Collective Modes in the Luminescent Response of Si Nanodisk Chains with Embedded GeSi Quantum Dots
Abstract
:1. Introduction
2. Materials and Methods
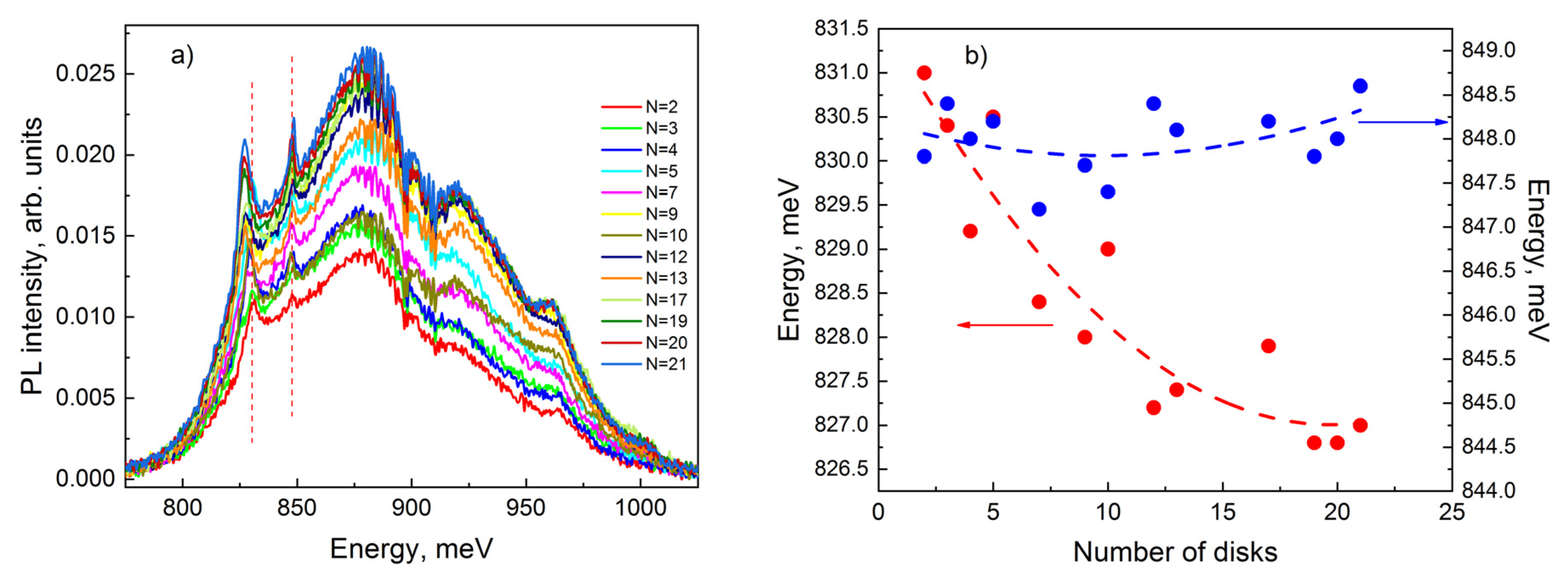
3. Results and Discussion
4. Conclusions
Supplementary Materials
Author Contributions
Funding
Institutional Review Board Statement
Informed Consent Statement
Data Availability Statement
Acknowledgments
Conflicts of Interest
References
- Zeng, C.; Ma, Y.; Zhang, Y.; Li, D.; Huang, Z.; Wang, Y.; Huang, Q.; Li, J.; Zhong, Z.; Yu, J.; et al. Single germanium quantum dot embedded in photonic crystal nanocavity for light emitter on silicon chip. Opt. Express 2015, 23, 22250–22261. [Google Scholar] [CrossRef] [PubMed]
- Schatzl, M.; Hackl, F.; Glaser, M.; Rauter, P.; Brehm, M.; Spindlberger, L.; Simbula, A.; Galli, M.; Fromherz, T.; Schaffler, F. Enhanced telecom emission from single group iv quantum dots by precise CMOS-compatible positioning in photonic crystal cavities. ACS Photonics 2017, 4, 665–673. [Google Scholar] [CrossRef]
- Poempool, T.; Aberl, J.; Clementi, M.; Spindlberger, L.; Vukušić, L.; Galli, M.; Gerace, D.; Fournel, F.; Hartmann, J.-M.; Schäffler, F.; et al. Single SiGe Quantum Dot Emission Deterministically Enhanced in a High-Q Photonic Crystal Resonator. Opt. Express 2023, 31, 15564. [Google Scholar] [CrossRef] [PubMed]
- Kalinic, B.; Cesca, T.; Balasa, I.G.; Trevisani, M.; Jacassi, A.; Maier, S.A.; Sapienza, R.; Mattei, G. Quasi-BIC Modes in All-Dielectric Slotted Nanoantennas for Enhanced Er3+ Emission. ACS Photonics 2023, 10, 534–543. [Google Scholar] [CrossRef] [PubMed]
- Hoang, T.X.; Ha, S.T.; Pan, Z.; Phua, W.K.; Paniagua-Domínguez, R.; Png, C.E.; Chu, H.-S.; Kuznetsov, A.I. Collective Mie Resonances for Directional On-Chip Nanolasers. Nano Lett. 2020, 20, 5655–5661. [Google Scholar] [CrossRef] [PubMed]
- Kuznetsov, A.I.; Miroshnichenko, A.E.; Brongersma, M.L.; Kivshar, Y.S.; Luk’yanchuk, B. Optically resonant dielectric nanostructures. Science 2016, 354, aag2472. [Google Scholar] [CrossRef]
- Kornovan, D.F.; Savelev, R.S.; Kivshar, Y.; Petrov, M.I. High-Q localized states in finite arrays of subwavelength resonators. ACS Photonics 2017, 8, 3627–3632. [Google Scholar] [CrossRef]
- Rybin, M.V.; Koshelev, K.L.; Sadrieva, Z.F.; Samusev, K.B.; Bogdanov, A.A.; Limonov, M.F.; Kivshar, Y.S. High-Q supercavity modes in subwavelength dielectric resonators. Phys. Rev. Lett. 2017, 119, 243901. [Google Scholar] [CrossRef]
- Koshelev, K.; Kruk, S.; Melik-Gaykazyan, E.; Choi, J.H.; Bogdanov, A.; Park, H.G.; Kivshar, Y. Subwavelength dielectric resonators for nonlinear nanophotonics. Science 2020, 367, 288–292. [Google Scholar] [CrossRef]
