Distributed PD Average Consensus of Lipschitz Nonlinear MASs in the Presence of Mixed Delays
Abstract
1. Introduction
2. Preliminaries and Problem Formulation
2.1. Preliminaries and Notations
2.2. Problem Formulation
3. Average Consensus Design Condition
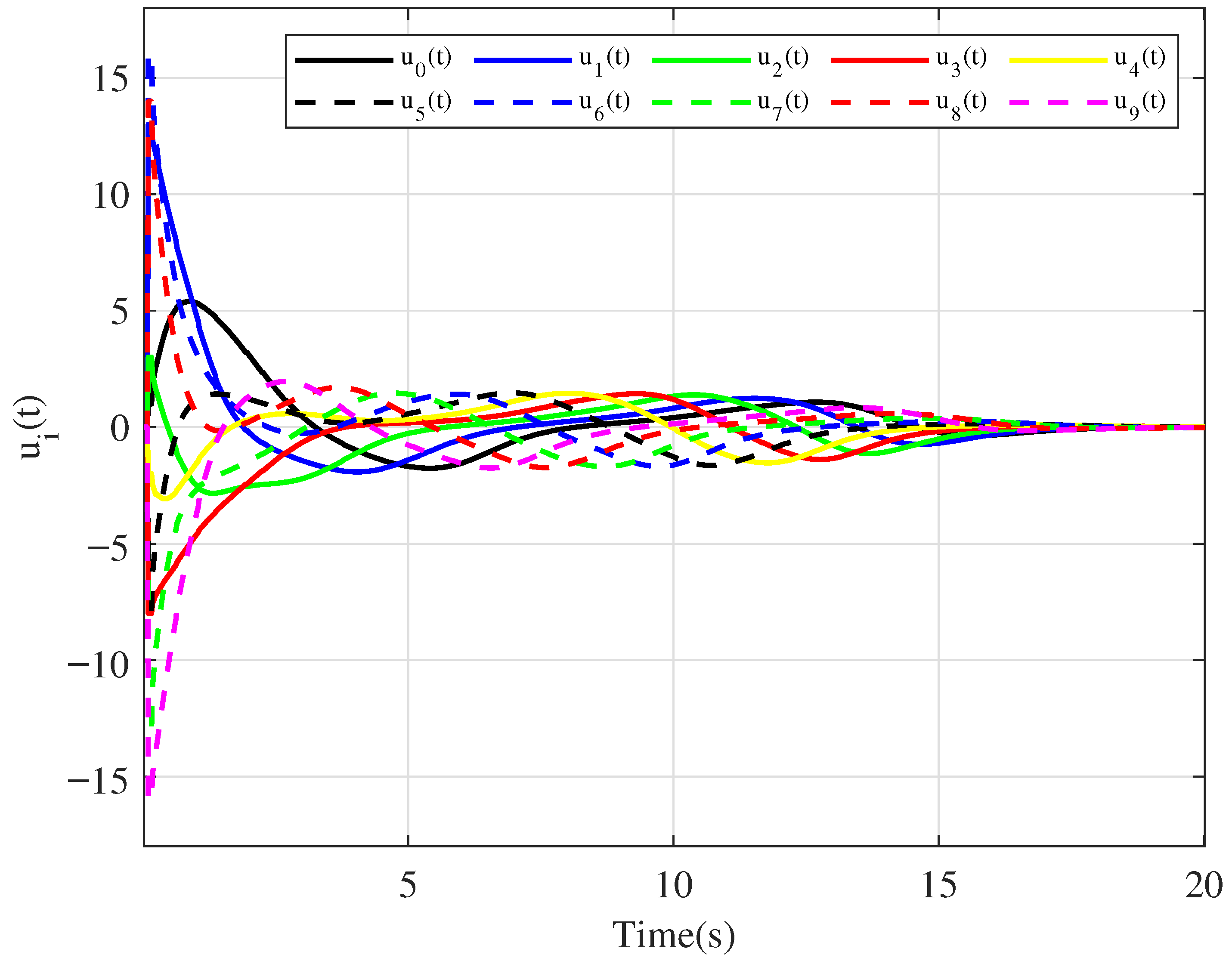
4. Numerical Simulation
5. Conclusions
Funding
Data Availability Statement
Conflicts of Interest
Abbreviations
| MASs | Multi-agent systems |
| CTDs | Constant time delays |
| PD | Proportional and derivative |
| TVDs | Time-varying delays |
| LMIs | Linear matrix inequalities |
| LKFs | Lyapunov–Krasovskii functionals |
References
- Liu, Y.; Wang, Y.; Li, Y.; Gooi, H.; Xin, H. Multi-agent based optimal scheduling and trading for multi-microgrids integrated with urban transportation networks. IEEE Trans. Power Syst. 2021, 36, 2197–2210. [Google Scholar] [CrossRef]
- Mahela, O.; Khosravy, M.; Gupta, N.; Khan, B.; Alhelou, H.; Mahla, R.; Patel, N.; Siano, P. Comprehensive overview of multi-agent systems for controlling smart grids. CSEE J. Power Energy Syst. 2020, 8, 115–131. [Google Scholar] [CrossRef]
- Zhou, L.; Deng, X.; Wang, Z.; Zhang, X.; Dong, Y.; Hu, X.; Ning, Z.; Wei, J. Semantic information extraction and multi-agent communication optimization based on generative pre-trained transformer. IEEE Trans. Cogn. Commun. Netw. 2025, 11, 725–737. [Google Scholar] [CrossRef]
- Hou, Y.; Zhao, J.; Zhang, R.; Cheng, X.; Yang, L. UAV swarm cooperative target search: A multi-agent reinforcement learning approach. IEEE Trans. Intell. Veh. 2024, 9, 568–578. [Google Scholar] [CrossRef]
- Shi, P.; Yu, J. Dissipativity-based consensus for fuzzy multiagent systems under switching directed topologies. IEEE Trans. Fuzzy Syst. 2021, 29, 1143–1151. [Google Scholar] [CrossRef]
- Zhou, T.; Liu, Q.; Wang, W. Nonfragile containment control of nonlinear multi-agent systems via a disturbance observer-based approach. Int. J. Robust Nonlinear Control 2024, 34, 3726–3741. [Google Scholar] [CrossRef]
- Zhou, T.; Liu, C.; Wang, W. Nonfragile robust H∞ containment control for multi-agent systems with a time-varying delay. J. Frankl. Inst. 2024, 361, 106732. [Google Scholar] [CrossRef]
- Du, Z.; Xie, X.; Qu, Z.; Hu, Y.; Stojanovic, V. Dynamic event-triggered consensus control for interval type-2 fuzzy multi-agent systems. IEEE Trans. Circuits Syst. I Regul. Pap. 2024, 71, 3857–3866. [Google Scholar] [CrossRef]
- Liao, Z.; Wang, S.; Shi, J.; Haesaert, S.; Zhang, Y.; Sun, Z. Resilient containment under time-varying networks with relaxed graph robustness. IEEE Trans. Netw. Sci. Eng. 2024, 11, 4093–4105. [Google Scholar] [CrossRef]
