Hazelnut Shells as a Tenable Biosorbent for Basic Red 18 Azo Dye Removal
Abstract
1. Introduction
2. Materials and Methods
2.1. Reagents
2.2. Raw and Modified Hazelnut Shells
2.2.1. Particle Size Distribution
2.2.2. Chemical Activation
2.3. Adsorbent Characterization
2.3.1. Instrumental Facilities
2.3.2. pHpzc
2.4. Adsorption Studies
2.4.1. Experimental Procedure
2.4.2. Adsorption Isotherm Models
2.4.3. Kinetic and Thermodynamic Models
2.4.4. Reusability Analysis
3. Results and Discussion
3.1. Particle Size Distribution
3.2. Modification of Native Biosorbent
3.3. Characterization of Adsorbent
3.3.1. Microscope Analyses
3.3.2. ATR-FTIR Analysis
3.3.3. XRD Analysis
3.3.4. XRF Analysis
3.3.5. Point of Zero Charge (pHpzc)
3.4. Adsorption Study
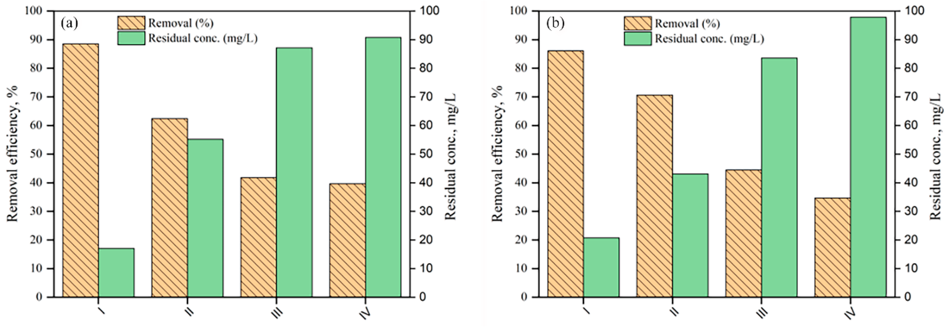
3.4.1. The Effect of Initial Dye Concentration
3.4.2. The Influence of pH on Dye Adsorption
3.4.3. The Effect of Contact Time
3.4.4. Sorption Equilibrium
3.4.5. Kinetics of Sorption
3.4.6. Thermodynamic Study
3.4.7. Reusability Study
3.4.8. Comparison with Other Studies
4. Conclusions
Author Contributions
Funding
Data Availability Statement
Conflicts of Interest
References
- Slama, H.B.; Bouket, A.C.; Pourhassan, Z.; Alenezi, F.N.; Silini, A.; Cherif-Silini, H.; Oszako, T.; Luptakova, L.; Golińska, P.; Belbahri, L. Diversity of Synthetic Dyes from Textile Industries, Discharge Impacts and Treatment Methods. Appl. Sci. 2021, 11, 6255. [Google Scholar] [CrossRef]
- Amalina, F.; Razak, A.S.A.; Krishnan, S.; Zularisam, A.W.; Nasrullah, M. Dyes Removal from Textile Wastewater by Agricultural Waste as an Absorbent—A Review. Clean. Waste Syst. 2022, 3, 100051. [Google Scholar] [CrossRef]
- Barciela, P.; Perez-Vazquez, A.; Prieto, M.A. Azo Dyes in the Food Industry: Features, Classification, Toxicity, Alternatives, and Regulation. Food Chem. Toxicol. 2023, 178, 113935. [Google Scholar] [CrossRef] [PubMed]
- Dutta, S.; Gupta, B.; Srivastava, S.K.; Gupta, A.K. Recent Advances on the Removal of Dyes from Wastewater Using Various Adsorbents: A Critical Review. Mater. Adv. 2021, 2, 4497–4531. [Google Scholar] [CrossRef]
- Amalina, F.; Razak, A.S.A.; Krishnan, S.; Zularisam, A.W.; Nasrullah, M. A Comprehensive Assessment of the Method for Producing Biochar, Its Characterization, Stability, and Potential Applications in Regenerative Economic Sustainability—A Review. Clean. Mater. 2022, 3, 100045. [Google Scholar] [CrossRef]
- John, A.; Yang, H.H.; Muhammad, S.; Khan, Z.I.; Yu, H.; Luqman, M.; Tofail, M.; Hussain, M.I.; Awan, M.U.F. Cross Talk between Synthetic Food Colors (Azo Dyes), Oral Flora, and Cardiovascular Disorders. Appl. Sci. 2022, 12, 7084. [Google Scholar] [CrossRef]
