A CMOS-Compatible Carrier-Injection Plasmonic Micro-Ring Modulator with Resonance Tuning by Carrier Concentration
Abstract
1. Introduction
2. The Structure and Operating Principle of CIPMRM
3. Carrier-Injection Plasmonic Micro-Ring Modulator
4. Resonance Tuning Method by Injected Carrier Concentration
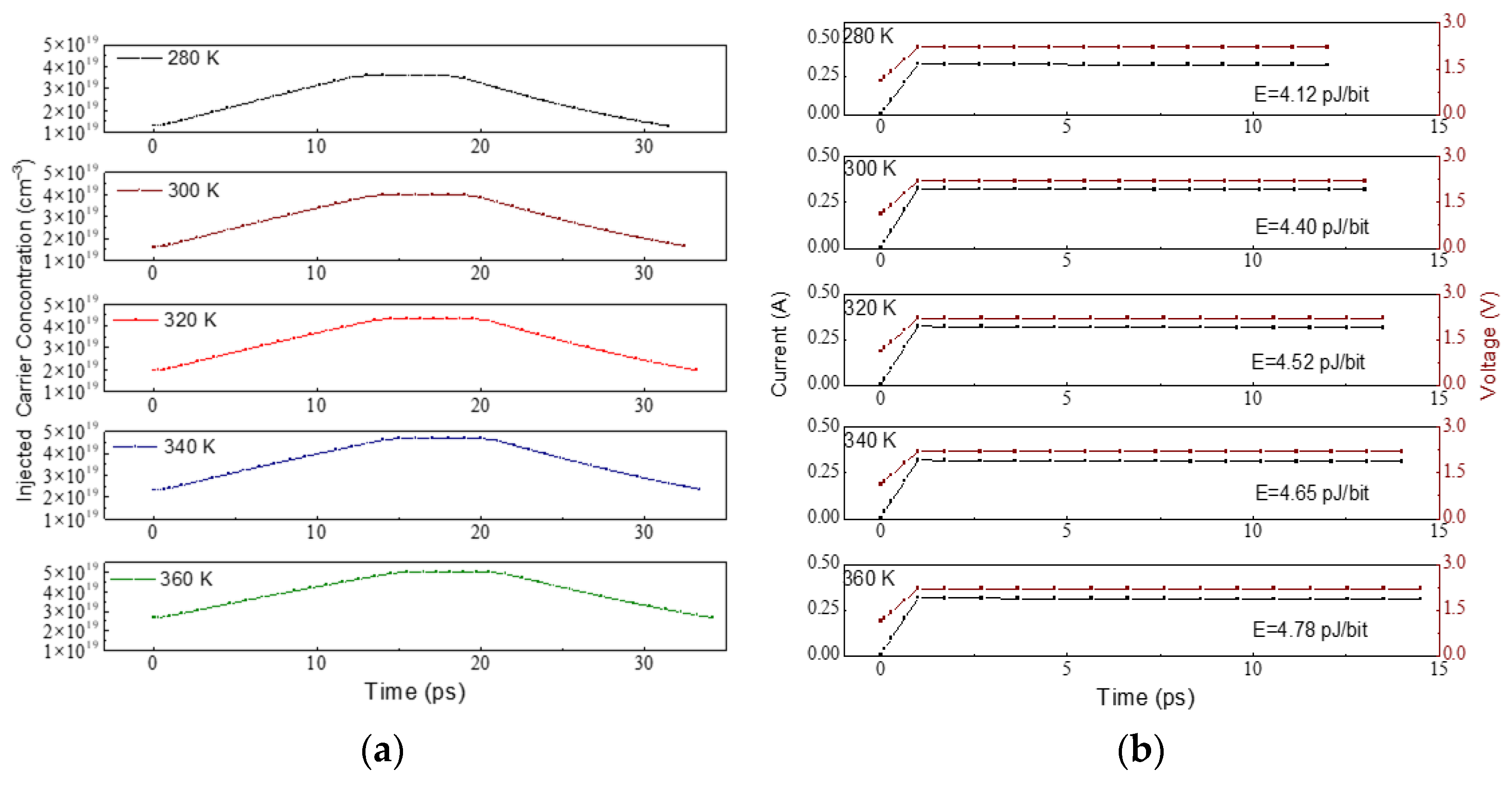
4.1. Temperature Effects
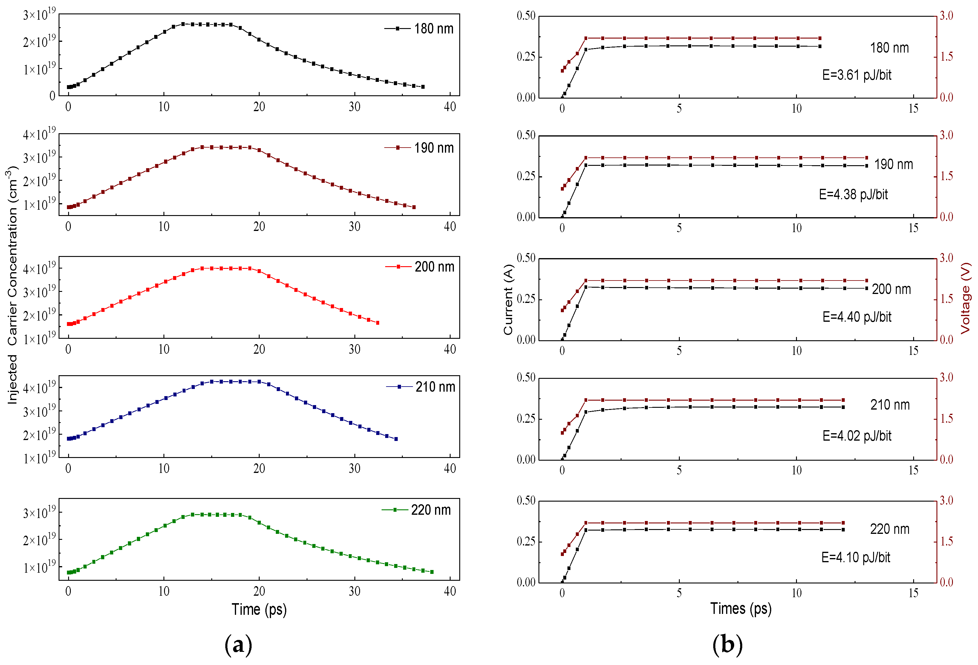
4.2. Line Width Effects
5. Discussion and Conclusions
Author Contributions
Funding
Institutional Review Board Statement
Informed Consent Statement
Data Availability Statement
Conflicts of Interest
References
- Gramotnev, D.K.; Bozhevolnyi, S.I. Plasmonics beyond the diffraction limit. Nat. Photonics 2010, 4, 83–91. [Google Scholar] [CrossRef]
- Dionne, J.A.; Atwater, H.A. Plasmonics: Metal-worthy methods and materials in nanophotonics. Mrs Bull. 2012, 37, 717–724. [Google Scholar] [CrossRef][Green Version]
- Fedyanin, D.Y.; Yakubovsky, D.I.; Kirtaev, R.V.; Volkov, V.S. Ultralow-Loss CMOS Copper Plasmonic Waveguides. Nano Lett. 2016, 16, 362–366. [Google Scholar] [CrossRef] [PubMed]
- Dabos, G.; Manolis, A.; Tsiokos, D.; Ketzaki, D.; Chatzianagnostou, E.; Markey, L.; Rusakov, D.; Weeber, J.C.; Dereux, A.; Giesecke, A.L.; et al. Aluminum plasmonic waveguides co-integrated with Si3N4 photonics using CMOS processes. Sci. Rep. 2018, 8, 13380. [Google Scholar] [CrossRef] [PubMed]
- Salamin, Y.; Ma, P.; Baeuerle, B.; Emboras, A.; Fedoryshyn, Y.; Heni, W.; Cheng, B.; Josten, A.; Leuthold, J. 100 GHz Plasmonic Photodetector. ACS Photonics 2018, 5, 3291–3297. [Google Scholar] [CrossRef]
- Li, C.; Liu, Z.; Chen, J.; Gao, Y.; Li, M.L.; Zhang, Q. Semiconductor nanowire plasmonic lasers. Nanophotonics 2019, 8, 2091–2110. [Google Scholar] [CrossRef]
