Polarization Selective Broad/Triple Band Absorber Based on All-Dielectric Metamaterials in Long Infrared Regime
Abstract
1. Introduction
2. Design of Broadband Absorber Based on All-Dielectric
3. Results and Discussion
3.1. Results of Broadband Absorber
3.2. Polarization Direction Analysis of Incident Light in Perfect Absorber
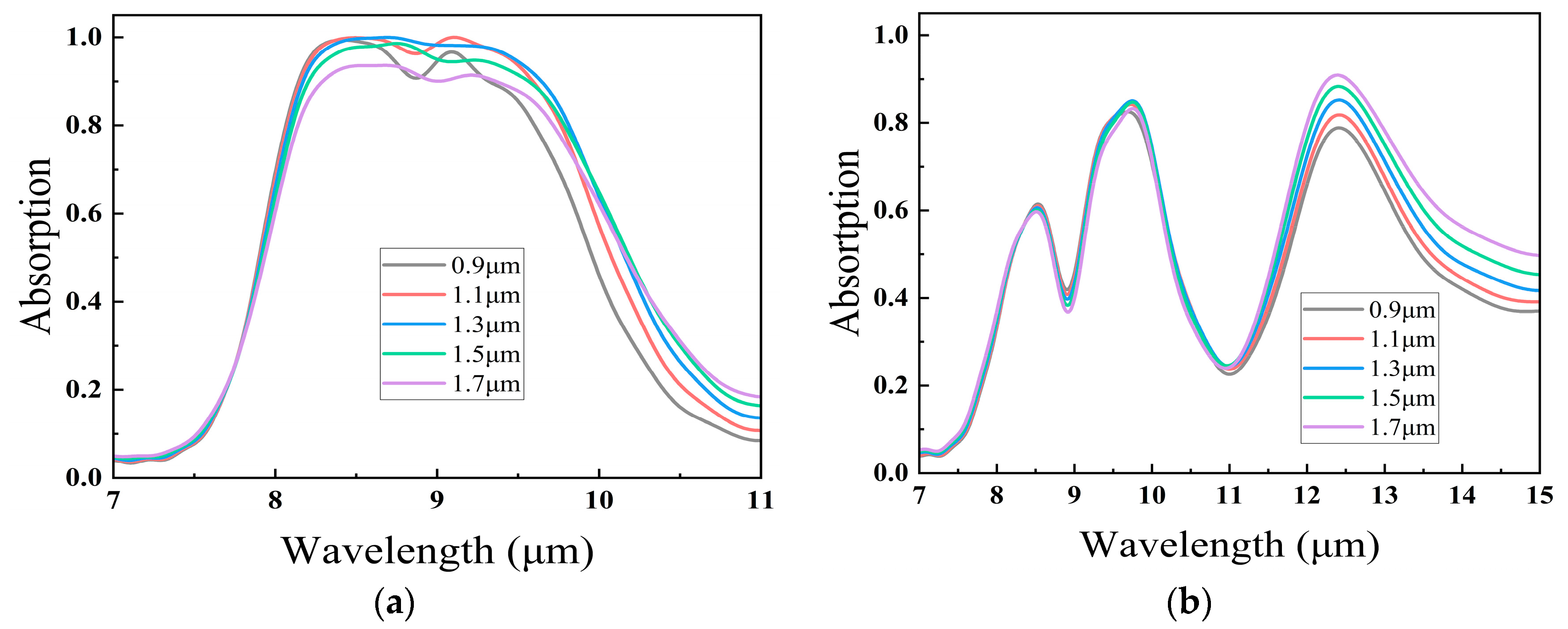
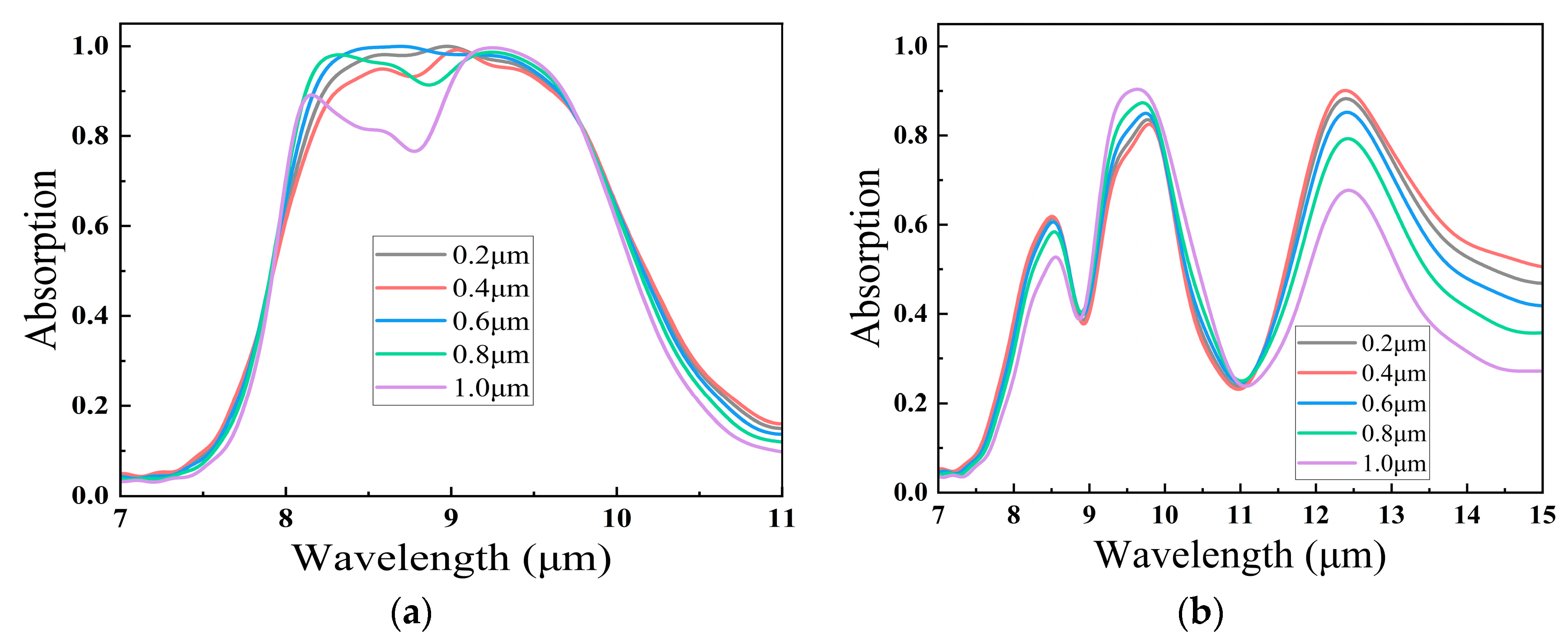
3.3. Comparison of Different Parameters of Broadband Absorber
4. Conclusions
Author Contributions
Funding
Institutional Review Board Statement
Informed Consent Statement
Data Availability Statement
Conflicts of Interest
References
- Shelby, R.A.; Smith, D.R.; Schultz, S. Experimental verification of a negative index of refraction. Science 2001, 292, 77–79. [Google Scholar] [CrossRef] [PubMed]
- Chen, H.J.; Zhao, W.X.; Song, K. A “Π-shaped” metamateral with dual-band negative refraction index. J. Northwest Norm. Univ. 2018, 54, 49–53. [Google Scholar]
- Leonhardt, U. Optical conformal mapping. Science 2006, 312, 1777–1780. [Google Scholar] [CrossRef] [PubMed]
- Kim, J.; Seong, J.; Yang, Y.; Moon, S.W.; Badloe, T.; Rho, J. Tunable metasurfaces towards versatile metalenses and metaholograms: A review. Adv. Photonics 2022, 4, 024001. [Google Scholar] [CrossRef]
- Ye, X.; Qian, X.; Chen, Y.X.; Yuan, R.; Xiao, X.; Chen, C.; Hu, W.; Huang, C.; Zhu, S.; Li, T. Chip-scale metalens microscope for wide-field and depth-of-field imaging. Adv. Photonics 2022, 4, 046006. [Google Scholar] [CrossRef]
- Landy, N.I.; Sajuyigbe, S.; Mock, J.J.; Smith, D.R.; Padilla, W.J. Perfect metamaterial absorber. Phys. Rev. Lett. 2008, 100, 207402. [Google Scholar] [CrossRef]
- Kong, H.; Li, G.; Jin, Z.; Ma, G.; Zhang, Z.; Zhang, C. Polarization-independent meta-material absorber for terahertz frequency. J. Infrared Millim. Terahertz Waves 2012, 33, 649–656. [Google Scholar] [CrossRef]
- Grant, J.; Ma, Y.; Saha, S.; Khalid, A.; Cumming, D.R. Polarization insensitive, broadband terahertz metamaterial absorber. Opt. Lett. 2011, 36, 3476. [Google Scholar] [CrossRef]
- Hao, J.; Yuan, Y.; Ran, L.; Jiang, T.; Kong, J.A.; Chan, C.T.; Zhou, L. Manipulating electromagnetic wave polarizations by anisotropic metamaterials. Phys. Rev. Lett. 2007, 99, 063908. [Google Scholar] [CrossRef]
