An Exposition on the Kaniadakis κ-Deformed Decay Differential Equation
Abstract
1. Introduction
- Long-range interactions;
- Fractal or multifractal structure;
- Relativistic effects;
- Non-equilibrium steady states.
2. Preliminaries
- Associativity: ,
- Identity Element: ,
- Inverse Element: , and
- Commutativity: .
- Associativity: ,
- Identity Element: ,
- Inverse Element: , and
- Commutativity: .
3. Techniques
- Validation and verification: Validating and verifying solutions in the context of differential equations are important steps in the process of solving and understanding these equations and their solutions. These two steps ensure that the obtained solutions are accurate and consistent with the original differential equation and any initial or boundary conditions.
- Understanding: The -deformed statistics are not as well known as standard statistics or other deformed statistics (such as Tsallis statistics). This is an opportunity to investigate these statistics, in particular the deformed exponential and the deformed decay equation, from which a solution can be obtained within a familiar framework. By exploring a variety of methods for solving the same differential equation, valuable experience and insights that contribute to a deeper understanding of both the equation itself and its solutions can be acquired.
- Rigor: Solving a problem through various methods introduces rigor by subjecting the solution to different analytical approaches, verification steps, and perspectives. This multiplicity of approaches helps ensure the robustness and reliability of the solution. It allows for cross-validation and comparison.
- Computational efficiency and Applicability: This presents an opportunity to examine this deformed differential equation and corresponding solution and to determine which methods are better for handling the additional complexities introduced by the deformation aspects of both the equation and solutions.
3.1. Direct Substitution
3.2. Separation of Variables I
3.3. Separation of Variables II
3.4. Integrating Factor
3.5. WKBJ
4. Laplace and Lagrange–Charpit Techniques
4.1. Laplace Transform
4.2. Lagrange–Charpit Method
5. Iterative and Series Approaches
5.1. Picard’s Iterative Method
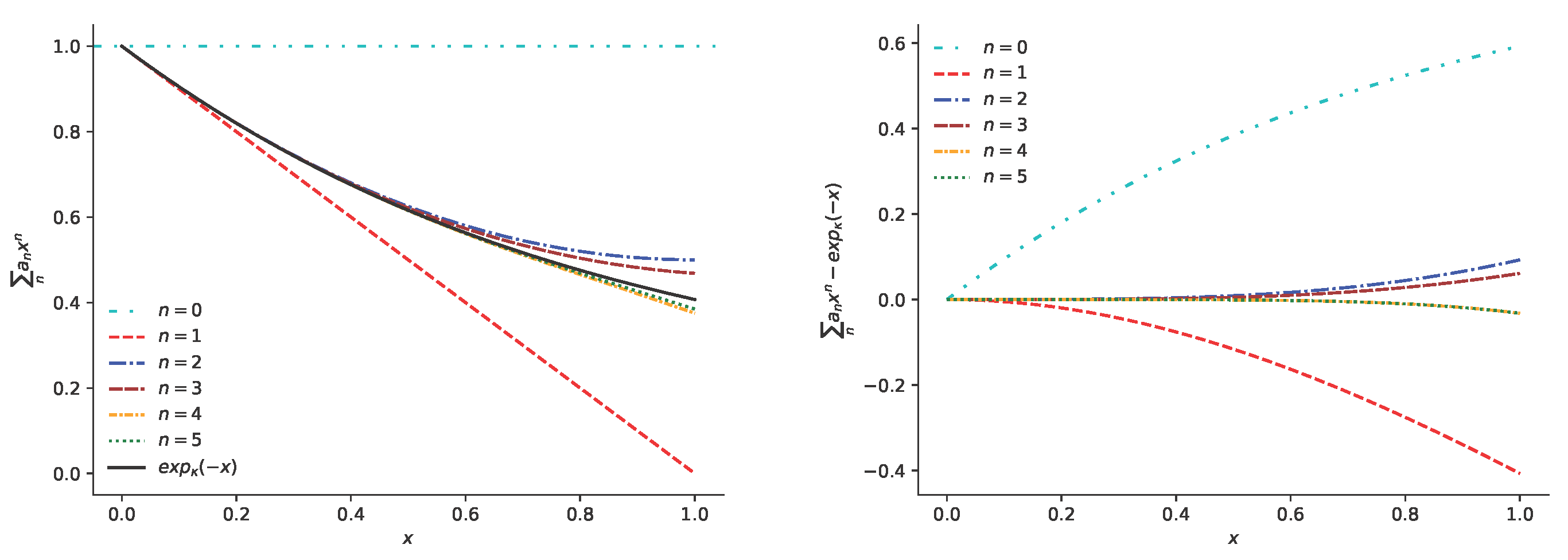
5.2. Power Series Method
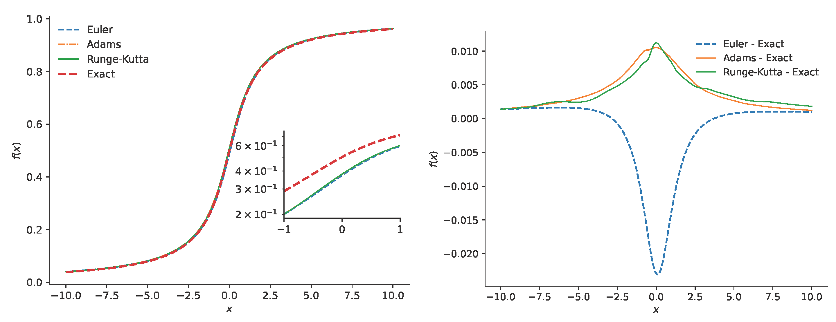
6. Numerical Methods
6.1. Euler’s Method
6.2. Adam’s Method
6.3. Runge–Kutta Method
7. Conclusions
- the -logistic differential equation would be an example of the next level of complexity,The solution to the standard logistics differential equation as well as the expected deformed solutions,where the solutions along with numerical errors have been plotted in Figure 6.
- analogous differential equations that are important in transport phenomena physics: differential equations such as,
