Abstract
We study the propagation characteristics (spectral intensity and degree of coherence) of a new type of Lorentz non-uniformly correlated (LNUC) beam based on the extended Huygens–Fresnel principle and the spatial power spectrum of oceanic turbulence. The effects of the oceanic turbulence parameters and initial beam parameters on the evolution propagation characteristics of LNUC beams are studied in detail by numerical simulation. The results indicate that such beams exhibit self-focusing propagation features in both free space and oceanic turbulence. Decreasing the dissipation rate of kinetic energy per unit mass of fluid and the Kolmogorov inner scale, or increasing the relative strength of temperature to salinity undulations and the dissipation rate of mean-square temperature of the turbulent ocean tends to increase the negative effects on the beams. Furthermore, we propose a strategy of increasing the beam width and decreasing the coherence length, to reduce the negative effects of the turbulence.
1. Introduction
Since the invention of the laser in 1960, due to its coherence, brightness, monochromaticity and directivity, it has been widely used in industrial processing, medicine, optical communication systems and other fields, contributing to the progress of human society and economic development [1,2]. Free-space optical communication is an important application of laser; it uses the propagation of light beams to wirelessly transmit data for the receiver. This technique is useful in situations where physical connectivity is not possible. Research on the propagation of light beams in random media has attracted much attention in recent decades [3,4,5]. However, researchers prefer to study the interaction of light beams with the turbulent atmosphere, as well as the propagation characteristics of light beams in the turbulent atmosphere, but there seems to be a tendency to forget that turbulent ocean, which covers 71 percent of the Earth’s total area, is another important random media. This may be because the power spectra of refractive index fluctuations of the atmosphere and ocean have similar structures [3,5]. We know temperature, humidity, salinity fluctuations and the irregular motion of water are the main drivers of oceanic turbulence. Apart from absorption and scattering, the main disturbance of light beams in the ocean is random vibrations in refraction [5,6]. Relative to turbulent atmosphere, the situation of light beams propagating in turbulent ocean is more complex. Therefore, with the development of underwater technologies, it is necessary and meaningful to study the influence of oceanic turbulence on light beam propagation characteristics and how to reduce the negative effects of oceanic turbulence on light beams.
It is known that light beams with low spatial coherence, known as partially coherent beams (PCBs), display better propagation performance than comparable coherent light beams [7], such as better resistance to turbulence [4,8], which has been physically explained from the perspective of the coherent mode representation [9,10]. With the development of the unified theory of coherence and polarization and the control of optical coherent structures [11], more and more light beams with novel physical features caused by different correlation structures have been customized [7,12]. PCBs with prescribed correlation structures not only exhibit novel propagation features, but also have better resistance to turbulence. Heretofore, researchers have investigated the propagation characteristics of some PCBs with prescribed correlation structures in oceanic turbulence, such as multi-sinc Schell-model beams [13], partially coherent radially and azimuthally polarized rotating elliptical Gaussian beams [14], radially polarized multi-Gaussian Schell-models [15], etc. These works all confirm the excellent turbulence resistance capability of PCBs with prescribed correlation structures in oceanic turbulence. However, the studied target beams are confined to the Schell-model correlated type, i.e., uniformly correlated beams. One distinct and broad class of beams with a spatially variant correlation function, referring to non-uniformly correlated beams, exhibit special self-focusing properties and possess not only lower scintillation but also higher intensity than Gaussian–Schell model beams over certain propagation ranges. This type of beam shows potential for free-space optical communication applications [16,17,18,19,20]. Ding et al. introduced a partially coherent source with circular coherence and showed the propagation behavior of this beam in turbulent ocean [21]. They only discussed the influence of the oceanic turbulence parameters on the propagation characteristics, and did not give a strategy to reduce the negative effects of oceanic turbulence.
In this paper, we introduce a new class of non-uniform correlated beams, termed Lorentz non-uniformly correlated (LNUC) beam, and investigate its propagation characteristics in oceanic turbulence, and discuss the effects of oceanic turbulence parameters on the evolution of spectral intensity and degree of coherence (DOC). We also give a strategy on how to adjust the initial parameters, beam width and coherence length of the beam to reduce the negative effects of oceanic turbulence.
