Modeling Electronic and Optical Properties of InAs/InP Quantum Dots
Abstract
1. Introduction
2. Theoretical Models and Methods
2.1. Modeling of QDs
2.1.1. Calculation of One Particle States
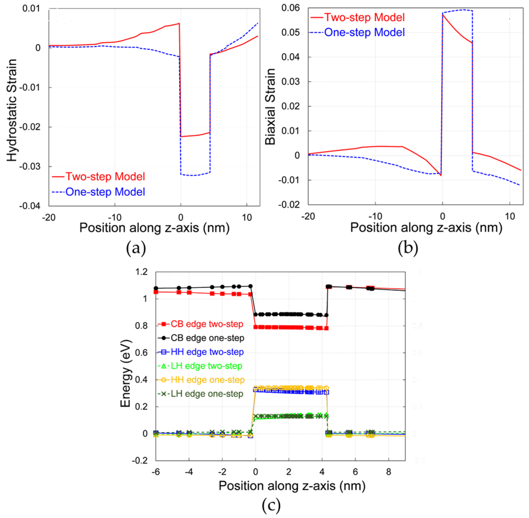
2.1.2. Comparison of Conventional and Two-Step Strain Effects
2.2. Modeling of Carrier Transitions of QDs
3. Results and Discussion
3.1. Intraband Relaxation Impacted by GaAs/GaP Sublayer
3.2. Wavelength Blue-Shifting and Gain Spectral Bandwidth Impacted by GaP Sublayer
3.3. Polarization of QDs
3.4. Two-State Lasing of QD Laser
4. Summary
Author Contributions
Funding
Conflicts of Interest
References
- Wang, Z.M. Self-Assembled Quantum Dots; Springer Science & Business Media: Berlin/Heidelberg, Germany, 2007; ISBN 978-0-387-74191-8. [Google Scholar]
- Nowozin, T. Self-Organized Quantum Dots for Memories: Electronic Properties and Carrier Dynamics; Springer Science & Business Media: Berlin/Heidelberg, Germany, 2013; ISBN 978-3-319-01970-3. [Google Scholar]
- Al-Ahmadi, A. Quantum Dots: A Variety of New Applications; BoD—Books on Demand: Norderstedt, Germany, 2012; ISBN 978-953-51-0483-4. [Google Scholar]
- Kaizu, T.; Kakutani, T.; Akahane, K.; Kita, T. Polarization-Insensitive Fiber-to-Fiber Gain of Semiconductor Optical Amplifier Using Closely Stacked InAs/GaAs Quantum Dots. Jpn. J. Appl. Phys. 2020, 59, 032002. [Google Scholar] [CrossRef]
- Kita, T.; Suwa, M.; Kaizu, T.; Harada, Y. Polarization-Insensitive Optical Gain Characteristics of Highly Stacked InAs/GaAs Quantum Dots. J. Appl. Phys. 2014, 115, 233512. [Google Scholar] [CrossRef]
- Ohtsubo, J. Semiconductor Lasers: Stability, Instability and Chaos; Springer: Berlin/Heidelberg, Germany, 2012; Volume 111. [Google Scholar]
- Grundmann, M. Feasibility of 5 Gbit/s Wavelength Division Multiplexing Using Quantum Dot Lasers. Appl. Phys. Lett. 2000, 77, 4265–4267. [Google Scholar] [CrossRef]
- Poole, P.J.; Kaminska, K.; Barrios, P.; Lu, Z.; Liu, J. Growth of InAs/InP-Based Quantum Dots for 1.55 μm Laser Applications. J. Cryst. Growth 2009, 311, 1482–1486. [Google Scholar] [CrossRef]
- Gong, Q.; Nötzel, R.; van Veldhoven, P.J.; Eijkemans, T.J.; Wolter, J.H. InAs∕InP Quantum Dots Emitting in the 1.55 μm Wavelength Region by Inserting Submonolayer GaP Interlayers. Appl. Phys. Lett. 2004, 85, 1404–1406. [Google Scholar] [CrossRef]
- Zubov, F.I.; Gladii, S.P.; Shernyakov, Y.M.; Maximov, M.V.; Semenova, E.S.; Kulkova, I.V.; Yvind, K.; Zhukov, A.E. 1.5 μm InAs/InGaAsP/InP Quantum Dot Laser with Improved Temperature Stability. J. Phys. Conf. Ser. 2016, 741, 012109. [Google Scholar] [CrossRef]
- Banyoudeh, S.; Abdollahinia, A.; Eyal, O.; Schnabel, F.; Sichkovskyi, V.; Eisenstein, G.; Reithmaier, J.P. High-Speed Directly Modulated 1.5-Um Quantum Dot Lasers. In Proceedings of the Novel In-Plane Semiconductor Lasers XV, San Francisco, CA, USA, 7 March 2016; SPIE: Bellingham, WA, USA, 2016; Volume 9767, pp. 81–86. [Google Scholar]
- Kawaguchi, K.; Ekawa, M.; Kuramata, A.; Akiyama, T.; Ebe, H.; Sugawara, M.; Arakawa, Y. Fabrication of InAs Quantum Dots on InP(100) by Metalorganic Vapor-Phase Epitaxy for 1.55 Μm Optical Device Applications. Appl. Phys. Lett. 2004, 85, 4331–4333. [Google Scholar] [CrossRef]
- Ustinov, V.M. Quantum Dot Lasers; Oxford University Press: Oxford, UK, 2003; ISBN 978-0-19-852679-7. [Google Scholar]
- Semenova, E.S.; Kulkova, I.V.; Kadkhodazadeh, S.; Barettin, D.; Kopylov, O.; Cagliani, A.; Almdal, K.; Willatzen, M.; Yvind, K. Epitaxial Growth of Quantum Dots on InP for Device Applications Operating in the 1.55 Μm Wavelength Range. In Proceedings of the Quantum Dots and Nanostructures: Synthesis, Characterization, and Modeling XI, San Francisco, CA, USA, 19 February 2014; SPIE: Bellingham, WA, USA, 2014; Volume 8996, pp. 9–17. [Google Scholar]
- Jayavel, P.; Tanaka, H.; Kita, T.; Wada, O.; Ebe, H.; Sugawara, M.; Tatebayashi, J.; Arakawa, Y.; Nakata, Y.; Akiyama, T. Control of Optical Polarization Anisotropy in Edge Emitting Luminescence of InAs/GaAs Self-Assembled Quantum Dots. Appl. Phys. Lett. 2004, 84, 1820–1822. [Google Scholar] [CrossRef]
