A Terahertz Radiation Linear Polarizer Based on Using a Magnetic Fluid in an External Magnetic Field
Abstract
1. Introduction
2. Materials and Methods
2.1. Magnetic Field Generation
2.2. Design of the Linear Polarizer
2.3. THz Spectroscopy
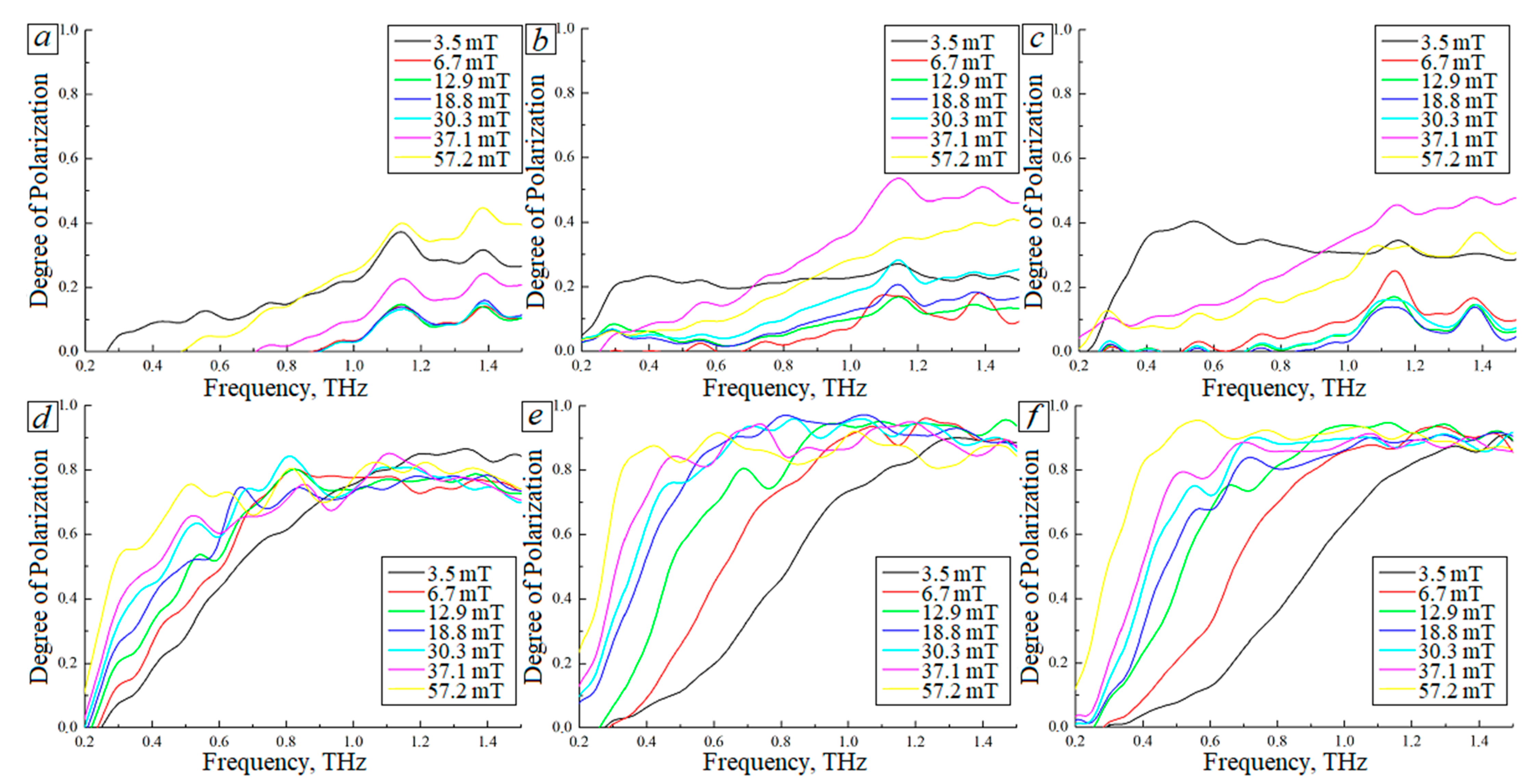
3. Results
4. Discussion
- To create a horizontally polarized THz wave, we need to use the scheme shown in Figure 9;
- To create a vertically polarized THz wave, we need to rotate the magnets by 90° in relation to the previous case;
- Changing the degree of polarization of the transmitted THz wave is carried out by control of the external magnetic field magnitude.
