Photoinduced Electron Transfer and Aggregation-Induced Emission in 1,8-Naphthalimide Probes as a Platform for Detection of Acid/Base Vapors
Abstract
1. Introduction
2. Materials and Methods
2.1. Materials
2.2. Methods
2.3. Synthetic Procedures
Synthesis of 1,8-Naphthalimide 6
3. Results and Discussion
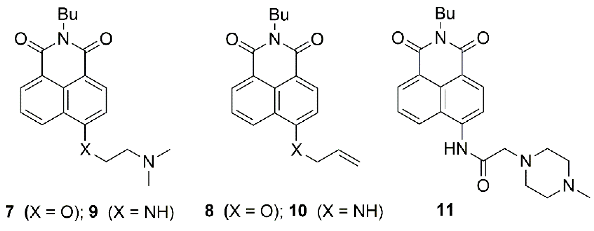
3.1. Design and Synthesis
3.2. Chemosensing Properties
3.2.1. 1,8-Naphthalimides Containing “Upper-Receptor”
3.2.2. 1,8-Naphthalimides Containing “Lower-Receptor”
4. Conclusions
Author Contributions
Funding
Institutional Review Board Statement
Informed Consent Statement
Data Availability Statement
Conflicts of Interest
References
- Steinegger, A.; Wolfbeis, O.S.; Borisov, S.M. Optical Sensing and Imaging of pH Values: Spectroscopies, Materials, and Applications. Chem. Rev. 2020, 120, 12357–12489. [Google Scholar] [CrossRef] [PubMed]
- Mishra, S.; Singh, A.K. Optical sensors for water and humidity and their further applications. Coord. Chem. Rev. 2021, 445, 214063. [Google Scholar] [CrossRef]
- Aderinto, S.; Imhanria, S. Fluorescent and colourimetric 1,8-naphthalimide-appended chemosensors for the tracking of metal ions: Selected examples from the year 2010 to 2017. Chem. Pap. 2018, 72, 1823–1851. [Google Scholar] [CrossRef]
- Hamilton, G.; Sahoo, S.; Kamila, S.; Singh, N.; Kaur, N.; Hyland, B.; Callan, J. Optical probes for the detection of protons, and alkali and alkaline earth metal cations. Chem. Soc. Rev. 2015, 44, 4415–4432. [Google Scholar] [CrossRef] [PubMed]
- Dian, J.; Jindřich, J.; Jelínek, I. Functionalized materials with fluorescent dyes for chemosensor applications. Monatsh. Chem. 2017, 148, 1929–1935. [Google Scholar] [CrossRef]
- Huang, J.; Chen, Y.; Qi, J.; Zhou, X.; Niu, L.; Yana, Z.; Wang, J.; Zhao, G. A dual-selective fluorescent probe for discriminating glutathione and homocysteine simultaneously. Spectrochim. Acta Part A 2018, 201, 105–111. [Google Scholar] [CrossRef]
- Georgiev, N.; Bryaskova, R.; Tzoneva, R.; Ugrinova, I.; Detrembleur, C.; Miloshev, S.; Asiri, A.; Qusti, A.; Bojinov, V. A novel pH sensitive water soluble fluorescent nanomicellar sensor for potential biomedical applications. Bioorg. Med. Chem. 2013, 21, 6292–6302. [Google Scholar] [CrossRef]
- Yang, X.; Lovell, J.F.; Murthy, N.; Zhang, Y. Organic Fluorescent Probes for Diagnostics and Bio-Imaging. Top. Med. Chem. 2020, 34, 33–53. [Google Scholar]
- Shen, R.; Qian, Y. A mitochondria-oriented fluorescent probe for ultrafast and ratiometric detection of HSO3–Based on naphthalimide-hemicyanine. New J. Chem. 2019, 43, 7606–7612. [Google Scholar] [CrossRef]
- Ismail, S.; Bryaskova, R.; Georgiev, N.; Philipova, N.; Uzunova, V.; Bakov, V.; Tzoneva, R.; Bojinov, V. Design and synthesis of fluorescent shell functionalized polymer micelles for biomedical application. Polym. Adv. Technol. 2020, 31, 1365–1376. [Google Scholar] [CrossRef]
- Guo, F.-F.; Wu, W.-N.; Zhao, X.-L.; Wang, Y.; Fan, Y.-C.; Zhang, C.-X.; Xu, Z.-H. A deep-red lysosome-targetable fluorescent probe for detection of hypochlorous acid in pure water and its imaging application in living cells and zebrafish. Spectrochim. Acta Part A 2022, 264, 120270. [Google Scholar] [CrossRef]