- Yuan, T.; Li, L. Observer-based consensus control for a class of nonlinear singular multi-agent systems. J. Frankl. Inst. 2024, 361, 107061. [Google Scholar] [CrossRef]
- Sun, Y.; Wang, L.; Xie, G. Average consensus in networks of dynamic agents with switching topologies and multiple time-varying delays. Syst. Control Lett. 2008, 57, 175–183. [Google Scholar] [CrossRef]
- Wen, G.; Yu, W.; Xia, Y.; Yu, X.; Hu, J. Distributed tracking of nonlinear multiagent systems under directed switching topology: An observer-based protocol. IEEE Trans. Syst. Man Cybern. Syst. 2017, 47, 869–881. [Google Scholar] [CrossRef]
- Chen, L.; Mei, J.; Li, C.; Ma, G. Distributed leader-follower affine formation maneuver control for high-order multiagent systems. IEEE Trans. Autom. Control 2020, 65, 4941–4948. [Google Scholar] [CrossRef]
- Cui, Y.; Xu, J.; Xing, W.; Huang, F.; Yan, Z.; Du, X. Anti-disturbance cooperative formation containment control for multiple autonomous underwater vehicles with collision-free and actuator saturation constraints. J. Frankl. Inst. 2024, 361, 107063. [Google Scholar] [CrossRef]
- Dey, S.; Xu, H. Distributed adaptive flocking control for large-scale multiagent systems. IEEE Trans. Neural Networks Learn. Syst. 2025, 36, 3126–3135. [Google Scholar] [CrossRef] [PubMed]
- Xiao, L.; Boyd, S.; Kim, S. Distributed average consensus with least-mean-square deviation. IEEE Trans. Fuzzy Syst. 2007, 67, 33–46. [Google Scholar] [CrossRef]
- Liu, J.; Yu, Y.; Xu, Y.; Zhang, Y.; Sun, C. Fixed-time average consensus of nonlinear delayed MASs under switching topologies: An event-based triggering approach. IEEE Trans. Syst. Man Cybern. Syst. 2022, 52, 2721–2733. [Google Scholar] [CrossRef]
- Guo, W.; Shi, L.; Sun, W.; Jahanshahi, H. Predefined-time average consensus control for heterogeneous nonlinear multi-agent systems. IEEE Trans. Circuits Syst. II Express Briefs 2023, 70, 2989–2993. [Google Scholar] [CrossRef]
- Liu, L.; Cao, J.; Alsaadi, F. Aperiodically intermittent event-triggered optimal average consensus for nonlinear multi-agent systems. IEEE Trans. Neural Networks Learn. Syst. 2024, 35, 10338–10352. [Google Scholar] [CrossRef]
- Hui, M.; Liu, X.; Cao, J. Improved fixed-time event-triggered average consensus of multi-agent systems under DoS attacks. IEEE Trans. Circuits Syst. II Express Briefs 2024, 71, 3815–3819. [Google Scholar] [CrossRef]
- Martinez, G.; Orchard, M.; Bozhko, S. Dynamic average consensus with anti-windup applied to interlinking converters in AC/DC microgrids under economic dispatch and delays. IEEE Trans. Smart Grid 2023, 14, 4137–4140. [Google Scholar] [CrossRef]