- Amin, R.; Maiti, R.; Gui, Y.L.; Suer, C.; Miscuglio, M.; Heidari, E.; Chen, R.T.; Dalir, H.; Sorger, V.J. Sub-wavelength GHz-fast broadband ITO Mach-Zehnder modulator on silicon photonics. Optica 2020, 7, 333–335. [Google Scholar] [CrossRef]
- Melikyan, A.; Lindenmann, N.; Walheim, S.; Leufke, P.M.; Ulrich, S.; Ye, J.; Vincze, P.; Hahn, H.; Schimmel, T.; Koos, C.; et al. Surface plasmon polariton absorption modulator. Optics Express 2011, 19, 8855–8869. [Google Scholar] [CrossRef]
- Ayata, M.; Nakano, Y.; Tanemura, T. Silicon rib waveguide electro-absorption optical modulator using transparent conductive oxide bilayer. Jpn. J. Appl. Phys. 2016, 55, 042201. [Google Scholar] [CrossRef]
- Kuang, Y.X.; Liu, Y.; Tian, L.F.; Han, W.H.; Li, Z.Y. A Dual-Slot Electro-Optic Modulator Based on an Epsilon-Near-Zero Oxide. IEEE Photonics J. 2019, 11, 1–12. [Google Scholar] [CrossRef]
- Wood, M.G.; Campione, S.; Parameswaran, S.; Luk, T.S.; Wendt, J.R.; Serkland, D.K.; Keeler, G.A. Gigahertz speed operation of epsilon-near-zero silicon photonic modulators. Optica 2018, 5, 233–236. [Google Scholar] [CrossRef]
- Amin, R.; Maiti, R.; Gui, Y.L.; Suer, C.; Miscuglio, M.; Heidari, E.; Khurgin, J.B.; Chen, R.T.; Dalir, H.; Sorger, V.J. Heterogeneously integrated ITO plasmonic Mach-Zehnder interferometric modulator on SOI. Sci. Rep. 2021, 11, 1287. [Google Scholar] [CrossRef] [PubMed]
- Melikyan, A.; Alloatti, L.; Muslija, A.; Hillerkuss, D.; Schindler, P.C.; Li, J.; Palmer, R.; Korn, D.; Muehlbrandt, S.; Van Thourhout, D.; et al. High-speed plasmonic phase modulators. Nat. Photonics 2014, 8, 229–233. [Google Scholar] [CrossRef]
- Haffner, C.; Chelladurai, D.; Fedoryshyn, Y.; Josten, A.; Baeuerle, B.; Heni, W.; Watanabe, T.; Cui, T.; Cheng, B.J.; Saha, S.; et al. Low-loss plasmon-assisted electro-optic modulator. Nature 2018, 556, 483–486. [Google Scholar] [CrossRef] [PubMed]