2. Theoretical Model of a LNUC Beam
We consider a scalar, monochromatic, beam-like field generated by a statistical stationary source propagating along the z-axis. In the source plane (z = 0), the second-order statistics of such source is characterized by the two-point cross-spectral density (CSD) in the space-frequency domain,
where r = (x, y) represents the spatial position in the source plane, E(r) is a component of the electric-field vector, the asterisk represents the complex conjugate, and the angular brackets represent the ensemble mean. For brevity, we will work with a single frequency and suppress its explicit description in the arguments of the electric filed and the CSD.
To be physically implemented, the CSD must be Hermitian and correspond to a non-negative definite kernel. The condition of non-negative definiteness will be satisfied if it may be given as a one-dimensional superposition integral as [22]
here v is a one-dimensional position in Fourier space, p(v) is a weight function with a Fourier transform, and H(r, v) is an arbitrary kernel function. To generate partially coherent sources with non-uniform correlation structures, we consider a kernel of the form
where with w0 as the beam width and k = 2π/λ as the wave number with λ being the wavelength. Then, we set a new weight function p(v) to satisfy the following specific distribution
Substituting Equations (3) and (4) into Equation (2), we obtain
where μ(r1, r2) represents the spectral DOC of the proposed partially coherent source, given by a Lorentz form
where δ denotes the spatial coherence length. Equation (6) shows that the spectral DOC is not only related to the separation, but also to the specific positions of two points, that is, not a homogeneous function, it is non-uniformly correlated and it takes the form of a Lorentz function. Therefore, this new type of partially coherent source, whose CSD is given by Equations (5) and (6), is referred to as a LNUC source.
The density plot of the absolute value of the spectral DOC of a LNUC source is shown in Figure 1. The beam parameters are set to w0 = 1 cm and δ = 1 cm. It is found that the distribution of the spectral DOC displays circlar symmetry in the x1 − y1 plane and rectangular symmetry in the x1 − x2 plane. In the x1 − x2 plane, the high-coherence region of the LNUC beam is confined to the center and two diagonal lines of the beam in the source plane, which confirms that the correlation structure of such a source is of non-uniform type. We therefore obtain a new type of non-uniformly correlated source with a prescribed correlation function.
Figure 1.
Density plot of the absolute value of the spectral DOC of a LNUC beam (a) in the x1 − x2 plane with y1 = y2 = 0, (b) in the x1 − y1 plane with x2 = y2 = 0.
3. CSD of a LNUC Beam Propagating in Oceanic Turbulence
When a PCB propagates in a turbulence medium from the source plane along the positive half plane z > 0, under the paraxial approximation, its CSD at an arbitrary cross-section perpendicular to the z-axis can be described by the extended Huygens–Fresnel principle [3]
where ρ1 = (ρ1x, ρ1y) and ρ2 = (ρ2x, ρ2y) represent two spatial positions in the target plane, z is the propagation distance, and Ψ(r, ρ) is the complex perturbation phase caused by the refractive index fluctuation of the random transmission medium between the source and target planes. The last term in the above equation, the ensemble average, can be expressed as the following formula [3]
where with Φn(κ) is the power spectrum of refractive-fluctuations of the oceanic turbulence, it is defined as [5,23]
where C0 = 0.388 × 10−8, ε is the dissipation rate of kinetic energy per unit mass of fluid, ranging from 10−1 m2/s3 to 10−10 m2/s3, is the dissipation rate of mean-square temperature, and it varies from 10−4 K2/s to 10−10 K2/s, η is the Kolmogorov inner scale. is a non-dimensional parameter indicating the relative strength of temperature to salinity undulations, −5 and 0 mean turbulences are dominantly induced by temperature and by salinity, respectively. The quantities are , , and [23]. Thus, T can be expressed in the following form
We can now calculate the CSD of LNUC beams in the target plane using the above equations. For the convenience of operation, we substitute Equations (2) and (3) into Equation (7), and after exchanging the integration order, we obtain the formula
where P(ρ1, ρ2, v, z) can be obtained after integrating over r1 and r2,
where
Therefore, we can obtain the CSD of LNUC beams in the target plane by Equations (4), (11) and (12), and we can analyze the spectral intensity of such beams by using the diagonal elements of the CSD, i.e.,
and the spectral DOC of such beams using the normalized CSD, i.e.,
4. Numerical Calculation and Analysis of Propagation Characteristics of LNUC Beams
In this section, we study the propagation features of LNUC beams propagating in free space and in oceanic turbulence by using the above derived formulas. In the following examples, the initial beam parameters and turbulence parameters are set as λ = 632.8 nm, w0 = 1 cm, δ = 1 cm, ε = 10−3 m2/s3, = 10−8 K2/s, η = 1 mm, and ω = −3.0. If the parameter is used as a variable, it will be marked in the figures.
