Y.; Tsuchiya, K.; Takai, K.; Sakae, T.; Pradhan, S.; Hossain, M.S.A.; Fukumitsu, N.; et al. Molybdenum Adsorption Properties of Alumina-Embedded Mesoporous Silica for Medical Radioisotope Production. BCSJ 2018, 91, 195–200. [Google Scholar] [CrossRef]
- Kaushik, A.; Marvaniya, K.; Kulkarni, Y.; Bhatt, D.; Bhatt, J.; Mane, M.; Suresh, E.; Tothadi, S.; Patel, K.; Kushwaha, S. Large-area self-standing thin film of porous hydrogen-bonded organic framework for efficient uranium extraction from seawater. Chem 2022, 8, 2749–2765. [Google Scholar] [CrossRef]
- Liu, R.; Zhang, W.; Chen, Y.; Wang, Y. Uranium (VI) adsorption by copper and copper/iron bimetallic central MOFs. Colloids Surf. A Physicochem. Eng. Asp. 2020, 587, 124334. [Google Scholar] [CrossRef]
- Zhang, G.; Fang, Y.; Wang, Y.; Liu, L.; Mei, D.; Ma, F.; Meng, Y.; Dong, H.; Zhang, C. Synthesis of amino acid modified MIL-101 and efficient uranium adsorption from water. J. Mol. Liq. 2022, 349, 118095. [Google Scholar] [CrossRef]
- Liu, J.-M.; Yin, X.-H.; Liu, T. Amidoxime-functionalized metal-organic frameworks UiO-66 for U(VI) adsorption from aqueous solution. J. Taiwan Inst. Chem. Eng. 2019, 95, 416–423. [Google Scholar] [CrossRef]
- Su, S.; Che, R.; Liu, Q.; Liu, J.; Zhang, H.; Li, R.; Jing, X.; Wang, J. Zeolitic Imidazolate Framework-67: A promising candidate for recovery of uranium (VI) from seawater. Colloids Surf. A Physicochem. Eng. Asp. 2018, 547, 73–80. [Google Scholar] [CrossRef]
- Mei, D.; Li, H.; Liu, L.; Jiang, L.; Zhang, C.; Wu, X.; Dong, H.; Ma, F. Efficient uranium adsorbent with antimicrobial function: Oxime functionalized ZIF-90. Chem. Eng. J. 2021, 425, 130468. [Google Scholar] [CrossRef]
- Li, F.-F.; Cui, W.-R.; Jiang, W.; Zhang, C.-R.; Liang, R.-P.; Qiu, J.-D. Stable sp2 carbon-conjugated covalent organic framework for detection and efficient adsorption of uranium from radioactive wastewater. J. Hazard. Mater. 2020, 392, 122333. [Google Scholar] [CrossRef] [PubMed]
- Li, Z.D.; Zhang, H.Q.; Xiong, X.H.; Luo, F. U(VI) adsorption onto covalent organic frameworks-TpPa-1. J. Solid State Chem. 2019, 277, 484–492. [Google Scholar] [CrossRef]
- Zhang, J.; Zhou, L.; Jia, Z.; Li, X.; Qi, Y.; Yang, C.; Guo, X.; Chen, S.; Long, H.; Ma, L. Construction of covalent organic framework with unique double-ring pore for size-matching adsorption of uranium. Nanoscale 2020, 12, 24044–24053. [Google Scholar] [CrossRef] [PubMed]
- Li, X.; Qi, Y.; Yue, G.; Wu, Q.; Li, Y.; Zhang, M.; Guo, X.; Li, X.; Ma, L.; Li, S. Solvent- and catalyst-free synthesis of an azine-linked covalent organic framework and the induced tautomerization in the adsorption of U(vi ) and Hg(ii ). Green Chem. 2019, 21, 649–657. [Google Scholar] [CrossRef]