- Lao, J.; Tao, J.; Wang, Q.J.; Huang, X.G. Tunable graphene-based plasmonic waveguides: Nano modulators and nano attenuators. Laser Photonics Rev. 2014, 8, 569–574. [Google Scholar] [CrossRef]
- Qu, S.; Ma, C.C.; Liu, H.X. Tunable graphene-based hybrid plasmonic modulators for subwavelength confinement. Sci. Rep. 2017, 7, 5190. [Google Scholar] [CrossRef]
- Nong, J.P.; Feng, F.; Gan, J.A.; Min, C.J.; Yuan, X.C.; Somekh, M. Active Modulation of Graphene Near-Infrared Electroabsorption Employing Borophene Plasmons in a Wide Waveband. Adv. Optical Mater. 2022, 10, 2102131. [Google Scholar] [CrossRef]
- Dionne, J.A.; Diest, K.; Sweatlock, L.A.; Atwater, H.A. PlasMOStor: A Metal-Oxide-Si Field Effect Plasmonic Modulator. Nano Lett. 2009, 9, 897–902. [Google Scholar] [CrossRef]
- Zhu, S.Y.; Lo, G.Q.; Kwong, D.L. Phase modulation in horizontal metal-insulator-silicon-insulator-metal plasmonic waveguides. Optics Exp. 2013, 21, 8320–8330. [Google Scholar] [CrossRef]
- Soref, R.A.; Bennett, B.R. Electrooptical effects in silicon. IEEE J. Quantum Electron. 1987, 23, 123–129. [Google Scholar] [CrossRef]
- Treyz, G.V.; May, P.G.; Halbout, J.M. Silicon optical modulators at 1.3 mu-m based on free-carrier absorption. Ieee Electron. Device Lett. 1991, 12, 276–278. [Google Scholar] [CrossRef]
- Sun, J.; Kumar, R.; Sakib, M.; Driscoll, J.B.; Jayatilleka, H.; Rong, H.S. A 128 Gb/s PAM4 Silicon Microring Modulator With Integrated Thermo-Optic Resonance Tuning. J. Lightwave Technol. 2019, 37, 110–115. [Google Scholar] [CrossRef]
- Roberts, S. OPTICAL PROPERTIES OF COPPER. Phys. Rev. 1960, 118, 1509–1518. [Google Scholar] [CrossRef]
- Mastronardi, L.; Banakar, M.; Khokhar, A.Z.; Hattasan, N.; Rutirawut, T.; Bucio, T.D.; Grabska, K.M.; Littlejohns, C.; Bazin, A.; Mashanovich, G.; et al. High-speed Si/GeSi hetero-structure Electro Absorption Modulator. Opt. Exp. 2018, 26, 6663–6673. [Google Scholar] [CrossRef] [PubMed]