- Rutckaia, V.; Heyroth, F.; Novikov, A.; Shaleev, M.; Petrov, M.; Schilling, J. Quantum Dot Emission Driven by Mie Resonances in Silicon Nanostructures. Nano Lett. 2017, 17, 6886–6892. [Google Scholar] [CrossRef]
- Rutckaia, V.; Heyroth, F.; Schmidt, G.; Novikov, A.; Shaleev, M.; Savelev, R.S.; Schilling, J.; Petrov, M. Coupling of Germanium Quantum Dots with Collective Sub-radiant Modes of Silicon Nanopillar Arrays. ACS Photonics 2021, 8, 209–217. [Google Scholar] [CrossRef] [PubMed]
- Purcell, E.M. Spontaneous emission probabilities at radio frequencies. Phys. Rev. 1946, 69, 681. [Google Scholar]
- Vahala, K.J. Optical microcavities. Nature 2003, 424, 839–846. [Google Scholar] [CrossRef]
- Brehm, M.; Grydlik, M.; Hackl, F.; Lausecker, E.; Fromherz, T.; Bauer, G. Excitation Intensity Driven PL Shifts of SiGe Islands on Patterned and Planar Si(001) Substrates: Evidence for Ge-rich Dots in Islands. Nanoscale Res. Lett. 2010, 5, 1868–1872. [Google Scholar] [CrossRef] [PubMed]
- Zinovyev, V.A.; Zinovieva, A.F.; Kuchinskaya, P.A.; Smagina, Z.V.; Armbrister, V.A.; Dvurechenskii, A.V.; Borodavchenko, O.M.; Zhivulko, V.D.; Mudryi, A.V. Strain-induced improvement of photoluminescence from the groups of laterally ordered SiGe quantum dots. Appl. Phys. Lett. 2017, 110, 102101. [Google Scholar] [CrossRef]
- Stepikhova, M.V.; Novikov, A.V.; Yablonskiy, A.N.; Shaleev, M.V.; Utkin, D.E.; Rutckaia, V.V.; Skorokhodov, E.V.; Sergeev, S.M.; Yurasov, D.V.; Krasilnik, Z.F. Light emission from Ge(Si)/SOI self-assembled nanoislands embedded in photonic crystal slabs of various periods with and without cavities. Semicond. Sci. Technol. 2019, 34, 024003–024009. [Google Scholar] [CrossRef]
- Jannesari, R.; Schatzl, M.; Hackl, F.; Glaser, M.; Hinger, K.; Fromherz, T.; Schaffler, F. Commensurate germanium light emitters in silicon-on-insulator photonic crystal slabs. Opt. Express 2014, 22, 25426–25435. [Google Scholar] [CrossRef]
- Dyakov, S.A.; Stepikhova, M.V.; Bogdanov, A.A.; Novikov, A.V.; Yurasov, D.V.; Shaleev, M.V.; Krasilnik, Z.F.; Tikhodeev, S.G.; Gippius, N.A. Photonic bound states in the continuum in Si structures with the self-assembled Ge nanoislands. Laser Photonics Rev. 2021, 15, 2000242. [Google Scholar] [CrossRef]
- Zhong, Z.; Bauer, G. Site-controlled and size-homogeneous Ge islands on prepatterned Si(001) substrates. Appl. Phys. Lett. 2004, 84, 1922–1923. [Google Scholar] [CrossRef]
- Stangl, J.; Holý, V.; Bauer, G. Structural properties of self-organized semiconductor nanostructures. Rev. Mod. Phys. 2004, 76, 725–783. [Google Scholar] [CrossRef]
- Grützmacher, D.; Fromherz, T.; Dais, C.; Stangl, J.; Müller, E.; Ekinci, Y.; Solak, H.H.; Sigg, H.; Lechner, R.T.; Wintersberger, E.; et al. Three-Dimensional Si/Ge Quantum Dot Crystals. Nano Lett. 2007, 7, 3150–3156. [Google Scholar] [CrossRef] [PubMed]