- Georgiev, N.; Said, A.; Toshkova, R.; Tzoneva, R.; Bojinov, V. A novel water-soluble perylenetetracarboxylic diimide as a fluorescent pH probe: Chemosensing, biocompatibility and cell imaging. Dyes Pigment. 2019, 160, 28–36. [Google Scholar] [CrossRef]
- Hayashi, Y.; Suzuki, N.; Maeda, T.; Fujiwara, H.; Yagi, S. Photophysical properties of 4-(5-methylthiophen-2-yl)pyridinium-cyclic enolate betaine dyes tuned by control of twisted intramolecular transfer. New J. Chem. 2021, 45, 9770–9779. [Google Scholar] [CrossRef]
- Zhang, H.; Xu, Z.; Tao, F.; Yu, W.W.; Cui, Y. Enhanced photostability of aggregation induced emission by hydrophobic groups. Anal. Chim. Acta 2021, 1186, 339076. [Google Scholar] [CrossRef]
- Said, A.; Georgiev, N.; Bojinov, V. A novel dual naked eye colorimetric and fluorescent pH chemosensor and its ability to execute three INHIBIT based digital comparator. Dyes Pigment. 2022, 205, 110489. [Google Scholar] [CrossRef]
- Zheng, P.; Abdurahman, A.; Zhang, Z.; Feng, Y.; Zhang, Y.; Ai, X.; Li, F.; Zhang, M. A simple organic multi-analyte fluorescent prober: One molecule realizes the detection to DNT, TATP and Sarin substitute gas. J. Hazard. Mater. 2021, 409, 124500. [Google Scholar] [CrossRef]
- Krasteva, P.; Dimitrova, M.; Georgiev, N.; Bojinov, V. A novel 1,8-naphthalimide probe for selective determination of Hg2+ in a wide pH window. J. Chem. Technol. Metall. 2018, 53, 150–158. [Google Scholar]
- Singh, H.; Bhargav, G.; Kumar, S.; Singh, P. Quadruple-signaling (PET, ICT, ESIPT, -C=N- rotation) mechanism-based dual chemosensor for detection of Cu2+ and Zn2+ ions: TRANSFER, INH and complimentary OR/NOR logic circuits. J. Photochem. Photobiol. A Chem. 2018, 357, 175–184. [Google Scholar] [CrossRef]
- Anand, T.; Kumar, S.K.A.; Sahoo, S.K. A new Al3+ selective fluorescent turn-on sensor based on hydrazide-naphthalic anhydride conjugate and its application in live cells imaging. Spectrochim. Acta Part A 2018, 204, 105–112. [Google Scholar] [CrossRef]
- Georgiev, N.; Asiri, A.; Qusti, A.; Alamry, K.; Bojinov, V. A pH sensitive and selective ratiometric PAMAM wavelength-shifting bichromophoric system based on PET, FRET and ICT. Dyes Pigment. 2014, 102, 35–45. [Google Scholar] [CrossRef]
- Li, S.; Zhao, B.; Kan, W.; Wang, L.; Song, B.; Chen, S. A off–on pH fluorescence probe derived from phenanthro[9,10-d]imidazol-fluorescein based on ESIPT and ICT. Res. Chem. Intermed. 2018, 44, 491–502. [Google Scholar] [CrossRef]
- Said, A.; Georgiev, N.; Bojinov, V. Low molecular weight probe for selective sensing of pH and Cu2+ working as three INHIBIT based digital comparator. J. Fluoresc. 2022, 32, 405–417. [Google Scholar] [CrossRef] [PubMed]
- García, Á.L.; Ochoa- Terán, A.; Tirado- Guízar, A.; Jara- Cortés, J.; Pina-Luis, G.; Santacruz Ortega, H.; Labastida- Galván, V.; Ordoñez, M.; Peón, J. Experimental and theoretical study of novel aminobenzamide–aminonaphthalimide fluorescent dyads with a FRET mechanism. RSC Adv. 2022, 12, 6192–6204. [Google Scholar] [CrossRef] [PubMed]
- Alamry, K.; Georgiev, N.; Abdullah El-Daly, S.; Taib, L.; Bojinov, V. A ratiometric rhodamine-naphthalimide pH selective probe built on the basis of a PAMAM light-harvesting architecture. J. Lumin. 2015, 158, 50–59. [Google Scholar] [CrossRef]
