Abstract
Background and Objectives: Chronic total occlusion (CTO) is a complex lesion of coronary artery disease (CAD) with a detection rate of approximately 25% on coronary angiography. CTO patients generally experience poor quality of life and prognosis. This study aims to evaluate the association between the estimated glucose disposal rate (eGDR), a surrogate marker for insulin resistance (IR), and the prognosis of CTO PCI patients, as well as to investigate the potential role of the systemic immune-inflammation index (SII) in this process. Methods: We retrospectively included 1482 non-diabetic patients who underwent successful CTO PCI at Anzhen Hospital between January 2018 and December 2021. The primary endpoint was major adverse cardiovascular events (MACEs). Clinical characteristics, biochemical markers, and interventional records were collected, and the eGDR and SII were calculated. Cox regression, restricted cubic splines (RCSs), receiver operating characteristic (ROC) analysis, and Kaplan–Meier curves were used to assess associations. Results: MACEs occurred in 158 patients (10.67%). Patients with MACEs had lower eGDR and higher SII levels. A high eGDR significantly reduced MACE risk (Q4 vs. Q1: HR 0.06, 95% CI 0.03–0.12), while a high SII increased it (Q4 vs. Q1: HR 3.32, 95% CI 1.78–6.33). The combination of low eGDRs and high SIIs predicted the highest MACE risk (HR 4.36, 95% CI 2.71–6.01). The SII partially mediated the relationship between eGDR and MACEs. Conclusions: A low eGDR and high SII are significant predictors of poor prognosis in non-diabetic CTO PCI patients. Combining the eGDR and the SII provides a comprehensive assessment for better predicting cardiovascular outcomes.
1. Introduction
Chronic total occlusion (CTO) is one of the more complex lesions of coronary artery disease (CAD), with an estimated detection rate of approximately 25% on coronary angiography [1,2]. Patients with CTO generally experience a poor quality of life and prognosis, making the management of this condition a pressing clinical issue [3]. However, the high procedural difficulty, high complication rates, and prolonged procedure times, coupled with the ongoing debate over the optimal treatment strategy between percutaneous coronary intervention (PCI) and medical therapy, have posed significant challenges [2,4]. Therefore, it is crucial to identify high-risk factors that influence the prognosis of patients undergoing CTO PCI.
Diabetes mellitus is a well-established risk factor for cardiovascular disease. However, in clinical practice, we have observed that some CTO patients do not meet the diagnostic criteria for diabetes but do exhibit insulin resistance (IR). Research on this subgroup of CTO patients is limited. IR is a pathophysiological state characterized by the decreased responsiveness of target organs or tissues to insulin [5], impaired glucose utilization [6], and consequent endothelial dysfunction and exacerbated inflammation [7,8,9]. While there are several methods to evaluate IR, their clinical applicability is limited due to their time-consuming and complex nature [10]. Previous studies have suggested that the estimated glucose disposal rate (eGDR) may be a reliable surrogate marker for IR. This parameter has shown significant heterogeneity between diabetic and non-diabetic populations, with the non-diabetic group being more sensitive to eGDR [11]. Additionally, the inflammatory response is also involved in the development and progression of cardiovascular disease (CVD) and is considered an independent risk factor for predicting patient outcomes [12]. The systemic immune-inflammation index (SII) is a novel inflammatory parameter, and its association with cardiovascular events in patients undergoing PCI has been scarcely studied. Furthermore, the prognostic value of eGDR in CTO PCI patients and the potential role of systemic inflammatory response in this process remain unclear.
To address these gaps, the present study consecutively enrolled 1482 CTO PCI patients with a median follow-up of 36 months, aiming to evaluate the association between the eGDR and the prognosis of CTO PCI patients, as well as to investigate whether the SII mediates this relationship.
2. Methods
2.1. Study Population and Follow-Up
We retrospectively included patients who underwent successful PCI for CTO at Anzhen Hospital from January 2018 to December 2021. CTO was defined as a coronary artery completely occluded for more than three months, involving the left anterior descending artery (LAD), left circumflex artery (LCX), or right coronary artery (RCA). Complete occlusion was characterized by the absence of antegrade flow on coronary angiography, indicated by a Thrombolysis in Myocardial Infarction (TIMI) flow grade of 0 [2]. Successful CTO-PCI was defined as achieving residual stenosis < 30% with a TIMI flow grade ≥ 2 [13]. Exclusion criteria were as follows: (1) CTO lesions in side branch vessels; (2) patients with a history of diabetes, on antidiabetic treatment, or diagnosed with diabetes based on fasting plasma glucose (FPG) ≥ 7.0 mmol/L, HbA1c ≥ 6.5%, or 2 h plasma glucose ≥ 11.1 mmol/L from an oral glucose tolerance test (OGTT) [14]; (3) patients with malignancies; (4) renal insufficiency defined as an estimated glomerular filtration rate (eGFR) < 60 mL/min/1.73 m2 [15]. A detailed flow chart is shown in Figure 1. Informed consent was waived due to the retrospective character of the study. However, It has obtained approval from the Human Research Ethics Committee of Beijing Anzhen Hospital, Capital Medical University, Beijing, China (Approval No. 2022177X).