- Grydlik, M.; Langer, G.; Fromherz, T.; Schäffler, F.; Brehm, M. Recipes for the fabrication of strictly ordered Ge islands on pit-patterned Si(001) substrates. Nanotechnology 2013, 24, 105601. [Google Scholar] [CrossRef] [PubMed]
- Ma, Y.J.; Zeng, C.; Zhou, T.; Huang, S.F.; Fan, Y.L.; Zhong, Z.; Yang, X.J.; Xia, J.S.; Jiang, Z.M. Ordering of low-density Ge quantum dot on patterned Si substrate. J. Phys. D Appl. Phys. 2014, 47, 485303. [Google Scholar] [CrossRef]
- Wang, S.; Zhang, N.; Chen, P.; Wang, L.; Yang, X.; Jiang, Z.; Zhong, Z. Toward precise site–controlling of self–assembled Ge quantum dots on Si microdisks. Nanotechnology 2018, 29, 345606. [Google Scholar] [CrossRef]
- Brehm, M.; Grydlik, M.; Tayagaki, T.; Langer, G.; Schäffler, F.; Schmidt, O.G. Photoluminescence investigation of strictly ordered Ge dots grown on pit-patterned Si substrates. Nanotechnology 2015, 26, 225202. [Google Scholar] [CrossRef]
- Brehm, M.; Grydlik, M. Site-controlled and advanced epitaxial Ge/Si quantum dots: Fabrication, properties, and applications. Nanotechnology 2017, 28, 392001. [Google Scholar] [CrossRef]
- Yan, J.; Zhang, Z.; Zhang, N.; Huang, Q.; Zhan, Y.; Jiang, Z.; Zhong, Z. Competitive Growth of Ge Quantum Dots on a Si Micropillar with Pits for a Precisely Site-Controlled QDs/Microdisk System. Nanomaterials 2023, 13, 2323. [Google Scholar] [CrossRef]
- Li, Y.; Cui, C.; Song, J.; Liu, Q.; Yuan, S.; Zeng, C.; Xia, J. Precisely ordered Ge quantum dots on a patterned Si microring for enhanced light-emission. Nanotechnology 2020, 31, 385603. [Google Scholar] [CrossRef]
- Zhang, N.; Wang, S.; Chen, P.; Zhang, L.; Peng, K.; Jiang, Z.; Zhong, Z. An array of SiGe nanodisks with Ge quantum dots on bulk Si substrates demonstrating a unique light–matter interaction associated with dual coupling. Nanoscale 2019, 11, 15487–15496. [Google Scholar] [CrossRef]
- Zhang, N.; Chen, P.; Yan, J.; Peng, K.; Wang, L.; Hu, H.; Jiang, Z.; Zhong, Z. Sensitively Site-Dependent Enhancement of Emissions from Ge Quantum Dots in SiGe Microdisks. Adv. Photonics Res. 2022, 3, 2200100. [Google Scholar] [CrossRef]
- Zhang, N.; Hao, Y.; Yao, Y.; Gao, L.; Miao, T.; Hu, H.; Wang, L.; Zhong, Z. Enhancing emission in a QD–nanodisk system via the alignment of the orientation of excitons with the polarization of Mie modes. Appl. Phys. Lett. 2023, 122, 261104. [Google Scholar] [CrossRef]
- Zhang, Z.; Yan, J.; Dong, Z.; Zhang, N.; Chen, P.; Peng, K.; Zhu, Y.; Zhong, Z.; Jiang, Z. Unique Enhancement of the Whispering Gallery Mode in Hexagonal Microdisk Resonator Array with Embedded Ge Quantum Dots on Si. Nanomaterials 2023, 13, 2553. [Google Scholar] [CrossRef] [PubMed]
