Terahertz Time-Domain Polarimetry for Principal Optical Axes of Anisotropic Crystals
Abstract
1. Introduction
2. Sensitivity of Electro-Optic Detection in Terahertz Time-Domain Spectroscopy
3. Method of Terahertz Measurements for Orthogonal Axes of Anisotropic Crystals
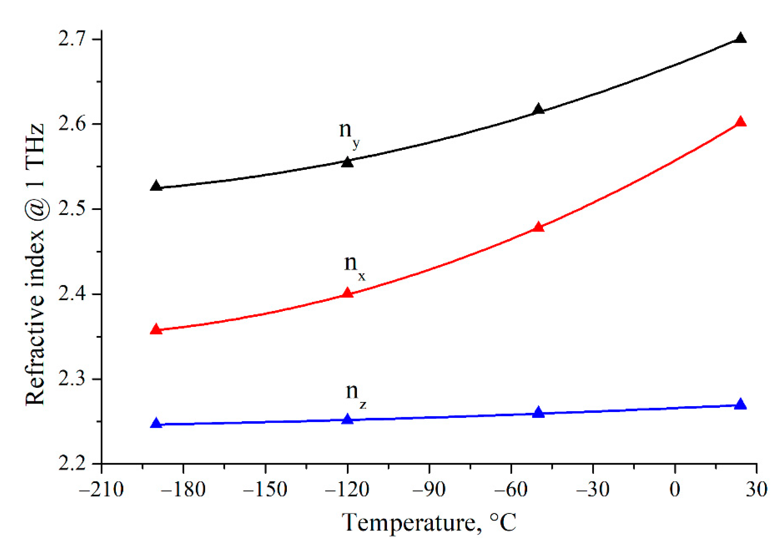
4. Demonstration of the Suggested Method on an LBO Crystal
5. Discussion
6. Conclusions
Author Contributions
Funding
Acknowledgments
Conflicts of Interest
References
- Dhillon, S.S.; Vitiello, M.S.; Linfield, E.H.; Davies, A.G.; Hoffmann, M.C.; Booske, J.; Paoloni, C.; Gensch, M.; Weightman, P.; Williams, G.P.; et al. The 2017 terahertz science and technology roadmap. J. Phys. D Appl. Phys. 2017, 50, 043001. [Google Scholar] [CrossRef]
- Zhang, X.; Shkurinov, A.; Zhang, Y. Extreme terahertz science. Nat. Photon 2017, 11, 16–18. [Google Scholar] [CrossRef]
- Mittleman, D.M. Perspective: Terahertz science and technology. J. Appl. Phys. 2017, 122, 230901. [Google Scholar] [CrossRef]
- Nagashima, T.; Tani, M.; Hangyo, M. Polarization-sensitive THz-TDS and its Application to Anisotropy Sensing. J. Infrared Millim. Terahertz Waves 2013, 34, 740–775. [Google Scholar] [CrossRef]
- Byrne, M.B.; Shaukat, M.U.; Cunningham, J.E.; Linfield, E.; Davies, A.G. Simultaneous measurement of orthogonal components of polarization in a free-space propagating terahertz signal using electro-optic detection. Appl. Phys. Lett. 2011, 98, 151104. [Google Scholar] [CrossRef]
- Sanjuan, F.; Gaborit, G.; Coutaz, J.-L. Full electro-optic terahertz time-domain spectrometer for polarimetric studies. Appl. Opt. 2018, 57, 6055–6060. [Google Scholar] [CrossRef]
- Zhao, G.; Savini, G.; Yu, Y.; Li, S.; Zhang, J.; Ade, P. A dual-port THz Time Domain Spectroscopy System optimized for recovery of a sample’s Jones matrix. Sci. Rep. 2019, 9, 1–9. [Google Scholar] [CrossRef]
- Zhang, L.; Zhong, H.; Deng, C.; Zhang, C.; Zhao, Y. Polarization sensitive terahertz time-domain spectroscopy for birefringent materials. Appl. Phys. Lett. 2009, 94, 211106. [Google Scholar] [CrossRef]
- Castro-Camus, E.; Lloyd-Hughes, J.; Johnston, M.; Fraser, M.D.; Tan, H.H.; Jagadish, C. Polarization-sensitive terahertz detection by multicontact photoconductive receivers. Appl. Phys. Lett. 2005, 86, 254102. [Google Scholar] [CrossRef]
- Makabe, H.; Hirota, Y.; Tani, M.; Hangyo, M. Polarization state measurement of terahertz electromagnetic radiation by three-contact photoconductive antenna. Opt. Express 2007, 15, 11650–11657. [Google Scholar] [CrossRef]
- Bulgarevich, D.S.; Watanabe, M.; Shiwa, M.; Niehues, G.; Nishizawa, S.; Tani, M. A polarization-sensitive 4-contact detector for terahertz time-domain spectroscopy. Opt. Express 2014, 22, 10332–10340. [Google Scholar] [CrossRef]
- Planken, P.C.M.; Nienhuys, H.-K.; Bakker, H.J.; Wenckebach, T. Measurement and calculation of the orientation dependence of terahertz pulse detection in ZnTe. J. Opt. Soc. Am. B 2001, 18, 313–317. [Google Scholar] [CrossRef]