- Qin, X.; Tang, X.; Ma, Y.; Xu, H.; Xu, Q.; Yang, W.; Gu, C. Decorating Covalent Organic Frameworks with High-density Chelate Groups for Uranium Extraction. Chem. Res. Chin. Univ. 2022, 38, 433–439. [Google Scholar] [CrossRef]
- Li, S.; Bai, H.; Wang, J.; Jing, X.; Liu, Q.; Zhang, M.; Chen, R.; Liu, L.; Jiao, C. In situ grown of nano-hydroxyapatite on magnetic CaAl-layered double hydroxides and its application in uranium removal. Chem. Eng. J. 2012, 193, 372–380. [Google Scholar] [CrossRef]
- Fan, F.-L.; Qin, Z.; Bai, J.; Rong, W.-D.; Fan, F.-Y.; Tian, W.; Wu, X.-L.; Wang, Y.; Zhao, L. Rapid removal of uranium from aqueous solutions using magnetic Fe3O4@SiO2 composite particles. J. Environ. Radioact. 2012, 106, 40–46. [Google Scholar] [CrossRef]
- Sarafraz, H.; Minuchehr, A.; Alahyarizadeh, G.; Rahimi, Z. Synthesis of enhanced phosphonic functional groups mesoporous silica for uranium selective adsorption from aqueous solutions. Sci. Rep. 2017, 7, 11675. [Google Scholar] [CrossRef]
- Ilaiyaraja, P.; Deb, A.K.S.; Sivasubramanian, K.; Ponraju, D.; Venkatraman, B. Adsorption of uranium from aqueous solution by PAMAM dendron functionalized styrene divinylbenzene. J. Hazard. Mater. 2013, 250, 155–166. [Google Scholar] [CrossRef]
- Sureshkumar, M.K.; Das, D.; Mallia, M.B.; Gupta, P.C. Adsorption of uranium from aqueous solution using chitosan-tripolyphosphate (CTPP) beads. J. Hazard. Mater. 2010, 184, 65–72. [Google Scholar] [CrossRef] [PubMed]
- Bai, J.; Ma, X.; Yan, H.; Zhu, J.; Wang, K.; Wang, J. A novel functional porous organic polymer for the removal of uranium from wastewater. Microporous Mesoporous Mater. 2020, 306, 110441. [Google Scholar] [CrossRef]
- Ghasemi, M.; Keshtkar, A.R.; Dabbagh, R.; Jaber Safdari, S. Biosorption of uranium(VI) from aqueous solutions by Ca-pretreated Cystoseira indica alga: Breakthrough curves studies and modeling. J. Hazard. Mater. 2011, 189, 141–149. [Google Scholar] [CrossRef] [PubMed]
- Zhang, J.; Chen, H.; Song, J.; Deng, H.; Chen, Z.; Lin, Z. Immobilization of Uranium at Nanoscale by Bacillus cereus 12-2 at Different U(VI) Concentration. J. Nanosci. Nanotechnol. 2019, 19, 7131–7138. [Google Scholar] [CrossRef]
- Saini, A.S.; Melo, J.S. Biosorption of uranium by melanin: Kinetic, equilibrium and thermodynamic studies. Bioresour. Technol. 2013, 149, 155–162. [Google Scholar] [CrossRef]
- Wagner, M.; Andrew Lin, K.-Y.; Oh, W.-D.; Lisak, G. Metal-organic frameworks for pesticidal persistent organic pollutants detection and adsorption–A mini review. J. Hazard. Mater. 2021, 413, 125325. [Google Scholar] [CrossRef]
- Wang, W.; Deng, S.; Ren, L.; Li, D.; Wang, W.; Vakili, M.; Wang, B.; Huang, J.; Wang, Y.; Yu, G. Stable Covalent Organic Frameworks as Efficient Adsorbents for High and Selective Removal of an Aryl-Organophosphorus Flame Retardant from Water. ACS Appl. Mater. Interfaces 2018, 10, 30265–30272. [Google Scholar] [CrossRef]
