Adsorption Performance and Mechanism of H3PO4-Modified Banana Peel Hydrothermal Carbon on Pb(II)
Abstract
1. Introduction
2. Materials and Methods
2.1. Raw Materials
2.2. Reagents
2.3. Experimental Methods
2.3.1. Preparation of Hydrothermal Carbon from Banana Peel
2.3.2. Preparation of Phosphoric Acid-Modified Hydrothermal Carbon
2.3.3. Adsorption Experiment
2.3.4. Experimental Equipment
3. Results
3.1. Surface Structure and Properties of Hydrothermal Carbon before and after Modification
3.1.1. SEM Analysis
3.1.2. FT-IR Analysis
3.1.3. XRD Analysis
3.1.4. BET Analysis
3.1.5. Elemental Analysis
3.2. Analysis of the Adsorption Performance of Lead Ions by Modified Hydrothermal Carbon
3.2.1. Influence of Phosphoric Acid Concentration on Lead Adsorption by Hydrothermal Carbon
3.2.2. Influence of pH and pHPZC Value on the Adsorption Effect of Lead Ion
3.2.3. Influence of the Solid–Liquid Ratio on Adsorption by Hydrothermal Carbon
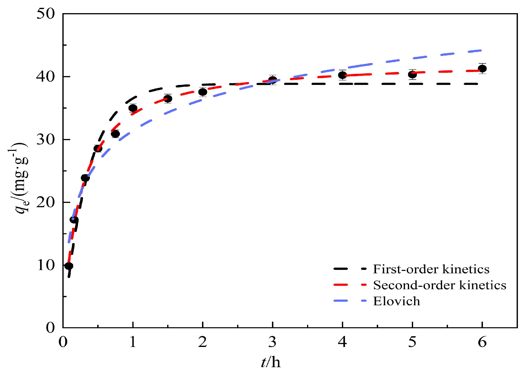
3.2.4. Analysis of Adsorption Performance and Kinetics as Functions of Adsorption Time
3.2.5. Analysis of Isothermal Adsorption by Modified Hydrothermal Carbon
3.2.6. Artificial Neural Network Model
3.2.7. Mechanism of Pb(Ⅱ) Adsorption by Modified Hydrothermal Carbon
3.3. The Reusability of Hydrothermal Carbon
4. Conclusions
Author Contributions
Funding
Data Availability Statement
Acknowledgments
Conflicts of Interest
References
- Zamora-Ledezma, C.; Negrete-Bolagay, D.; Figueroa, F.; Zamora-Ledezma, E.; Ni, M.; Alexis, F.; Guerrero, V.H. Heavy metal water pollution: A fresh look about hazards, novel and conventional remediation methods. Environ. Technol. Innov. 2021, 22, 101504. [Google Scholar] [CrossRef]
- Zhu, J.B.; Zhao, J.B.; Zhou, S.P.; Wu, C.H.; Zhao, D. Study on adsorption performance and mechanism of peanut ShellBiochar for Pb2+ and Cd2+ in water. J. Sw. Forest. Univ. 2022, 42, 78–86. [Google Scholar]
- Yao, J.; Wang, L.; Zhang, G.; Tao, J.; Shi, X.; Wei, F. Plate structure optimization and performance study of a new continuous flow electrocoagulation reactor. Chem. Eng. Res. Des. 2023, 194, 693–704. [Google Scholar] [CrossRef]
- Madrid, F.M.G.; Arancibia-Bravo, M.P.; Sepúlveda, F.D.; Lucay, F.A.; Soliz, A.; Cáceres, L. Ultrafine Kaolinite Removal in Recycled Water from the Overflow of Thickener Using Electroflotation: A Novel Application of Saline Water Splitting in Mineral Processing. Molecules 2023, 28, 3954. [Google Scholar] [CrossRef] [PubMed]
- Song, W.; Gao, Z.; Tan, F.; Cheng, X.; Yang, T.; Wu, D.; Yang, J.; Liang, H. Calcium sulfite oxidation activated by ferrous iron integrated with membrane filtration for removal of typical algal contaminants. Chemosphere 2023, 333, 138956. [Google Scholar] [CrossRef] [PubMed]
- Jatoi, A.S.; Baloch, H.A.; Mazari, S.A.; Mubarak, N.M.; Sabzoi, N.; Aziz, S.; Soomro, S.A.; Abro, R.; Shah, S.F. A review on extractive fermentation via ion exchange adsorption resins opportunities, challenges, and future prospects. Biomass Convers. Biorefin. 2021, 13, 3543–3554. [Google Scholar] [CrossRef]