- Sun, F.; Guan, Z.; Ding, L.; Wang, Y. Mean square average-consensus for multi-agent systems with measurement noise and time delay. Int. J. Syst. Sci. 2013, 44, 995–1005. [Google Scholar] [CrossRef]
- Liu, C.; Shan, L.; Chen, Y.; Zhang, Y. Average-consensus filter of first-order multi-agent systems with disturbances. IEEE Trans. Circuits Syst. II Express Briefs 2018, 65, 1763–1767. [Google Scholar] [CrossRef]
- Aragues, R.; González, A.; López-Nicolás, G.; Sagues, C. Convergence speed of dynamic consensus with delay compensation. Neurocomputing 2024, 570, 127130. [Google Scholar] [CrossRef]
- Chen, C.; Wen, G.; Liu, Y.; Wang, F. Adaptive consensus control for a class of nonlinear multiagent time-delay systems using neural networks. IEEE Trans. Neural Networks Learn. Syst. 2014, 25, 1217–1226. [Google Scholar] [CrossRef]
- Ma, H.; Wang, Z.; Wang, D.; Liu, D.; Yan, P.; Wei, Q. Neural-network-based distributed adaptive robust control for a class of nonlinear multiagent systems with time delays and external noises. IEEE Trans. Syst. Man Cybern. Syst. 2016, 46, 750–758. [Google Scholar] [CrossRef]
- Wen, G.; Chen, C.; Liu, Y.; Liu, Z. Neural network-based adaptive leader-following consensus control for a class of nonlinear multiagent state-delay systems. IEEE Trans. Cybern. 2017, 47, 2151–2160. [Google Scholar] [CrossRef] [PubMed]
- Wang, D.; Zhang, N.; Wang, J.; Wang, W. A PD-like protocol with a time delay to average consensus control for multi-agent systems under an arbitrarily fast switching topology. IEEE Trans. Cybern. 2017, 47, 898–907. [Google Scholar] [CrossRef]
- Qian, W.; Gao, Y.; Wang, L.; Fei, S. Consensus of multiagent systems with nonlinear dynamics and time-varying communication delays. Int. J. Robust Nonlinear Control 2019, 29, 1926–1940. [Google Scholar] [CrossRef]
- Ma, D.; Chen, J.; Lu, R.; Chen, J.; Chai, T. Delay consensus margin of first-order multiagent systems with undirected graphs and PD protocols. IEEE Trans. Autom. Control 2021, 66, 4192–4198. [Google Scholar] [CrossRef]
- Ma, D. Delay range for consensus achievable by proportional and PD feedback protocols with time-varying delays. IEEE Trans. Autom. Control 2022, 67, 3212–3219. [Google Scholar] [CrossRef]
- Caiazzo, B.; Lui, D.; Petrillo, A.; Santini, S. Signed average consensus in cooperative-antagonistic multi-agent systems with multiple communication time-varying delays. IFAC 2024, 58, 114–119. [Google Scholar] [CrossRef]
- Tang, Z.; Wang, K.; Feng, J.; Park, J. Edge-based self-triggering impulsive consensus on nonlinear multi-agent systems with proportional delay. IEEE Trans. Autom. Sci. Eng. 2024, 21, 7494–7504. [Google Scholar] [CrossRef]