- Wang, H.; Prasad, S.V.; Mitchell, A.; Rosengarten, G.; Phelan, P.; Wang, L. Highly efficient selective metamaterial absorber for high-temperature solar thermal energy harvesting. Sol. Energy Mater. Sol. Cells 2015, 137, 235–242. [Google Scholar] [CrossRef]
- Pendry, J.B. Negative refraction makes a perfect lens. Phys. Rev. Lett. 2000, 85, 3966–3969. [Google Scholar] [CrossRef] [PubMed]
- Liu, S.; Chen, H.; Cui, T.J. A broadband terahertz absorber using multi-layer stacked bars. Appl. Phys. Lett. 2015, 106, 151601. [Google Scholar] [CrossRef]
- Tao, H.; Bingham, C.; Pilon, D.; Fan, K.; Strikwerda, A.C.; Shrekenhamer, D.; Padilla, W.J.; Zhang, X.; Averitt, R.D. A dual band terahertz metamaterial absorber. J. Phys. D Appl. Phys. 2010, 43, 225102. [Google Scholar] [CrossRef]
- Shen, X.; Cui, T.J.; Zhao, J.; Ma, H.F.; Jiang, W.X.; Li, H. Polarization-independent wide-angle triple-band metamaterial absorber. Opt. Express 2011, 19, 9401–9407. [Google Scholar] [CrossRef] [PubMed]
- Wu, J. Tunable multi-band terahertz absorber based on graphene nano-ribbon metamaterial. Phys. Lett. A 2019, 383, 2589–2593. [Google Scholar] [CrossRef]
- Nguyen, T.; Phan, H.L.; Tung, P.D.; Tuan, T.S.; Nguyen, H. Numerical Study of a Wide-Angle and Polarization-Insensitive Ultrabroadband Metamaterial Absorber in Visible and Near-Infrared Region. IEEE Photonics J. 2019, 25, 4600208. [Google Scholar]
- Wu, S.; Li, J.S. Hollow-petal graphene metasurface for broadband tunable THz absorption. Appl. Opt. 2019, 58, 3023–3028. [Google Scholar] [CrossRef]
- Li, D.; Huang, H.; Xia, H.; Zeng, J.; Li, H.; Xie, D. Temperature-dependent tunable terahertz metamaterial absorber for the application of light modulator. Results Phys. 2018, 11, 659–664. [Google Scholar] [CrossRef]
- Kong, X.R.; Zhang, H.F.; Dao, R.N. A switchable polarization-independent THz absorber using a phase change material. Opt. Quantum Electron. 2019, 51, 306. [Google Scholar] [CrossRef]
- Andrews, M.R.; Mitra, P.P.; Decarvalho, R. Tripling the capacity of wireless communications using electromagnetic polarization. Nature 2001, 409, 316–318. [Google Scholar] [CrossRef]