- Choong, Z.-Y.; Lin, K.-Y.A.; Oh, W.-D. Copper ferrite anchored on hexagonal boron nitride as peroxymonosulfate activator for ciprofloxacin removal. Mater. Lett. 2021, 285, 129079. [Google Scholar] [CrossRef]
- Lv, Y.; Qin, X.; Hu, K.; Ye, F.; Zhao, S. Microporous hydrogen-bond organic frameworks-based SALDI-TOF MS for simultaneous enrichment and high sensitivity detection of paraquat and chlormequat. Sens. Actuators B Chem. 2022, 353, 131132. [Google Scholar] [CrossRef]
- Ghosh, M.K.; Giri, S.; Ghorai, T.K. Single pot reaction of Co(III) and Ni(II) hydrogen-bonded organic frameworks and multidisciplinary application in dye adsorption, separation and DNA binding. J. Mol. Struct. 2020, 1206, 127727. [Google Scholar] [CrossRef]
- Yang, J.; Wang, J.; Zhang, X.; Chen, M.; Tian, B.; Wang, N.; Huang, X.; Hao, H. Exploration of hydrogen-bonded organic framework (HOF) as highly efficient adsorbent for rhodamine B and methyl orange. Microporous Mesoporous Mater. 2022, 330, 111624. [Google Scholar] [CrossRef]
- Jedynak, K.; Wideł, D.; Rędzia, N. Removal of Rhodamine B (A Basic Dye) and Acid Yellow 17 (An Acidic Dye) from Aqueous Solutions by Ordered Mesoporous Carbon and Commercial Activated Carbon. Colloids Interfaces 2019, 3, 30. [Google Scholar] [CrossRef]
- Yönten, V.; Sanyürek, N.K.; Kivanç, M.R. A thermodynamic and kinetic approach to adsorption of methyl orange from aqueous solution using a low cost activated carbon prepared from Vitis vinifera L. Surf. Interfaces 2020, 20, 100529. [Google Scholar] [CrossRef]
- Duan, S.; Li, J.; Liu, X.; Wang, Y.; Zeng, S.; Shao, D.; Hayat, T. HF-Free Synthesis of Nanoscale Metal–Organic Framework NMIL-100(Fe) as an Efficient Dye Adsorbent. ACS Sustain. Chem. Eng. 2016, 4, 3368–3378. [Google Scholar] [CrossRef]
- Xu, T.; Hou, X.; Liu, S.; Liu, B. One-step synthesis of magnetic and porous Ni@MOF-74(Ni) composite. Microporous Mesoporous Mater. 2018, 259, 178–183. [Google Scholar] [CrossRef]
- Lv, S.-W.; Liu, J.-M.; Ma, H.; Wang, Z.-H.; Li, C.-Y.; Zhao, N.; Wang, S. Simultaneous adsorption of methyl orange and methylene blue from aqueous solution using amino functionalized Zr-based MOFs. Microporous Mesoporous Mater. 2019, 282, 179–187. [Google Scholar] [CrossRef]
- Li, Y.; Zhou, K.; He, M.; Yao, J. Synthesis of ZIF-8 and ZIF-67 using mixed-base and their dye adsorption. Microporous Mesoporous Mater. 2016, 234, 287–292. [Google Scholar] [CrossRef]
- Wu, S.-C.; Yu, L.-L.; Xiao, F.-F.; You, X.; Yang, C.; Cheng, J.-H. Synthesis of aluminum-based MOF/graphite oxide composite and enhanced removal of methyl orange. J. Alloy. Compd. 2017, 724, 625–632. [Google Scholar] [CrossRef]
