Experimental Study on Chromaticity Control in Visible Light Communication Systems
Abstract
:1. Introduction
2. Theoretical Basis
3. Research on RGB LEDs Dimming
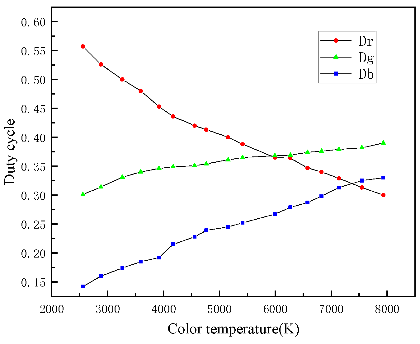
3.1. Dimming Method and Calculation Method
3.2. Simulation Analysis of Dimming
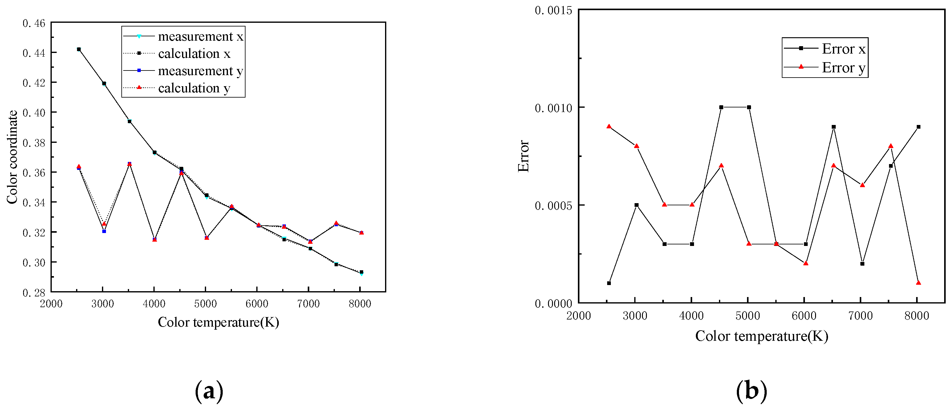
3.3. Dimming Experiment
4. Design and Experiment of RGB LEDs Visible Light Communication System
4.1. System Working Principle and Experimental Device
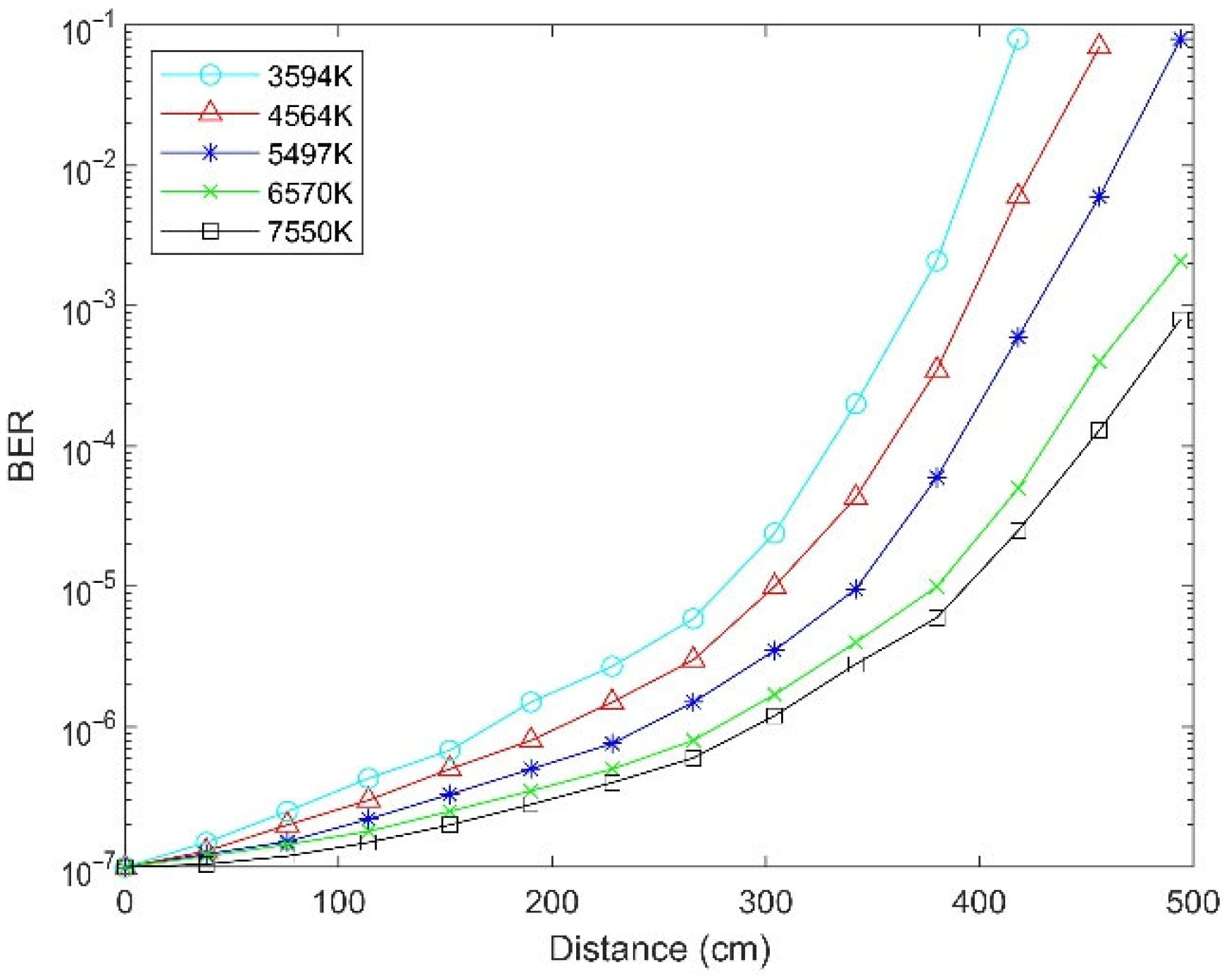
4.2. Analysis of Experimental Results
4.3. Discussion
5. Conclusions
- (1)
- The light source with different color temperatures can be obtained by changing the ratio of red, green, and blue LEDs. The general color index of the light source with a color temperature between 5500 K and 6500 K is the best. The influence of color temperature on the illumination intensity of the receiving surface at the same distance can be ignored; the distance has a significant impact on the illumination of the receiving surface, as the distance increases. The light intensity rapidly decreases.
- (2)
- The optical power under different color temperatures and distances is measured, and it is found that the color temperature has a small impact on the receiving power value, while the distance has a greater impact. With the increase in distance, the optical power value decreases in the exponential decay trend.
- (3)
- Based on communication experiments under different color temperatures, it was concluded that the communication performance of the system is better in the high color temperature range and significantly better than in the low color temperature range. As the distance increases, the communication error rate under different color temperatures continues to increase.
Author Contributions
Funding
Institutional Review Board Statement
Informed Consent Statement
Data Availability Statement
Conflicts of Interest
References
- Favero, F.; Lowden, A.; Bresin, R.; Ejhed, J. Study of the Effects of Daylighting and Artificial Lighting at 59° Latitude on Mental States. Behav. Percept. Sustain. 2023, 15, 1144. [Google Scholar]
- Kakitsuba, N. Comfortable indoor lighting conditions for LEDlights evaluated from psychological and physiological responses. Appl. Ergon. 2020, 82, 102941. [Google Scholar] [CrossRef]
- Cajochen, C.; Freyburger, M.; Basishvili, T. Effect of daylight LED on visual comfort, melatonin, mood, waking performance and sleep. Light. Res. Technol. 2019, 51, 1044–1062. [Google Scholar] [CrossRef]