5. Conclusions
Author Contributions
Funding
Data Availability Statement
Acknowledgments
Conflicts of Interest
References
- Zhang, X.-C.; Xu, J. Introduction to THz Wave Photonics; Springer: Boston, MA, USA, 2010. [Google Scholar] [CrossRef]
- Siegel, P.H. Terahertz Technology. IEEE Trans. Microw. Theory Tech. 2002, 50, 910–928. [Google Scholar] [CrossRef]
- Siegel, P.H. Terahertz Technology in Biology and Medicine. IEEE Trans. Microw. Theory Tech. 2004, 52, 2438–2447. [Google Scholar] [CrossRef]
- Nikitkina, A.I.; Bikmulina, P.Y.; Gafarova, E.R.; Kosheleva, N.V.; Efremov, Y.M.; Bezrukov, E.A.; Butnaru, D.V.; Dolganova, I.N.; Chernomyrdin, N.V.; Cherkasova, O.P.; et al. Terahertz Radiation and the Skin: A Review. J. Biomed. Opt. 2021, 26, 043005. [Google Scholar] [CrossRef] [PubMed]
- Smolyanskaya, O.A.; Chernomyrdin, N.V.; Konovko, A.A.; Zaytsev, K.I.; Ozheredov, I.A.; Cherkasova, O.P.; Nazarov, M.M.; Guillet, J.-P.; Kozlov, S.A.; Kistenev, Y.V.; et al. Terahertz Biophotonics as a Tool for Studies of Dielectric and Spectral Properties of Biological Tissues and Liquids. Prog. Quantum Electron. 2018, 62, 1–77. [Google Scholar] [CrossRef]
- Borovkova, M.; Khodzitsky, M.; Demchenko, P.; Cherkasova, O.; Popov, A.; Meglinski, I. Terahertz Time-Domain Spectroscopy for Non-Invasive Assessment of Water Content in Biological Samples. Biomed. Opt. Express 2018, 9, 2266. [Google Scholar] [CrossRef]
- Oh, S.J.; Kim, S.-H.; Jeong, K.; Park, Y.; Huh, Y.-M.; Son, J.-H.; Suh, J.-S. Measurement Depth Enhancement in Terahertz Imaging of Biological Tissues. Opt. Express 2013, 21, 21299. [Google Scholar] [CrossRef]
- Moldosanov, K.; Bykov, A.; Kairyev, N.; Khodzitsky, M.; Kropotov, G.; Lelevkin, V.; Meglinski, I.; Postnikov, A.; Shakhmin, A. Terahertz-to-Infrared Converters for Imaging the Human Skin Cancer: Challenges and Feasibility. J. Med. Imaging 2023, 10, 023501. [Google Scholar] [CrossRef] [PubMed]
- Cherkasova, O.; Nazarov, M.; Shkurinov, A. Noninvasive Blood Glucose Monitoring in the Terahertz Frequency Range. Opt. Quantum Electron. 2016, 48, 217. [Google Scholar] [CrossRef]
- Gusev, S.I.; Borovkova, M.A.; Strepitov, M.A.; Khodzitsky, M.K. Blood Optical Properties at Various Glucose Level Values in THz Frequency Range. In Clinical and Biomedical Spectroscopy and Imaging IV; OSA: Washington, DC, USA, 2015; p. 95372A. [Google Scholar] [CrossRef]
- Fujiwara, M.; Hiromoto, N.; Shibai, H.; Hirao, T.; Nakagawa, T. Development of Far-Infrared Ge:Ga Photoconductor 2D Array for 3-THz Imaging. In Infrared Technology and Applications XXVI; Andresen, B.F., Fulop, G.F., Strojnik, M., Eds.; SPIE: London, UK, 2000; p. 842. [Google Scholar] [CrossRef]
- Kaufmann, P.; Marcon, R.; Abrantes, A.; Bortolucci, E.C.; TFernandes, L.O.; Kropotov, G.I.; Kudaka, A.S.; Machado, N.; Marun, A.; Nikolaev, V.; et al. THz Photometers for Solar Flare Observations from Space. Exp. Astron. 2014, 37, 579–598. [Google Scholar] [CrossRef]