- Yuan, S.; Qiu, X.; Cui, C.; Zhu, L.; Wang, Y.; Li, Y.; Song, J.; Huang, Q.; Xia, J. Strong Photoluminescence Enhancement in All-Dielectric Fano Metasurface with High Quality Factor. ACS Nano 2017, 11, 10704–10711. [Google Scholar] [CrossRef] [PubMed]
- Cui, C.; Zhou, C.; Yuan, S.; Qiu, X.; Zhu, L.; Wang, Y.; Li, Y.; Song, J.; Huang, Q.; Wang, Y.; et al. Multiple Fano Resonances in Symmetry Breaking Silicon Metasurface for Manipulating Light Emission. ACS Photonics 2018, 5, 4074–4080. [Google Scholar] [CrossRef]
- Cui, C.; Yuan, S.; Qiu, X.; Zhu, L.; Wang, Y.; Li, Y.; Song, J.; Huang, Q.; Zeng, C.; Xia, J. Light emission driven by magnetic and electric toroidal dipole resonances in silicon metasurface. Nanoscale 2019, 11, 14446–14454. [Google Scholar] [CrossRef]
- Gladyshev, S.A.; Bogdanov, A.A.; Kapitanova, P.V.; Rybin, M.V.; Koshelev, K.L.; Sadrieva, Z.F.; Samusev, K.B.; Kivshar, Y.S.; Limonov, M.F. High-Q states and Strong mode coupling in high-index dielectric resonators. J. Phys. Conf. Ser. 2018, 1124, 051058. [Google Scholar] [CrossRef]
- Joseph, S.; Pandey, S.; Sarkar, S.; Joseph, J. Bound states in the continuum in resonant nanostructures: An overview of engineered materials for tailored applications. Nanophotonics 2021, 10, 4175–4207. [Google Scholar] [CrossRef]
- Lee, J.; Zhen, B.; Chua, S.-L.; Qiu, W.; Joannopoulos, J.D.; Soljačić, M.; Shapira, O. Observation and Differentiation of Unique High-Q Optical Resonances Near Zero Wave Vector in Macroscopic Photonic Crystal Slabs. Phys. Rev. Lett. 2012, 109, 067401. [Google Scholar] [CrossRef]
- Moiseyev, N. Suppression of Feshbach Resonance Widths in Two-Dimensional Waveguides and Quantum Dots: A Lower Bound for the Number of Bound States in the Continuum. Phys. Rev. Lett. 2009, 102, 167404. [Google Scholar] [CrossRef]
- Plotnik, Y.; Peleg, O.; Dreisow, F.; Heinrich, M.; Nolte, S.; Szameit, A.; Segev, M. Experimental Observation of Optical Bound States in the Continuum. Phys. Rev. Lett. 2011, 107, 183901. [Google Scholar] [CrossRef]
- Hsu, C.W.; Zhen, B.; Lee, J.; Chua, S.-L.; Johnson, S.G.; Joannopoulos, J.D.; Soljačić, M. Observation of trapped light within the radiation continuum. Nature 2013, 499, 188–191. [Google Scholar] [CrossRef] [PubMed]
- Yang, Y.; Peng, C.; Liang, Y.; Li, Z.; Noda, S. Analytical Perspective for Bound States in the Continuum in Photonic Crystal Slabs. Phys. Rev. Lett. 2014, 113, 037401. [Google Scholar] [CrossRef] [PubMed]
- Azzam, S.I.; Shalaev, V.M.; Boltasseva, A.; Kildishev, A.V. Formation of Bound States in the Continuum in Hybrid Plasmonic-Photonic Systems. Phys. Rev. Lett. 2018, 121, 253901. [Google Scholar] [CrossRef]