- (a)
- The -advection equation,where u is the constant velocity associated with the advection,
- (b)
- -wave equation,where v is the speed of the wave,
- (c)
- (d)
- Fractional differential equations: these differential equations of non-integer order are used to more accurately model complex phenomena. They utilize fractional derivative operators such as the Caputo derivative. Preliminary work in this emerging field can be found in [34].
- Expansion of techniques: methods such as Laplace and Fourier transforms [35,36] have only begun to be investigated and there is still much work to do. In this work, the Laplace transform was performed using the -numbers. In the works cited, the authors investigated the -Laplace transform and the -Fourier transform.
Author Contributions
Funding
Data Availability Statement
Acknowledgments
Conflicts of Interest
References
- Kaniadakis, G. Non-linear kinetics underlying generalized statistics. Phys. A Stat. Mech. Appl. 2001, 296, 405–425. [Google Scholar] [CrossRef]
- Kaniadakis, G. Statistical mechanics in the context of special relativity. Phys. Rev. E 2002, 66, 056125. [Google Scholar] [CrossRef]
- Kaniadakis, G.; Scarfone, A.M. A new one-parameter deformation of the exponential function. Phys. A Stat. Mech. Appl. 2002, 305, 69–75. [Google Scholar] [CrossRef]
- Kaniadakis, G. Statistical mechanics in the context of special relativity. II. Phys. Rev. E 2005, 72, 036108. [Google Scholar] [CrossRef] [PubMed]
- Guha, P. Balanced gain-loss dynamics of particle in cyclotron with friction, κ-defomed logarithmic Lagrangians and fractional damped systems. Eur. Phys. Plus 2022, 137, 64. [Google Scholar] [CrossRef]
- Guha, P. The κ-deformed entropic Lagrangians, Hamiltonian dynamics and their applications. Eur. Phys. J. Plus 2022, 137, 932. [Google Scholar] [CrossRef]
- Luciano, G.G. Gravity and Cosmology in Kaniadakis Statistics: Current Status and Future Challenges. Entropy 2022, 24, 1712. [Google Scholar] [CrossRef]
- Abreu, E.M.; Neto, J.A.; Mendes, A.C.; Bonilla, A.; de Paula, R.M. Cosmological considerations in Kaniadakis statistics. Europhys. Lett. 2018, 124, 30003. [Google Scholar] [CrossRef]
- Lourek, I.; Tribeche, M. On the role of the κ-deformed Kaniadakis distribution in nonlinear plasma waves. Phys. A Stat. Mech. Appl. 2016, 441, 215–220. [Google Scholar] [CrossRef]
- Abreu, E.M.C.; Neto, J.A. Statistical approaches and the Bekenstein bound conjecture in Schwarzschild black holes. Phys. Lett. B 2022, 835, 137565. [Google Scholar] [CrossRef]
- Clementi, F. The Kaniadakis Distribution for the Analysis of Income and Wealth Data. Entropy 2023, 25, 1141. [Google Scholar] [CrossRef]
- Clementi, F.; Gallegati, M.; Kaniadakis, G. A New Model of Income Distribution: The κ-Generalized Distribution. J. Econ. 2012, 105, 63–91. [Google Scholar] [CrossRef]