Figure 1.
Flow chat of patient screening. CTO, chronic total occlusion; PCI, percutaneous coronary intervention; MACE, major adverse cardiovascular event.
Post-discharge, participants were followed up every 12 months until December 2021. Endpoints were determined through a review of medical records, telephone interviews, and WeChat communications with patients or their families. The primary endpoint was major adverse cardiovascular events (MACEs), including all-cause death, myocardial infarction (MI), and revascularization beyond three months post-discharge. MI was defined by the following: (1) elevated serum cardiac biomarkers (primarily troponin cTn); (2) accompanied by at least one of the following clinical indicators: (a) ischemic symptoms; (b) new ischemic ECG changes; (c) development of pathological Q waves on ECG; (d) imaging evidence of new viable myocardium loss or new regional wall motion abnormalities; (e) coronary angiography or autopsy evidence of an intracoronary thrombus [16]. Coronary artery disease (CAD) lesions were defined as ≥50% stenosis on angiography or ≥70% stenosis on angiography.
2.2. Data Collection
Clinical characteristics, biochemical markers, interventional procedure records, and discharge medication information were collected from the hospital’s electronic medical record system. Clinical characteristics included age, sex, smoking status, BMI, and waist circumference (WC). Comorbidities included hypertension, defined as systolic blood pressure ≥ 140 mmHg, diastolic blood pressure ≥ 90 mmHg, or use of an antihypertensive treatment [17]; based on the 2019 European Society of Cardiology/European Society of Atherosclerosis (ESC/EAS) Guidelines for the Management of Dyslipidemia, since all patients in our study were patients with ASCVD, we classified patients with LDL-C greater than 55 mg/dL (1.4 mmol/L) as having dyslipidemia [18]. Relevant medical history was taken, including previous revascularization and MI. Biochemical markers included TG, TC, LDL-C, HDL-C, fasting blood glucose (FBG), glycated hemoglobin (HbA1c), neutrophil (neu) count, lymphocyte (lym) count, and platelet count. The eGDR was calculated as 21.158 − (0.09 × WC) − (3.407 × hypertension) − (0.551 × HbA1c) [19], and the SII was calculated as PLT × (Neu/Lym) [20]. Angiographic information, including the location of CTO lesions (LAD, RCA, LCX, and left main coronary artery (LM)) and the presence of multivessel disease, was obtained from interventional procedure records. Medication information included post-discharge use of antiplatelet, lipid-lowering, and antihypertensive drugs.
2.3. Statistical Analysis
Continuous variables are presented as mean ± standard deviation for normally distributed data or median (interquartile range) for non-normal distributions. Categorical variables are displayed as frequency (percentage). Group differences were evaluated using the Chi-square test or Fisher’s exact test, depending on the context. To explore the relationship between the eGDR, the SII, and prognosis in CTO-PCI patients, three Cox regression models were fitted for the eGDR and SII, respectively. Model 1 was adjusted for age, sex, smoking, dyslipidemia, hypertension, and previous MI, previous revascularization; Model 2 was additionally adjusted for CTO lesion characteristics (location and multivessel disease); and Model 3 was further adjusted for medication use (dual antiplatelet therapy, statins, and antidiabetic drugs at discharge) and biochemical indicators (hs-CRP, TG, and HbA1c). Restricted cubic spline (RCS) functions were used to test potential nonlinear relationships between the eGDR, the SII, and MACEs. Receiver operating characteristic (ROC) curve analysis was performed to calculate the area under the curve (AUC) and assess the prognostic value of the eGDR, the SII, and their combination in CTO patients. The optimal cutoff values for the eGDR and SII were determined using ROC curve analysis. Kaplan–Meier curves were used to estimate the cumulative incidence of clinical events, and differences were assessed using the log-rank test. Additionally, mediation analysis was performed to explore whether systemic immune inflammation mediates the effect of insulin resistance on patient prognosis. In addition to the above analysis, we performed subgroup analyses to investigate the association of the eGDR and SII with MACEs based on age (≥60 years), gender, cardiac function (defined by left ventricular ejection fraction (LVEF) > 35%), CTO lesion location, and the completeness of revascularization. All statistical analyses were conducted using R version 4.2.3. A two-sided p-value < 0.05 was considered statistically significant.