- Sidorenko, M.S.; Sergaeva, O.N.; Sadrieva, Z.F.; Roques-Carmes, C.; Muraev, P.S.; Maksimov, D.N.; Bogdanov, A.A. Observation of an Accidental Bound State in the Continuum in a Chain of Dielectric Disks. Phys. Rev. Appl. 2021, 15, 034041. [Google Scholar] [CrossRef]
- Friedrich, H.; Wintgen, D. Interfering resonances and bound states in the continuum. Phys. Rev. A 1985, 32, 3231–3242. [Google Scholar] [CrossRef]
- Azzam, S.I.; Kildishev, A.V. Photonic Bound States in the Continuum: From Basics to Applications. Adv. Optical Mater. 2021, 9, 2001469. [Google Scholar] [CrossRef]
- Odit, M.; Koshelev, K.; Gladyshev, S.; Ladutenko, K.; Kivshar, Y.; Bogdanov, A. Observation of Supercavity Modes in Subwavelength Dielectric Resonators. Adv. Mater. 2021, 33, 2003804. [Google Scholar] [CrossRef]
- Krasnok, A.; Glybovski, S.; Petrov, M.; Makarov, S.; Savelev, R.; Belov, P.; Simovski, C.; Kivshar, Y. Demonstration of the enhanced Purcell factor in all-dielectric structures. Appl. Phys. Lett. 2016, 108, 211105. [Google Scholar] [CrossRef]
- Bulgakov, E.N.; Sadreev, A.F. High-Q resonant modes in a finite array of dielectric particles. Phys. Rev. A 2019, 99, 033851. [Google Scholar] [CrossRef]
- Sadrieva, Z.F.; Belyakov, M.A.; Balezin, M.A.; Kapitanova, P.V.; Nenasheva, E.A.; Sadreev, A.F.; Bogdanov, A.A. Experimental observation of a symmetry-protected bound state in the continuum in a chain of dielectric disks. Phys. Rev. A 2019, 99, 053804. [Google Scholar] [CrossRef]
- Mikhailovskii, M.S.; Savelev, R.S.; Sidorenko, M.S.; Sadrieva, Z.F.; Bogdanov, A.A.; Petrov, M.I. Collective states with high quality factors in chains of dielectric resonators. St. Petersburg Polytech. Univ. J. Phys. Math. 2022, 15, 213–218. [Google Scholar]
- Huang, T.; Wang, B.; Zhang, W.; Zhao, C. Ultracompact Energy Transfer in Anapole-based Metachains. Nano Lett. 2021, 21, 6102–6110. [Google Scholar] [CrossRef] [PubMed]
- Díaz-Escobar, E.; Barreda, A.I.; Mercadé, L.; Griol, A.; Pitanti, A.; Martínez, A. Light Guidance Aided by the Toroidal Dipole and the Magnetic Quadrupole in Silicon Slotted-Disk Chains. ACS Photonics 2023, 10, 707–714. [Google Scholar] [CrossRef] [PubMed]
- Schinke, C.; Peest, P.C.; Schmidt, J.; Brendel, R.; Bothe, K.; Vogt, M.R.; Kröger, I.; Winter, S.; Schirmacher, A.; Lim, S.; et al. Uncertainty analysis for the coefficient of band-to-band absorption of crystalline silicon. AIP Adv. 2015, 5, 67168. [Google Scholar] [CrossRef]
- Rodríguez-de Marcos, L.V.; Larruquert, J.I.; Méndez, J.A.; Aznárez, J.A. Self-consistent optical constants of SiO2 and Ta2O5 films. Opt. Mater. Express 2016, 6, 3622–3637. [Google Scholar] [CrossRef]
- Bulgakov, E.N.; Sadreev, A.F. Nearly bound states in the radiation continuum in a circular array of dielectric rods. Phys. Rev. A 2018, 97, 033834. [Google Scholar] [CrossRef]