- Kaufmann, P.; Abrantes, A.; Bortolucci, E.C.; Caspi, A.; Fernandes, L.O.T.; Kropotov, G.; Kudaka, A.S.; Laurent, G.; Machado, N.; Marcon, R.; et al. THz Solar Observations on Board of a Trans-Antarctic Stratospheric Balloon Flight. In Proceedings of the 2016 41st International Conference on Infrared, Millimeter, and Terahertz waves (IRMMW-THz), Copenhagen, Denmark, 25–30 September 2016; IEEE: Piscataway, NJ, USA, 2016; pp. 1–2. [Google Scholar] [CrossRef]
- Yang, L.; Guo, T.; Zhang, X.; Cao, S.; Ding, X. Toxic Chemical Compound Detection by Terahertz Spectroscopy: A Review. Rev. Anal. Chem. 2018, 37, pp.1–10. [Google Scholar] [CrossRef]
- Stutzki, J.; Graf, U.U.; Honingh, C.E.; Jacobs, K.; Schieder, R.; Siebertz, O. Terahertz Receivers for Astronomy. In Proceedings of the 2005 Joint 30th International Conference on Infrared and Millimeter Waves and 13th International Conference on Terahertz Electronics, Williamsburg, VA, USA, 19–23 September 2005; IEEE: Piscataway, NJ, USA, 2015; pp. 403–404. [Google Scholar] [CrossRef]
- Waters, J.W.; Froidevaux, L.; Harwood, R.S.; Jarnot, R.F.; Pickett, H.M.; Read, W.G.; Siegel, P.H.; Cofield, R.E.; Filipiak, M.J.; Flower, D.A.; et al. The Earth Observing System Microwave Limb Sounder (EOS MLS) on the Aura Satellite. IEEE Trans. Geosci. Remote Sens. 2006, 44, 1075–1092. [Google Scholar] [CrossRef]
- You, B.; Lu, J.-Y. Remote and in Situ Sensing Products in Chemical Reaction Using a Flexible Terahertz Pipe Waveguide. Opt. Express 2016, 24, 18013. [Google Scholar] [CrossRef] [PubMed]
- Born, N.; Behringer, D.; Liepelt, S.; Beyer, S.; Schwerdtfeger, M.; Ziegenhagen, B.; Koch, M. Monitoring Plant Drought Stress Response Using Terahertz Time-Domain Spectroscopy. Plant Physiol. 2014, 164, 1571–1577. [Google Scholar] [CrossRef] [PubMed]
- Gente, R.; Koch, M. Monitoring Leaf Water Content with THz and Sub-THz Waves. Plant Methods 2015, 11, 15. [Google Scholar] [CrossRef]
- Nagatsuma, T.; Ducournau, G.; Renaud, C.C. Advances in Terahertz Communications Accelerated by Photonics. Nat. Photonics 2016, 10, 371–379. [Google Scholar] [CrossRef]
- Song, H.-J.; Nagatsuma, T. Present and Future of Terahertz Communications. IEEE Trans. Terahertz Sci. Technol. 2011, 1, 256–263. [Google Scholar] [CrossRef]
- Federici, J.; Moeller, L. Review of Terahertz and Subterahertz Wireless Communications. J. Appl. Phys. 2010, 107, 111101. [Google Scholar] [CrossRef]
- Saqlain, M.; Idrees, N.M.; Cao, X.; Gao, X.; Yu, X. Feasibility Analysis of Opto-Electronic THz Earth-Satellite Links in the Low- and Mid-Latitude Regions. Appl. Opt. 2019, 58, 6762. [Google Scholar] [CrossRef] [PubMed]
- Ishigaki, K.; Shiraishi, M.; Suzuki, S.; Asada, M.; Nishiyama, N.; Arai, S. Direct Intensity Modulation and Wireless Data Transmission Characteristics of Terahertz-Oscillating Resonant Tunnelling Diodes. Electron. Lett. 2012, 48, 582. [Google Scholar] [CrossRef]