4.1. In Free Space
The propagation characteristics of LNUC beams in free space can be obtained by using Equations (11)–(15) with the setting T = 0. The intensity evolution of the LNUC beams in free space is shown in Figure 2. Figure 2a presents normalized density plots of transverse intensities at different propagation distances, and Figure 2b illustrates normalized spectral density distribution of the LNUC beam at ρx − z plane. We clearly observe that, as the propagation distance increases, the beam spot size undergoes a decreasing process and the on-axis intensity undergoes an increasing process, implying that such beam exhibits self-focusing propagation characteristics during propagation. Figure 2c shows how the on-axis intensity depends on both propagation distance and coherence length in free-space. One confirms that the on-axis intensity of LNUC beams increases to a maximum over short distances and then gradually decreases. Furthermore, the peak value increases with decreasing coherence length, which means that the self-focusing property of the low-coherence LNUC beams is more dramatic.
Figure 2.
Evolution of the normalized spectral intensity on propagation in free space, (a) in ρx − ρy cross-section; (b) at ρx − z cross-section; (c) on-axis.
For clarity and without loss of generality, we choose two spatial positions on the x-axis, i.e., ρ1y = ρ2y = 0, to discuss the evolution of the spectral DOC of such a beam on propagation in free space. Figure 3 shows the evolution of the absolute value of the spectral DOC of a LNUC beam. From this, we can draw the following conclusions: firstly, the high-coherence area is confined to center and diagonal lines of the beam; secondly, the high-coherence area increases with the propagation distance; thirdly, the spectral DOC distribution is symmetrical in the horizontal, vertical and diagonal directions.
Figure 3.
Evolution of the normalized spectral DOC on propagation in free space.
4.2. In Turbulent Ocean
Figure 4 illustrates the evolving behavior of the spectral intensity and DOC of a LNUC beam in oceanic turbulence, and we find that such a beam still displays a self-focusing feature in oceanic turbulence. We find from Figure 4b that as the propagation distance increases, the coverage of the high-coherence area gradually decreases along the diagonal lines (around ρ1x = −ρ2x). With further increases in propagation distance, the distribution of the spectral DOC becomes spatially quasi-homogeneous, almost constant along the diagonal lines (ρ2x − ρ1x = constant), which means that such beam is negatively affected by the oceanic turbulence. Comparing with Figure 2, Figure 3 and Figure 4 one confirms that with the increase in propagation distance, the influence of oceanic turbulence gradually accumulates and plays a dominant role, and the LNUC beam is negatively affected, which is realized as the spectral intensity evolution is greatly broadened, and the spectral DOC gradually degenerates into spatial quasi-homogeneous.
Figure 4.
Evolution of the (a) normalized spectral intensity and (b) spectral DOC on propagation in oceanic turbulence.
Next, we will discuss the effect of turbulence parameters on the spectral intensity and the DOC of the proposed beams, and discuss the role of the initial beam parameters in resisting the negative effects of turbulence.