- Van Der Valk, N.C.J.; Wenckebach, T.; Planken, P.C.M. Full mathematical description of electro-optic detection in optically isotropic crystals. J. Opt. Soc. Am. B 2004, 21, 622–631. [Google Scholar] [CrossRef]
- Yasumatsu, N.; Watanabe, S. Precise real-time polarization measurement of terahertz electromagnetic waves by a spinning electro-optic sensor. Rev. Sci. Instrum. 2012, 83, 23104. [Google Scholar] [CrossRef]
- Yasumatsu, N.; Wanatabe, S.; Watanabe, S. Robustness of electric field vector sensing of electromagnetic waves by analyzing crystal angle dependence of the electro-optic effect. J. Opt. Soc. Am. B 2013, 30, 2940–2951. [Google Scholar] [CrossRef]
- Xu, K.; Bayati, E.; Oguchi, K.; Watanabe, S.; Winebrenner, D.P.; Arbab, M.H. Terahertz time-domain polarimetry (THz-TDP) based on the spinning E-O sampling technique: Determination of precision and calibration. Opt. Express 2020, 28, 13482–13496. [Google Scholar] [CrossRef]
- Nemoto, N.; Higuchi, T.; Kanda, N.; Konishi, K.; Kuwata-Gonokami, M. Highly precise and accurate terahertz polarization measurements based on electro-optic sampling with polarization modulation of probe pulses. Opt. Express 2014, 22, 17915–17929. [Google Scholar] [CrossRef]
- Mosley, C.D.W.; Failla, M.; Prabhakaran, D.; Lloyd-Hughes, J. Terahertz spectroscopy of anisotropic materials using beams with rotatable polarization. Sci. Rep. 2017, 7, 12337. [Google Scholar] [CrossRef]
- Dong, H.; Gong, Y.; Paulose, V.; Hong, M. Polarization state and Mueller matrix measurements in terahertz-time domain spectroscopy. Opt. Commun. 2009, 282, 3671–3675. [Google Scholar] [CrossRef]
- Aschaffenburg, D.J.; Williams, M.R.C.; Talbayev, D.; Santavicca, D.F.; Prober, D.E.; Schmuttenmaer, C.A. Efficient measurement of broadband terahertz optical activity. Appl. Phys. Lett. 2012, 100, 241114. [Google Scholar] [CrossRef]
- George, D.K.; Stier, A.V.; Ellis, C.T.; McCombe, B.D.; Cerne, J.; Markelz, A.G. Terahertz magneto-optical polarization modulation spectroscopy. J. Opt. Soc. Am. B 2012, 29, 1406–1412. [Google Scholar] [CrossRef]
- Morris, C.M.; Aguilar, R.V.; Stier, A.V.; Armitage, N.P. Polarization modulation time-domain terahertz polarimetry. Opt. Express 2012, 20, 12303–12317. [Google Scholar] [CrossRef]
- Kokh, A.; Kononova, N.; Mennerat, G.; Villeval, P.; Durst, S.; Lupinski, D.; Vlezko, V.; Kokh, K. Growth of high quality large size LBO crystals for high energy second harmonic generation. J. Cryst. Growth 2010, 312, 1774–1778. [Google Scholar] [CrossRef]
- Kokh, A.; Vlezko, V.; Kokh, K.; Kononova, N.; Villeval, P.; Lupinski, D. Dynamic control over the heat field during LBO crystal growth by High temperature solution method. J. Cryst. Growth 2012, 360, 158–161. [Google Scholar] [CrossRef]
- Wang, C.-R.; Pan, Q.-K.; Chen, F.; Lanskii, G.; Nikolaev, N.; Mamrashev, A.; Andreev, Y.; Meshalkin, A. Phase-matching in KTP crystal for THz wave generation at room temperature and 81 K. Infrared Phys. Technol. 2019, 97, 1–5. [Google Scholar] [CrossRef]
- Mamrashev, A.A.; Nikolaev, N.A.; Kuznetsov, S.A.; Gelfand, A.V. Broadband Metal-Grid Polarizers on Polymeric Films for Terahertz Applications. AIP Conf. Proc. 2020, 2300, 020083. [Google Scholar] [CrossRef]