- Ahi, K.; Shahbazmohamadi, S.; Asadizanjani, N. Quality Control and Authentication of Packaged Integrated Circuits Using Enhanced-Spatial-Resolution Terahertz Time-Domain Spectroscopy and Imaging. Opt. Lasers Eng. 2018, 104, 274–284. [Google Scholar] [CrossRef]
- Naftaly, M.; Vieweg, N.; Deninger, A. Industrial Applications of Terahertz Sensing: State of Play. Sensors 2019, 19, 4203. [Google Scholar] [CrossRef] [PubMed]
- Kemp, M.C.; Taday, P.F.; Cole, B.E.; Cluff, J.A.; Fitzgerald, A.J.; Tribe, W.R. Security Applications of Terahertz Technology. In Terahertz for Military and Security Applications; Hwu, R.J., Woolard, D.L., Eds.; SPIE: London, UK, 2003; p. 44. [Google Scholar] [CrossRef]
- Ikeda, T.; Matsushita, A.; Tatsuno, M.; Minami, Y.; Yamaguchi, M.; Yamamoto, K.; Tani, M.; Hangyo, M. Investigation of Inflammable Liquids by Terahertz Spectroscopy. Appl. Phys. Lett. 2005, 87, 034105. [Google Scholar] [CrossRef]
- Federici, J.F.; Schulkin, B.; Huang, F.; Gary, D.; Barat, R.; Oliveira, F.; Zimdars, D. THz Imaging and Sensing for Security Applications—Explosives, Weapons and Drugs. Semicond. Sci. Technol. 2005, 20, S266–S280. [Google Scholar] [CrossRef]
- Krimi, S.; Klier, J.; Jonuscheit, J.; von Freymann, G.; Urbansky, R.; Beigang, R. Highly Accurate Thickness Measurement of Multi-Layered Automotive Paints Using Terahertz Technology. Appl. Phys. Lett. 2016, 109, 021105. [Google Scholar] [CrossRef]
- Su, K.; Shen, Y.-C.; Zeitler, J.A. Terahertz Sensor for Non-Contact Thickness and Quality Measurement of Automobile Paints of Varying Complexity. IEEE Trans. Terahertz Sci. Technol. 2014, 4, 432–439. [Google Scholar] [CrossRef]
- Yasui, T.; Yasuda, T.; Sawanaka, K.; Araki, T. Terahertz Paintmeter for Noncontact Monitoring of Thickness and Drying Progress in Paint Film. Appl. Opt. 2005, 44, 6849. [Google Scholar] [CrossRef]
- Prahl, S.A.; van Gemert, M.J.C.; Welch, A.J. Determining the Optical Properties of Turbid Media by Using the Adding–Doubling Method. Appl. Opt. 1993, 32, 559. [Google Scholar] [CrossRef] [PubMed]
- Friebel, M.; Helfmann, J.; Netz, U.; Meinke, M. Influence of Oxygen Saturation on the Optical Scattering Properties of Human Red Blood Cells in the Spectral Range 250 to 2000 Nm. J. Biomed. Opt. 2009, 14, 034001. [Google Scholar] [CrossRef] [PubMed]
- Kan, T.; Isozaki, A.; Kanda, N.; Nemoto, N.; Konishi, K.; Takahashi, H.; Kuwata-Gonokami, M.; Matsumoto, K.; Shimoyama, I. Enantiomeric Switching of Chiral Metamaterial for Terahertz Polarization Modulation Employing Vertically Deformable MEMS Spirals. Nat. Commun. 2015, 6, 8422. [Google Scholar] [CrossRef] [PubMed]
- Zhang, S.; Zhou, J.; Park, Y.-S.; Rho, J.; Singh, R.; Nam, S.; Azad, A.K.; Chen, H.-T.; Yin, X.; Taylor, A.J.; et al. Photoinduced Handedness Switching in Terahertz Chiral Metamolecules. Nat. Commun. 2012, 3, 942. [Google Scholar] [CrossRef]