4.2.1. Turbulence Parameters
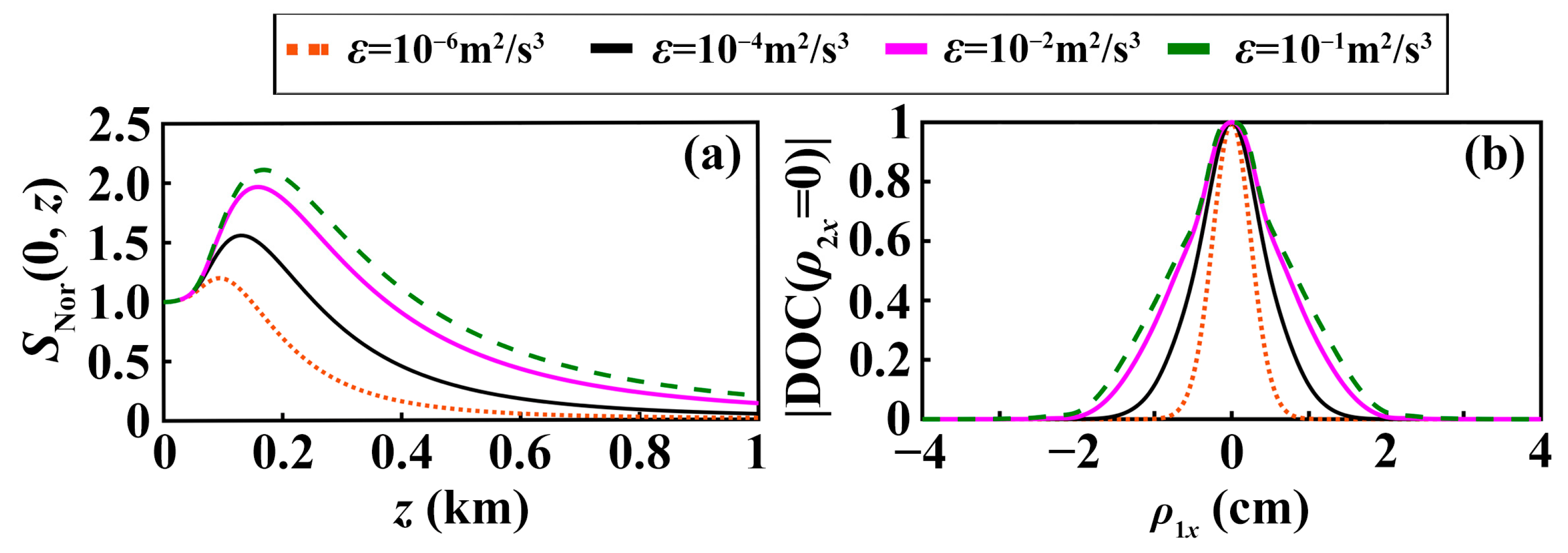
We first focus on the effect of the dissipation rate of kinetic energy per unit mass of fluid. The effects of different values of this turbulence parameter on the spectral intensity and DOC degradation at a propagation distance z = 150 m in oceanic turbulence are compared in Figure 5.
Figure 5.
Density plot of (a) the normalized spectral intensity and (b) the absolute value of the spectral DOC of a LNUC beam in oceanic turbulence with different values of the dissipation rate of kinetic energy per unit mass of fluid at propagation distance z = 150 m.
We find that with a small rate of dissipation of kinetic energy per unit mass of fluid, the size of the beam spot increases significantly and the distribution of spectral DOC degenerates more quickly to spatially quasi-homogeneous. It can convince the readers that oceanic turbulence with a small rate of dissipation of kinetic energy per unit mass of fluid has a large effect on the evolution of the spectral intensity and DOC of the proposed beams. To demonstrate this conclusion more favorably, we plot the normalized spectral intensity on-axis on propagation in oceanic turbulence and the cross-line (ρ2x = 0) of the absolute value of the spectral DOC at z = 150 m for different rates of dissipation of kinetic energy per unit mass of fluid in Figure 6.
Figure 6.
(a) Normalized on-axis intensity of LNUC beams propagating in oceanic turbulence and (b) the cross-line (ρ2x = 0) of the absolute value of the spectral DOC at z = 150 m for different rates of dissipation of kinetic energy per unit mass of fluid.
We confirm from Figure 6a that the LNUC beam also displays a self-focusing propagation property in oceanic turbulence. The peak value of the spectral intensity decreases with the decrease in the rate of dissipation of kinetic energy per unit mass of fluid, which means a weaker self-focusing property of the LNUC beam in the oceanic turbulence with a low rate of dissipation of kinetic energy per unit mass of fluid. Figure 6b illustrates the same conclusion from the perspective of the degradation of the absolute value of the spectral DOC. It degrades more rapidly to a Gaussian distribution as the rate of dissipation of kinetic energy per unit mass of fluid decreases. Therefore, we can say the oceanic turbulence with low rate of dissipation of kinetic energy per unit mass of fluid has a large negative influence on the evolution of the spectral intensity and DOC of LNUC beams.