- Ozdemir, M. Two colorimetric and fluorescent dual-channel chemosensors for the selective detection of pH in aqueous solutions. ChemistrySelect 2020, 5, 14340–14348. [Google Scholar] [CrossRef]
- Georgiev, N.; Dimitrova, M.; Todorova, Y.; Bojinov, V. Synthesis, chemosensing properties and logic behaviour of a novel ratiometric 1,8-naphthalimide probe based on ICT and PET. Dyes Pigment. 2016, 131, 9–17. [Google Scholar] [CrossRef]
- Bakov, V.V.; Georgiev, N.I.; Bojinov, V.B. A novel fluorescent probe for determination of pH and viscosity based on a highly water-soluble 1,8-naphthalimide rotor. Molecules 2022, 27, 7556. [Google Scholar] [CrossRef]
- Seraj, S.; Rouhani, S.; Faridbod, F. Naphthalimide-based optical turn-on sensor for monosaccharide recognition using boronic acid receptor. RSC Adv. 2019, 9, 17933–17940. [Google Scholar] [CrossRef]
- Marinova, N.; Georgiev, N.; Bojinov, V. Design, synthesis and pH sensing properties of novel 1,8-naphtalimide-based bichromophoric system. J. Photochem. Photobiol. A Chem. 2011, 222, 132–140. [Google Scholar] [CrossRef]
- Yao, C.; Lin, H.; Crory, H.; de Silva, A.P. Supra-molecular agents running tasks intelligently (SMARTI): Recent developments in molecular logic-based computation. Mol. Syst. Des. Eng. 2020, 5, 1325–1353. [Google Scholar] [CrossRef]
- Georgiev, N.; Krasteva, P.; Bakov, V.; Bojinov, V. A highly water-soluble and solid state emissive 1,8-naphthalimide as a fluorescent PET probe for determination of pHs, acid/base vapors, and water content in organic solvents. Molecules 2022, 27, 4229. [Google Scholar] [CrossRef]
- Panchenko, P.A.; Fedorov, Y.V.; Fedorova, O.A. Selective fluorometric sensing of Hg2+ in aqueous solution by the inhibition of PET from dithia-15-crown-5 ether receptor conjugated to 4-amino-1,8-naphthalimide fluorophore. J. Photochem. Photobiol. A Chem. 2018, 364, 124–129. [Google Scholar] [CrossRef]
- Georgiev, N.I.; Sakr, A.R.; Bojinov, V.B. Design and synthesis of a novel PET and ICT based 1,8-naphthalimide FRET bichromophore as a four-input Disabled-Enabled-OR logic gate. Sens. Actuators B Chem. 2015, 221, 625–634. [Google Scholar] [CrossRef]
- Spiteri, J.C.; Johnson, A.D.; Denisov, S.A.; Jonusauskas, G.; McClenaghan, N.D.; Magri, D.C. A fluorescent AND logic gate based on a ferrocene-naphthalimide-piperazine format responsive to acidity and oxidizability. Dyes Pigment. 2018, 157, 278–283. [Google Scholar] [CrossRef]
- Wright, G.D.; Yao, C.; Moody, T.S.; de Silva, A.P. Fluorescent molecular logic gates based on photoinduced electron transfer (PET) driven by a combination of atomic and biomolecular inputs. Chem. Commun. 2020, 56, 6838–6841. [Google Scholar] [CrossRef]
- Said, A.; Georgiev, N.; Bojinov, V. A smart chemosensor: Discriminative multidetection and various logic operations in aqueous solution at biological pH. Spectrochim. Acta Part A 2019, 223, 117304. [Google Scholar] [CrossRef]
- Chi, W.; Chen, J.; Qiao, Q.; Gao, Y.; Xu, Z.; Liu, X. Revealing the switching mechanisms of an OFF-ON-OFF fluorescent logic gate system. Phys. Chem. Chem. Phys. 2019, 21, 16798–16803. [Google Scholar] [CrossRef]