- Peng, X.; He, Y. Consensus of multiagent systems with time-varying delays and switching topologies based on delay-product-type functionals. IEEE Trans. Cybern. 2024, 54, 101–110. [Google Scholar] [CrossRef] [PubMed]
- Zhou, T. H∞ containment control of multi-agent systems with mixed time-varying delays and exogenous disturbances via observer-based output feedback. Asian J. Control 2025, 1–11. [Google Scholar] [CrossRef]
- Peng, X.; He, Y.; Liu, Z.; You, L.; Li, H. Time-varying formation H∞ tracking control and optimization for delayed multi-agent systems with exogenous disturbances. IEEE Trans. Autom. Sci. Eng. 2025, 22, 5637–5647. [Google Scholar] [CrossRef]
- Liu, Y.; Zhang, C.; Shangguan, X.; Chen, J.; He, Y. H∞-based tracking control for nonlinear systems with a sampled-data PI-type controller: A nonuniform sampled-time-dependent functional. IEEE Trans. Cybern. 2025, 55, 4286–4299. [Google Scholar] [CrossRef]
- Yang, Y.; He, Y. Time-varying formation-containment control for heterogeneous multi-agent systems with communication and output delays via observer-based feedback protocol. IEEE Trans. Autom. Sci. Eng. 2025, 22, 15435–15448. [Google Scholar] [CrossRef]
- Zhai, Z.; Yan, H.; Chen, S.; Chang, Y.; Shi, K. Nonlinear multi-agent systems consensus via delayed non-fragile sampled-data control. IEEE Trans. Control Netw. Syst. 2025, 12, 275–286. [Google Scholar] [CrossRef]
- Zhang, W.; Chen, J.; Wen, S.; Huang, T. Event-triggered random delayed impulsive consensus of multi-agent systems with time-varying delay. IEEE Trans. Emerg. Top. Comput. Intell. 2025, 9, 2059–2064. [Google Scholar] [CrossRef]
- Tang, Z.; Zhen, Z.; Zhao, Z.; Deconinck, G. Observer-based resilient PD-like scaled group consensus for uncertain multiagent systems under time-varying delays. Commun. Nonlinear Sci. Numer. Simul. 2025, 148, 108846. [Google Scholar] [CrossRef]
- Aghayan, Z.; Alfi, A.; Mousavi, Y.; Fekih, A. Robust delay-dependent output-feedback PD controller design for variable fractional-order uncertain neutral systems with time-varying delays. IEEE Trans. Syst. Man Cybern. Syst. 2025, 55, 1986–1996. [Google Scholar] [CrossRef]
- Mesbahi, M.; Egerstedt, M. Graph Theoretic Methods in Multiagent Networks; Princeton University Press: Princeton, NY, USA, 2010. [Google Scholar]
- Bliman, P.; Ferrari-Trecate, G. Average consensus problems in networks of agents with delayed communications. Automatica 2008, 44, 1985–1995. [Google Scholar] [CrossRef]