- Tasco, V.; Usman, M.; Todaro, M.T.; De Giorgi, M.; Passaseo, A. Understanding Polarization Properties of InAs Quantum Dots by Atomistic Modeling of Growth Dynamics. AIP Conf. Proc. 2013, 1566, 15–16. [Google Scholar] [CrossRef]
- Usman, M.; Tasco, V.; Todaro, M.T.; Giorgi, M.D.; O’Reilly, E.P.; Klimeck, G.; Passaseo, A. The Polarization Response in InAs Quantum Dots: Theoretical Correlation between Composition and Electronic Properties. Nanotechnology 2012, 23, 165202. [Google Scholar] [CrossRef]
- Cornet, C.; Schliwa, A.; Even, J.; Doré, F.; Celebi, C.; Létoublon, A.; Macé, E.; Paranthoën, C.; Simon, A.; Koenraad, P.M.; et al. Electronic and Optical Properties of InAs/InP Quantum Dots on InP(100) and InP(311)B Substrates: Theory and Experiment. Phys. Rev. B 2006, 74, 035312. [Google Scholar] [CrossRef]
- Elias, G.; Létoublon, A.; Piron, R.; Alghoraibi, I.; Nakkar, A.; Chevalier, N.; Tavernier, K.; Corre, A.L.; Bertru, N.; Loualiche, S. Achievement of High Density InAs/GaInAsP Quantum Dots on Misoriented InP(001) Substrates Emitting at 1.55 Μm. Jpn. J. Appl. Phys. 2009, 48, 070204. [Google Scholar] [CrossRef]
- Zieliński, M. Valence Band Offset, Strain and Shape Effects on Confined States in Self-Assembled InAs/InP and InAs/GaAs Quantum Dots. J. Phys. Condens. Matter. 2013, 25, 465301. [Google Scholar] [CrossRef]
- Ulloa, J.M.; Koenraad, P.M.; Gapihan, E.; Létoublon, A.; Bertru, N. Double Capping of Molecular Beam Epitaxy Grown InAs∕InP Quantum Dots Studied by Cross-Sectional Scanning Tunneling Microscopy. Appl. Phys. Lett. 2007, 91, 073106. [Google Scholar] [CrossRef]
- Nötzel, R.; Anantathanasarn, S.; van Veldhoven, R.P.J.; van Otten, F.W.M.; Eijkemans, T.J.; Trampert, A.; Satpati, B.; Barbarin, Y.; Bente, E.A.J.M.; Oei, Y.-S.; et al. Self Assembled InAs/InP Quantum Dots for Telecom Applications in the 1.55 Μm Wavelength Range: Wavelength Tuning, Stacking, Polarization Control, and Lasing. Jpn. J. Appl. Phys. 2006, 45, 6544. [Google Scholar] [CrossRef]
- Kita, T.; Tamura, N.; Wada, O.; Sugawara, M.; Nakata, Y.; Ebe, H.; Arakawa, Y. Artificial control of optical gain polarization by stacking quantum dot layers. Appl. Phys. Lett. 2006, 88, 211106. [Google Scholar] [CrossRef]
- Inoue, T.; Asada, M.; Yasuoka, N.; Kojima, O.; Kita, T.; Wada, O. Polarization Control of Electroluminescence from Vertically Stacked InAs/GaAs Quantum Dots. Appl. Phys. Lett. 2010, 96, 211906. [Google Scholar] [CrossRef]
- Ridha, P.; Li, L.; Rossetti, M.; Patriarche, G.; Fiore, A. Polarization Dependence of Electroluminescence from Closely-Stacked and Columnar Quantum Dots. Opt. Quantum Electron. 2008, 40, 239–248. [Google Scholar] [CrossRef]
- Fu, Y. Physical Models of Semiconductor Quantum Devices; Springer: Dordrecht, The Netherlands, 2014; ISBN 978-94-007-7173-4. [Google Scholar]
- Ferreira, R.; Bastard, G. Capture and Relaxation in Self-Assembled Semiconductor Quantum Dots: The Dot and Its Environment; Morgan & Claypool Publishers: San Rafael, CA, USA, 2016. [Google Scholar]
- Sólyom, J. Fundamentals of the Physics of Solids; Springer: Berlin/Heidelberg, Germany, 2007; ISBN 978-3-540-72599-2. [Google Scholar]
- O’Reilly, E. Quantum Theory of Solids; CRC Press: Boca Raton, FL, USA, 2017; ISBN 978-1-4822-9533-7. [Google Scholar]
- Slater, J.C.; Koster, G.F. Simplified LCAO Method for the Periodic Potential Problem. Phys. Rev. 1954, 94, 1498–1524. [Google Scholar] [CrossRef]
- Chadi, D.J.; Cohen, M.L. Analytic Expression for the Electronic Charge Density Distribution in Diamond-Structure Crystals. Phys. Status Solidi (B) 1974, 62, 235–248. [Google Scholar] [CrossRef]
- Mittelstädt, A.; Schliwa, A.; Klenovský, P. Modeling Electronic and Optical Properties of III–V Quantum Dots—Selected Recent Developments. Light Sci. Appl. 2022, 11, 17. [Google Scholar] [CrossRef] [PubMed]