- Refalo, M.V.; Spiteri, J.C.; Magri, D.C. Covalent attachment of a fluorescent ‘Pourbaix sensor’ onto a polymer bead for sensing in water. New J. Chem. 2018, 42, 16474–16477. [Google Scholar] [CrossRef]
- de Silva, A.P. Crossing the divide: Experiences of taking fluorescent PET (photoinduced electron transfer) sensing/switching systems from solution to solid. Dyes Pigment. 2022, 204, 110453. [Google Scholar] [CrossRef]
- Georgiev, N.I.; Bryaskova, R.G.; Ismail, S.R.; Philipova, N.D.; Uzunova, V.P.; Bakov, V.V.; Tzoneva, R.D.; Bojinov, V.B. Aggregation induced emission in 1,8-naphthalimide embedded nanomicellar architecture as a platform for fluorescent ratiometric pH-probe with biomedical applications. J. Photochem. Photobiol. A Chem. 2021, 418, 113380. [Google Scholar] [CrossRef]
- Huang, P.-Y.; Gao, J.-Y.; Song, C.-Y.; Hong, J.-L. Ionic complex of a rhodamine dye with aggregation-induced emission properties. Faraday Discuss. 2017, 196, 177–190. [Google Scholar] [CrossRef] [PubMed]
- Mei, J.; Leung, N.; Kwok, R.; Lam, J.; Tang, B. Aggregation-induced emission: Together we shine, united we soar! Chem. Rev. 2015, 115, 11718–11940. [Google Scholar] [CrossRef] [PubMed]
- Kwok, R.; Leung, C.; Lam, J.; Tang, B. Biosensing by luminogens with aggregation-induced emission characteristics. Chem. Soc. Rev. 2015, 44, 4228–4238. [Google Scholar] [CrossRef] [PubMed]
- Mukherjee, S.; Thilagar, P. Fine-tuning solid-state luminescence in NPIs (1,8-naphthalimides): Impact of the molecular environment and cumulative interactions. Phys. Chem. Chem. Phys. 2014, 16, 20866–20877. [Google Scholar] [CrossRef] [PubMed]
- Shi, X.; Yan, N.; Niu, G.; Sung, S.; Liu, Z.; Liu, J.; Kwok, R.K.; Lam, J.; Wang, W.; Sung, H.; et al. In vivo monitoring of tissue regeneration using a ratiometric lysosomal AIE probe. Chem. Sci. 2020, 11, 3152–3163. [Google Scholar] [CrossRef]
- Georgiev, N.I.; Bakov, V.V.; Bojinov, V.B. A solid-state-emissive 1,8-naphthalimide probe based on photoinduced electron transfer and aggregation-induced emission. ChemistrySelect 2019, 4, 4163–4167. [Google Scholar] [CrossRef]
- Georgiev, N.I.; Dimov, S.; Asiri, A.; Alamry, K.; Obaid, A.; Bojinov, V.B. Synthesis, selective pH-sensing activity and logic behavior of highly water-soluble 1,8-naphthalimide and dihydroimidazonaphthalimide derivatives. J. Lumin. 2014, 149, 325–332. [Google Scholar] [CrossRef]
- Dimov, S.M.; Georgiev, N.I.; Asiri, A.M.; Bojinov, V.B. Synthesis and Sensor Activity of a PET-based 1,8-naphthalimide Probe for Zn2+ and pH Determination. J. Fluoresc. 2014, 24, 1621–1628. [Google Scholar] [CrossRef]
- Ramachandram, B.; Sankaran, N.; Karmakar, R.; Saha, S.; Samanta, A. Fluorescence signalling of transition metal ions by multi-component systems comprising 4-chloro-1,8-naphthalimide as fluorophore. Tetrahedron 2000, 56, 7041–7044. [Google Scholar] [CrossRef]
- Ramachandram, B.; Saroja, G.; Sankaran, N.; Samanta, A. Unusually high fluorescence enhancement of some 1,8-naphthalimide derivatives induced by transition metal salts. J. Phys. Chem. B 2000, 104, 11824–11832. [Google Scholar] [CrossRef]
- Bojinov, V.; Grabchev, I. A new method for synthesis of 4-allyloxy-1,8-naphthalimide derivatives for use as fluorescent brighteners. Dyes Pigment. 2001, 51, 57–61. [Google Scholar] [CrossRef]