- Giménez, M.C.; Geerdinck, L.M.; Versteylen, M.; Letters, P.; Meekes, G.J.; Herremans, H.; de Ruyter, B.; Bikker, J.W.; Kuijpers, P.M.; Schlangen, L.J. Patient room lighting influences on sleep, appraisal and mood in hospitalized people. J. Sleep Res. 2017, 26, 236–246. [Google Scholar] [CrossRef] [PubMed]
- Figueiro, M.G.; Steverson, B.; Heerwagen, J.; Kampschroer, K.; Hunter, C.M.; Gonzales, K.; Plitnick, B.; Rea, M.S. The impact of daytime light exposures on sleep and mood in office workers. Sleep Health 2017, 3, 204–215. [Google Scholar] [CrossRef]
- Matheus, L.E.M.; Vieira, A.B.; Vieira, L.F.M. Visible Light Communication: Concepts, Applications and Challenges. IEEE Commun. Surv. Tutor. 2019, 21, 3204–3237. [Google Scholar] [CrossRef]
- Kang, Y.; Ke, X.Z.; Chi, N. Multidimensional coding in visible light communication. China Laser 2015, 42, 138–144. [Google Scholar]
- Zhu, X.; Wang, F.; Shi, M. 10.72 Gb/s visible light communication system based on single packaged RGBYC LED utilizing QAM-DMT modulation with hardware pre-equalization. In Proceedings of the 2018 Optical Fiber Communications Conference and Exposition (OFC), San Diego, CA, USA, 11–15 March 2018; pp. 1–3. [Google Scholar]
- Bian, R.; Tavakkolnia, I.; Haas, H. 10.2 Gb/s visible light communication with off-the-shelf LEDs. In Proceedings of the 2018 European Conference on Optical Communication (ECOC), Rome, Italy, 23–27 September 2018; pp. 1–3. [Google Scholar]
- Bian, R.; Tavakkolnia, I.; Haas, H. 15.73 Gb/s visible light communication with off-the-shelf LEDs. J. Light. Technol. 2019, 37, 2418–2424. [Google Scholar] [CrossRef]
- Hu, F.; Li, G.; Zou, P. 20.09-Gbit/s underwater WDM-VLC transmission based on a single Si/GaAs-substrate multichromatic LED array chip. In Proceedings of the 2020 Optical Fiber Communications Conference and Exhibition (OFC), San Diego, CA, USA, 8–12 March 2020; pp. 1–3. [Google Scholar]
- Qiu, P.; Zhu, S.; Jin, Z. Beyond 25 Gbps optical wireless communication using wavelength division multiplexed LEDs and micro-LEDs. Opt. Lett. 2022, 47, 317–320. [Google Scholar] [CrossRef]
- Zhang, Z.X. Design of Wireless Visible Light Communication Control System Based on LED Lighting. Master’s Thesis, Harbin Institute of Technology, Harbin, China, 2022. [Google Scholar]
- Peng, S.F.; Han, Q.H.; Li, L.H. The effect of LED light source on the secretion of Monocyte chemoattractant factor-1 and Interleukin-8 by human Retinal pigment epithelium cells. New Adv. Ophthalmol. 2016, 36, 201–205. [Google Scholar]