- Mao, D.; Zheng, Y.; Zeng, C.; Lu, H.; Wang, C.; Zhang, H.; Zhang, W.; Mei, T.; Zhao, J. Generation of polarization and phase singular beams in fibers and fiber lasers. Adv. Photonics 2022, 3, 014002. [Google Scholar] [CrossRef]
- Li, W.H.; Zhang, J.Q.; Qu, S.B.; Shen, Y.; Yu, J.; Fan, Y.; Zhang, A. A circular polarization antenna designed based on the polarization conversion metasurface. Acta Phys. Sin. 2016, 65, 024101. [Google Scholar]
- Zhao, Y.X.; Qiu, C.; Wu, A.; Huang, H.; Li, J.; Sheng, Z.; Li, W.; Wang, X.; Gan, F. Broadband Polarization Splitter-Rotator and the Application in WDM Receiver. IEEE Photonics J. 2019, 11, 6600310. [Google Scholar] [CrossRef]
- Xia, P.; Ri, S.E.; Inoue, T.; Awatsuji, Y.; Matoba, O. Dynamic phase measurement of a transparent object by parallel phase-shifting digital holography with dual polarization imaging cameras. Opt. Lasers Eng. 2021, 141, 106583. [Google Scholar] [CrossRef]
- Zhang, Y.; Li, Y.; Cao, Y.; Liu, Y.; Zhang, H. Graphene induced tunable and polarization-insensitive broadband metamaterial absorber. Opt. Commun. 2017, 382, 281–287. [Google Scholar] [CrossRef]
- Tao, H.; Bingham, C.; Strikwerda, A.C.; Pilon, D.; Shrekenhamer, D.; Landy, N.I.; Fan, K.; Zhang, X.; Padilla, W.; Averitt, R. Highly flexible wide angle of incidence terahertz metamaterial absorber design, fabrication, and characterization. Phys. Rev. B Condens. Matter Mater. Phys. 2008, 78, 241103. [Google Scholar] [CrossRef]
- Li, Y.; An, B.; Li, L.; Gao, J. Broadband LWIR and MWIR absorber by trapezoid multilayered grating and SiO2 hybrid structures. Opt. Quantum Electron. 2018, 50, 459. [Google Scholar] [CrossRef]
- Long, L.; Yang, Y.; Liang, C. A wide-angle polarization-insensitive ultra-thin metamaterial absorber with three resonant modes. J. Appl. Phys. 2011, 110, 207402-R. [Google Scholar]
- Zhou, R.L.; Kaleem, U.; Hussain, N.; Fadhali, M.M.; Yang, S.; Lin, Q.; Zubair, M.; Iqbal, M.F. Recent advances in photonics of three-dimensional Dirac semimetal Cd3As2. Adv. Photonics 2022, 1, 024001. [Google Scholar] [CrossRef]
- Liu, H.F.; Luo, K.; Tang, S.H.; Peng, D.H.; Hu, F.J.; Tu, L.C. An Ultra-Wideband THz/IR Metamaterial Absorber Based on Doped Silicon. Materials 2018, 11, 2590. [Google Scholar] [CrossRef]