- Chen, J.; Tang, R.; Luo, Z.; Yang, C. Solvatofluorochromism of N-[2-(2-hydroxylethylamino)-ethyl]-1,8-naphthalimide in protic solvent. J. Mol. Struct. 2009, 917, 170–175. [Google Scholar] [CrossRef]
- Saini, A.; Bhasin, A.; Singh, N.; Kaur, N. Development of a Cr(III) ion selective fluorescence probe using organic nanoparticles and its real time applicability. New J. Chem. 2016, 40, 278–284. [Google Scholar] [CrossRef]
- Jin, R.; Ahmad, I. Theoretical study on photophysical properties of multifunctional star-shaped molecules with 1,8-naphthalimide core for organic light-emitting diode and organic solar cell application. Theor. Chem. Acc. 2015, 134, 89. [Google Scholar] [CrossRef]
- Gunnlaugsson, T.; McCoy, C.; Morrow, R.; Phelan, C.; Stomeo, F. Towards the development of controllable and reversible ‘on-off’ luminescence switching in soft-matter; synthesis and spectroscopic investigation of 1,8-naphthalimide-based PET (photoinduced electron transfer) chemosensors for pH in water-permeable hydrogels. ARKIVOC 2003, 7, 216–228. [Google Scholar] [CrossRef]
- de Silva, A.P.; Gunaratne, H.; Habib-Jiwan, J.-L.; McCoy, C.; Rice, T.; Soumillion, J.-P. New fluorescent model compounds for the study of photoinduced electron transfer: The influence of molecular electric field in the excited state. Angew. Chem. Int. Ed. Engl. 1995, 34, 1728–1731. [Google Scholar] [CrossRef]
- Wang, L.; Wang, G.; Shang, C.; Kang, R.; Fang, Y. Naphthalimide-based fluorophore for soft anionic interface monitoring. ACS Appl. Mater. Interfaces 2017, 9, 35419–35426. [Google Scholar] [CrossRef]
- Georgiev, N.I.; Marinova, N.V.; Bojinov, V.B. Design and synthesis of light-harvesting rotor based on 1,8-naphthalimide units. J. Photochem. Photobiol. A Chem. 2020, 401, 112733. [Google Scholar] [CrossRef]
- Liu, J.; de Silva, A.P. Path-selective photoinduced electron transfer (PET) in a membrane-associated system studied by pH-dependent fluorescence. Inorg. Chim. Acta 2012, 381, 243–246. [Google Scholar] [CrossRef]
- Georgiev, N.I.; Bojinov, V.B.; Nikolov, P.S. The design, synthesis and photophysical properties of two novel 1,8-naphthalimide fluorescent pH sensors based on PET and ICT. Dyes Pigment. 2011, 88, 350–357. [Google Scholar] [CrossRef]
- de Silva, A.P.; Rice, T. A small supramolecular system which emulates the unidirectional, path-selective photoinduced electron transfer (PET) of the bacterial photosynthetic reaction centre (PRC). Chem. Commun. 1999, 2, 163–164. [Google Scholar] [CrossRef]
- Georgiev, N.I.; Dimitrova, M.D.; Mavrova, A.T.; Bojinov, V.B. Synthesis, fluorescence-sensing and molecular logic of two water-soluble 1,8-naphthalimides. Spectrochim. Acta Part A 2017, 183, 7–16. [Google Scholar] [CrossRef] [PubMed]
- Georgiev, N.; Krasteva, P.; Bojinov, V. A ratiometric 4-amido-1,8-naphthalimide fluorescent probe based on excimer-monomer emission for determination of pH and water content in organic solvents. J. Lumin. 2019, 212, 271–278. [Google Scholar] [CrossRef]
- Mati, S.; Chall, S.; Bhattacharya, S. Aggregation-induced fabrication of fluorescent organic nanorings: Selective biosensing of cysteine and application to molecular logic gate. Langmuir 2015, 31, 5025–5032. [Google Scholar] [CrossRef] [PubMed]