3. Results
3.1. Baseline Characteristics
Initially, 2275 patients were included in the study. Of these, 545 patients had diabetes, 37 patients did not meet other inclusion criteria, 81 had unsuccessful procedures, and 130 were lost to follow-up, resulting in their exclusion. Ultimately, 1482 patients were included in the analysis. MACEs occurred in 158 patients (10.67%). Table 1 provides a comparison of baseline data between the groups, stratified by the occurrence of outcome events. Compared with patients without MACEs, those who experienced MACEs had distinct clinical and laboratory characteristics. Clinically, MACE patients were more likely to have hypertension and lower LVEF. Laboratory findings indicated that MACE patients had a lower eGDR and higher SII. Regarding CTO lesions, patients with MACEs were more likely to have lesions located in the LAD.
Table 1.
Baseline characteristics of participants.
3.2. Impact of eGDR and SII on CTO PCI Patients
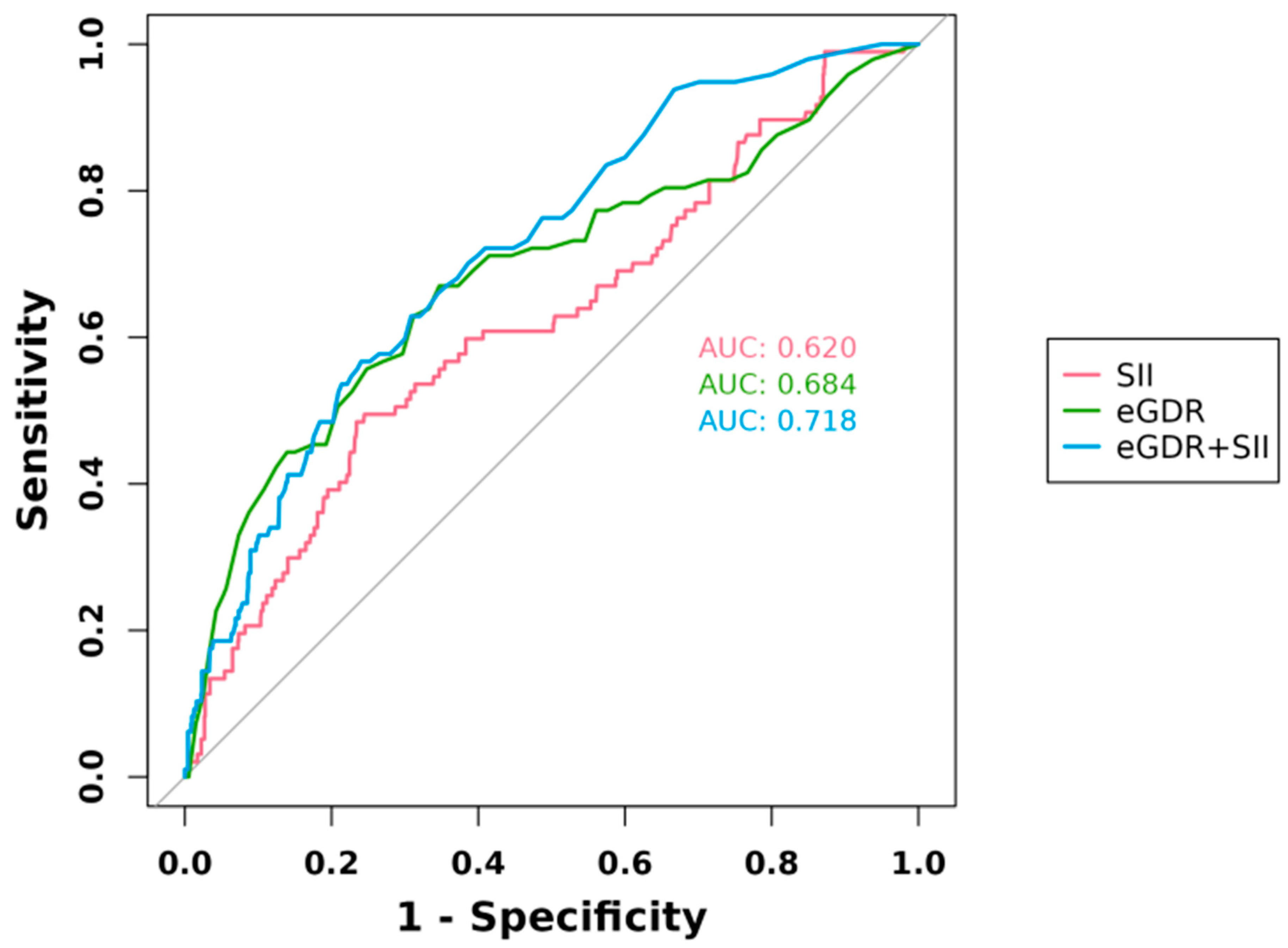
The association between the eGDR and MACEs is shown in Table 2. Patients with a higher eGDR had a significantly lower risk of MACEs compared with those with lower eGDRs (Q4 vs. Q1: HR 0.06, 95% CI 0.03–0.12). When the eGDR was treated as a continuous variable, each unit increase in the eGDR was associated with a 55% reduction in the risk of MACEs (Table 2). The RCS curve indicated a negative linear relationship between the eGDR and MACEs (nonlinearity p = 0.416) (Figure 2A). For predicting MACEs, the ROC curve showed that the AUC, sensitivity, and specificity of the eGDR were 0.684 (95% CI: 0.582–0.708), 78.9 %, and 56.2% (Figure 3). The optimal cutoff value for the eGDR was 7.1. Similarly, patients with higher SII levels had a significantly increased risk of MACEs compared with those with lower SII levels (Q4 vs. Q1: HR 3.32, 95% CI 1.78–6.33). Additionally, each unit increase in SII was associated with a 64% increase in the risk of MACEs (Table 2). The RCS curve also demonstrated a positive linear relationship between the SII and MACEs (nonlinearity p = 0.429) (Figure 2B). The AUC, sensitivity, and specificity for MACE prediction using the SII were 0.620 (95% CI 0.534–0.706), 77.3%, and 54.8%, with an optimal cutoff value of 710 for the SII (Figure 3).
