Optical Asymmetric Cryptosystem Based on Dynamic Foveated Imaging and Bidimensional Empirical Mode Decomposition
Abstract
1. Introduction
2. Principle and Methods
2.1. Process of Dynamic Foveated Regions Imaging
2.2. BEMD Process
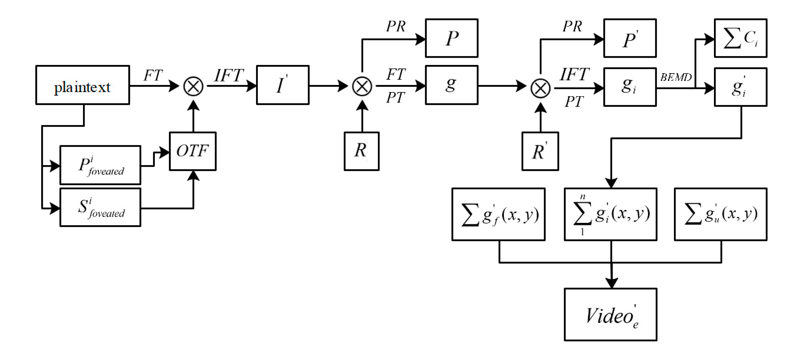
2.3. Encryption Processes of the Proposed Cryptosystem
2.4. Decryption Processes of the Proposed Cryptosystem
3. Results
3.1. Sensitivity of Secret Keys
3.2. Security Analysis
3.3. Robustness Analysis
3.4. Comparison of Attacking a Conventional PTFT Cryptosystem and Proposed Cryptosystems with APRA-Based Attacks
4. Discussion
5. Conclusions
Author Contributions
Funding
Institutional Review Board Statement
Informed Consent Statement
Data Availability Statement
Conflicts of Interest
References
- Matoba, O.; Nomura, T.; Pérez-Cabré, E.; Millán, M.; Javidi, B. Optical Techniques for Information Security. Proc. IEEE 2009, 97, 1128–1148. [Google Scholar] [CrossRef]
- Refregier, P.; Javidi, B. Optical Image Encryption Based on Input Plane and Fourier Plane Random Encoding. Opt. Lett. 1995, 20, 767–769. [Google Scholar] [CrossRef] [PubMed]
- Qin, W.; Peng, X. Asymmetric Cryptosystem Based on Phase-Truncated Fourier Transforms. Opt. Lett. 2010, 35, 118–120. [Google Scholar] [CrossRef] [PubMed]
- Unnikrishnan, G.; Joseph, J.; Singh, K. Optical Encryption by Double-Random Phase Encoding in the Fractional Fourier Domain. Opt. Lett. 2000, 25, 887–889. [Google Scholar] [CrossRef] [PubMed]
- Situ, G.; Zhang, J. Double Random-Phase Encoding in the Fresnel Domain. Opt. Lett. 2004, 29, 1584–1586. [Google Scholar] [CrossRef] [PubMed]
- Zhang, Y.; Zhang, X.; Shan, M.; Zhong, Z.; Liu, B.; Yu, L.; Liu, L. Asymmetric Double-Image Encryption via Wavelength Multiplexing. Appl. Opt. 2022, 61, 1248–1253. [Google Scholar] [CrossRef]
- Huang, Z.-J.; Cheng, S.; Gong, L.-H.; Zhou, N.-R. Nonlinear Optical Multi-Image Encryption Scheme with Two-Dimensional Linear Canonical Transform. Opt. Lasers Eng. 2020, 124, 105821. [Google Scholar] [CrossRef]
- Liu, Z.; Chen, H.; Liu, T.; Li, P.; Dai, J.; Sun, X.; Liu, S. Double-Image Encryption Based on the Affine Transform and the Gyrator Transform. J. Opt. 2010, 12, 035407. [Google Scholar] [CrossRef]
- Yadav, P.L.; Singh, H. Security Enrichment of Optical Image Cryptosystem Based on Superposition Technique Using Fractional Hartley and Gyrator Transform Domains Deploying Equal Modulus Decomposition. Opt. Quant. Electron. 2019, 51, 140. [Google Scholar] [CrossRef]
- Wu, J.; Li, S. Optical Multiple-Image Compression-Encryption via Single-Pixel Radon Transform. Appl. Opt. 2020, 59, 9744–9754. [Google Scholar] [CrossRef] [PubMed]
- Katz, O.; Bromberg, Y.; Silberberg, Y. Compressive Ghost Imaging. Appl. Phys. Lett. 2009, 95, 131110. [Google Scholar] [CrossRef]
- Du, J.; Xiong, Y.; Wu, C.; Quan, C. Optical Image Encryption with High Efficiency Based on Variable-Distance Ghost Imaging. Optik 2022, 252, 168484. [Google Scholar] [CrossRef]
- Yuan, S.; Wang, L.; Liu, X.; Zhou, X. Forgery Attack on Optical Encryption Based on Computational Ghost Imaging. Opt. Lett. 2020, 45, 3917–3920. [Google Scholar] [CrossRef] [PubMed]
- Lee, Y.-T.C.; Fang, Y.-C.; Tien, C.-H. Deep Neural Network for Coded Mask Cryptographical Imaging. Appl. Opt. 2021, 60, 1686–1693. [Google Scholar] [CrossRef] [PubMed]
- Wang, X.; Wang, X.; Wang, W.; Wei, H.; Xu, B.; Dai, C. Holographic and Speckle Encryption Using Deep Learning. Opt. Lett. 2021, 46, 5794–5797. [Google Scholar] [CrossRef] [PubMed]