- Klimeck, G.; Ahmed, S.S.; Bae, H.; Kharche, N.; Clark, S.; Haley, B.; Sunhee, L.; Naumov, M.; Hoon, R.; Saied, F.; et al. Atomistic Simulation of Realistically Sized Nanodevices Using NEMO 3-D—Part I: Models and Benchmarks. IEEE Trans. Electron Devices 2007, 54, 2079–2089. [Google Scholar] [CrossRef]
- Klimeck, G.; Ahmed, S.S.; Kharche, N.; Korkusinski, M.; Usman, M.; Prada, M.; Boykin, T.B. Atomistic Simulation of Realistically Sized Nanodevices Using NEMO 3-D—Part II: Applications. IEEE Trans. Electron Devices 2007, 54, 2090–2099. [Google Scholar] [CrossRef]
- Zieliński, M.; Korkusiński, M.; Hawrylak, P. Atomistic Tight-Binding Theory of Multiexciton Complexes in a Self-Assembled InAs Quantum Dot. Phys. Rev. B 2010, 81, 085301. [Google Scholar] [CrossRef]
- Bahder, T.B. Eight-Band K·p Model of Strained Zinc-Blende Crystals. Phys. Rev. B 1990, 41, 11992–12001. [Google Scholar] [CrossRef] [PubMed]
- Stier, O.; Grundmann, M.; Bimberg, D. Electronic and Optical Properties of Strained Quantum Dots Modeled by 8-Band K·p Theory. Phys. Rev. B 1999, 59, 5688. [Google Scholar] [CrossRef]
- Xiong, Y.; Zhang, X. An Accurate Method of Modeling Self-Assembled InAs/InGaAsP/InP (001) Quantum Dot with Double-Capping Procedure. IEEE J. Quantum Electron. 2017, 53, 2000611. [Google Scholar] [CrossRef]
- Balzarotti, A. The Evolution of Self-Assembled InAs/GaAs(001) Quantum Dots Grown by Growth-Interrupted Molecular Beam Epitaxy. Nanotechnology 2008, 19, 505701. [Google Scholar] [CrossRef] [PubMed][Green Version]
- Poole, P.J.; Lu, Z.; Liu, J.; Barrios, P.; Mao, Y.; Liu, G. A Performance Comparison Between Quantum Dash and Quantum Well Fabry-Pérot Lasers. IEEE J. Quantum Electron. 2021, 57, 2500207. [Google Scholar] [CrossRef]
- Salhi, A.; Fortunato, L.; Martiradonna, L.; Cingolani, R.; De Vittorio, M.; Passaseo, A. Enhanced Modal Gain of Multilayer InAs∕InGaAs∕GaAs Quantum Dot Lasers Emitting at 1300nm. J. Appl. Phys. 2006, 100, 123111. [Google Scholar] [CrossRef]
- Chen, G.; Huang, F.; Zhang, X. Vertical Coupling Effect on Gain Bandwidth of Chirped InAs/InP Quantum Dot Structures. IEEE J. Quantum Electron. 2024, 60, 2000309. [Google Scholar] [CrossRef]
- Greif, L.A.T.; Jagsch, S.T.; Wagner, M.R.; Schliwa, A. Tuning the Emission Directionality of Stacked Quantum Dots. ACS Photonics 2018, 5, 4838–4845. [Google Scholar] [CrossRef]
- Miska, P.; Even, J.; Dehaese, O.; Marie, X. Carrier Relaxation Dynamics in InAs∕InP Quantum Dots. Appl. Phys. Lett. 2008, 92, 191103. [Google Scholar] [CrossRef]
- Narvaez, G.A.; Bester, G.; Zunger, A. Carrier Relaxation Mechanisms in Self-Assembled (In, Ga) As∕Ga As Quantum Dots: Efficient P → S Auger Relaxation of Electrons. Phys. Rev. B 2006, 74, 075403. [Google Scholar] [CrossRef]
- Zhou, X.L.; Chen, Y.H.; Zhang, H.Y.; Zhou, G.Y.; Li, T.F.; Liu, J.Q.; Ye, X.L.; Xu, B.; Wang, Z.G. Carrier Tunneling Effects on the Temperature Dependent Photoluminescence of InAs/GaAs Quantum Dot: Simulation and Experiment. J. Appl. Phys. 2011, 109, 083501. [Google Scholar] [CrossRef]
- Su, H.; Lester, L.F. Dynamic Properties of Quantum Dot Distributed Feedback Lasers: High Speed, Linewidth and Chirp. J. Phys. D Appl. Phys. 2005, 38, 2112. [Google Scholar] [CrossRef][Green Version]
- Liao, P.F.; Kelley, P. Quantum Well Lasers; Elsevier: Amsterdam, The Netherlands, 2012; ISBN 978-0-08-051558-8. [Google Scholar]
- Blood, P. Quantum Confined Laser Devices: Optical Gain and Recombination in Semiconductors; OUP Oxford: Oxford, UK, 2015; ISBN 978-0-19-106465-4. [Google Scholar]
- Tong, C.Z.; Yoon, S.F.; Ngo, C.Y.; Liu, C.Y.; Loke, W.K. Rate Equations for 1.3 µm Dots-Under-a-Well and Dots-in-a-Well Self-Assembled InAs–GaAs Quantum-Dot Lasers. IEEE J. Quantum Electron. 2006, 42, 1175–1183. [Google Scholar] [CrossRef]
- Tong, C.; Xu, D.; Yoon, S.F. Carrier Relaxation and Modulation Response of 1.3-Μm InAs–GaAs Quantum Dot Lasers. J. Light. Technol. 2009, 27, 5442–5450. [Google Scholar] [CrossRef]
- Duan, J.; Wang, X.-G.; Zhou, Y.-G.; Wang, C.; Grillot, F. Carrier-Noise-Enhanced Relative Intensity Noise of Quantum Dot Lasers. IEEE J. Quantum Electron. 2018, 54, 2001407. [Google Scholar] [CrossRef]