- Gherbi, B.; Laouini, S.E.; Meneceur, S.; Bouafia, A.; Hemmami, H.; Tedjani, M.L.; Thiripuranathar, G.; Barhoum, A.; Menaa, F. Effect of pH Value on the Bandgap Energy and Particles Size for Biosynthesis of ZnO Nanoparticles: Efficiency for Photocatalytic Adsorption of Methyl Orange. Sustainability 2022, 14, 11300. [Google Scholar] [CrossRef]
- Vidu, R.; Matei, E.; Predescu, A.M.; Alhalaili, B.; Pantilimon, C.; Tarcea, C.; Predescu, C. Removal of Heavy Metals from Wastewaters: A Challenge from Current Treatment Methods to Nanotechnology Applications. Toxics 2020, 8, 101. [Google Scholar] [CrossRef]
- Burakov, A.E.; Galunin, E.V.; Burakova, I.V.; Kucherova, A.E.; Agarwal, S.; Tkachev, A.G.; Gupta, V.K. Adsorption of heavy metals on conventional and nanostructured materials for wastewater treatment purposes: A review. Ecotoxicol. Environ. Saf. 2018, 148, 702–712. [Google Scholar] [CrossRef]
- Chai, W.S.; Cheun, J.Y.; Kumar, P.S.; Mubashir, M.; Majeed, Z.; Banat, F.; Ho, S.-H.; Banat, P.L. A review on conventional and novel materials towards heavy metal adsorption in wastewater treatment application. J. Clean. Prod. 2021, 296, 126589. [Google Scholar] [CrossRef]
- Chen, C.; Liu, G.; An, Q.; Lin, L.; Shang, Y.; Wan, C. From wasted sludge to valuable biochar by low temperature hydrothermal carbonization treatment: Insight into the surface characteristics. J. Clean. Prod. 2020, 263, 121600. [Google Scholar] [CrossRef]
- Jagadeesh, N.; Sundaram, B. Adsorption of pollutants from wastewater by biochar: A review. J. Hazard. Mater. Adv. 2022, 9, 100226. [Google Scholar] [CrossRef]
- González-Arias, J.; Sánchez, M.E.; Cara-Jiménez, J.; Baena-Moreno, F.M.; Zhang, Z. Hydrothermal carbonization of biomass and waste: A review. Environ. Chem. Lett. 2022, 20, 211–221. [Google Scholar] [CrossRef]
- Barasarathi, J.; Abdullah, P.S.; Uche, E.C. Application of magnetic carbon nanocomposite from agro-waste for the removal of pollutants from water and wastewater. Chemosphere 2022, 305, 135384. [Google Scholar] [CrossRef] [PubMed]
- Khan, T.A.; Saud, A.S.; Jamari, S.S.; Ab Rahim, M.H.; Park, J.-W.; Kim, H.-J. Hydrothermal carbonization of lignocellulosic biomass for carbon rich material preparation: A review. Biomass Bioenergy 2019, 130, 105384. [Google Scholar] [CrossRef]
- Capobianco, L.; Di Caprio, F.; Altimari, P.; Astolfi, M.L.; Pagnanelli, F. Production of an iron-coated adsorbent for arsenic removal by hydrothermal carbonization of olive pomace: Effect of the feedwater pH. J. Environ. Manag. 2020, 273, 111164. [Google Scholar] [CrossRef]
- Redondo-Gómez, C.; Rodríguez Quesada, M.; Vallejo Astúa, S.; Murillo Zamora, J.P.; Lopretti, M.; Vega-Baudrit, J.R. Biorefinery of Biomass of Agro-Industrial Banana Waste to Obtain High-Value Biopolymers. Molecules 2020, 25, 3829. [Google Scholar] [CrossRef]
- Jiang, F.; Cao, D.; Hu, S.; Wang, Y.; Zhang, Y.; Huang, X.; Zhao, H.; Wu, C.; Li, J.; Ding, Y.; et al. High-pressure carbon dioxide-hydrothermal enhance yield and methylene blue adsorption performance of banana pseudo-stem activated carbon. Bioresour. Technol. 2022, 354, 127137. [Google Scholar] [CrossRef]