- Kamali, M.; Fazlpour, F.; Karimi, F.; Rezaee, A.; Sadri, F.; Hosseini, S.F. A Review of Cytotoxic Effects of Azo Dyes on Brain-Subregion. Middle East J. Rehabil. Health Stud. 2023, 10, e130751. [Google Scholar] [CrossRef]
- Chung, K.T. Azo Dyes and Human Health: A Review. J. Environ. Sci. Health—Part C Environ. Carcinog. Ecotoxicol. Rev. 2016, 34, 233–261. [Google Scholar] [CrossRef]
- Feng, J.; Cerniglia, C.E.; Chen, H. Toxicological Significance of Azo Dye Metabolism by Human Intestinal Microbiota. Front. Biosci. (Elite Ed.) 2012, 4, 568–586. [Google Scholar] [CrossRef]
- Nizam, N.U.M.; Hanafiah, M.M.; Mahmoudi, E.; Halim, A.A.; Mohammad, A.W. The Removal of Anionic and Cationic Dyes from an Aqueous Solution Using Biomass-Based Activated Carbon. Sci. Rep. 2021, 11, 8623. [Google Scholar] [CrossRef]
- The European Green Deal. European Commission: Brussels, Belgium. 2019. Available online: https://ec.europa.eu (accessed on 30 October 2024).
- El Khomri, M.; El Messaoudi, N.; Dbik, A.; Bentahar, S.; Lacherai, A.; Faska, N.; Jada, A. Regeneration of Argan Nutshell and Almond Shell Using HNO3 for Their Reusability to Remove Cationic Dye from Aqueous Solution. Chem. Eng. Commun. 2022, 209, 1304–1315. [Google Scholar] [CrossRef]
- Shakoor, S.; Nasar, A. Adsorptive Treatment of Hazardous Methylene Blue Dye from Artificially Contaminated Water Using Cucumis Sativus Peel Waste as a Low-Cost Adsorbent. Groundw. Sustain. Dev. 2017, 5, 152–159. [Google Scholar] [CrossRef]
- Policy and Management Consulting Group (PMCG). Hazelnut Production Sector in Georgia. 2023. Available online: https://pmcg-i.com/publication/hazelnut-production-sector-in-georgia/ (accessed on 31 October 2024).
- Ollani, S.; Peano, C.; Sottile, F. Recent Innovations on the Reuse of Almond and Hazelnut By-Products: A Review. Sustainability 2024, 16, 2577. [Google Scholar] [CrossRef]
- Stjepanović, M.; Velić, N.; Habuda-Stanić, M. Modified Hazelnut Shells as a Novel Adsorbent for the Removal of Nitrate from Wastewater. Water 2022, 14, 816. [Google Scholar] [CrossRef]
- Saleh, M.; Bilici, Z.; Kaya, M.; Yalvac, M.; Arslan, H.; Yatmaz, H.C.; Dizge, N. The Use of Basalt Powder as a Natural Heterogeneous Catalyst in the Fenton and Photo-Fenton Oxidation of Cationic Dyes. Adv. Powder Technol. 2021, 32, 1264–1275. [Google Scholar] [CrossRef]
- Galhoum, A.A.; Atia, A.A.; Mahfouz, M.G.; Abdel-Rehem, S.T.; Gomaa, N.A.; Vincent, T.; Guibal, E. Dy(III) Recovery from Dilute Solutions Using Magnetic-Chitosan Nano-Based Particles Grafted with Amino Acids. J. Mater. Sci. 2015, 50, 2832–2848. [Google Scholar] [CrossRef]
- Fil, B.A.; Karakaş, Z.K.; Boncukcuoğlu, R.; Yılmaz, A.E. Removal of Cationic Dye (Basic Red 18) from Aqueous Solution Using Natural Turkish Clay. Glob. NEST J. 2013, 15, 529–541. [Google Scholar]
- Langmuir, I. Diminishing Approximately 1% For. J. Am. Chem. Soc. 1919, 40, 1361–1403. [Google Scholar] [CrossRef]