- Sanaee, M.; Zarifkar, A. Effect of Carrier Transition Mechanisms and Gain Compression on Relative Intensity Noise of 1.55 Μm QD Lasers. Opt. Commun. 2015, 353, 42–48. [Google Scholar] [CrossRef]
- Sanaee, M.; Zarifkar, A.; Sheikhi, M.H. Frequency Noise Analysis of 1.55 Μm Indium Arsenide/Indium Phosphide Quantum Dot Lasers: Impact of Non-Linear Gain and Direct Carrier Transition. IET Optoelectron. 2016, 10, 134–141. [Google Scholar] [CrossRef]
- Sakamoto, A.; Sugawara, M. Theoretical Calculation of Lasing Spectra of Quantum-Dot Lasers: Effect of Homogeneous Broadening of Optical Gain. IEEE Photonics Technol. Lett. 2000, 12, 107–109. [Google Scholar] [CrossRef]
- Yavari, M.H.; Ahmadi, V. Effects of Carrier Relaxation and Homogeneous Broadening on Dynamic and Modulation Behavior of Self-Assembled Quantum-Dot Laser. IEEE J. Sel. Top. Quantum Electron. 2011, 17, 1153–1157. [Google Scholar] [CrossRef]
- Bardella, P.; Rossetti, M.; Montrosset, I. Modeling of Broadband Chirped Quantum-Dot Super-Luminescent Diodes. IEEE J. Sel. Top. Quantum Electron. 2009, 15, 785–791. [Google Scholar] [CrossRef]
- Kurzmann, A.; Ludwig, A.; Wieck, A.D.; Lorke, A.; Geller, M. Auger Recombination in Self-Assembled Quantum Dots: Quenching and Broadening of the Charged Exciton Transition. Nano Lett. 2016, 16, 3367–3372. [Google Scholar] [CrossRef] [PubMed]
- Malic, E.; Bormann, M.J.P.; Hovel, P.; Kuntz, M.; Bimberg, D.; Knorr, A.; Scholl, E. Coulomb Damped Relaxation Oscillations in Semiconductor Quantum Dot Lasers. IEEE J. Sel. Top. Quantum Electron. 2007, 13, 1242–1248. [Google Scholar] [CrossRef]
- Khanonkin, I.; Bauer, S.; Mikhelashvili, V.; Eyal, O.; Lorke, M.; Jahnke, F.; Reithmaier, J.P.; Eisenstein, G. On the Principle Operation of Tunneling Injection Quantum Dot Lasers. Prog. Quantum Electron. 2022, 81, 100362. [Google Scholar] [CrossRef]
- Goldmann, E. From Structure to Spectra: Tight-Binding Theory of InGaAs Quantum Dots. Doctoral Dissertation, Universität Bremen, Bremen, Germany, 2014. [Google Scholar]
- Zieliński, M. Including Strain in Atomistic Tight-Binding Hamiltonians: An Application to Self-Assembled InAs/GaAs and InAs/InP Quantum Dots. Phys. Rev. B 2012, 86, 115424. [Google Scholar] [CrossRef]
- Santoprete, R.; Koiller, B.; Capaz, R.B.; Kratzer, P.; Liu, Q.K.K.; Scheffler, M. Tight-Binding Study of the Influence of the Strain on the Electronic Properties of InAs/GaAs Quantum Dots. Phys. Rev. B 2003, 68, 235311. [Google Scholar] [CrossRef]
- Jiang, H.; Singh, J. Self-Assembled Semiconductor Structures: Electronic and Optoelectronic Properties. IEEE J. Quantum Electron. 1998, 34, 1188–1196. [Google Scholar] [CrossRef]
- Beya-Wakata, A.; Prodhomme, P.-Y.; Bester, G. First- and Second-Order Piezoelectricity in III-V Semiconductors. Phys. Rev. B 2011, 84, 195207. [Google Scholar] [CrossRef]
- Luo, S.; Ji, H.-M.; Yang, X.-G.; Yang, T. Impact of Double-Cap Procedure on the Characteristics of InAs/InGaAsP/InP Quantum Dots Grown by Metal-Organic Chemical Vapor Deposition. J. Cryst. Growth 2013, 375, 100–103. [Google Scholar] [CrossRef]
- Shi, B.; Lau, K.M. Enhanced Optical Properties of InAs/InAlGaAs/InP Quantum Dots Grown by Metal-Organic Chemical Vapor Deposition Using a Double-Cap Technique. J. Cryst. Growth 2016, 433, 19–23. [Google Scholar] [CrossRef]
- Gao, F.; Luo, S.; Ji, H.-M.; Xu, F.; Lv, Z.-R.; Yang, X.-G.; Liang, P.; Yang, T. Flat-Topped Ultrabroad Stimulated Emission from Chirped InAs/InP Quantum Dot Laser with Spectral Width of 92 Nm. Appl. Phys. Lett. 2016, 108, 201107. [Google Scholar] [CrossRef]
- Akahane, K.; Yamamoto, N.; Kawanishi, T. Fabrication of Ultra-High-Density InAs Quantum Dots Using the Strain-Compensation Technique. Phys. Status Solidi (A) 2011, 208, 425–428. [Google Scholar] [CrossRef]
- Kayhani, K.; Rajaei, E. Investigation of Dynamical Characteristics and Modulation Response Function of InAs/InP (311)B Quantum Dot Lasers with Different QD Size. Photonics Nanostructures Fundam. Appl. 2017, 25, 1–8. [Google Scholar] [CrossRef]