We next discuss the effect of the other three turbulence parameters, the Kolmogorov inner scale, the relative strength of temperature to salinity undulations and the dissipation rate of the mean-square temperature of oceanic turbulence on the evolution of the spectral intensity and DOC. For brevity, we only plot the normalized on-axis intensity of LNUC beams on propagation and the cross-line (ρ2x = 0) of the absolute value of the DOC at z = 150 m for different values of these three oceanic turbulence parameters in Figure 7. We confirm that the oceanic turbulence with small Kolmogorov inner scale, or the large relative strength of temperature to salinity undulations and large dissipation rate of mean-square temperature, has a large negative influence on propagation characteristics of the proposed beams.
Figure 7.
Normalized on-axis intensity of the LNUC beam propagating in oceanic turbulence and the cross-line (ρ2x = 0) of the absolute value of the spectral DOC at z = 150 m for different oceanic turbulence parameters: (a) the Kolmogorov inner scale; (b) the relative strength of temperature to salinity undulations; (c) the dissipation rate of mean-square temperature.
4.2.2. Beam Parameters
Based on the above analysis, we understand the effect of different turbulence parameters on the spectral intensity and DOC of LNUC beams propagation in oceanic turbulence. In practice, it is difficult for us to change the parameters of oceanic turbulence. Therefore, it is necessary to explore how to maintain the excellent propagation characteristics of the proposed beams in oceanic turbulence, i.e., how to improve the oceanic turbulence resistance by adjusting its initial beam parameters.
Figure 8 illustrates how the normalized on-axis intensity depends on the beam width and coherence length during propagating in oceanic turbulence. One confirms from Figure 8a that as the beam width increases, the peak value of the intensity becomes larger, which means that the self-focusing propagation feature of the beam with a large beam width is more dramatic. We also plot the normalized on-axis intensity of LNUC beams in oceanic turbulence for different coherence lengths. We find that LNUC beams with low coherence exhibit more pronounced self-focusing propagation characteristics. Therefore, adjusting both the beam width and the coherence length of LNUC beams can be used to improve the oceanic turbulence resistance.
Figure 8.
Normalized on-axis intensity of LNUC beams propagating in oceanic turbulence for different (a) beam widths and (b) coherence lengths.
Figure 9 shows the distribution of the absolute value of the spectral DOC of LNUC beams at propagation distance z = 150 m for different beam widths and coherence lengths. From Figure 9a, we confirm that the spectral DOC of the LNUC beam with large beam width has small bumps (side lobes) on both sides of the main peak at z = 150 m. As the beam width decreases, the small bumps (side lobes) gradually disappear and the spectral DOC finally degenerates into a Gaussian distribution. Furthermore, the distribution of the spectral DOC is closely related to the coherence length. We find the conversion from the Gaussian to non-Gaussian distribution as the coherence length decreases, which implies that LNUC beams with low coherence are less affected by the oceanic turbulence from the perspective of the spectral DOC. Therefore, we conclude that LNUC beams with large beam width and low coherence are less affected by oceanic turbulence.
Figure 9.
The cross-line (ρ2x = 0) of the absolute value of the spectral DOC of LNUC beams at z = 150 m for different (a) beam widths and (b) coherence lengths.
5. Discussion
With regard to the numerical results we present, it is worth discussing and explaining the physical nature that leads to LNUC beams having their novel propagation features. From Equation (2), one finds that a partially coherent source can be regarded as an integral/superposition over the beam coherence mode according to a prescribed weight. Equation (3) shows that each mode being superimposed has a quadratic phase factor, which causes them to converge individually, and the focal distance is determined by the expression z = 1/2v. At different propagation distances, then, different modes will dominate. Therefore, designing a prescribed weight p(v) (see Equation (4)) and constructing a new type of non-uniform correlated beam by it is the key. By superimposing different modes with the prescribed weights, it is possible to tailor beams with extraordinary propagation properties along the z-direction.
Next, let us explain the physics of how adjusting the coherence length can improve the resistance of turbulence of such beams. We know, the partially coherent source synthetical by the superposition of more coherent modes has better resistance to turbulence [9,10]. From Equation (4), we confirm that the coherence length δ determines the effective value range of v, i.e., the waist of the weight function. By decreasing the coherence of the beam, the width of the weight function can be increased, thereby increasing the number of the modes. Therefore, LNUC beams with low coherence will be less affected by the oceanic turbulence.