Table 2.
Cox regression models for the association of the eGDR and SII with MACEs.
Figure 2.
(A) The eGDR of Restricted cubic spline curves for CTO-PCI patients; (B) The SII of Restricted cubic spline curves for CTO-PCI patients. The dashed lines means HR = 1. CTO, chronic total occlusion; PCI, percutaneous coronary intervention; eGDR, estimated glucose disposal rate; SII, systemic immune-inflammation index.
Figure 3.
ROC curves for the use of the eGDR, the SII, and their combination in predicting the MACEs of CTO patients. Optimal cutoff: eGDR, 7.10; SII, 710. ROC, receiver operating characteristic; AUC, area under the curve; eGDR, estimated glucose disposal rate; SII, systemic immune-inflammation index.
3.3. Impact of Combined eGDR and SII on Prognosis in CTO PCI
In our analysis, we found that patients with a low eGDR index and a high SII had a significantly higher risk of MACEs compared with those with a high eGDR index and a low SII (HR 4.36, 95% CI 2.71–6.01) (Table 3). The ROC curve for the TyG index-SHR combination showed an AUC for MACEs of 0.718 (95% CI 0.619–0.819) (Figure 3). The Kaplan–Meier curve demonstrated that CTO-PCI patients with a low eGDR and a high SII had the highest risk of MACEs during the follow-up period (Figure 4).
Table 3.
Cox regression models for the association of the combination of eGDR and SII with MACEs.
Figure 4.
Kaplan–Meier curves for the cumulative incidence of MACEs in patients grouped by the combination of eGDR and SII. KM1: Low eGDR and high SII; KM2: high eGDR and high SII; KM3: low eGDR and low SII; KM4: high eGDR and low SII. eGDR, estimated glucose disposal rate; SII, systemic immune-inflammation index.
3.4. Subgroup Analysis
In addition to the above analysis, we performed subgroup analyses to investigate the association of the eGDR and SII with MACEs based on age (≥60 years), gender, cardiac function (defined by ejection fraction > 35%), CTO lesion location, and the completeness of revascularization. The results were consistent with the main findings, showing no significant interaction effects across all subgroups (Table 4).
Table 4.
Subgroup analyses of the associations between eGDR, SII, and the risk of MACEs.
3.5. Mediation Analyses
Furthermore, a mediation analysis was performed to investigate the mediating function of the SII in the correlation between the eGDR and MACEs, as shown in Figure 5 and Table 5. The total effect coefficient for eGDR for the survival data was 3.62209 (95% CI: 3.33176, 4.12312), with a significant p-value of 0.004. The indirect effect coefficient mediated by the SII was 0.36036 (95% CI: 0.25529, 0.65750), with a p-value of 0.004. The direct effect coefficient was 3.26173 (95% CI: 2.90567, 3.66547), with a p-value of 0.004. The proportion of the effect mediated by the SII was 9.9% (95% CI: 7.1, 17.3).
Figure 5.
The mediating role of SII in the relationship between eGDR and MACEs. eGDR, estimated glucose disposal rate; SII, systemic immune-inflammation index; MACE, major adverse cardiovascular event.
Table 5.
The mediating role of SII in the relationship between eGDR and MACEs. eGDR, estimated glucose disposal rate; SII, systemic immune-inflammation index; MACE, major adverse cardiovascular event.