- Bulgakov, E.N.; Sadreev, A.F. Bloch bound states in the radiation continuum in a periodic array of dielectric rods. Phys. Rev. A 2014, 90, 053801. [Google Scholar] [CrossRef]
- Yuan, L.; Lu, Y.Y. Propagating Bloch modes above the light line on a periodic array of cylinders. J. Phys. B At. Mol. Opt. Phys. 2017, 50, 05LT01. [Google Scholar] [CrossRef]
- Bulgakov, E.N.; Sadreev, A.F. Bound states in the continuum with high orbital angular momentum in a dielectric rod with periodically modulated permittivity. Phys. Rev. A 2017, 96, 013841. [Google Scholar] [CrossRef]












Disclaimer/Publisher’s Note: The statements, opinions and data contained in all publications are solely those of the individual author(s) and contributor(s) and not of MDPI and/or the editor(s). MDPI and/or the editor(s) disclaim responsibility for any injury to people or property resulting from any ideas, methods, instructions or products referred to in the content. |
© 2023 by the authors. Licensee MDPI, Basel, Switzerland. This article is an open access article distributed under the terms and conditions of the Creative Commons Attribution (CC BY) license (https://creativecommons.org/licenses/by/4.0/).
Share and Cite
Zinovyev, V.A.; Smagina, Z.V.; Zinovieva, A.F.; Rodyakina, E.E.; Kacyuba, A.V.; Astankova, K.N.; Volodin, V.A.; Baryshnikova, K.V.; Petrov, M.I.; Mikhailovskii, M.S.; et al. Collective Modes in the Luminescent Response of Si Nanodisk Chains with Embedded GeSi Quantum Dots. Photonics 2023, 10, 1248. https://doi.org/10.3390/photonics10111248
Zinovyev VA, Smagina ZV, Zinovieva AF, Rodyakina EE, Kacyuba AV, Astankova KN, Volodin VA, Baryshnikova KV, Petrov MI, Mikhailovskii MS, et al. Collective Modes in the Luminescent Response of Si Nanodisk Chains with Embedded GeSi Quantum Dots. Photonics. 2023; 10(11):1248. https://doi.org/10.3390/photonics10111248
Chicago/Turabian StyleZinovyev, Vladimir A., Zhanna V. Smagina, Aigul F. Zinovieva, Ekaterina E. Rodyakina, Aleksey V. Kacyuba, Ksenya N. Astankova, Vladimir A. Volodin, Kseniia V. Baryshnikova, Mihail I. Petrov, Mikhail S. Mikhailovskii, and et al. 2023. "Collective Modes in the Luminescent Response of Si Nanodisk Chains with Embedded GeSi Quantum Dots" Photonics 10, no. 11: 1248. https://doi.org/10.3390/photonics10111248
APA StyleZinovyev, V. A., Smagina, Z. V., Zinovieva, A. F., Rodyakina, E. E., Kacyuba, A. V., Astankova, K. N., Volodin, V. A., Baryshnikova, K. V., Petrov, M. I., Mikhailovskii, M. S., Verbus, V. A., Stepikhova, M. V., & Novikov, A. V. (2023). Collective Modes in the Luminescent Response of Si Nanodisk Chains with Embedded GeSi Quantum Dots. Photonics, 10(11), 1248. https://doi.org/10.3390/photonics10111248