- Freundlich, H. Adsorption in Solutions. J. Phys. Chem. 1906, 57, 384–410. [Google Scholar]
- Ho, Y.S.; Porter, J.F.; Mckay, G. Divalent Metal Ions Onto Peat: Copper, Nickel and Lead Single Component Systems. Water Air Soil Pollut. 2002, 141, 1–33. [Google Scholar] [CrossRef]
- Lagergren, S. Zur Theorieder Sogennanten Adsorption Geloester Stoffe, Kungliga Svenska Vetenskapsakademiens. Handlingar 1898, 24, 1–39. [Google Scholar]
- Ho YS, M.G. Pseudo-Second Order Model for Sorption Processes. Process Biochem. 1999, 34, 451–465. [Google Scholar] [CrossRef]
- Weber, W.J.; Morris, J.C. Kinetics of Adsorption on Carbon from Solutions. J. Sanit. Eng. Div. Am. Soc. Civ. Eng. 1963, 89, 31–60. [Google Scholar] [CrossRef]
- Tadić, T.T.; Momčilović, M.Z.; Nastasović, A.B.; Marković, B.M.; Nešić, A.; Bojić, A.L.; Onjia, A.E. Novel Eco-Friendly Sorbent Derived from Acer Pseudoplatanus Seed for Atenolol Removal from Pharmaceutical Wastewater. J. Water Process Eng. 2024, 64, 105564. [Google Scholar] [CrossRef]
- Altun, T.; Pehlivan, E. Removal of Cr(VI) from Aqueous Solutions by Modified Walnut Shells. Food Chem. 2012, 132, 693–700. [Google Scholar] [CrossRef]
- Parlayıcı, Ş. Modified Peach Stone Shell Powder for the Removal of Cr (VI) from Aqueous Solution: Synthesis, Kinetic, Thermodynamic, and Modeling Study. Int. J. Phytoremediat. 2019, 21, 590–599. [Google Scholar] [CrossRef]
- Çelik, Y.H.; Yalcin, R.; Topkaya, T.; Başaran, E.; Kilickap, E. Characterization of Hazelnut, Pistachio, and Apricot Kernel Shell Particles and Analysis of Their Composite Properties. J. Nat. Fibers 2021, 18, 1054–1068. [Google Scholar] [CrossRef]
- Ruel, K.; Nishiyama, Y.; Joseleau, J.P. Crystalline and Amorphous Cellulose in the Secondary Walls of Arabidopsis. Plant Sci. 2012, 193–194, 48–61. [Google Scholar] [CrossRef]
- Karić, N.; Vukčević, M.; Maletić, M.; Dimitrijević, S.; Ristić, M.; Grujić, A.P.; Trivunac, K. Physico-Chemical, Structural, and Adsorption Properties of Amino-Modified Starch Derivatives for the Removal of (in)Organic Pollutants from Aqueous Solutions. Int. J. Biol. Macromol. 2023, 241, 124527. [Google Scholar] [CrossRef]
- Saleh, M.; Bilici, Z.; Ozay, Y.; Yalvac, M.; Dizge, N.; Yabalak, E. Green Synthesis of Quercus Coccifera Hydrochar in Subcritical Water Medium and Evaluation of Its Adsorption Performance for BR18 Dye. Water Sci. Technol. 2021, 83, 701–714. [Google Scholar] [CrossRef]
- Arslantaş, C.; M’barek, I.; Saleh, M.; Isik, Z.; Ozdemir, S.; Dundar, A.; Dizge, N. Basic Red 18 and Remazol Brilliant Blue R Biosorption Using Russula Brevipes, Agaricus Augustus, Fomes Fomentarius. Water Pract. Technol. 2022, 17, 749–762. [Google Scholar] [CrossRef]