- Liang, X.; Ni, Z.; Zhao, L.; Ge, B.; Zhao, H.; Li, W. Improving surface areas of covalent organic framework with surfactant assisted solvothermal method and its adsorption properties for rhodamine B. Mater. Chem. Phys. 2021, 270, 124725. [Google Scholar] [CrossRef]
- Garai, B.; Shetty, D.; Skorjanc, T.; Gándara, F.; Naleem, N.; Varghese, S.; Sharma, S.K.; Baias, M.; Jagannathan, R.; Olson, M.A.; et al. Taming the Topology of Calix4arene-Based 2D-Covalent Organic Frameworks: Interpenetrated vs Noninterpenetrated Frameworks and Their Selective Removal of Cationic Dyes. J. Am. Chem. Soc. 2021, 143, 3407–3415. [Google Scholar] [CrossRef]
- Hou, Y.; Zhang, X.; Wang, C.; Qi, D.; Gu, Y.; Wang, Z.; Jiang, J. Novel imine-linked porphyrin covalent organic frameworks with good adsorption removing properties of RhB. New J. Chem. 2017, 41, 6145–6151. [Google Scholar] [CrossRef]
- Xu, S.-X.; Yao, Z.-Q.; Zhang, Y.-H. A covalent organic framework exhibiting amphiphilic selective adsorption toward ionic organic dyes tuned by pH value. Eur. Polym. J. 2020, 133, 109764. [Google Scholar] [CrossRef]
- Suner, S.S.; Demirci, S.; Sutekin, D.S.; Yilmaz, S.; Sahiner, N. Thiourea-Isocyanate-Based Covalent Organic Frameworks with Tunable Surface Charge and Surface Area for Methylene Blue and Methyl Orange Removal from Aqueous Media. Micromachines 2022, 13, 938. [Google Scholar] [CrossRef]
- Gao, X.; Lu, W.; Wang, Y.; Song, X.; Wang, C.; Kirlikovali, K.O.; Li, P. Recent advancements of photo- and electro-active hydrogen-bonded organic frameworks. Sci. China Chem. 2022, 65, 2077–2095. [Google Scholar] [CrossRef]
- Li, T.; Liu, B.-T.; Fang, Z.-B.; Yin, Q.; Wang, R.; Liu, T.-F. Integrating active C3N4 moieties in hydrogen-bonded organic frameworks for efficient photocatalysis. J. Mater. Chem. A 2021, 9, 4687–4691. [Google Scholar] [CrossRef]
- Aitchison, C.M.; Kane, C.M.; McMahon, D.P.; Spackman, P.R.; Pulido, A.; Wang, X.; Wilbraham, L.; Chen, L.; Clowes, R.; Zwijnenburg, M.A.; et al. Photocatalytic proton reduction by a computationally identified, molecular hydrogen-bonded framework. J. Mater. Chem. A 2020, 8, 7158–7170. [Google Scholar] [CrossRef]
- Yu, B.; Li, L.; Liu, S.; Wang, H.; Liu, H.; Lin, C.; Liu, C.; Wu, H.; Zhou, W.; Li, X.; et al. Robust Biological Hydrogen-Bonded Organic Framework with Post-Functionalized Rhenium(I) Sites for Efficient Heterogeneous Visible-Light-Driven CO2 Reduction. Angew. Chem. Int. Ed. Engl. 2021, 60, 8983–8989. [Google Scholar] [CrossRef] [PubMed]
- Bai, Y.; Wilbraham, L.; Slater, B.J.; Zwijnenburg, M.A.; Sprick, R.S.; Cooper, A.I. Accelerated Discovery of Organic Polymer Photocatalysts for Hydrogen Evolution from Water through the Integration of Experiment and Theory. J. Am. Chem. Soc. 2019, 141, 9063–9071. [Google Scholar] [CrossRef]