4. Discussion
This study is a large-scale, retrospective cohort study investigating the relationship between the eGDR and SII with the prognosis of patients undergoing PCI for CTO. This study is the first to combine the eGDR index with the SII to explore their joint predictive value for adverse outcomes in CTO patients after PCI. The results indicate that patients with a low eGDR index and a high SII have a higher risk of MACEs. The ROC curve analysis shows that the AUC for predicting MACEs using a combination of the eGDR and SII is greater than that of either index alone. We hypothesize that this phenomenon occurs because the eGDR index primarily assesses the degree of insulin resistance, while the SII reflects factors such as inflammatory burden, thereby providing a complementary effect. For predicting MACEs, the ROC curve showed that the AUC, sensitivity, and specificity for the eGDR were 0.684 (95% CI: 0.582–0.708), 78.9%, and 56.2%, respectively. In contrast, the AUC, sensitivity, and specificity for MACE prediction using the SII were 0.620 (95% CI: 0.534–0.706), 77.3%, and 54.8%, respectively. Additionally, the SII mediates the relationship between the eGDR and MACEs.
Previous studies have confirmed that for patients with arteriosclerotic cardiovascular disease (ASCVD), blood glucose levels significantly affect the outcome of intravascular therapy [21]. However, there are still few reports about IR. IR plays a crucial role in the development and progression of CVD [22]. Several mechanisms have been elucidated: IR promotes the progression of atherosclerosis and enhances the oxidation of LDL, and glycated apolipoproteins are more prone to oxidation [23]. Oxidized lipoproteins or apolipoproteins directly inhibit vascular smooth muscle relaxation and stimulate smooth muscle cell proliferation [24]. Insulin also affects thrombosis and platelet aggregation, potentially increasing prothrombotic tendencies by reducing circulating hemostatic markers. Moreover, insulin influences the production and responsiveness of substances related to vascular tone, stimulating the sympathetic nervous system and increasing plasma norepinephrine levels [25]. IR is associated with heightened sensitivity to angiotensin and a 40–50% reduction in nitric-oxide-mediated vasodilation caused by the endothelium, leading to matrix protein deposition and fibrosis and ultimately decreasing vascular relaxation function. IR can also cause renal sodium and water retention, increasing blood volume. In normal individuals, intravenous insulin reduces renal sodium excretion by 50%, a physiological effect absent in IR patients [26,27]. Given the importance of IR, several indices have been developed to assess it, such as the hyperinsulinemic–euglycemic clamp technique and the triglyceride–glucose index. However, these indices often have limitations regarding convenience, specificity, and sensitivity in clinical use [22,26]. Thus, our study employs a novel index, the eGDR, to evaluate IR in patients with coronary artery occlusion. Previous studies have shown significant heterogeneity in the eGDR among diabetic and non-diabetic populations, with the eGDR being more sensitive in non-diabetic individuals [10]. While earlier studies have attempted to use the eGDR to assess CVD prognosis, the predictive ability of the eGDR in non-diabetic CVD patients remains unclear due to the confounding effects of diabetes [11]. Therefore, this study focuses on non-diabetic CTO PCI patients to clarify the impact of IR on their prognosis. Recent clinical research has confirmed that eGDR levels significantly affect the prognosis of non-diabetic CVD patients, with each 1.0 standard deviation increase in the eGDR reducing CVD risk by 17% (HR: 0.83, 95% CI: 0.78–0.89), consistent with our findings [26].
Beyond these mechanisms, IR may also stimulate systemic inflammatory responses, further impairing endothelial function [27]. The SII is a novel, stable inflammatory marker that reflects local immune responses and systemic inflammation [28]. The SII is calculated as platelet count × neutrophil count/lymphocyte count, providing a comprehensive reflection of the inflammatory state compared with single inflammatory markers [29]. Initially used to predict cancer prognosis, SII has also been associated with the development of cerebrovascular diseases. A recent study found that high SII levels are independently associated with an increased risk of cardiac events in patients undergoing PCI [29]. In our study, we determined the optimal SII cutoff (≥710) for predicting MACEs in CTO PCI patients. Recent studies have confirmed that high SII levels correlate with lower collateral circulation scores in CTO patients, possibly because inflammatory cells and factors affect the development of coronary collaterals [30]. Patients with better collateral circulation have improved protection, providing blood supply during major coronary occlusions, reducing myocardial ischemia, and improving myocardial function. In addition to affecting collateral circulation, inflammation is a crucial factor in the development of in-stent restenosis (ISR) [31]. During early post-stent placement, mechanical injuries related to the stent can cause endothelial cell rupture and dysfunction or plaque rupture, triggering inflammatory responses and platelet activation. In later stages, smooth muscle cell proliferation and migration and extracellular matrix production can lead to neointimal hyperplasia and atherosclerosis. Inflammatory responses contribute to neointimal hyperplasia and atherosclerosis formation, promoting ISR development and affecting post-PCI prognosis [32].