- Arslan, H.; Saleh, M.; Bilici, Z.; Dizge, N. Leonardite Powder as an Efficient Adsorbent for Cationic and Anionic Dyes. Water Environ. Res. 2022, 94, e10719. [Google Scholar] [CrossRef] [PubMed]
- Demiral, I.; Samdan, C.A.; Demiral, H. Kinetics & Equilibrium Adsorption Study of Lead(II) onto Activated Carbon Prepared from Pumpkin Seed Shell. Fresenius Environ. Bull. 2017, 26, 4484–4494. [Google Scholar]
- Sivarajasekar, N.; Baskar, R. Adsorption of Basic Red 9 onto Activated Carbon Derived from Immature Cotton Seeds: Isotherm Studies and Error Analysis. Desalin. Water Treat. 2014, 52, 7743–7765. [Google Scholar] [CrossRef]
- Chigbundu, E.C.; Adebowale, K.O. Equilibrium and Fractal-like Kinetic Studies of the Sorption of Acid and Basic Dyes onto Watermelon Shell (Citrullus vulgaris). Cellulose 2017, 24, 4701–4714. [Google Scholar] [CrossRef]
- Shi, Q.; Terracciano, A.; Zhao, Y.; Wei, C.; Christodoulatos, C.; Meng, X. Evaluation of Metal Oxides and Activated Carbon for Lead Removal: Kinetics, Isotherms, Column Tests, and the Role of Co-Existing Ions. Sci. Total Environ. 2019, 648, 176–183. [Google Scholar] [CrossRef]
- Karanac, M.; Đolić, M.; Veljović, Đ.; Rajaković-Ognjanović, V.; Veličković, Z.; Pavićević, V.; Marinković, A. The Removal of Zn2+, Pb2+, and As(V) Ions by Lime Activated Fly Ash and Valorization of the Exhausted Adsorbent. Waste Manag. 2018, 78, 366–378. [Google Scholar] [CrossRef]
- Adegoke, K.A.; Bello, O.S. Dye Sequestration Using Agricultural Wastes as Adsorbents. Water Resour. Ind. 2015, 12, 8–24. [Google Scholar] [CrossRef]
- Rashid, J.; Tehreem, F.; Rehman, A.; Kumar, R. Synthesis Using Natural Functionalization of Activated Carbon from Pumpkin Peels for Decolourization of Aqueous Methylene Blue. Sci. Total Environ. 2019, 671, 369–376. [Google Scholar] [CrossRef]
- Bayomie, O.S.; Kandeel, H.; Shoeib, T.; Yang, H.; Youssef, N.; El-Sayed, M.M.H. Novel Approach for Effective Removal of Methylene Blue Dye from Water Using Fava Bean Peel Waste. Sci. Rep. 2020, 10, 7824. [Google Scholar] [CrossRef]
- Jawad, A.H.; Saud Abdulhameed, A.; Wilson, L.D.; Syed-Hassan, S.S.A.; ALOthman, Z.A.; Rizwan Khan, M. High Surface Area and Mesoporous Activated Carbon from KOH-Activated Dragon Fruit Peels for Methylene Blue Dye Adsorption: Optimization and Mechanism Study. Chin. J. Chem. Eng. 2021, 32, 281–290. [Google Scholar] [CrossRef]
- Maia, L.S.; da Silva, A.I.C.; Carneiro, E.S.; Monticelli, F.M.; Pinhati, F.R.; Mulinari, D.R. Activated Carbon From Palm Fibres Used as an Adsorbent for Methylene Blue Removal. J. Polym. Environ. 2021, 29, 1162–1175. [Google Scholar] [CrossRef]
- Maia, L.S.; Duizit, L.D.; Pinhatio, F.R.; Mulinari, D.R. Valuation of Banana Peel Waste for Producing Activated Carbon via NaOH and Pyrolysis for Methylene Blue Removal. Carbon Lett. 2021, 31, 749–762. [Google Scholar] [CrossRef]