- Wang, X.; Wang, X.; Wei, H.; Jin, M.; Xu, B.; Chen, J. Experimental Optical Encryption Based on Random Mask Encoding and Deep Learning. Opt. Express 2022, 30, 11165–11173. [Google Scholar] [CrossRef] [PubMed]
- Pan, S.; Liao, M.; He, W.; Zhang, Y.; Peng, X. Untrained Neural Network for Cryptanalysis of a Phase-Truncated-Fourier-Transform-Based Optical Cryptosystem. Opt. Express 2021, 29, 42642. [Google Scholar] [CrossRef]
- Sachin; Kumar, R.; Singh, P. Modified Plaintext Attacks in a Session for an Optical Cryptosystem Based on DRPE with PFS. Appl. Opt. 2022, 61, 623–628. [Google Scholar] [CrossRef]
- Wu, H.; Li, Q.; Meng, X.; Yang, X.; Liu, S.; Yin, Y. Cryptographic Analysis on an Optical Random-Phase-Encoding Cryptosystem for Complex Targets Based on Physics-Informed Learning. Opt. Express 2021, 29, 33558. [Google Scholar] [CrossRef]
- Wang, X.; Zhao, D. A Special Attack on the Asymmetric Cryptosystem Based on Phase-Truncated Fourier Transforms. Opt. Commun. 2012, 285, 1078–1081. [Google Scholar] [CrossRef]
- Wang, Y.; Quan, C.; Tay, C.J. Improved Method of Attack on an Asymmetric Cryptosystem Based on Phase-Truncated Fourier Transform. Appl. Opt. 2015, 54, 6874–6881. [Google Scholar] [CrossRef]
- Dejean, M.; Nourrit, V.; de Bougrenet de la Tocnaye, J.-L. Optical Scrambling System for Document Authentication by Image Decryption. Opt. Lett. 2020, 45, 347–350. [Google Scholar] [CrossRef]
- Shen, Y.; Tang, C.; Zhou, L.; Lei, Z. Optical Single-Channel Cryptosystem Based on the Discrete Wavelet Transform and the Chaotic Standard Map for Multi-Image. Appl. Opt. 2020, 59, 9558–9567. [Google Scholar] [CrossRef] [PubMed]
- Shen, Y.; Tang, C.; Zhou, L.; Lei, Z. Optical Asymmetric Cryptosystem for Multi-Image in Cyan–Magenta–Yellow–Black Color Space. Appl. Opt. 2020, 59, 1854–1863. [Google Scholar] [CrossRef] [PubMed]
- Wu, C.; Chang, J.; Quan, C.; Zhang, Y. Optical Cryptosystem Model Based on the Keyspace Transformation. Opt. Commun. 2020, 462, 125347. [Google Scholar] [CrossRef]
- DhiyaEddine, C.M.; Rachid, H.; Alfalou, A.; Abderezzaq, H.; Badr-Eddine, B. Tailored Dual Polarization Encryption-Coherence Modulation-Based Decryption Scheme for a Predefined Uniformly Distributed Noisy Output Image. Opt. Express 2022, 30, 17400. [Google Scholar] [CrossRef] [PubMed]
- Li, Y.; Wang, T.; Liao, Y.; Li, D.-H.; Li, X. 3D Medical Images Security via Light-Field Imaging. Opt. Lett. 2022, 47, 3535–3538. [Google Scholar] [CrossRef] [PubMed]
- Wang, C.-H.; Hwang, Y.-S.; Wang, H.-C.; Wang, Y.-L.; Tsai, K.-Y. Microstructure Overlapping Image Application with Optical Decryption. J. Opt. Soc. Am. A 2020, 37, 1361–1368. [Google Scholar] [CrossRef]
- Yu, H.; Chang, J.; Liu, X.; Wu, C.; He, Y.; Zhang, Y. Novel Asymmetric Cryptosystem Based on Distorted Wavefront Beam Illumination and Double-Random Phase Encoding. Opt. Express 2017, 25, 8860–8871. [Google Scholar] [CrossRef]
- Cai, J.; Shen, X.; Lei, M.; Lin, C.; Dou, S. Asymmetric Optical Cryptosystem Based on Coherent Superposition and Equal Modulus Decomposition. Opt. Lett. 2015, 40, 475–478. [Google Scholar] [CrossRef]
- Kumar, R.; Bhaduri, B.; Nishchal, N.K. Nonlinear QR Code Based Optical Image Encryption Using Spiral Phase Transform, Equal Modulus Decomposition and Singular Value Decomposition. J. Opt. 2018, 20, 015701. [Google Scholar] [CrossRef]