5. Limitations
Although this study included a large consecutive sample, several limitations remain. First, as a single-center retrospective study, some biases are inevitable. Additionally, the 130 patients who were excluded from the study due to loss to follow-up may have characteristics and outcomes that differ from those included, which could lead to selection bias. Future prospective multi-center studies are needed to confirm the robustness of our conclusions. Second, the eGDR and SII are time-dependent variables, and due to follow-up constraints, we could not observe their trajectory over time. Our next step is to collaborate more closely with community health centers to monitor the impact of these indices’ trajectories on the prognosis of CTO PCI patients. Third, previous studies have confirmed that life’s essential 8 (LE8) factors are important independent risk factors for CVD patients [33], but our study did not include LE8 assessments. Fourth, we did not incorporate coronary functional characteristics, such as coronary blood flow and flow reserve. The impact of insulin resistance and systemic inflammation on coronary function warrants further investigation.
6. Conclusions
In conclusion, our study highlights the importance of combining the eGDR and SII to better predict the prognosis of non-diabetic patients undergoing CTO PCI, offering a more comprehensive assessment of insulin resistance and systemic inflammation’s impact on cardiovascular outcomes.
Author Contributions
Conceptualization: J.L.; methodology: W.C.; formal analysis and investigation: W.C.; writing—original draft preparation: W.C.; writing—review and editing: W.C., Y.L., Y.S. and J.L.; funding acquisition: J.L.; supervision: J.L. and Y.S. All authors have read and agreed to the published version of the manuscript.
Funding
The National Natural Science Fund of China (Nos. 82200441, 81970291, and 82170344).
Institutional Review Board Statement
It has obtained approval from the Human Research Ethics Committee of Beijing Anzhen Hospital, Capital Medical University, Beijing, China (Approval No. 2022177X).
Informed Consent Statement
Informed consent was waived due to the retrospective character of the study.
Data Availability Statement
The datasets used and/or analyzed during the current study are available from the corresponding author upon reasonable request.
Acknowledgments
We would like to thank the researchers and study participants for their contributions.
Conflicts of Interest
The authors declare that they have no competing interests.
References
- Azzalini, L.; Karmpaliotis, D.; Santiago, R.; Mashayekhi, K.; Di Mario, C.; Rinfret, S.; Nicholson, W.J.; Carlino, M.; Yamane, M.; Tsuchikane, E. Contemporary Issues in Chronic Total Occlusion Percutaneous Coronary Intervention. JACC Cardiovasc. Interv. 2022, 15, 1–21. [Google Scholar] [CrossRef] [PubMed]
- Ybarra, L.F.; Rinfret, S.; Brilakis, E.S.; Karmpaliotis, D.; Azzalini, L.; Grantham, J.A.; Kandzari, D.E.; Mashayekhi, K.; Spratt, J.C.; Wijeysundera, H.C.; et al. Definitions and Clinical Trial Design Principles for Coronary Artery Chronic Total Occlusion Therapies: CTO-ARC Consensus Recommendations. Circulation 2021, 143, 479–500. [Google Scholar] [CrossRef] [PubMed]
- Tajstra, M.; Pyka, Ł.; Gorol, J.; Pres, D.; Gierlotka, M.; Gadula-Gacek, E.; Gąsior, M. Impact of Chronic Total Occlusion of the Coronary Artery on 340 Long-Term Prognosis in Patients with Ischemic Systolic Heart Failure: Insights from the 341 COMMIT-HF Registry. JACC Cardiovasc. Interv. 2016, 9, 1790–1797. [Google Scholar] [CrossRef] [PubMed]
- Brilakis, E.S.; Mashayekhi, K.; Burke, M.N. How DECISION-CTO Can Help Guide the Decision to Perform Chronic Total Occlusion Percutaneous Coronary Intervention. Circulation 2019, 139, 1684–1687. [Google Scholar] [CrossRef] [PubMed]
- Zhang, Z.; Zhao, L.; Lu, Y.; Meng, X.; Zhou, X. Association between non-insulin-based insulin resistance indices and cardiovascular events in patients undergoing percutaneous coronary intervention: A retrospective study. Cardiovasc. Diabetol. 2023, 22, 161. [Google Scholar] [CrossRef]