- Bi, S.; Lan, Z.-A.; Paasch, S.; Zhang, W.; He, Y.; Zhang, C.; Liu, F.; Wu, D.; Zhuang, X.; Brunner, E.; et al. Substantial Cyano-Substituted Fully sp 2 -Carbon-Linked Framework: Metal-Free Approach and Visible-Light-Driven Hydrogen Evolution. Adv. Funct. Mater. 2017, 27, 1703146. [Google Scholar] [CrossRef]
- He, X.-T.; Luo, Y.-H.; Zheng, Z.-Y.; Wang, C.; Wang, J.-Y.; Hong, D.-L.; Zhai, L.-H.; Guo, L.-H.; Sun, B.-W. Porphyrin-Based Hydrogen-Bonded Organic Frameworks for the Photocatalytic Degradation of 9,10-Diphenylanthracene. ACS Appl. Nano Mater. 2019, 2, 7719–7727. [Google Scholar] [CrossRef]
- Wang, J.; Mao, Y.; Zhang, R.; Zeng, Y.; Li, C.; Zhang, B.; Zhu, J.; Ji, J.; Liu, D.; Gao, R.; et al. In Situ Assembly of Hydrogen-Bonded Organic Framework on Metal-Organic Framework: An Effective Strategy for Constructing Core-Shell Hybrid Photocatalyst. Adv. Sci. (Weinh.) 2022, 9, e2204036. [Google Scholar] [CrossRef]
- Li, Y.-L.; Wang, H.-L.; Chen, Z.-C.; Zhu, Z.-H.; Liu, Y.-C.; Yang, R.-Y.; Liang, F.-P.; Zou, H.-H. Lanthanoid hydrogen-bonded organic frameworks: Enhancement of luminescence by the coordination-promoted antenna effect and applications in heavy-metal ion sensing and sterilization. Chem. Eng. J. 2023, 451, 138880. [Google Scholar] [CrossRef]
- Fan, Z.; Zheng, S.; Zhang, H.; Chen, K.; Li, Y.; Liu, C.; Xiang, S.; Zhang, Z. Amidinium sulfonate hydrogen-bonded organic framework with fluorescence amplification function for sensitive aniline detection. Chin. Chem. Lett. 2022, 33, 4317–4320. [Google Scholar] [CrossRef]
- Lin, Z.-J.; Qin, J.-Y.; Zhan, X.-P.; Wu, K.; Cao, G.-J.; Chen, B. Robust Mesoporous Functional Hydrogen-Bonded Organic Framework for Hypochlorite Detection. ACS Appl. Mater. Interfaces 2022, 14, 21098–21105. [Google Scholar] [CrossRef] [PubMed]
- Zhu, K.; Xu, X.; Yan, B. Eu(iii )-Functionalized HOFs based on machine learning-assisted fluorescence sensing: Discrimination of quinolones via PCA and BPNN models. J. Mater. Chem. C 2022, 10, 10320–10329. [Google Scholar] [CrossRef]
- Guo, G.; Wang, D.; Zheng, X.; Bi, X.; Liu, S.; Sun, L.; Zhao, Y. Construction of tetraphenylethylene-based fluorescent hydrogen-bonded organic frameworks for detection of explosives. Dye. Pigment. 2022, 197, 109881. [Google Scholar] [CrossRef]
- Wang, B.; He, R.; Xie, L.-H.; Lin, Z.-J.; Zhang, X.; Wang, J.; Huang, H.; Zhang, Z.; Schanze, K.S.; Zhang, J.; et al. Microporous Hydrogen-Bonded Organic Framework for Highly Efficient Turn-Up Fluorescent Sensing of Aniline. J. Am. Chem. Soc. 2020, 142, 12478–12485. [Google Scholar] [CrossRef]