- Kaniadakis, G.; Baldi, M.M.; Deisboeck, T.S.; Grisolia, G.; Hristopulos, D.T.; Scarfone, A.M.; Sparavigna, A.; Wada, T.; Lucia, U. The κ-statistics approach to epidemiology. Sci. Rep. 2020, 10, 19949. [Google Scholar] [CrossRef] [PubMed]
- Kaniadakis, G. Novel class of susceptible–infectious–recovered models involving power-law interactions. Phys. A Stat. Mech. Appl. 2024, 633, 129437. [Google Scholar] [CrossRef]
- Luciano, G.G. Kaniadakis entropy in extreme gravitational and cosmological environments: A review on the state-of-the-art and future prospects. Eur. Phys. J. B 2024, 97, 80. [Google Scholar] [CrossRef]
- Bushinskaya, A.; Timashev, S. Application of Kaniadakis κ-statistics to Load and Impact Distributions. In Proceedings of the 6th International Conference on Construction, Architecture and Technosphere Safety, Sochi, Russia, 10–16 September 2023; Springer: Cham, Switzerland, 2023. [Google Scholar]
- Tsallis, C. Possible generalization of Boltzmann–Gibbs statistics. J. Stat. Phys. 1988, 52, 479–487. [Google Scholar] [CrossRef]
- dos Santos, R.J.V. Generalization of Shannon’s theorem for Tsallis entropy. J. Math. Phys. 1997, 38, 4104–4107. [Google Scholar] [CrossRef]
- Lyra, M.L.; Tsallis, C. Nonextensivity and multifractality in low-dimensional dissipative systems. Phys. Rev. Lett. 1998, 80, 53–56. [Google Scholar] [CrossRef]
- Hobbie, R.K.; Roth, B.J. Exponential Growth and Decay. In Intermediate Physics for Medicine and Biology; Springer: New York, NY, USA, 2007. [Google Scholar]
- Krogstad, S. Generalized integrating factor methods for stiff PDEs. J. Comput. Phys. 2005, 203, 72–88. [Google Scholar] [CrossRef]
- Anco, S.C.; Bluman, G. Integrating factors and first integrals for ordinary differential equations. Eur. J. Appl. Math. 1998, 9, 245–259. [Google Scholar] [CrossRef]
- Melnikov, Y.A.; Borodin, V.N. Green’s Functions: Potential Fields on Surfaces; Springer: New York, NY, USA, 2017. [Google Scholar]
- Peters, J.M.H. Elementary but unusual methods of solving ordinary differential equations. Int. J. Math. Educ. Sci. Technol. 1982, 13, 295–297. [Google Scholar] [CrossRef]
- Keller, H.B.; Keller, J.B. Exponential-Like Solutions of Systems of Linear Ordinary Differential Equations. Rev. Soc. Ind. Appl. Math. 1962, 10, 246–259. [Google Scholar] [CrossRef]
- Delagado, M. The Lagrange–Charpit Method. Rev. Soc. Ind. Appl. Math. 1997, 39, 298–304. [Google Scholar]
- Tisdell, C.C. On Picard’s iteration method to solve differential equations and a pedagogical space for otherness. Int. J. Math. Educ. Sci. Technol. 2019, 50, 788–799. [Google Scholar] [CrossRef]
- Schelkunoff, S.A. Solution of linear and slightly nonlinear differential equations. Quart. Appl. Math. 1946, 3, 348–355. [Google Scholar] [CrossRef]