- Bréhat, F.; Wyncke, B. Measurement of the Optical Constants of Crystal Quartz at 10 K and 300 K in the Far Infrared Spectral Range: 10–600 cm−1. Int. J. Infrared Millimeter Waves 1997, 18, 1663–1679. [Google Scholar] [CrossRef]
- Laurent, S.; Dutz, S.; Häfeli, U.O.; Mahmoudi, M. Magnetic Fluid Hyperthermia: Focus on Superparamagnetic Iron Oxide Nanoparticles. Adv. Colloid Interface Sci. 2011, 166, 8–23. [Google Scholar] [CrossRef] [PubMed]
- Huang, L.; Chen, X.; Bai, B.; Tan, Q.; Jin, G.; Zentgraf, T.; Zhang, S. Helicity Dependent Directional Surface Plasmon Polariton Excitation Using a Metasurface with Interfacial Phase Discontinuity. Light Sci. Appl. 2013, 2, e70. [Google Scholar] [CrossRef]
- Ezhov, D.M.; Kochnev, Z.S.; Savelyev, E.S.; Cherepanov, V.N.; Mamrashev, A.A.; Nikolaev, N.A.; Svetlichnyi, V.A. Variable THz Attenuator Based on 5BDSR Microparticles in Synthetic 80W-90 Oil. In Proceedings of the 2020 45th International Conference on Infrared, Millimeter, and Terahertz Waves (IRMMW-THz), Buffalo, NY, USA, 8–13 November 2020; IEEE: Piscataway, NJ, USA, 2020; pp. 1–2. [Google Scholar] [CrossRef]
- Rubinstein, M.; Harris, V.G.; Lubitz, P. Ferromagnetic Resonance in Nanocrystalline Fe73.5CuNb3Si13.5B9 (Finemet). J. Magn. Magn. Mater. 2001, 234, 306–312. [Google Scholar] [CrossRef]
- Svetlichnyi, V.A.; Balashov, V.B.; Lapin, I.N.; Sokolov, A.É.; Cherepanov, V.N. Magnetic Properties of Soft Magnetic Alloys 5BDSR and 82K3HSR. Russ. Phys. J. 2019, 62, 411–415. [Google Scholar] [CrossRef]
- Adbul-Munaim, A.M.; Reuter, M.; Koch, M.; Watson, D.G. Distinguishing Gasoline Engine Oils of Different Viscosities Using Terahertz Time-Domain Spectroscopy. J. Infrared Millim Terahertz Waves 2015, 36, 687–696. [Google Scholar] [CrossRef]
- Abdulmunem, O.M.; Abdul-Munaim, A.M.; Aller, M.M.; Preu, S.; Watson, D.G. THz-TDS for Detecting Glycol Contamination in Engine Oil. Appl. Sci. 2020, 10, 3738. [Google Scholar] [CrossRef]
- Kochnev, Z.S.; Kistenev, Y.V.; Borisov, A.V. Magnetically tunable bandpass filter of terahertz radiation. Russ. Phys. J. 2022, 65, 1667–1675. [Google Scholar] [CrossRef]
- Kontorovich, M.I.; Astrakhan, M.I.; Akimov, V.P.; Fesman, G.A. Electrodynamics of mesh structures; Izdatel’stvo Radio i Sviaz’: Moscow, Russia, 1987; 136p. [Google Scholar]









| Type of Polarizer | Principle of Operation | Advantages | Disadvantages | 
|---|---|---|---|
| Chiral metamaterials | Polarization change by chiral structures through their photoactivation | Polarization rotation angle can be controlled Fast response | Only elliptical polarization is possible at the output | 
| MEMS spirals | Change in THz radiation polarization depending on the direction of spiral twisting | Do not change the intensity of radiation Enantiomeric switching of spirals | Dependence of optical activity on the angle of incidence of THz radiation on the polarizer | 