- Wei, S.J.; Nan, L.; Wang, X. Study on the Effect of Danshensu on Light Damage of Human Lens Epithelial Cells Induced by LED Light Source. Chin. J. Pract. Ophthalmol. 2015, 33, 937–942. [Google Scholar]
- Guo, Y.; Zeng, S.S.; Hao, W.T. The effect of LED classroom lighting fixtures on the physiological characteristics of the human eye. J. Light. Eng. 2019, 30, 7–14. [Google Scholar]
- Ohno, Y. Color rendering and luminous efficacy of white LED spectra. Opt. Lett. 2004, 5530, 88–98. [Google Scholar]
- Zhang, X.; Wang, Q.; Li, J. Estimating spectral reflectance from camera responses based on CIE XYZ tristimulus values under multi-illuminants. Color Res. Appl. 2017, 42, 68–77. [Google Scholar] [CrossRef]
- Hu, Y.B.; Zhuang, Q.R.; Liu, S.W. Research on synthetic white light source with high Color index LED. J. Opt. 2016, 36, 216–225. [Google Scholar]
- Chen, J.B.; Yu, J.H.; Gao, Y.F. Research on LED white light source with ultra-high Color index and adjustable color temperature. J. Opt. 2015, 35, 252–258. [Google Scholar]
- Xia, L. Design of Intelligent LED Lighting System. Master’s Thesis, Xidian University, Xi’an, China, 2014. [Google Scholar]
- Li, Y.M.; Tian, D.Z.; Wu, H. Factors affecting the color parameters of LED lighting. Light Source Light. 2018, 3, 18–22. [Google Scholar]
- Xiong, C.Y.; Wu, Y.X.; Li, Y. Application of RGBW four-color LED mixing optimization in solar simulation. J. Photonics 2017, 46, 43–52. [Google Scholar]
- Colaco, A.M.; Kurian, C.P.; Kini, S.G.; Johny, C. Thermal characterization of multicolor LED luminaire. Microelectron. Reliab. 2017, 78, 379–388. [Google Scholar] [CrossRef]
- Xu, D.S.; Chen, X.; Zhu, X.; Zheng, L.H. Adjustable color temperature adjustable lighting source based on cold and warm white LED. J. Opt. 2014, 34, 226–232. [Google Scholar]
- Song, P.C.; Wen, S.S.; Chen, Y.C. Research on Mixing Light Based on RGBW Four Color LED. J. Opt. 2015, 35, 313–321. [Google Scholar]
- Song, P.C.; Wen, S.S.; Shang, J. Dimming and color adjustment method for three primary color LED based on PWM. J. Opt. 2015, 35, 293–300. [Google Scholar]
- Xu, X.; Chen, G.; Gao, Y. Research on Four Primary Color LED Hybrid White Light with Brightness Continuous Adjustable under Different Color Temperature. Imaging Sci. Photochem. 2018, 36, 507–513. [Google Scholar]
- Tian, H.; Liu, J.; Zhen, H. Dimming Method for R/G/B/WW Light Emitting Diode Based on Four Channels’ Pulse Width Modulation. Acta Opt. Sin. 2018, 38, 0423001–0423002. [Google Scholar]





