- Soni, M.; Das, S.; Sahu, P.; Kar, U.; Rahaman, A.; Sarkar, M. Synthesis, photophysics, live cell imaging, and aggregation behavior of some structurally similar alkyl chain containing bromonaphthalimide systems: Influence of alkyl chain length on the aggregation behavior. J. Phys. Chem. C 2013, 117, 14338–14347. [Google Scholar] [CrossRef]
- Li, X.; Chen, H.; Kirillov, A.; Xie, Y.; Shan, C.; Wang, B.; Shia, C.; Tang, Y. A paper-based lanthanide smart device for acid–base vapour detection, anti-counterfeiting and logic operations. Inorg. Chem. Front. 2016, 3, 1014–1020. [Google Scholar] [CrossRef]
- Martinez, A.W.; Phillips, S.T.; Whitesides, G.M. Diagnostics for the developing world: Microfluidic paper-based analytical devices. Anal. Chem. 2010, 82, 3–10. [Google Scholar] [CrossRef]
- Nery, E.W.; Kubota, L.T. Sensing approaches on paper-based devices: A review. Anal. Bioanal. Chem. 2013, 405, 7573–7595. [Google Scholar] [CrossRef]
- Cate, D.M.; Adkins, J.A.; Mettakoonpitak, J.; Henry, C.S. Recent developments in paper-based microfluidic devices. Anal. Chem. 2015, 87, 19–41. [Google Scholar] [CrossRef]
- Nath, S.; Maitra, U. A simple and general strategy for the design of fluorescent cation sensor beads. Org. Lett. 2006, 8, 3239–3242. [Google Scholar] [CrossRef]
- Thapa, P.; Arnquist, I.; Byrnes, N.; Denisenko, A.A.; Foss, F.W., Jr.; Jones, B.J.P.; McDonald, A.D.; Nygren, D.R.; Woodruff, K. Barium chemosensors with dry-phase fluorescence for neutrinoless double beta decay. Sci. Rep. 2019, 9, 15097. [Google Scholar] [CrossRef]
- Ling, J.; Naren, G.; Kelly, J.; Moody, T.S.; de Silva, A.P. Building pH sensors into paper-based small-molecular logic systems for very simple detection of edges of objects. J. Am. Chem. Soc. 2015, 137, 3763–3766. [Google Scholar] [CrossRef]



















Publisher’s Note: MDPI stays neutral with regard to jurisdictional claims in published maps and institutional affiliations. |
© 2022 by the authors. Licensee MDPI, Basel, Switzerland. This article is an open access article distributed under the terms and conditions of the Creative Commons Attribution (CC BY) license (https://creativecommons.org/licenses/by/4.0/).
Share and Cite
Georgiev, N.I.; Bakov, V.V.; Bojinov, V.B. Photoinduced Electron Transfer and Aggregation-Induced Emission in 1,8-Naphthalimide Probes as a Platform for Detection of Acid/Base Vapors. Photonics 2022, 9, 994. https://doi.org/10.3390/photonics9120994
Georgiev NI, Bakov VV, Bojinov VB. Photoinduced Electron Transfer and Aggregation-Induced Emission in 1,8-Naphthalimide Probes as a Platform for Detection of Acid/Base Vapors. Photonics. 2022; 9(12):994. https://doi.org/10.3390/photonics9120994
Chicago/Turabian StyleGeorgiev, Nikolai I., Ventsislav V. Bakov, and Vladimir B. Bojinov. 2022. "Photoinduced Electron Transfer and Aggregation-Induced Emission in 1,8-Naphthalimide Probes as a Platform for Detection of Acid/Base Vapors" Photonics 9, no. 12: 994. https://doi.org/10.3390/photonics9120994
APA StyleGeorgiev, N. I., Bakov, V. V., & Bojinov, V. B. (2022). Photoinduced Electron Transfer and Aggregation-Induced Emission in 1,8-Naphthalimide Probes as a Platform for Detection of Acid/Base Vapors. Photonics, 9(12), 994. https://doi.org/10.3390/photonics9120994