- Kocaman, S. Synthesis and Cationic Dye Biosorption Properties of a Novel Low-Cost Adsorbent: Coconut Waste Modified with Acrylic and Polyacrylic Acids. Int. J. Phytoremediat. 2020, 22, 551–566. [Google Scholar] [CrossRef] [PubMed]
- Thabede, P.M.; Shooto, N.D.; Naidoo, E.B. Removal of Methylene Blue Dye and Lead Ions from Aqueous Solution Using Activated Carbon from Black Cumin Seeds. S. Afr. J. Chem. Eng. 2020, 33, 39–50. [Google Scholar] [CrossRef]
- Elibol, S.; Malko, E. Cationic Dye Removal Using Chemically Activated and Microwave Irradiated Hazelnut Husk. In Proceedings of the 5 th EurAsia Waste Management Symposium, Istanbul, Turkey, 26–28 October 2020. [Google Scholar]
- Bello, O.S.; Adegoke, K.A.; Fagbenro, S.O.; Lameed, O.S. Functionalized Coconut Husks for Rhodamine-B Dye Sequestration. Appl. Water Sci. 2019, 9, 189. [Google Scholar] [CrossRef]
- Şentürk, İ.; Alzein, M. Adsorptive Removal of Basic Blue 41 Using Pistachio Shell Adsorbent—Performance in Batch and Column System. Sustain. Chem. Pharm. 2020, 16, 100254. [Google Scholar] [CrossRef]
- Al-Ajji, M.A.; Al-Ghouti, M.A. Novel Insights into the Nanoadsorption Mechanisms of Crystal Violet Using Nano-Hazelnut Shell from Aqueous Solution. J. Water Process Eng. 2021, 44, 102354. [Google Scholar] [CrossRef]













| Isotherm Model | Material | MHS | RHS |
|---|---|---|---|
| Langmuir isotherm | qm (mg/g) | 80.65 | 62.11 |
| KL (L/mg) | 0.0135 | 0.0175 | |
| R2 | 0.6999 | 0.9216 | |
| Freundlich isotherm | KF (mg/g)(L/mg)1/n | 3.142 | 1.846 |
| n | 1.395 | 1.412 | |
| R2 | 0.9729 | 0.9476 | |
| Temkin isotherm | AT (L/g) | 0.9175 | 0.8942 |
| bT (mg/g) | 168.8 | 191.5 | |
| R2 | 0.8717 | 0.9990 |
| Kinetic Models | Parameters | MHS | RHS | ||||
|---|---|---|---|---|---|---|---|
| 25 °C | 40 °C | 50 °C | 25 °C | 40 °C | 50 °C | ||
| PFO | k1 (g/mg min) | 0.022 | 0.010 | 0.013 | 0.017 | 0.022 | 0.022 |
| qe (mg/g) | 26.424 | 3.470 | 5.291 | 16.924 | 14.962 | 11.598 | |
| R2 | 0.9213 | 0.2392 | 0.5326 | 0.9713 | 0.8887 | 0.8529 | |
| PSO | k2 (g/mg min) | 0.001 | 0.014 | 0.011 | 0.0019 | 0.0021 | 0.0035 |
| qe (mg/g) | 38.760 | 29.851 | 33.223 | 34.483 | 30.488 | 33.333 | |
| R2 | 0.9856 | 0.9987 | 0.9985 | 0.9966 | 0.9996 | 0.9999 | |
| Weber and Morris intraparticle diffusion model | kid1 (mg/g min1/2) | 2.4029 | 5.8078 | 5.5112 | 2.2962 | 2.7347 | 2.5837 |
| C1 (mg/g) | 8.6178 | 2.6716 | 7.7553 | 9.2084 | 3.7717 | 10.27 | |
| R2 | 0.9656 | 0.9806 | 00.9612 | 0.9863 | 0.9283 | 0.8776 | |
| kid2 (mg/g min1/2) | 0.2554 | 0.0957 | 0.0438 | 0.4446 | 0.3813 | 0.3216 | |
| C2 (mg/g) | 30.385 | 28.413 | 31.315 | 25.503 | 22.826 | 27.53 | |
| R2 | 0.9656 | 0.4293 | 0.1241 | 0.9995 | 0.9762 | 0.9553 | |
| Material | ΔGΘ (kJ/mol) | ΔHΘ (kJ/mol) | ΔSΘ (J/mol K) | R2 | ||
|---|---|---|---|---|---|---|
| 25 °C | 40 °C | 50 °C | ||||