- Yang, E.; Yang, F.L.; Pei, J.J.; Zhang, X.P.; Liu, S.M.; Deng, Y.Q. All-dielectric ultra-broadband metamaterial absorber based on imidazole ionic liquids. J. Phys. D-Appl. Phys. 2019, 52, 395501. [Google Scholar] [CrossRef]
- Zhang, Y.; Dong, H.; Mou, N.; Li, H.; Yao, X.; Zhang, L. Tunable and transparent broadband metamaterial absorber with water-based substrate for optical window applications. Nanoscale 2021, 13, 7831–7837. [Google Scholar] [CrossRef]
- Liu, F.; Zou, M.L.; Feng, Z.J.; Ni, B.; Ye, B.S.; Wang, Y.J. All-Dielectric Dual-Band Metamaterial Absorber Based on Ring Nanocavity in Visible Region for Sensing Applications. Photonics 2023, 10, 58. [Google Scholar] [CrossRef]
- Si, J.; Liu, S.; Yang, W.; Yu, X.; Zhang, J.; Deng, X. Broadened Angle-Insensitive Near-Perfect Absorber Based on Mie Resonances in Amorphous Silicon Metasurface. Nanomaterials 2020, 10, 1733. [Google Scholar] [CrossRef]
- Nils, O.L.; Ruggero, V.; Petter, J.; Mikael, K. Large-Scale Silicon Nanophotonic Metasurfaces with Polarization Independent Near-Perfect Absorption. Nano Lett. 2017, 17, 3054–3060. [Google Scholar]
- Yang, S.C.; Richter, K.; Fischer, W.J. Multicolor generation using silicon nanodisk absorber. Appl. Phys. Lett. 2015, 106, 2649. [Google Scholar] [CrossRef]
- Fang, B.; Li, B.; Peng, Y.; Li, C.; Hong, Z.; Jing, X. Polarization-independent multiband metamaterials absorber by fundamental cavity mode of multilayer microstructure. Microw. Opt. Technol. Lett. 2019, 61, 2385–2391. [Google Scholar] [CrossRef]
- Chen, W.; Wang, S.; Jin, W.; Li, W. Research of infrared polarization characteristics based on polarization Micro-surface theory. J. Infrared Millim. Waves 2014, 33, 507–514. [Google Scholar]
- Yang, Q.; Chen, X.; Xu, Q.; Tian, C.; Xu, Y.; Cong, L.; Zhang, X.; Li, Y.; Zhang, C.; Zhang, X.; et al. Broadband terahertz rotator with an all-dielectric metasurface. Photonics Res. 2018, 6, 1056–1061. [Google Scholar] [CrossRef]
- Palik, E.D. Handbook of Optical Constants of Solids II; Academic Press: Boston, MA, USA, 1991; Volume 1, pp. 77–135. [Google Scholar]










| Parameters (μm) | Ex (Error μm) | Ey (Error μm) | |