- Bimberg, D. Semiconductor Nanostructures; Springer Science & Business Media: Berlin/Heidelberg, Germany, 2008. [Google Scholar]
- Vurgaftman, I.; Meyer, J.R.; Ram-Mohan, L.R. Band Parameters for III–V Compound Semiconductors and Their Alloys. J. Appl. Phys. 2001, 89, 5815–5875. [Google Scholar] [CrossRef]
- Ouerghui, W.; Melliti, A.; Maaref, M.A.; Bloch, J. Dependence on Temperature of Homogeneous Broadening of InGaAs/InAs/GaAs Quantum Dot Fundamental Transitions. Phys. E Low-Dimens. Syst. Nanostructures 2005, 28, 519–524. [Google Scholar] [CrossRef]
- Ouattara, L.; Mikkelsen, A.; Lundgren, E.; Borgström, M.; Samuelson, L.; Seifert, W. Stacked InAs Quantum Dots in InP Studied by Cross-Sectional Scanning Tunnelling Microscopy. Nanotechnology 2004, 15, 1701. [Google Scholar] [CrossRef]
- Huang, F.; Xiong, Y.; Zhang, X. Self-Assembled InAs/InGaAsP/InP Quantum Dots: Intraband Relaxation Impacted by Ultrathin GaP Sublayer. J. Appl. Phys. 2020, 127, 125702. [Google Scholar] [CrossRef]
- Anantathanasarn, S.; Nötzel, R.; van Veldhoven, P.J.; van Otten, F.W.M.; Barbarin, Y.; Servanton, G.; de Vries, T.; Smalbrugge, E.; Geluk, E.J.; Eijkemans, T.J.; et al. Lasing of Wavelength-Tunable (1.55 μm Region) InAs/InGaAsP/InP (100) Quantum Dots Grown by Metal Organic Vapor-Phase Epitaxy. Appl. Phys. Lett. 2006, 89, 073115. [Google Scholar] [CrossRef]
- Anantathanasarn, S.; Nötzel, R.; van Veldhoven, P.J.; van Otten, F.W.M.; Eijkemans, T.J.; Barbarin, Y.; de Vries, T.; Smalbrugge, E.; Geluk, E.J.; Bente, E.A.J.M.; et al. Stacking, Polarization Control, and Lasing of Wavelength Tunable (1.55 μm Region) InAs/InGaAsP/InP (100) Quantum Dots. J. Cryst. Growth 2007, 298, 553–557. [Google Scholar] [CrossRef]
- Xiong, Y.; Zhang, X. InAs/InP Quantum Dots Stacking: Impact of Spacer Layer on Optical Properties. J. Appl. Phys. 2019, 125, 093103. [Google Scholar] [CrossRef]
- Xiong, Y.; Zhang, X. Wavelength Blue-Shifting and Gain Spectral Bandwidth of InAs/InP Quantum Dots for Laser Applications Around 1.55 μm. IEEE J. Quantum Electron. 2018, 54, 2000109. [Google Scholar] [CrossRef]
- Huang, F.; Zhang, X. Impact of Excited States Transitions on Polarization Property of InAs/InP Quantum Dots. IEEE J. Quantum Electron. 2022, 58, 7100109. [Google Scholar] [CrossRef]
- Cooper, D.; Rouviere, J.-L.; Béché, A.; Kadkhodazadeh, S.; Semenova, E.S.; Yvind, K.; Dunin-Borkowski, R. Quantitative Strain Mapping of InAs/InP Quantum Dots with 1 Nm Spatial Resolution Using Dark Field Electron Holography. Appl. Phys. Lett. 2011, 99, 261911. [Google Scholar] [CrossRef]
- Heidemeyer, H.; Kiravittaya, S.; Müller, C.; Jin-Phillipp, N.Y.; Schmidt, O.G. Closely Stacked InAs/GaAs Quantum Dots Grown at Low Growth Rate. Appl. Phys. Lett. 2002, 80, 1544–1546. [Google Scholar] [CrossRef]
- Adhikary, S.; Halder, N.; Chakrabarti, S.; Majumdar, S.; Ray, S.K.; Herrera, M.; Bonds, M.; Browning, N.D. Investigation of Strain in Self-Assembled Multilayer InAs/GaAs Quantum Dot Heterostructures. J. Cryst. Growth 2010, 312, 724–729. [Google Scholar] [CrossRef]
- Andrzejewski, J.; Sęk, G.; O’Reilly, E.; Fiore, A.; Misiewicz, J. Eight-Band K·p Calculations of the Composition Contrast Effect on the Linear Polarization Properties of Columnar Quantum Dots. J. Appl. Phys. 2010, 107, 073509. [Google Scholar] [CrossRef]
- Jiang, H.; Singh, J. Radiative and Non-Radiative Inter-Subband Transition in Self Assembled Quantum Dots. Phys. E Low-Dimens. Syst. Nanostruct. 1998, 2, 720–724. [Google Scholar] [CrossRef]
- Liu, A.Y.; Srinivasan, S.; Norman, J.; Gossard, A.C.; Bowers, J.E. Quantum Dot Lasers for Silicon Photonics. Photonics Res. 2015, 3, B1–B9. [Google Scholar] [CrossRef]
- Inamuddin; Rangreez, T.A.; Ahmer, M.F.; Boddula, R. Quantum Dots: Properties and Applications; Materials Research Forum LLC: Millersville, PA, USA, 2021; ISBN 978-1-64490-125-0. [Google Scholar]
- Loss, D.; DiVincenzo, D.P. Quantum Computation with Quantum Dots. Phys. Rev. A 1998, 57, 120–126. [Google Scholar] [CrossRef]