- Johnson, V.E.; Liao, Q.; Jallawide, B.W., Jr.; Anaman, R.; Amanze, C.; Huang, P.; Cao, W.; Ding, C.; Shi, Y. Simultaneous removal of As (V) and Pb (II) using highly-efficient modified dehydrated biochar made from banana peel via hydrothermal synthesis. Colloids Surf. A Physicochem. Eng. Asp. 2023, 663, 131115. [Google Scholar] [CrossRef]
- Anwar, J.; Shafique, U.; Zaman, W.U.; Salman, M.; Dar, A.; Anwar, S. Removal of Pb(II) and Cd(II) from water by adsorption on peels of banana. Bioresour. Technol. 2010, 101, 1752–1755. [Google Scholar] [CrossRef]
- Castro, R.S.D.; Caetano, L.; Ferreira, G.; Padilha, P.M.; Saeki, M.J.; Zara, L.F.; Martines, M.A.U.; Castro, G.R. Banana Peel Applied to the Solid Phase Extraction of Copper and Lead from River Water: Preconcentration of Metal Ions with a Fruit Waste. Ind. Eng. Chem. Res. 2011, 50, 3446–3451. [Google Scholar] [CrossRef]
- Yasim, N.S.E.M.; Ismail, Z.S.; Zaki, S.M.; Azis, M.F.A. Adsorption of Cu, As, Pb and Zn by banana trunk, Malays. J. Anal. Sci. 2016, 20, 103–112. [Google Scholar]
- Gupta, S.; Sireesha, S.; Sreedhar, I.; Patel, C.M.; Anitha, K.L. Latest trends in heavy metal removal from wastewater by biochar based sorbents. J. Water Process Eng. 2020, 38, 101561. [Google Scholar] [CrossRef]
- Quesada-Plata, F.; Ruiz-Rosas, R.; Morallón, E.; Cazorla-Amorós, D. Activated Carbons Prepared through H3PO4-Assisted Hydrothermal Carbonisation from Biomass Wastes: Porous Texture and Electrochemical Performance. ChemPlusChem 2016, 81, 1349–1359. [Google Scholar] [CrossRef]
- Cui, Y.; Zhao, B.; Xie, F.; Zhng, X.; Zhou, A.; Wang, S.; Yue, X. Study on the preparation and feasibility of a novel adding-type biological slow-release carbon source. J. Environ. Manag. 2022, 316, 115236. [Google Scholar] [CrossRef]
- Jiang, Q.; Xie, W.; Han, S.; Wang, Y.; Zhang, Y. Enhanced adsorption of Pb (II) onto modified hydrochar by polyethyleneimine or H3PO4: An analysis of surface property and interface mechanism. Colloids Surf. A Physicochem. Eng. Asp. 2019, 583, 123962. [Google Scholar] [CrossRef]
- Pauline, A.L.; Joseph, K. Hydrothermal carbonization of organic wastes to carbonaceous solid fuel—A review of mechanisms and process parameters. Fuel 2020, 279, 118472. [Google Scholar] [CrossRef]
- Thangarajah, V.; Wijesundara, W.M.Y.H.; Kumari, A.H.M.L.N.; Thilakarathna, M.G.G.S.N. Aqueous lead removal under optimized conditions using phosphoric acid activated coconut coir activated carbon. Am. J. Anal. Chem. 2020, 11, 389. [Google Scholar]
- Ischia, G.; Cutillo, M.; Guella, G.; Bazzanella, N.; Cazzanelli, M.; Orlandi, M.; Miotello, A.; Fiori, L. Hydrothermal carbonization of glucose: Secondary char properties, reaction pathways, and kinetics. Chem. Eng. J. 2022, 449, 137827. [Google Scholar] [CrossRef]