- Boer, J.H.W.G.D.; Kroesen, G.M.W.; de Zeeuw, W.; de Hoog, F.J. Improved polarizer in the infrared: Two wire-grid polarizers in tandem. Opt. Lett. 1995, 20, 800–802. [Google Scholar] [CrossRef]
- Andreev, Y.M.; Kokh, A.; Kokh, K.; Lanskii, G.; Litvinenko, K.; Mamrashev, A.; Molloy, J.; Murdin, B.; Naftaly, M.; Nikolaev, N.; et al. Observation of a different birefringence order at optical and THz frequencies in LBO crystal. Opt. Mater. 2017, 66, 94–97. [Google Scholar] [CrossRef]
- Nikolaev, N.; Andreev, Y.M.; Kononova, N.G.; Mamrashev, A.; Antsygin, V.D.; Kokh, K.; Kokh, A.; Losev, V.F.; Potaturkin, O. Terahertz optical properties of LBO crystal upon cooling to liquid nitrogen temperature. Quantum Electron. 2018, 48, 19–21. [Google Scholar] [CrossRef]
- Song, K.; Tian, Z.; Zhang, W.; Wang, M. Temperature-dependent birefringence of lithium triborate, LBO in the THz regime. Sci. Rep. 2017, 7, 1–7. [Google Scholar] [CrossRef]
- Bernerd, C.; Segonds, P.; Debray, J.; Roux, J.-F.; Herault, E.; Coutaz, J.-L.; Shoji, I.; Minamide, H.; Ito, H.; Lupinski, D.; et al. Evaluation of eight nonlinear crystals for phase-matched Terahertz second-order difference-frequency generation at room temperature. Opt. Mater. Express 2020, 10, 561. [Google Scholar] [CrossRef]
- Grechin, S.G.; Zuev, A.V.; Kokh, A.; Moiseev, N.V.; Popov, P.; Sidorov, A.; Fokin, A.S. Thermophysical parameters of the LBO crystal. Quantum Electron. 2010, 40, 509–512. [Google Scholar] [CrossRef]
- Vieweg, N.; Rettich, F.; Deninger, A.; Roehle, H.; Dietz, R.; Göbel, T.; Schell, M. Terahertz-time domain spectrometer with 90 dB peak dynamic range. J. Infrared Millim. Terahertz Waves 2014, 35, 823–832. [Google Scholar] [CrossRef]





Publisher’s Note: MDPI stays neutral with regard to jurisdictional claims in published maps and institutional affiliations. |
© 2021 by the authors. Licensee MDPI, Basel, Switzerland. This article is an open access article distributed under the terms and conditions of the Creative Commons Attribution (CC BY) license (https://creativecommons.org/licenses/by/4.0/).
Share and Cite
Mamrashev, A.; Minakov, F.; Nikolaev, N.; Antsygin, V. Terahertz Time-Domain Polarimetry for Principal Optical Axes of Anisotropic Crystals. Photonics 2021, 8, 213. https://doi.org/10.3390/photonics8060213
Mamrashev A, Minakov F, Nikolaev N, Antsygin V. Terahertz Time-Domain Polarimetry for Principal Optical Axes of Anisotropic Crystals. Photonics. 2021; 8(6):213. https://doi.org/10.3390/photonics8060213
Chicago/Turabian StyleMamrashev, Alexander, Fedor Minakov, Nazar Nikolaev, and Valery Antsygin. 2021. "Terahertz Time-Domain Polarimetry for Principal Optical Axes of Anisotropic Crystals" Photonics 8, no. 6: 213. https://doi.org/10.3390/photonics8060213
APA StyleMamrashev, A., Minakov, F., Nikolaev, N., & Antsygin, V. (2021). Terahertz Time-Domain Polarimetry for Principal Optical Axes of Anisotropic Crystals. Photonics, 8(6), 213. https://doi.org/10.3390/photonics8060213