| Supramolecular Synthons | Construction Component | Hydrogen Bonding Mode | Numbers of Hydrogen Bond Type | Chemical Stability |
|---|---|---|---|---|
| DAT | Single-component | N—H···N | 3 | Good |
| Carboxylic acid | Single-component | O—H···O | 1 | Good |
| Pyridine | Single-component | N—H···N | 1 | Good |
| Sulfonate-guanidium sheet | Two-component | N—H···O—S | 2 | Sulfonic acid is unstable |
| Carboxyl-pyridine dimer | Two-component | O—H···N and O···H—C | 1 | Good |
| Materials | Guest Species/Other Materials | Porosity | Obtaining Property | |
|---|---|---|---|---|
| Metallized HOFs | Metal-organic cations | [M(H2O)6]n+ (n = 1, 2, 3···); [M(NH3)6]n+; [M(en)3]n+; [M(tame)2]n+; [M(lmdz)6]n+; Metal-organic cage | Microporous | Oxidation-reduction; Electronics; Optics; Magnetism |
| Metal-organic anions | [M(CN)n]m−) (n = 2, 3, 4···; m = 1, 2, 3···); [M(C2O4)n]m− | |||
| Neutral metal-organic complexes | Metal salt hydrate | |||
| Metal-porphyrin complexes | Metal centers of porphyrins and their derivatives | |||
| HOF composites | Nanoparticles; Metal oxides; Polymers; Carbon materials | Micro/mesoporous | Catalysis; Adsorption; Photothermal | |
| HOF-derived pyrolytic materials | Heteroatoms | Micro/mesoporous | Oxidation-reduction; Adsorption | |
| HOFs | Pore Size/Å | BET Surface Areas (m2·g−1) | Functionality | Ref. |
|---|---|---|---|---|
| SOF-1a | 7.4 | 474 | CO2/C2H2 adsorption | [99] |
| Trispyrazole-1 | 16.5 | 1159 | fluorocarbon and hydrocarbon adsorption | [51] |
| PFC-2 | 19.7, 10.7 | 1014 | C2H2/C2H4 separation | [100] |
| HOF-14 | 31.2 × 24.1 | 2573 | hydrocarbon separation | [101] |
| HOF-102 | 34.0 × 35.58 | 2500 | mustard gas detoxification | [102] |
| benzotrisimidazole-CF3 | 3.8 | 131 | O2/Ar, O2/N2 separatio | [103] |
| HOF-16a | 6.7 | 279 | C3H6/C3H8 separation | [26] |
| IISERP-HOF1 | 9.4 × 9.1 | 1025 | CO2/N2 separation | [104] |
| HOF-9a | 6.9 × 8.8 | 286 | CO2/N2 separation | [105] |
| HOF-8d | 6.8 × 4.5 | - | CO2 capture | [32] |
| CP-PP-1a | 18.1 × 30.3 | 114 | CO2/N2 separation | [106] |
| HOF-5a | 3.9 × 5.5 | 1101 | CO2 capture | [36] |
| PFC-5 | 5.2 × 4.0 | 256 | hydrocarbon separation | [107] |
| HOF-76a | 7.0 | 1121 | C2H6/C2H4 separation | [108] |
| HOF-6a | ~6.4, ~7.5 | 130 | CO2/N2 separation | [109] |
| HOF-7a | 3.4 × 4.7, 4.2 × 6.7 | 124 | CO2/N2 separation | [110] |
| HOF-11a | 6.2 × 6.8 | 687 | CO2 capture | [55] |
| HOF-FJU-1a | 3.4 × 5.3 | 385 | C2H6/C2H4 separation | [111] |
| Tcpb/HOF-BTB | 18.5 | 1095 | CO2/CH4,CO2/N2 separation | [112] |
| PFC-11 | - | 751.3 | CO2, benzene and toluene capture | [52] |
| PFC-12 | - | 653.6 | CO2, benzene and toluene capture | [52] |
| HOF-12a | 8.6 × 10.8 | 320 | CO2 capture | [113] |
| ZJU-HOF-1 | 4.6 | 1465 | C2H6/C2H4 separation | [114] |