- Lin, P.; Jia, Y.; Li, L. Distributed robust H∞ consensus control in directed networks of agents with time-delay. Syst. Control Lett. 2008, 57, 643–653. [Google Scholar] [CrossRef]
- Sun, J.; Liu, G.; Chen, J. Delay-dependent stability and stabilization of neutral time-delay systems. Int. J. Robust Nonlinear Control 2009, 19, 1364–1375. [Google Scholar] [CrossRef]
- Wang, D.; Zhou, J.; Wen, G.; Lü, J.; Chen, G. Event-triggered optimal consensus of second-order MASs with disturbances and cyber attacks on communications edges. IEEE Trans. Netw. Sci. Eng. 2023, 10, 3846–3857. [Google Scholar] [CrossRef]
- Hu, T.; Song, Q.; Zhang, X.; Shi, K. Hybrid event-triggered and impulsive security consensus control strategy for fractional-order multiagent systems with cyber attacks. IEEE Trans. Syst. Man Cybern. Syst. 2025, 55, 830–842. [Google Scholar] [CrossRef]
- Zhang, T.; Ye, D.; Shi, Y. Decentralized false-data injection attacks against state omniscience: Existence and security analysis. IEEE Trans. Autom. Control 2023, 68, 4634–4649. [Google Scholar] [CrossRef]
- Zhang, T.; Ye, D.; Yang, G. Ripple effect of cooperative attacks in multi-agent systems: Results on minimum attack targets. Automatica 2024, 159, 111307. [Google Scholar] [CrossRef]






Disclaimer/Publisher’s Note: The statements, opinions and data contained in all publications are solely those of the individual author(s) and contributor(s) and not of MDPI and/or the editor(s). MDPI and/or the editor(s) disclaim responsibility for any injury to people or property resulting from any ideas, methods, instructions or products referred to in the content. |
© 2025 by the author. Licensee MDPI, Basel, Switzerland. This article is an open access article distributed under the terms and conditions of the Creative Commons Attribution (CC BY) license (https://creativecommons.org/licenses/by/4.0/).
Share and Cite
Zhou, T. Distributed PD Average Consensus of Lipschitz Nonlinear MASs in the Presence of Mixed Delays. Math. Comput. Appl. 2025, 30, 99. https://doi.org/10.3390/mca30050099
Zhou T. Distributed PD Average Consensus of Lipschitz Nonlinear MASs in the Presence of Mixed Delays. Mathematical and Computational Applications. 2025; 30(5):99. https://doi.org/10.3390/mca30050099
Chicago/Turabian StyleZhou, Tuo. 2025. "Distributed PD Average Consensus of Lipschitz Nonlinear MASs in the Presence of Mixed Delays" Mathematical and Computational Applications 30, no. 5: 99. https://doi.org/10.3390/mca30050099
APA StyleZhou, T. (2025). Distributed PD Average Consensus of Lipschitz Nonlinear MASs in the Presence of Mixed Delays. Mathematical and Computational Applications, 30(5), 99. https://doi.org/10.3390/mca30050099