|---|---|---|---|
| The height of the trapezoid h2 | 1.3 | Non-sensitive parameters (≤2) | Non-sensitive parameters (--) |
| The height of the rectangle h1 | 2.5 | Non-sensitive parameters (≤2.8) | Non-sensitive parameters (--) |
| The upper side length of the trapezoid l3 | 0.6 | Sensitive parameters (±0.2) | Non-sensitive parameters (--) |
| The lower side length of the trapezoid l2 | 1 | Non-sensitive parameters (0.6 to 1.4) | Non-sensitive parameters (≤1.4) |
| The width of the rectangle l4 | 0.6 | Non-sensitive parameters (≤1.0) | Sensitive parameters (≤0.6) |
Disclaimer/Publisher’s Note: The statements, opinions and data contained in all publications are solely those of the individual author(s) and contributor(s) and not of MDPI and/or the editor(s). MDPI and/or the editor(s) disclaim responsibility for any injury to people or property resulting from any ideas, methods, instructions or products referred to in the content. |
© 2023 by the authors. Licensee MDPI, Basel, Switzerland. This article is an open access article distributed under the terms and conditions of the Creative Commons Attribution (CC BY) license (https://creativecommons.org/licenses/by/4.0/).
Share and Cite
Zou, H.; Ni, B.; Zhou, H.; Ni, H.; Hua, G.; Chang, J. Polarization Selective Broad/Triple Band Absorber Based on All-Dielectric Metamaterials in Long Infrared Regime. Photonics 2023, 10, 587. https://doi.org/10.3390/photonics10050587
Zou H, Ni B, Zhou H, Ni H, Hua G, Chang J. Polarization Selective Broad/Triple Band Absorber Based on All-Dielectric Metamaterials in Long Infrared Regime. Photonics. 2023; 10(5):587. https://doi.org/10.3390/photonics10050587
Chicago/Turabian StyleZou, Haotian, Bo Ni, Hua Zhou, Haibin Ni, Guohuan Hua, and Jianhua Chang. 2023. "Polarization Selective Broad/Triple Band Absorber Based on All-Dielectric Metamaterials in Long Infrared Regime" Photonics 10, no. 5: 587. https://doi.org/10.3390/photonics10050587
APA StyleZou, H., Ni, B., Zhou, H., Ni, H., Hua, G., & Chang, J. (2023). Polarization Selective Broad/Triple Band Absorber Based on All-Dielectric Metamaterials in Long Infrared Regime. Photonics, 10(5), 587. https://doi.org/10.3390/photonics10050587