| HOF-40 | 4.15 × 3.85 | 234 | Xe/Kr separation | [115] |
| HOF-30a | ~4.2 | 361 | propyne/propylene separation | [60] |
| HOF-TCBP | 17.8 × 26.3 | 2066 | light hydrocarbons separation | [53] |
| ZJU-HOF-10 | 14.07 × 16.73 | 1169 | C2H6/C2H4 separation | [116] |
| HOF-4a | 3.8 × 8.1 | 312 | C2H6/C2H4 separation | [117] |
| UPC-HOF-6 | ~2.8 | 237 | H2/N2 separation | [118] |
| SOF-7a | 13.5 × 14.0 | 900 | CO2/CH4 separation | [65] |
| CPOS-5 | 5.3 | 760 | CO2 capture | [119] |
| Absorbent | T (K) | P (Bar) | C2H6 UptakeMixed (mmol·g−1) | C2H4 UptakeMixed (mmol·g−1) | IAST Selectivity (C2H6/C2H4) | Ref. |
|---|---|---|---|---|---|---|
| ZJU-HOF-1 | 298 | 1 | 3.2 | 1.42 | 2.25 | [114] |
| MFU-15 | 293 | 1 | 3.13 | 1.6 | 1.96 | [130] |
| PCN-250 | 298 | 1 | 2.96 | 1.6 | 1.85 | [132] |
| Ni(bcd)(ted)0.5 | 298 | 1 | 2.48 | 1.38 | 1.8 | [133] |
| IRMOF-8 | 298 | 1 | 2.16 | 1.25 | 1.7 | [134] |
| MAF-49 | 316 | 1 | 1.21 | 0.44 | 2.7 | [134] |
| Fe2(O)2(dobdc) | 298 | 1 | 2.53 | 0.57 | 4.4 | [135] |
| MIL-142-A | 298 | 1 | 2.1 | 1.39 | 1.51 | [136] |
| PCN-245 | 298 | 1 | 1.8 | 1 | 1.8 | [137] |
| Cu(Qc)2 | 298 | 1 | 1.65 | 0.48 | 3.45 | [138] |
| ZIF-8 | 275 | 1 | 1.26 | 0.7 | 1.8 | [139] |
| ZIF-7 | 298 | 1 | 1.2 | 0.8 | 1.5 | [140] |
| Materials | Adsorbent | pH | Qm (mg·g−1) | Ref. |
|---|---|---|---|---|
| HOFs | CSMCRIHOF-1 | 7 | 1185 | [156] |
| MOFs | Cu-BTC | 3 | 617 | [157] |
| MIL-101-His | 6 | 345 | [158] | |
| UIO-66-AO | 5.5 | 106 | [159] | |
| ZIF-67 | 4 | 397.6 | [160] | |
| ZIF-90-OM | 5 | 482.5 | [161] | |
| COFs | COF-PDAN-AO | 4 | 256 | [162] |
| COF-TpPa-1 | 6 | 120 | [163] | |
| DP-COF | 4.5 | 317 | [164] | |
| ACOF | 4.5 | 169 | [165] | |
| TPB-BPTA-COF-AO | 7 | 90.6 | [166] | |
| Inorganic | CMLH | 6 | 99 | [167] |
| Fe3O4@SiO2 composites | 6 | 52.36 | [168] | |
| PFG MSs | 8 | 207.6 | [169] | |
| Organic | PAMAMG3-SDB | 6 | 99.05 | [170] |
| CTPP | 5 | 140 | [171] | |
| HCP-2 | 8 | 33.4 | [172] | |
| Biology | Ca-pretreated cystoseira indica alga | 4 | 318.15 | [173] |
| Bacillus cereus 12-2 | 5 | 94.14 | [174] | |
| Biosynthesized melanin | 5 | 49 | [175] |
| Materials | Absorbent | Dye | Qm (mg·g−1) | Ref. |
|---|---|---|---|---|
| HOFs | PFC-1 | RhB | 317 | [181] |
| PFC-1 | MO | 252 | [181] | |
| MOFs | NMIL-100(Fe) | RhB | 76.69 | [184] |
| Ni@MOF-74(Ni) | RhB | 177.8 | [185] | |
| UiO-66-NH2 | MO | 148.4 | [186] | |
| ZIF-67 | MO | 16.3 | [187] | |
| MIL-68(Al)/GO | MO | 400 | [188] | |
| COFs | TFP-PPDA | RhB | 704.3 | [189] |
| CX4-BD-2 | RhB | 40 | [190] | |
| CuP-DMNDA-COF/Fe | RhB | 378 | [191] | |
| Benzodiimidazole-COF | MO | 256 | [192] | |
| P-TH COF | MO | 25.9 | [193] |
| Materials | Reaction | Performance | Ref. |
|---|---|---|---|