- Harada, Y.; Maeda, T.; Kita, T. Intraband Carrier Dynamics in InAs/GaAs Quantum Dots Stimulated by Bound-to-Continuum Excitation. J. Appl. Phys. 2013, 113, 223511. [Google Scholar] [CrossRef]
- Zeb, K.; Lu, Z.; Liu, J.; Mao, Y.; Liu, G.; Poole, P.J.; Rahim, M.; Pakulski, G.; Barrios, P.; Vachon, M.; et al. Broadband Optical Heterodyne Millimeter-Wave-over-Fiber Wireless Links Based on a Quantum Dash Dual-Wavelength DFB Laser. J. Light. Technol. 2022, 40, 3698–3708. [Google Scholar] [CrossRef]
- Vasilevskiy, M.I.; Anda, E.V.; Makler, S.S. Electron-Phonon Interaction Effects in Semiconductor Quantum Dots: A Nonperturabative Approach. Phys. Rev. B 2004, 70, 035318. [Google Scholar] [CrossRef]
- Turkov, V.K.; Kruchinin, S.Y.; Fedorov, A.V. Intraband Optical Transitions in Semiconductor Quantum Dots: Radiative Electronic-Excitation Lifetime. Opt. Spectrosc. 2011, 110, 740–747. [Google Scholar] [CrossRef]
- El-Ballouli, A.O.; Alarousu, E.; Usman, A.; Pan, J.; Bakr, O.M.; Mohammed, O.F. Real-Time Observation of Ultrafast Intraband Relaxation and Exciton Multiplication in PbS Quantum Dots. ACS Photonics 2014, 1, 285–292. [Google Scholar] [CrossRef]
- Planelles, J.; Achtstein, A.W.; Scott, R.; Owschimikow, N.; Woggon, U.; Climente, J.I. Tuning Intraband and Interband Transition Rates via Excitonic Correlation in Low-Dimensional Semiconductors. ACS Photonics 2018, 5, 3680–3688. [Google Scholar] [CrossRef]
- Inoshita, T.; Sakaki, H. Electron Relaxation in a Quantum Dot: Significance of Multiphonon Processes. Phys. Rev. B 1992, 46, 7260–7263. [Google Scholar] [CrossRef]
- Kang, K.I.; McGinnis, B.P.; Sandalphon; Hu, Y.Z.; Koch, S.W.; Peyghambarian, N.; Mysyrowicz, A.; Liu, L.C.; Risbud, S.H. Confinement-Induced Valence-Band Mixing in CdS Quantum Dots Observed by Two-Photon Spectroscopy. Phys. Rev. B 1992, 45, 3465–3468. [Google Scholar] [CrossRef]
- Dumont, M.; Liu, S.; Kennedy, M.J.; Bowers, J. High-Efficiency Quantum Dot Lasers as Comb Sources for DWDM Applications. Appl. Sci. 2022, 12, 1836. [Google Scholar] [CrossRef]
- Lu, Z.G.; Poole, P.J.; Liu, J.R.; Barrios, P.J.; Jiao, Z.J.; Pakulski, G.; Poitras, D.; Goodchild, D.; Rioux, B.; SpringThorpe, A.J. High-Performance 1.52 Μm InAs/InP Quantum Dot Distributed Feedback Laser. Electron. Lett. 2011, 47, 818–819. [Google Scholar] [CrossRef]
- Semenova, E.S.; Kulkova, I.V.; Kadkhodazadeh, S.; Schubert, M.; Yvind, K. Metal Organic Vapor-Phase Epitaxy of InAs/InGaAsP Quantum Dots for Laser Applications at 1.5 Μm. Appl. Phys. Lett. 2011, 99, 101106. [Google Scholar] [CrossRef]
- Gong, Q.; Nötzel, R.; van Veldhoven, P.J.; Wolter, J.H. InAs/InP Quantum Dots Emitting in the 1.55μm Wavelength Region by Inserting Ultrathin GaAs and GaP Interlayers. J. Cryst. Growth 2005, 278, 67–71. [Google Scholar] [CrossRef]
- Gao, F.; Luo, S.; Ji, H.M.; Yang, X.G.; Liang, P.; Yang, T. Broadband Tunable InAs/InP Quantum Dot External-Cavity Laser Emitting around 1.55 Μm. Opt. Express 2015, 23, 18493–18500. [Google Scholar] [CrossRef] [PubMed]
- Yao, R.; Weir, N.; Lee, C.-S.; Guo, W. Broadband Chirped InAs Quantum-Dot Superluminescent Light-Emitting Diodes With InxAl1-xAs Strain-Reducing Layers. IEEE Photonics J. 2016, 8, 1601007. [Google Scholar] [CrossRef]
- Usman, M.; Inoue, T.; Harda, Y.; Klimeck, G.; Kita, T. Experimental and Atomistic Theoretical Study of Degree of Polarization from Multilayer InAs/GaAs Quantum Dot Stacks. Phys. Rev. B 2011, 84, 115321. [Google Scholar] [CrossRef]
- Tasco, V.; Usman, M.; Giorgi, M.D.; Passaseo, A. Tuning of Polarization Sensitivity in Closely Stacked Trilayer InAs/GaAs Quantum Dots Induced by Overgrowth Dynamics. Nanotechnology 2014, 25, 055207. [Google Scholar] [CrossRef][Green Version]
- Usman, M.; Heck, S.; Clarke, E.; Spencer, P.; Ryu, H.; Murray, R.; Klimeck, G. Experimental and Theoretical Study of Polarization-Dependent Optical Transitions in InAs Quantum Dots at Telecommunication-Wavelengths (1300–1500 Nm). J. Appl. Phys. 2011, 109, 104510. [Google Scholar] [CrossRef]