- Zikalala, S.A.; Selvaraj, R.; Al Marzouqi, F.; Kuvarega, A.T.; Mamba, B.B.; Mhlanga, S.D.; Nxumalo, E.N. Tailoring TiO2 through N doping and incorporation of amorphous carbon nanotubes via a microwave-assisted hydrothermal method. J. Environ. Chem. Eng. 2020, 8, 104082. [Google Scholar] [CrossRef]
- Yaashikaa, P.R.; Kumar, P.S.; Varjani, S.J.; Saravanan, A. Advances in production and application of biochar from lignocellulosic feedstocks for remediation of environmental pollutants. Bioresour. Technol. 2019, 292, 122030. [Google Scholar] [CrossRef] [PubMed]
- Li, P.; Wang, J.; Li, X.; Zhu, W.; He, S.; Han, C.; Luo, Y.; Ma, W.; Liu, N.; Dionysiou, D.D. Facile synthesis of amino-functional large-size mesoporous silica sphere and its application for Pb2+ removal. J. Hazard. Mater. 2019, 378, 120664. [Google Scholar] [CrossRef] [PubMed]
- Nair, V.; Panigrahy, A.; Vinu, R. Development of novel chitosan–lignin composites for adsorption of dyes and metal ions from wastewater. Chem. Eng. J. 2014, 254, 491–502. [Google Scholar] [CrossRef]
- Ighalo, J.O.; Rangabhashiyam, S.; Dulta, K.; Umeh, C.T.; Iwuozor, K.O.; Aniagor, C.O.; Eshiemogie, S.O.; Iwuchukwu, F.U.; Igwegbe, C.A. Recent advances in hydrochar application for the adsorptive removal of wastewater pollutants. Chem. Eng. Res. Des. 2022, 184, 419–456. [Google Scholar] [CrossRef]
- Fang, D.; Zhuang, X.; Huang, L.; Zhang, Q.; Shen, Q.; Jiang, L.; Xu, X.; Ji, F. Developing the new kinetics model based on the adsorption process: From fitting to comparison and prediction. Sci. Total Environ. 2020, 725, 138490. [Google Scholar] [CrossRef]
- Aramesh, N.; Bagheri, A.R.; Bilal, M. Chitosan-based hybrid materials for adsorptive removal of dyes and underlying interaction mechanisms. Int. J. Biol. Macromol. 2021, 183, 399–422. [Google Scholar] [CrossRef]
- Hu, S.; Huang, T.; Zhang, N.; Lei, Y.; Wang, Y. Chitosan-assisted MOFs dispersion via covalent bonding interaction toward highly efficient removal of heavy metal ions from wastewater. Carbohydr. Polym. 2022, 277, 118809. [Google Scholar] [CrossRef]
- Khalil, A.M.E.; Memon, F.A.; Tabish, T.A.; Salmon, D.; Zhang, S.; Butler, D. Nanostructured porous graphene for efficient removal of emerging contaminants (pharmaceuticals) from water. Chem. Eng. J. 2020, 398, 125440. [Google Scholar] [CrossRef]
- Lafi, R.; Montasser, I.; Hafiane, A. Adsorption of congo red dye from aqueous solutions by prepared activated carbon with oxygen-containing functional groups and its regeneration. Adsorpt. Sci. Technol. 2019, 37, 160–181. [Google Scholar] [CrossRef]
- Supanchaiyamat, N.; Jetsrisuparb, K.; Knijnenburg, J.T.; Tsang, D.C.; Hunt, A.J. Lignin materials for adsorption: Current trend, perspectives and opportunities. Bioresour. Technol. 2019, 272, 570–581. [Google Scholar] [CrossRef]

















| BET Surface Area /(m2∙g−1) | Total Pore Volume /(cm3∙g−1) | Average Pore Size /nm | |
|---|---|---|---|
| HTC240 | 7.3709 | 0.0263 | 14.2607 | 
| P-HTC-2.0 | 4.6823 | 0.0339 | 28.9693 | 
| C/% | H/% | N/% | O/% | |
|---|---|---|---|---|
| HTC240 | 69.688 | 6.229 | 3.107 | 15.730 | 