| Polarizer based on a crystal quartz | Using natural optical birefringence of the crystal quartz | Operation in a wide frequency range | Only mechanical control is possible | 
| Polarizer based on composite membranes | Forming spatial structures of Fe3O4 magnetite nanoparticles in a constant magnetic field during the polymerization of a composite membrane | Simple method of obtaining composite membranes | Low transmittance of THz radiation in the membrane of a large thicknesses Mechanical control | 
| Polarizer based on magnetic fluids | Forming spatial dynamic structures of Fe3O4 particles in an external magnetic field | Large variety of MFs Magnetic field control | Slow response Dependence of the degree of polarization on the room temperature | 
| No. | 2.5 wt.% | 5 wt.% | 10 wt.% | 
|---|---|---|---|
| 1 | 45–50 μm | 45–50 μm | 45–50 μm | 
| 2 | 40–45 μm | 40–45 μm | 40–45 μm | 
| 3 | 35–40 μm | 35–40 μm | 35–40 μm | 
| 4 | 29–35 μm | 29–35 μm | 29–35 μm | 
| 5 | 20–29 μm | 20–29 μm | 20–29 μm | 
| 6 | 10–20 μm | 10–20 μm | 10–20 μm | 
| Disclaimer/Publisher’s Note: The statements, opinions and data contained in all publications are solely those of the individual author(s) and contributor(s) and not of MDPI and/or the editor(s). MDPI and/or the editor(s) disclaim responsibility for any injury to people or property resulting from any ideas, methods, instructions or products referred to in the content. | 
© 2023 by the authors. Licensee MDPI, Basel, Switzerland. This article is an open access article distributed under the terms and conditions of the Creative Commons Attribution (CC BY) license (https://creativecommons.org/licenses/by/4.0/).
Share and Cite
Votintsev, A.P.; Borisov, A.V.; Kochnev, Z.S.; Meglinski, I.; Kistenev, Y.V. A Terahertz Radiation Linear Polarizer Based on Using a Magnetic Fluid in an External Magnetic Field. Photonics 2023, 10, 675. https://doi.org/10.3390/photonics10060675
Votintsev AP, Borisov AV, Kochnev ZS, Meglinski I, Kistenev YV. A Terahertz Radiation Linear Polarizer Based on Using a Magnetic Fluid in an External Magnetic Field. Photonics. 2023; 10(6):675. https://doi.org/10.3390/photonics10060675
Chicago/Turabian StyleVotintsev, Alexey P., Alexey V. Borisov, Zakhar S. Kochnev, Igor Meglinski, and Yury V. Kistenev. 2023. "A Terahertz Radiation Linear Polarizer Based on Using a Magnetic Fluid in an External Magnetic Field" Photonics 10, no. 6: 675. https://doi.org/10.3390/photonics10060675
APA StyleVotintsev, A. P., Borisov, A. V., Kochnev, Z. S., Meglinski, I., & Kistenev, Y. V. (2023). A Terahertz Radiation Linear Polarizer Based on Using a Magnetic Fluid in an External Magnetic Field. Photonics, 10(6), 675. https://doi.org/10.3390/photonics10060675
 
        



 
       