- Kotani, T.; Lugli, P.; Hamaguchi, C. Carrier Density Dependences of Anisotropic Optical Properties in Closely Stacked InAs/GaAs One-Dimensional Quantum Dot Superlattices. Appl. Phys. Lett. 2013, 103, 031110. [Google Scholar] [CrossRef]
- Markus, A.; Chen, J.X.; Paranthoën, C.; Fiore, A.; Platz, C.; Gauthier-Lafaye, O. Simultaneous Two-State Lasing in Quantum-Dot Lasers. Appl. Phys. Lett. 2003, 82, 1818–1820. [Google Scholar] [CrossRef]
- Gioannini, M.; Dommermuth, M.; Drzewietzki, L.; Krestnikov, I.; Livshits, D.; Krakowski, M.; Breuer, S. Two-State Semiconductor Laser Self-Mixing Velocimetry Exploiting Coupled Quantum-Dot Emission-States: Experiment, Simulation and Theory. Opt. Express 2014, 22, 23402–23414. [Google Scholar] [CrossRef] [PubMed]
- Arsenijević, D.; Schliwa, A.; Schmeckebier, H.; Stubenrauch, M.; Spiegelberg, M.; Bimberg, D.; Mikhelashvili, V.; Eisenstein, G. Comparison of Dynamic Properties of Ground- and Excited-State Emission in p-Doped InAs/GaAs Quantum-Dot Lasers. Appl. Phys. Lett. 2014, 104, 181101. [Google Scholar] [CrossRef]
- Dehghaninejad, A.; Sheikhey, M.M.; Baghban, H. Dynamic Behavior of Injection-Locked Two-State Quantum Dot Lasers. J. Opt. Soc. Am. B 2019, 36, 1518–1524. [Google Scholar] [CrossRef]
- Meinecke, S.; Lingnau, B.; Röhm, A.; Lüdge, K. Stability of Optically Injected Two-State Quantum-Dot Lasers. Ann. Der Phys. 2017, 529, 1600279. [Google Scholar] [CrossRef]
- Pawlus, R.; Columbo, L.L.; Bardella, P.; Breuer, S.; Gioannini, M. Intensity Noise Behavior of an InAs/InGaAs Quantum Dot Laser Emitting on Ground States and Excited States. Opt. Lett. 2018, 43, 867–870. [Google Scholar] [CrossRef] [PubMed]
- Breuer, S.; Rossetti, M.; Drzewietzki, L.; Bardella, P.; Montrosset, I.; Elsasser, W. Joint Experimental and Theoretical Investigations of Two-State Mode Locking in a Strongly Chirped Reverse-Biased Monolithic Quantum Dot Laser. IEEE J. Quantum Electron. 2011, 47, 1320–1329. [Google Scholar] [CrossRef]
- Platz, C.; Paranthoën, C.; Caroff, P.; Bertru, N.; Labbé, C.; Even, J.; Dehaese, O.; Folliot, H.; Corre, A.L.; Loualiche, S.; et al. Comparison of InAs Quantum Dot Lasers Emitting at 1.55 Μm under Optical and Electrical Injection. Semicond. Sci. Technol. 2005, 20, 459. [Google Scholar] [CrossRef]
- Shetty, S.; Adhikary, S.; Tongbram, B.; Ahmad, A.; Ghadi, H.; Chakrabarti, S. The Optical Properties of Strain-Coupled InAs/GaAs Quantum-Dot Heterostructures with Varying Thicknesses of GaAs and InGaAs Spacer Layers. J. Lumin. 2015, 158, 231–235. [Google Scholar] [CrossRef]
- Moreau, G.; Azouigui, S.; Cong, D.-Y.; Merghem, K.; Martinez, A.; Patriarche, G.; Ramdane, A.; Lelarge, F.; Rousseau, B.; Dagens, B.; et al. Effect of Layer Stacking and P-Type Doping on the Performance of InAs∕InP Quantum-Dash-in-a-Well Lasers Emitting at 1.55 μm. Appl. Phys. Lett. 2006, 89, 241123. [Google Scholar] [CrossRef]
- Xiong, Y.; Zhang, X. Two-State Lasing at Room Temperature in InAs/InP Quantum Dots. J. Appl. Phys. 2019, 126, 133102. [Google Scholar] [CrossRef]
- Rossetti, M.; Fiore, A.; Sęk, G.; Zinoni, C.; Li, L. Modeling the Temperature Characteristics of InAs/GaAs Quantum Dot Lasers. J. Appl. Phys. 2009, 106, 023105. [Google Scholar] [CrossRef]
- Zhang, Z.Y.; Jiang, Q.; Hogg, R.A. Simultaneous Three-State Lasing in Quantum Dot Laser at Room Temperature. Electron. Lett. 2010, 46, 1155–1157. [Google Scholar] [CrossRef]
- Zhukov, A.E.; Maximov, M.V.; Shernyakov, Y.M.; Livshits, D.A.; Savelyev, A.V.; Zubov, F.I.; Klimenko, V.V. Features of Simultaneous Ground- and Excited-State Lasing in Quantum Dot Lasers. Semiconductors 2012, 46, 231–235. [Google Scholar] [CrossRef]
- Breuer, S.; Rossetti, M.; Elsässer, W.; Drzewietzki, L.; Bardella, P.; Montrosset, I.; Krakowski, M.; Hopkinson, M. Reverse-Emission-State-Transition Mode Locking of a Two-Section InAs/InGaAs Quantum Dot Laser. Appl. Phys. Lett. 2010, 97, 071118. [Google Scholar] [CrossRef]















| Unit | Temp. | InAs | GaP | In1–xGaxAsyP1–y | |
|---|---|---|---|---|---|
| a | Å | RT | 6.0583 | 5.4505 | 5.6533xy + 6.0583(1 − x)y + 5.4505x(1 − y) + 5.8687(1 − x)(1 − y) |