- Haarsa, P.; Pothat, S. The Frobenius Method on a Second-Order Homogeneous Linear ODEs. Adv. Stud. Theor. Phys. 2014, 3, 1145–1148. [Google Scholar] [CrossRef]
- da Silva, M.V.; Martinez, A.S.; Gonçalves, A.C. Effective medium temperature for calculating the Doppler broadening function using Kaniadakis distribution. Ann. Nucl. Energy 2021, 161, 108500. [Google Scholar] [CrossRef]
- Wada, T.; Scarfone, A.M. On the Kaniadakis Distributions Applied in Statistical Physics and Natural Sciences. Entropy 2023, 25, 292. [Google Scholar] [CrossRef]
- Gomez, I.S.; da Costa, B.G.; dos Santos, M.A.F. Inhomogeneous Fokker–Planck equation from framework of Kaniadakis statistics. Commun. Nonlinear Sci. Numer. Simul. 2023, 119, 107131. [Google Scholar] [CrossRef]
- Hirica, I.E.; Pripoae, C.L.; Pripoae, G.T.; Preda, V. Lie Symmetries of the Nonlinear Fokker-Planck Equation Based on Weighted Kaniadakis Entropy. Mathematics 2022, 10, 2776. [Google Scholar] [CrossRef]
- Perovano, A.P.; Silva, F.S. Fractional operators with Kaniadakis logarithm kernels. Intermaths 2022, 3, 37–49. [Google Scholar] [CrossRef]
- Scarfone, A.M. κ-deformed Fourier transform. Phys. A Stat. Mech. Appl. 2017, 480, 63–78. [Google Scholar] [CrossRef]
- Kaniadakis, G. Theoretical Foundations and Mathematical Formalism of the Power-Law Tailed Statistical Distributions. Entropy 2013, 15, 3983–4010. [Google Scholar] [CrossRef]






Disclaimer/Publisher’s Note: The statements, opinions and data contained in all publications are solely those of the individual author(s) and contributor(s) and not of MDPI and/or the editor(s). MDPI and/or the editor(s) disclaim responsibility for any injury to people or property resulting from any ideas, methods, instructions or products referred to in the content. |
© 2025 by the authors. Licensee MDPI, Basel, Switzerland. This article is an open access article distributed under the terms and conditions of the Creative Commons Attribution (CC BY) license (https://creativecommons.org/licenses/by/4.0/).
Share and Cite
Bolle, R.; Jarra, I.; Secrest, J.A. An Exposition on the Kaniadakis κ-Deformed Decay Differential Equation. Math. Comput. Appl. 2025, 30, 115. https://doi.org/10.3390/mca30050115
Bolle R, Jarra I, Secrest JA. An Exposition on the Kaniadakis κ-Deformed Decay Differential Equation. Mathematical and Computational Applications. 2025; 30(5):115. https://doi.org/10.3390/mca30050115
Chicago/Turabian StyleBolle, Rohan, Ibrahim Jarra, and Jeffery A. Secrest. 2025. "An Exposition on the Kaniadakis κ-Deformed Decay Differential Equation" Mathematical and Computational Applications 30, no. 5: 115. https://doi.org/10.3390/mca30050115
APA StyleBolle, R., Jarra, I., & Secrest, J. A. (2025). An Exposition on the Kaniadakis κ-Deformed Decay Differential Equation. Mathematical and Computational Applications, 30(5), 115. https://doi.org/10.3390/mca30050115