| MHS | −17.32 | −19.87 | −22.25 | 40.68 | 194.30 | 0.981 |
| RHS | −16.77 | −18.32 | −19.57 | 16.27 | 110.78 | 0.988 |
| Material (Biowaste Adsorbent) | Analyte | Efficiency Removal (%) | Adsorption Capacity (mg/g) | Reference |
|---|---|---|---|---|
| Pumpkin peels | Methylene blue (MB) | 99.00 | 198.15 | [41] |
| Fava bean peels | Methylene blue (MB) | 90.00 | 140.00 | [42] |
| Dragon fruit peels | Methylene blue (MB) | 92.30 | 195.2 | [43] |
| Coconut husk | Rhodamine-B (Rh-B) | 99.00 | 1666.67 | [49] |
| Palm fibers | Methylene blue (MB) | 89.70 | 162.54 | [44] |
| Banana peel | Methylene blue (MB) | 99.80 | 232.5 | [45] |
| Coconut waste | Methylene blue (MB) | 94.60 | 138.88 | [46] |
| Black cumin seeds | Methylene blue (MB) | 95.74 | 16.85 | [47] |
| Raw hazelnut shells activated by NaOH | Methylene blue (MB) | 96.00 | 48.0 | [48] |
| Pistachio shells | Basic blue 41 | 65.39 | 41.77 | [50] |
| Hazelnut shells | Crystal violet (CV) | 93.00 | 181.82 | [51] |
| Raw hazelnut shells | Basic Red 18 (BR 18) | 78.39 | 62.11 | This study |
| Citric acid-modified hazelnut shells | Basic Red 18 (BR 18) | 84.72 | 80.65 | This study |
Disclaimer/Publisher’s Note: The statements, opinions and data contained in all publications are solely those of the individual author(s) and contributor(s) and not of MDPI and/or the editor(s). MDPI and/or the editor(s) disclaim responsibility for any injury to people or property resulting from any ideas, methods, instructions or products referred to in the content. |
© 2024 by the authors. Licensee MDPI, Basel, Switzerland. This article is an open access article distributed under the terms and conditions of the Creative Commons Attribution (CC BY) license (https://creativecommons.org/licenses/by/4.0/).
Share and Cite
Agilee, N.; Spasojević, T.; Delić, M.; Ogrizović, Đ.; Gria, I.R.; Prlainović, N.; Đolić, M. Hazelnut Shells as a Tenable Biosorbent for Basic Red 18 Azo Dye Removal. Separations 2024, 11, 343. https://doi.org/10.3390/separations11120343
Agilee N, Spasojević T, Delić M, Ogrizović Đ, Gria IR, Prlainović N, Đolić M. Hazelnut Shells as a Tenable Biosorbent for Basic Red 18 Azo Dye Removal. Separations. 2024; 11(12):343. https://doi.org/10.3390/separations11120343
Chicago/Turabian StyleAgilee, Naji, Tijana Spasojević, Milica Delić, Đorđe Ogrizović, Isabel R. Gria, Nevena Prlainović, and Maja Đolić. 2024. "Hazelnut Shells as a Tenable Biosorbent for Basic Red 18 Azo Dye Removal" Separations 11, no. 12: 343. https://doi.org/10.3390/separations11120343
APA StyleAgilee, N., Spasojević, T., Delić, M., Ogrizović, Đ., Gria, I. R., Prlainović, N., & Đolić, M. (2024). Hazelnut Shells as a Tenable Biosorbent for Basic Red 18 Azo Dye Removal. Separations, 11(12), 343. https://doi.org/10.3390/separations11120343