| LT | 6.0584 | 5.4512 | 5.6525xy + 6.0584(1 − x)y + 5.4512x(1 − y) + 5.8688(1 − x)(1 − y) | ||
| ρ | kg/m3 | RT/LT | 5668 | 4130 | 5317.5xy + 5668(1 − x)y + 4130x(1 − y) + 4790(1 − x)(1 − y) |
| εr | RT | 14.55 | 11.1 | 13.18xy + 14.55(1 − x)y + 11.1x(1 − y) + 12.35(1 − x)(1 − y) | |
| LT | 14.55 | 10.86 | 12.4xy + 14.55(1 − x)y + 10.86x(1 − y) + 11.77(1 − x)(1 − y) | ||
| C11 | GPa | RT | 83.29 | 140.5 | 119xy + 83.29 (1 − x)y + 140.5x(1 − y) + 101.1(1 − x)(1 − y) |
| LT | 83.3 | 143.9 | 122.3xy + 83.3 (1 − x)y + 143.9x(1 − y) + 102.2(1 − x)(1 − y) | ||
| C12 | GPa | RT | 45.26 | 62.03 | 53.8xy + 45.26(1 − x)y + 62.03x(1 − y) + 56.1(1 − x)(1 − y) |
| LT | 45.3 | 65.2 | 57.1xy + 45.3(1 − x)y + 65.2x(1 − y) + 57.6(1 − x)(1 − y) | ||
| C44 | GPa | RT | 39.59 | 70.33 | 59.4xy + 39.59(1 − x)y + 70.33x(1 − y) + 44.2(1 − x)(1 − y) |
| LT | 39.6 | 70.14 | 60xy + 39.6(1 − x)y + 70.14x(1 − y) + 46(1 − x)(1 − y) | ||
| e14 | C/m2 | RT/LT | 0.045 | 0.1 | −0.18(1 − y)2 + 0.15(1 − y) − 0.05 |
| B114 | C/m2 | RT/LT | −0.5 | −0.7 | −0.4xy − 0.5(1 − x)y − 0.7x(1 − y) − 1.1(1 − x)(1 − y) |
| B124 | C/m2 | RT/LT | −4.1 | −2.2 | −3.8xy–4.1(1–x)y–2.2x(1–y)–3.8(1–x)(1–y) |
| B156 | C/m2 | RT/LT | 0.2 | −0.7 | −0.7xy + 0.2(1 − x)y − 0.7x(1 − y) − 0.5(1 − x)(1 − y) |
| me | m0 | RT | 0.0213 | Barrier | 0.0632xy + 0.0213(1 − x)y + 0.158x(1 − y) + 0.077(1 − x)(1 − y) |
| LT | 0.023 | Barrier | 0.0665xy + 0.023(1 − x)y + 0.17x(1 − y) + 0.08(1 − x)(1 − y) | ||
| γ1L | RT/LT | 20.4 | Barrier | 7.1xy + 20.4(1 − x)y + 4.04x(1 − y) + 5.33(1 − x)(1 − y) | |
| γ2L | RT/LT | 8.3 | Barrier | 2.02xy + 8.3(1 − x)y + 0.53x(1 − y) + 1.57(1 − x)(1 − y) | |
| γ3L | RT/LT | 9.1 | Barrier | 2.91xy + 9.1(1 − x)y + 1.26x(1 − y) + 2.11(1 − x)(1 − y) | |
| ac | eV | RT/LT | −10.2 | −7.14 | −7.6 + 1.6x + [0.85xy − 1(1 − x)y − 1.7x(1 − y) + 0.6(1 − x)(1 − y)] |
| av | eV | RT/LT | 1 | 1.7 | −0.85xy + 1(1 − x)y + 1.7x(1 − y) − 0.6(1 − x)(1 − y) |
| b | eV | RT/LT | −1.8 | −1.7 | −1.85xy − 1.8(1 − x)y − 1.7x(1 − y) − 1.7(1 − x)(1 − y) |
| d | eV | RT/LT | −3.6 | −4.4 | −5.1xy − 3.6(1 − x)y − 4.4x(1 − y) − 4.3(1 − x)(1 − y) |
| Ec | eV | RT | 0.709 − 0.37y | 2.43 − 0.37y | 0.14(1 − y)2 + 0.46(1 − y) + 0.75 |
| LT | 0.768 − 0.37y | 2.565 − 0.37y | 1.423 + 0.689x − 1.185y + 0.758x2 + 0.18y2 + 0.763xy − 1.14x2y − 0.845xy2 + 0.875x2y2 | ||
| Ev | eV | RT/LT | 0.35 − 0.37y | −0.33 − 0.37y | 0 |
| Δ | eV | RT | 0.41 | 0.08 | 0.108(1 − y) + 0.33y − 0.06y2 |
| LT | 0.38 | 0.08 | 0.341xy + 0.38(1 − x)y + 0.082x(1 − y) + 0.108(1 − x)(1 − y) | ||
| Ep | eV | RT/LT | 21.5 | Barrier | 28.8xy + 21.5(1 − x)y + 31.4x(1 − y) + 20.7(1 − x)(1 − y) |
Disclaimer/Publisher’s Note: The statements, opinions and data contained in all publications are solely those of the individual author(s) and contributor(s) and not of MDPI and/or the editor(s). MDPI and/or the editor(s) disclaim responsibility for any injury to people or property resulting from any ideas, methods, instructions or products referred to in the content. |
© 2024 by the authors. Licensee MDPI, Basel, Switzerland. This article is an open access article distributed under the terms and conditions of the Creative Commons Attribution (CC BY) license (https://creativecommons.org/licenses/by/4.0/).
Share and Cite
Huang, F.; Chen, G.; Zhang, X. Modeling Electronic and Optical Properties of InAs/InP Quantum Dots. Photonics 2024, 11, 749. https://doi.org/10.3390/photonics11080749
Huang F, Chen G, Zhang X. Modeling Electronic and Optical Properties of InAs/InP Quantum Dots. Photonics. 2024; 11(8):749. https://doi.org/10.3390/photonics11080749
Chicago/Turabian StyleHuang, Fujuan, Gaowen Chen, and Xiupu Zhang. 2024. "Modeling Electronic and Optical Properties of InAs/InP Quantum Dots" Photonics 11, no. 8: 749. https://doi.org/10.3390/photonics11080749
APA StyleHuang, F., Chen, G., & Zhang, X. (2024). Modeling Electronic and Optical Properties of InAs/InP Quantum Dots. Photonics, 11(8), 749. https://doi.org/10.3390/photonics11080749