| Temperature (K) | Insertion Loss (dB) | Extinction Ratio (dB) | Bit Rate (Gbps) | Energy Consumption (pJ/bit) |
|---|---|---|---|---|
| 280 | −9.6 | 19.9 | 37.8 | 4.12 |
| 300 | −9.7 | 21.7 | 36.5 | 4.40 |
| 320 | −9.8 | 25.7 | 35.5 | 4.52 |
| 340 | −9.85 | 37.75 | 35.3 | 4.65 |
| 360 | −9.9 | 30.7 | 34.3 | 4.78 |
| Line Width (nm) | Insertion Loss (dB) | Extinction Ratio (dB) | Bit Rate (Gbps) | Energy Consumption (pJ/bit) |
|---|---|---|---|---|
| 180 | −9.3 | 16.1 | 31.2 | 3.61 |
| 190 | −9.3 | 16.3 | 32.1 | 4.38 |
| 200 | −9.8 | 21.7 | 36.5 | 4.40 |
| 210 | −8.9 | 27.1 | 34.1 | 4.02 |
| 220 | −6.6 | 10.4 | 30.3 | 4.10 |
Publisher’s Note: MDPI stays neutral with regard to jurisdictional claims in published maps and institutional affiliations. |
© 2022 by the authors. Licensee MDPI, Basel, Switzerland. This article is an open access article distributed under the terms and conditions of the Creative Commons Attribution (CC BY) license (https://creativecommons.org/licenses/by/4.0/).
Share and Cite
Sun, J.; Wang, W.; Li, Z. A CMOS-Compatible Carrier-Injection Plasmonic Micro-Ring Modulator with Resonance Tuning by Carrier Concentration. Photonics 2022, 9, 272. https://doi.org/10.3390/photonics9050272
Sun J, Wang W, Li Z. A CMOS-Compatible Carrier-Injection Plasmonic Micro-Ring Modulator with Resonance Tuning by Carrier Concentration. Photonics. 2022; 9(5):272. https://doi.org/10.3390/photonics9050272
Chicago/Turabian StyleSun, Jiaqi, Wenwu Wang, and Zhihua Li. 2022. "A CMOS-Compatible Carrier-Injection Plasmonic Micro-Ring Modulator with Resonance Tuning by Carrier Concentration" Photonics 9, no. 5: 272. https://doi.org/10.3390/photonics9050272
APA StyleSun, J., Wang, W., & Li, Z. (2022). A CMOS-Compatible Carrier-Injection Plasmonic Micro-Ring Modulator with Resonance Tuning by Carrier Concentration. Photonics, 9(5), 272. https://doi.org/10.3390/photonics9050272