- Jin, A.; Wang, S.; Li, J.; Wang, M.; Lin, J.; Li, H.; Meng, X.; Wang, Y.; Pan, Y. Mediation of systemic inflammation on insulin resistance and prognosis of nondiabetic patients with ischemic stroke. Stroke 2023, 54, 759–769. [Google Scholar] [CrossRef] [PubMed]
- Ye, Z.; Xu, Y.; Tang, L.; Wu, M.; Wu, B.; Zhu, T.; Wang, J. Predicting long-term prognosis after percutaneous coronary intervention in patients with new onset ST-elevation myocardial infarction: Development and external validation of a nomogram model. Cardiovasc. Diabetol. 2023, 22, 87. [Google Scholar] [CrossRef] [PubMed]
- Bornfeldt, K.E.; Tabas, I. Insulin resistance, hyperglycemia, and atherosclerosis. Cell Metab. 2011, 14, 575–585. [Google Scholar] [CrossRef]
- Jia, G.; Whaley-Connell, A.; Sowers, J.R. Diabetic cardiomyopathy: A hyperglycaemia- and insulin-resistance-induced heart disease. Diabetologia 2018, 61, 21–28. [Google Scholar] [CrossRef]
- Bonora, E.; Targher, G.; Alberiche, M.; Bonadonna, R.C.; Saggiani, F.; Zenere, M.B.; Muggeo, M. Homeostasis model assessment closely mirrors the glucose clamp technique in the assessment of insulin sensitivity: Studies in subjects with various degrees of glucose tolerance and insulin sensitivity. Diabetes Care 2000, 23, 57–63. [Google Scholar] [CrossRef]
- Ren, X.; Jiang, M.; Han, L.; Zheng, X. Estimated glucose disposal rate and risk of cardiovascular disease: Evidence from the China health and retirement longitudinal study. BMC Geriatr. 2022, 22, 968. [Google Scholar] [CrossRef]
- Açar, G.; Kalkan, M.E.; Avci, A.; Alizade, E.; Tabakci, M.M.; Toprak, C.; Özkan, B.; Alici, G.; Esen, A.M. The Relation of Platelet-lymphocyte Ratio and Coronary Collateral Circulation in Patients with Stable Angina Pectoris and Chronic Total Occlusion. Clin. Appl. Thromb. Hemost. 2015, 21, 462–468. [Google Scholar] [CrossRef] [PubMed]
- Perera, D.; Ryan, M.; Morgan, H.P.; Greenwood, J.P.; Petrie, M.C.; Dodd, M.; Das, P. Viability and Outcomes with Revascularization or Medical Therapy in Ischemic Ventricular Dysfunction: A Prespecified Secondary Analysis of the REVIVED-BCIS2 Trial. JAMA Cardiol. 2023, 8, e233803. [Google Scholar] [CrossRef] [PubMed]
- American Diabetes Association. Diabetes American 2 Classification and diagnosis of diabetes: Standards of medical care in diabetes-2018. Diabetes Care 2018, 41, 27. [Google Scholar]
- Chang, Y.S.; Li, Y.H.; Lee, I.T. A synergistic effect of variability in estimated glomerular filtration rate with chronic kidney disease on all-cause mortality prediction in patients with type 2 diabetes: A retrospective cohort study. Cardiovasc. Diabetol. 2021, 20, 209. [Google Scholar] [CrossRef]
- Thygesen, K.; Alpert, J.S.; Jaffe, A.S.; Chaitman, B.R.; Bax, J.J.; Morrow, D.A.; White, H.D. Fourth Universal Definition of Myocardial Infarction (2018). J. Am. Coll Cardiol. 2018, 72, 2231–2264. [Google Scholar] [CrossRef]
- Williams, B.; Mancia, G.; Spiering, W.; Rosei, E.A.; Azizi, M.; Burnier, M.; Denis, L. 2018 ESC/ESH Guidelines for the management of arterial hypertension. Eur. Heart J. 2018, 39, 3021–3104. [Google Scholar] [CrossRef]
- Mach, F.; Baigent, C.; Catapano, A.L.; Koskinas, K.C.; Casula, M.; Badimon, L.; Chapman, M.J.; De Backer, G.G.; Delgado, V.; Ference, B.A.; et al. 2019 ESC/EAS Guidelines for the management of dyslipidaemias: Lipid modification to reduce cardiovascular risk. Eur. Heart J. 2020, 41, 111–188. [Google Scholar] [CrossRef] [PubMed]
- Guerrero-Romero, F.; Simental-Mendia, L.E.; Gonzalez-Ortiz, M.; Martínez-Abundis, E.; Ramos-Zavala, M.G.; Hernández-González, S.O.; Rodríguez-Morán, M. The product of triglycerides and glucose, a simple measure of insulin sensitivity comparison with the euglycemic-hyperinsulinemic clamp. J. Clin. Endocrinol. Metab. 2010, 95, 3347–3351. [Google Scholar] [CrossRef]
- Xu, M.; Chen, R.; Liu, L.; Liu, X.; Hou, J.; Liao, J.; Zhang, P.; Huang, J.; Chen, L.; Fan, M.; et al. Systemic Immune-inflammation Index and Incident Cardiovascular Diseases Among Middle-aged and Elderly Chinese Adults: The Dongfeng-Tongji Cohort Study. Atherosclerosis 2021, 323, 20–29. [Google Scholar] [CrossRef]