| P-HTC-2.0 | 67.622 | 6.604 | 2.847 | 16.899 | 
| Adsorption Kinetic | Parameters and Correlation Coefficients | |||
|---|---|---|---|---|
| First-order kinetics | k1 | qe | h0 | R2 | 
| 1/min | mg/g | mg/(min∙g) | ||
| 2.82 | 38.84 | 109.53 | 0.95 | |
| Second-order kinetics | k2 | qe | h0 | R2 | 
| g/(mg∙min) | mg/g | mg/(min∙g) | ||
| 0.09 | 42.68 | 169.04 | 0.99 | |
| Elovich | α | β | - | R2 | 
| 582.59 | 0.14 | - | 0.94 | |
| Isotherm Model | Experimental Conditions | Parameters and Related Parameters | ||
|---|---|---|---|---|
| Langmuir | T/K | KL/L∙mg−1 | qm/mg∙g−1 | R2 | 
| 293 | 0.09 | 76.54 | 0.95 | |
| 303 | 0.11 | 88.94 | 0.97 | |
| 313 | 0.17 | 103.24 | 0.96 | |
| Freundlich | T/K | KF (mg/g(1/mg)1/n) | 1/n | R2 | 
| 293 | 22.46 | 0.22 | 0.94 | |
| 303 | 28.72 | 0.20 | 0.92 | |
| 313 | 35.84 | 0.19 | 0.90 | |
| Input Value | Predicted Value | Actual Value | Error Value | |||||||
|---|---|---|---|---|---|---|---|---|---|---|
| pH | Temperature | Time | Solid–Liquid Ratio | Initial Concentration | qF | ηc | qe | η | |∆q| | |∆η| | 
| K | min | g/L | mg/L | mg/g | % | mg/g | % | % | % | |
| 2 | 293 | 120 | 1 | 50 | 13.1 | 13.2 | 13.8 | 27.6 | 5 | 4.3 | 
| 7 | 313 | 120 | 1 | 50 | 44.4 | 87.8 | 46.2 | 92.4 | 3.8 | 4.9 | 
| 7 | 293 | 300 | 1 | 50 | 40.9 | 80.2 | 40.3 | 80.7 | 1.5 | 0.6 | 
| 7 | 293 | 120 | 2 | 50 | 15.23 | 60.4 | 15.8 | 63.4 | 3.6 | 4.8 | 
| 7 | 293 | 120 | 1 | 150 | 74.1 | 24.8 | 75.2 | 25.1 | 1.5 | 1.2 | 
| Disclaimer/Publisher’s Note: The statements, opinions and data contained in all publications are solely those of the individual author(s) and contributor(s) and not of MDPI and/or the editor(s). MDPI and/or the editor(s) disclaim responsibility for any injury to people or property resulting from any ideas, methods, instructions or products referred to in the content. | 
© 2024 by the authors. Licensee MDPI, Basel, Switzerland. This article is an open access article distributed under the terms and conditions of the Creative Commons Attribution (CC BY) license (https://creativecommons.org/licenses/by/4.0/).
Share and Cite
Bai, T.; Yao, Y.; Zhao, J.; Tian, L.; Zhang, L. Adsorption Performance and Mechanism of H3PO4-Modified Banana Peel Hydrothermal Carbon on Pb(II). Separations 2024, 11, 17. https://doi.org/10.3390/separations11010017
Bai T, Yao Y, Zhao J, Tian L, Zhang L. Adsorption Performance and Mechanism of H3PO4-Modified Banana Peel Hydrothermal Carbon on Pb(II). Separations. 2024; 11(1):17. https://doi.org/10.3390/separations11010017
Chicago/Turabian StyleBai, Tao, Yuhu Yao, Jiaxin Zhao, Laixin Tian, and Luming Zhang. 2024. "Adsorption Performance and Mechanism of H3PO4-Modified Banana Peel Hydrothermal Carbon on Pb(II)" Separations 11, no. 1: 17. https://doi.org/10.3390/separations11010017
APA StyleBai, T., Yao, Y., Zhao, J., Tian, L., & Zhang, L. (2024). Adsorption Performance and Mechanism of H3PO4-Modified Banana Peel Hydrothermal Carbon on Pb(II). Separations, 11(1), 17. https://doi.org/10.3390/separations11010017
 
        

 
       