| PFC-42 | H2O Photocatalysis | H2 production rate (2265 μmol·g−1·h−1 ) | [195] |
| TBAP-α | H2O Photocatalysis | H2 production rate (3108 mmol·g−1·h−1) | [196] |
| PFC-72-Co | CO2 Photocatalysis | CO production rate (14.7 μmol·g−1·h−1 ) | [29] |
| PFC-73-Ni | CO2 Photocatalysis | CO production rate (9.8 μmol·g−1·h−1 ) | [29] |
| PFC-73-Cu | CO2 Photocatalysis | CO production rate (4.4 μmol·g−1·h−1 ) | [29] |
| PFC-58 | CO2 Photocatalysis | CO production rate (3.2 μmol·g−1·h−1 ) | [86] |
| PFC-58-61 | CO2 Photocatalysis | CO production rate (4.6 μmol·g−1·h−1 ) | [86] |
| PFC-58-30 | CO2 Photocatalysis | CO production rate (7.3 μmol·g−1·h−1 ) | [86] |
| HOF-25-Re | CO2 Photocatalysis | CO production rate (1448 μmol·g−1·h−1 ) | [197] |
| Pt@nano-HOF | H2O Photocatalysis | H2 production rate (1480 μmol·g−1·h−1 ) | [31] |
| PFC-1/CNNS | H2O Photocatalysis | H2 production rate (4450 μmol·g−1·h−1) | [38] |
| PFC-45/Cu2O@CP | CO2 Photocatalysis | CO production rate (11.81 μmol·g−1·h−1 ) | [87] |
Disclaimer/Publisher’s Note: The statements, opinions and data contained in all publications are solely those of the individual author(s) and contributor(s) and not of MDPI and/or the editor(s). MDPI and/or the editor(s) disclaim responsibility for any injury to people or property resulting from any ideas, methods, instructions or products referred to in the content. |
© 2023 by the authors. Licensee MDPI, Basel, Switzerland. This article is an open access article distributed under the terms and conditions of the Creative Commons Attribution (CC BY) license (https://creativecommons.org/licenses/by/4.0/).
Share and Cite
Zhang, Y.; Tian, M.; Majeed, Z.; Xie, Y.; Zheng, K.; Luo, Z.; Li, C.; Zhao, C. Application of Hydrogen-Bonded Organic Frameworks in Environmental Remediation: Recent Advances and Future Trends. Separations 2023, 10, 196. https://doi.org/10.3390/separations10030196
Zhang Y, Tian M, Majeed Z, Xie Y, Zheng K, Luo Z, Li C, Zhao C. Application of Hydrogen-Bonded Organic Frameworks in Environmental Remediation: Recent Advances and Future Trends. Separations. 2023; 10(3):196. https://doi.org/10.3390/separations10030196
Chicago/Turabian StyleZhang, Yu, Mengfei Tian, Zahid Majeed, Yuxin Xie, Kaili Zheng, Zidan Luo, Chunying Li, and Chunjian Zhao. 2023. "Application of Hydrogen-Bonded Organic Frameworks in Environmental Remediation: Recent Advances and Future Trends" Separations 10, no. 3: 196. https://doi.org/10.3390/separations10030196
APA StyleZhang, Y., Tian, M., Majeed, Z., Xie, Y., Zheng, K., Luo, Z., Li, C., & Zhao, C. (2023). Application of Hydrogen-Bonded Organic Frameworks in Environmental Remediation: Recent Advances and Future Trends. Separations, 10(3), 196. https://doi.org/10.3390/separations10030196