6. Conclusions
We have introduced a new type of non-uniformly correlated beams that named LNUC beams, and have studied the propagation of such beams in free space and oceanic turbulence. An analytical expression for the CSD of LNUC beams in oceanic turbulence is derived, and the evolutions of the spectral intensity and DOC of such beams are numerically illustrated. LNUC beams exhibit self-focusing propagation features in both free space and oceanic turbulence. We have found that such beams with large beam width and low coherence exhibit more dramatic self-focusing features in oceanic turbulence. Furthermore, adjusting the initial beam width and coherence length can mitigate negative effects from oceanic turbulence. We also investigate the effect of oceanic turbulence parameters, the dissipation rate of kinetic energy per unit mass of fluid, the dissipation rate of mean-square temperature, the Kolmogorov inner scale and the relative strength of temperature to salinity undulations on the evolution of intensity and DOC of such beams. The class of LNUC beams proposed here display novel self-focusing properties on propagation in free space and oceanic turbulence, and such beams show potential for applications such as free-space optical communications and laser radar.
Author Contributions
Writing—original draft preparation, D.W. and K.W.; writing—review and editing, J.Y. and X.Z.; conceptualization, Y.D. and L.Z.; methodology, X.Z.; software, Q.D. and J.L.; data curation, Y.X. and F.L.; supervision, Y.C.; project administration J.Y. and Y.C. All authors have read and agreed to the published version of the manuscript.
Funding
This research was funded by the National Key Research and Development Program of China (2022YFA1404800, 2019YFA0705000); the National Natural Science Foundation of China (12192254, 11974218, 12004218, 92250304); the China Postdoctoral Science Foundation (2020M680093, 2022M721992); the Shandong Provincial Natural Science Foundation of China (ZR2020QA067); and the Open Fund of the Guangdong Provincial Key Laboratory of Optical Fiber Sensing and Communications (Jinan University).
Institutional Review Board Statement
Not applicable.
Informed Consent Statement
Not applicable.
Data Availability Statement
Data is contained within the article.
Conflicts of Interest
The authors declare no conflict of interest.
References
- Garceschavez, V.; Mcgloin, D.; Melville, H.; Sibbett, W.; Dholakia, K. Simultaneous micromanipulation in multiple planes using a self-reconstructing light beam. Nature 2002, 419, 145–147. [Google Scholar] [CrossRef] [PubMed]
- Lavery, M.P.; Speirits, F.C.; Barnett, S.M.; Padgett, M.J. Detection of a Spinning Object Using Light’s Orbital Angular Momentum. Science 2013, 34, 537–540. [Google Scholar] [CrossRef] [PubMed]
- Andrews, L.C.; Phillips, R.L. Laser Beam Propagation through Random Media, 2nd ed.; SPIE: Bellingham, WA, USA, 2005; pp. 35–56. [Google Scholar]
- Gbur, G. Partially coherent beam propagation in atmospheric turbulence. J. Opt. Soc. Am. A 2014, 31, 2038–2045. [Google Scholar] [CrossRef] [PubMed]
- Thorpe, S.A. The Turbulent Ocean; Cambridge University: Cambridge, MA, USA, 2005; pp. 1–37. [Google Scholar]
- Korotkova, O. Light Propagation in a Turbulent Ocean. Prog. Opt. 2019, 64, 1–43. [Google Scholar]
- Cai, Y.; Chen, Y.; Yu, J.; Liu, X.; Liu, L. Generation of partially coherent beams. Prog. Opt. 2017, 62, 157–223. [Google Scholar]
- Wang, F.; Liu, X.; Cai, Y. Propagation of partially coherent beam in turbulent atmosphere: A review (Invited review). Prog. Electromagn. Res. 2015, 150, 123–143. [Google Scholar] [CrossRef]