- Xu, X.; Chang, J.; Wu, C.; Liu, X.; Zhang, X.; Zhang, Y. Influences of Aberrations on Double Random Phase Encoding System. In Proceedings of the Optical Design and Testing X; Wu, R., Matoba, O., Wang, Y., Kidger, T.E., Eds.; SPIE, China, 10 October 2020; SPIE: Bellingham, WA, USA, 2020; p. 5. [Google Scholar]
- Atchison, D.A.; Scott, D.H.; Cox, M.J. Mathematical Treatment of Ocular Aberrations: A User’s Guide. In Proceedings of the Vision Science and its Applications; OSA: Santa Fe, NM, USA, 2000; p. NW2. [Google Scholar]
- Huang, N.E.; Shen, Z.; Long, S.R.; Wu, M.C.; Shih, H.H.; Zheng, Q.; Yen, N.-C.; Tung, C.C.; Liu, H.H. The Empirical Mode Decomposition and the Hilbert Spectrum for Nonlinear and Non-Stationary Time Series Analysis. Proc. R. Soc. Lond. A 1998, 454, 903–995. [Google Scholar] [CrossRef]
- Nunes, J.C.; Niang, O.; Bouaoune, Y.; Delechelle, E.; Bunel, P. Texture Analysis Based on the Bidimensional Empirical Mode Decomposition with Gray-Level Co-Occurrence Models. In Proceedings of the Seventh International Symposium on Signal Processing and Its Applications, Paris, France, 4 July 2003; Volume 2, pp. 633–635. [Google Scholar]
- Nunes, J.C.; Bouaoune, Y.; Delechelle, E.; Niang, O.; Bunel, P. Image Analysis by Bidimensional Empirical Mode Decomposition. Image Vis. Comput. 2003, 21, 1019–1026. [Google Scholar] [CrossRef]
- Mehra, I.; Nishchal, N.K. Optical Asymmetric Image Encryption Using Gyrator Wavelet Transform. Opt. Commun. 2015, 354, 344–352. [Google Scholar] [CrossRef]
- Gonzalez, R.C.; Woods, R.E. Digital Image Processing, 4th ed.; Pearson: Indianapolis, IN, USA, 2017; ISBN 978-0-13-335672-4. [Google Scholar]
- Bovik, A.C. Chapter 3—Basic Gray Level Image Processing. In The Essential Guide to Image Processing; Bovik, A., Ed.; Academic Press: Boston, MA, USA, 2009; pp. 43–68. ISBN 978-0-12-374457-9. [Google Scholar]


















Disclaimer/Publisher’s Note: The statements, opinions and data contained in all publications are solely those of the individual author(s) and contributor(s) and not of MDPI and/or the editor(s). MDPI and/or the editor(s) disclaim responsibility for any injury to people or property resulting from any ideas, methods, instructions or products referred to in the content. |
© 2024 by the authors. Licensee MDPI, Basel, Switzerland. This article is an open access article distributed under the terms and conditions of the Creative Commons Attribution (CC BY) license (https://creativecommons.org/licenses/by/4.0/).
Share and Cite
Wu, Y.; Chang, J.; Ji, Z.; Huang, Y.; Wang, J.; Zhao, S. Optical Asymmetric Cryptosystem Based on Dynamic Foveated Imaging and Bidimensional Empirical Mode Decomposition. Photonics 2024, 11, 105. https://doi.org/10.3390/photonics11020105
Wu Y, Chang J, Ji Z, Huang Y, Wang J, Zhao S. Optical Asymmetric Cryptosystem Based on Dynamic Foveated Imaging and Bidimensional Empirical Mode Decomposition. Photonics. 2024; 11(2):105. https://doi.org/10.3390/photonics11020105
Chicago/Turabian StyleWu, Yunan, Jun Chang, Zhongye Ji, Yi Huang, Junya Wang, and Shangnan Zhao. 2024. "Optical Asymmetric Cryptosystem Based on Dynamic Foveated Imaging and Bidimensional Empirical Mode Decomposition" Photonics 11, no. 2: 105. https://doi.org/10.3390/photonics11020105
APA StyleWu, Y., Chang, J., Ji, Z., Huang, Y., Wang, J., & Zhao, S. (2024). Optical Asymmetric Cryptosystem Based on Dynamic Foveated Imaging and Bidimensional Empirical Mode Decomposition. Photonics, 11(2), 105. https://doi.org/10.3390/photonics11020105