- Wachsmann, A.; Maga, M.; Schönborn, M.; Olszewska, M.; Blukacz, M.; Cebeńko, M.; Trynkiewicz, A.; Maga, P. Impact of pre-operative glycated haemoglobin A1C level on 1-year outcomes of endovascular treatment in patients with critical limb ischemia in the course of diabetes mellitus. Folia. Med. Cracov. 2019, 59, 49–60. [Google Scholar]
- Song, Y.; Cui, K.; Yang, M.; Song, C.; Yin, D.; Dong, Q.; Gao, Y.; Dou, K. High triglyceride-glucose index and stress hyperglycemia ratio as predictors of adverse cardiac events in patients with coronary chronic total occlusion: A large-scale prospective cohort study. Cardiovasc. Diabetol. 2023, 22, 180. [Google Scholar] [CrossRef] [PubMed]
- Brazionis, L.; Rowley, K.; Jenkins, A.; Itsiopoulos, C.; O’Dea, K. Plasminogen activator inhibitor-1 activity in type 2 diabetes: A different relationship with coronary heart disease and diabetic retinopathy. Arterioscler. Thromb. Vasc. Biol. 2008, 28, 786–791. [Google Scholar] [CrossRef]
- Ozkul, A.; Turgut, E.T.; Akyol, A.; Yenisey, C.; Kadikoylu, G.; Tataroglu, C.; Kiylioglu, N. The relationship between insulin resistance and hypercoagulability in acute ischemic stroke. Eur. Neurol. 2010, 64, 201–206. [Google Scholar] [CrossRef] [PubMed]
- Wu, Z.; Zhou, D.; Liu, Y.; Li, Z.; Wang, J.; Han, Z.; Miao, X.; Liu, X.; Li, X.; Wang, W.; et al. Association of TyG index and TG/HDL-C ratio with arterial stiffness progression in a non-normotensive population. Cardiovasc. Diabetol. 2021, 20, 134. [Google Scholar] [CrossRef] [PubMed]
- He, J.; Huang, J.F.; Li, C.; Chen, J.; Lu, X.; Chen, J.-C.; He, H.; Li, J.-X.; Cao, J.; Chen, C.-S.; et al. Sodium Sensitivity, Sodium Resistance, and Incidence of Hypertension: A Longitudinal Follow-Up Study of Dietary Sodium Intervention. Hypertension 2021, 78, 155–164. [Google Scholar] [CrossRef] [PubMed]
- Chen, W.; Wang, X.; Chen, J.; You, C.; Ma, L.; Zhang, W.; Li, D. Household air pollution, adherence to a healthy lifestyle, and risk of cardiometabolic multimorbidity: Results from the China health and retirement longitudinal study. Sci. Total Environ. 2023, 855, 158896. [Google Scholar] [CrossRef]
- Tian, B.W.; Yang, Y.F.; Yang, C.C.; Yan, L.-J.; Ding, Z.-N.; Liu, H.; Xue, J.-S.; Dong, Z.-R.; Chen, Z.-Q.; Hong, J.-G.; et al. Systemic immune-inflammation index predicts prognosis of cancer immunotherapy: Systemic review and meta-analysis. Immunotherapy 2022, 14, 1481–1496. [Google Scholar] [CrossRef]
- Nøst, T.H.; Alcala, K.; Urbarova, I.; Byrne, K.S.; Guida, F.; Sandanger, T.M.; Johansson, M. Systemic inflammation markers and cancer incidence in the UK Biobank. Eur. J. Epidemiol. 2021, 36, 841–848. [Google Scholar] [CrossRef] [PubMed]
- Adali, M.K.; Buber, I.; Sen, G.; Yilmaz, S. Relationship between Systemic Immune-Inflammation Index and Coronary Collateral Circulation in Patients with Chronic Total Occlusion. Arq. Bras. Cardiol 2022, 119, 69–75. [Google Scholar]
- Xie, F.; Yu, Z.; Xiong, Y.; Wu, Z.; Wu, Y. Systemic immune-inflammation index and in-stent restenosis in patients with acute coronary syndrome: A single-center retrospective study. Eur. J. Med. Res. 2024, 29, 145. [Google Scholar] [CrossRef] [PubMed]
- Chandrasekar, B.; Tanguay, J.F. Platelets and restenosis. J. Am. Coll Cardiol. 2000, 35, 555–562. [Google Scholar] [CrossRef]
- Loyd-Jones, D.M.; Allen, N.B.; Anderson, C.A.M.; Black, T.; Brewer, L.C.; Foraker, R.E.; Grandner, M.A.; Lavretsky, H.; Perak, A.M.; Sharma, G.; et al. Life’s Essential 8: Updating and Enhancing the American Heart Association’s Construct of Cardiovascular Health: A Presidential Advisory from the American Heart Association. Circulation 2022, 146, e18–e43. [Google Scholar] [CrossRef]
Disclaimer/Publisher’s Note: The statements, opinions and data contained in all publications are solely those of the individual author(s) and contributor(s) and not of MDPI and/or the editor(s). MDPI and/or the editor(s) disclaim responsibility for any injury to people or property resulting from any ideas, methods, instructions or products referred to in the content. |
© 2024 by the authors. Licensee MDPI, Basel, Switzerland. This article is an open access article distributed under the terms and conditions of the Creative Commons Attribution (CC BY) license (https://creativecommons.org/licenses/by/4.0/).