| LED Type | Chromatic Coordinates | Peak Wavelength (nm) | FWHM (nm) | Luminous Intensity (cd) | Luminous Flux (lm) | 
|---|---|---|---|---|---|
| Red LED | (0.6894, 0.3099) | 630 | 20 | 1.8~2.0 | 67.9 | 
| Green LED | (0.1689, 0.7232) | 520 | 20 | 5.0~6.0 | 178.1 | 
| Blue LED | (0.1434, 0.0416) | 460 | 20 | 1.0~1.5 | 29.0 | 
| RGB Proportion | Measured Color Temperature (K) | Calculate Color Temperature (K) | Color Temperature Difference (K) | 
|---|---|---|---|
| 0.557:0.301:0.142 | 2539 | 2500 | 39 | 
| 0.502:0.280:0.218 | 3030 | 3000 | 30 | 
| 0.476:0.347:0.177 | 3525 | 3500 | 25 | 
| 0.439:0.304:0.257 | 4012 | 4000 | 12 | 
| 0.417:0.370:0.213 | 4532 | 4500 | 32 | 
| 0.405:0.323:0.272 | 5023 | 5000 | 23 | 
| 0.382:0.361:0.257 | 5510 | 5500 | 10 | 
| 0.364:0.356:0.281 | 6032 | 6000 | 32 | 
| 0.347:0.363:0.290 | 6526 | 6500 | 26 | 
| 0.336:0.355:0.308 | 7036 | 7000 | 36 | 
| 0.313:0.382:0.305 | 7540 | 7500 | 40 | 
| 0.302:0.381:0.317 | 8032 | 8000 | 32 | 
| Disclaimer/Publisher’s Note: The statements, opinions and data contained in all publications are solely those of the individual author(s) and contributor(s) and not of MDPI and/or the editor(s). MDPI and/or the editor(s) disclaim responsibility for any injury to people or property resulting from any ideas, methods, instructions or products referred to in the content. | 
© 2023 by the authors. Licensee MDPI, Basel, Switzerland. This article is an open access article distributed under the terms and conditions of the Creative Commons Attribution (CC BY) license (https://creativecommons.org/licenses/by/4.0/).
Share and Cite
Ke, X.; Wang, X.; Qin, H.; Liang, J. Experimental Study on Chromaticity Control in Visible Light Communication Systems. Photonics 2023, 10, 1013. https://doi.org/10.3390/photonics10091013
Ke X, Wang X, Qin H, Liang J. Experimental Study on Chromaticity Control in Visible Light Communication Systems. Photonics. 2023; 10(9):1013. https://doi.org/10.3390/photonics10091013
Chicago/Turabian StyleKe, Xizheng, Xingxing Wang, Huanhuan Qin, and Jingyuan Liang. 2023. "Experimental Study on Chromaticity Control in Visible Light Communication Systems" Photonics 10, no. 9: 1013. https://doi.org/10.3390/photonics10091013
APA StyleKe, X., Wang, X., Qin, H., & Liang, J. (2023). Experimental Study on Chromaticity Control in Visible Light Communication Systems. Photonics, 10(9), 1013. https://doi.org/10.3390/photonics10091013
 
        
 
       