- Gbur, G.; Wolf, E. Spreading of partially coherent beams in random media. J. Opt. Soc. Am. A 2002, 8, 1592–1598. [Google Scholar] [CrossRef] [PubMed]
- Shirai, T.; Dogariu, A.; Wolf, E. Mode analysis of spreading of partially coherent beams propagating through atmospheric turbulence. J. Opt. Soc. Am. A 2003, 20, 1094–1102. [Google Scholar] [CrossRef] [PubMed]
- Wolf, E. Introduction to the Theory of Coherence and Polarization of Light; Cambridge University: Cambridge, MA, USA, 2007; pp. 174–197. [Google Scholar]
- Chen, Y.; Wang, F.; Liu, L.; Zhao, C.; Cai, Y.; Korotkova, O. Generation and propagation of partially coherent beams with nonconventional correlation functions: A review. J. Opt. Soc. Am. A 2014, 31, 2083–2096. [Google Scholar]
- Liu, X.; Zhou, G.; Shen, Y. Effect of oceanic turbulence with anisotropy on the propagation of multi-sinc Schell-model beams. Results Phys. 2022, 36, 105447. [Google Scholar] [CrossRef]
- Sun, C.; Lv, X.; Ma, B.; Zhang, J.; Deng, D.; Hong, W. Statistical properties of partially coherent radially and azimuthally polarized rotating elliptical Gaussian beams in oceanic turbulence with anisotropy. Opt. Express 2019, 27, A245–A256. [Google Scholar] [CrossRef] [PubMed]
- Song, Z.; Han, Z.; Ye, J.; Liu, Z.; Liu, S.; Liu, B. Propagation properties of radially polarized multi-Gaussian Schell-model beams in oceanic turbulence. J. Opt. Soc. Am. A 2019, 36, 1719–1726. [Google Scholar] [CrossRef] [PubMed]
- Gu, Y.; Gbur, G. Scintillation of nonuniformly correlated beams in atmospheric turbulence. Opt. Lett. 2013, 38, 1395–1397. [Google Scholar] [CrossRef] [PubMed]
- Yu, J.; Wang, F.; Liu, L.; Cai, Y.; Gbur, G. Propagation properties of Hermite non-uniformly correlated beams in turbulence. Opt. Express 2018, 26, 16333–16343. [Google Scholar] [CrossRef] [PubMed]
- Yu, J.; Cai, Y.; Gbur, G. Rectangular Hermite nonuniformly correlated beams and its propagation properties. Opt. Express 2018, 26, 27894–27906. [Google Scholar] [CrossRef] [PubMed]
- Lin, S.; Wang, C.; Zhu, X.; Lin, R.; Wang, F.; Gbur, G.; Cai, Y.; Yu, J. Propagation of radially polarized Hermite non-uniformly correlated beams in a turbulent atmosphere. Opt. Express 2020, 28, 27238–27249. [Google Scholar] [CrossRef] [PubMed]
- Lin, S.; Wu, J.; Xu, Y.; Zhu, X.; Gbur, G.; Cai, Y.; Yu, J. Analysis and experimental demonstration of propagation features of radially polarized specific non-uniformly correlated beams. Opt. Lett. 2022, 47, 305–308. [Google Scholar] [CrossRef] [PubMed]
- Ding, C.; Koivurova, M.; Turunen, J.; Pan, L. Self-focusing of a partially coherent beam with circular coherence. J. Opt. Soc. Am. A 2017, 34, 1441–1447. [Google Scholar] [CrossRef] [PubMed]
- Gori, F.; Santarsiero, M. Devising genuine spatial correlation functions. Opt. Lett. 2007, 32, 3531–3533. [Google Scholar] [CrossRef] [PubMed]
- Nikishov, V.V.; Nikishov, V.I. Spectrum of Turbulent Fluctuations of the Sea-Water Refraction Index. Int. J. Fluid Mech. Res. 2000, 27, 82–98. [Google Scholar] [CrossRef]
Disclaimer/Publisher’s Note: The statements, opinions and data contained in all publications are solely those of the individual author(s) and contributor(s) and not of MDPI and/or the editor(s). MDPI and/or the editor(s) disclaim responsibility for any injury to people or property resulting from any ideas, methods, instructions or products referred to in the content. |
© 2023 by the authors. Licensee MDPI, Basel, Switzerland. This article is an open access article distributed under the terms and conditions of the Creative Commons Attribution (CC BY) license (https://creativecommons.org/licenses/by/4.0/).








