Application of Whisker-Toughened Aerogel to Recycling of Used Polyurethane Sheets
Abstract
1. Introduction
2. Results and Discussion
2.1. Analysis of Whisker-Toughened SiO2 Aerogel Materials
Scanning Electron Microscopy Analysis of Whisker-Toughened SiO2 Aerogel
2.2. Analysis of Whisker-Toughened SiO2 Aerogel-Regenerated Polyol-Based Polyurethane Nanocomposites
2.2.1. Fourier-Transform Infrared Spectral Analysis of Whisker-Toughened SiO2 Aerogel-Regenerated Polyol-Based Polyurethane Nanocomposites
2.2.2. Viscosity Test Analysis of Waste Polyurethane Degradation Products
2.2.3. Scanning Electron Microscope Test and Analysis of Whisker-Toughened SiO2 Aerogel-Regenerated Polyol-Based Polyurethane Nanocomposites
2.2.4. Analysis of Apparent Density Testing of Whisker-Toughened SiO2 Aerogel-Regenerated Polyol-Based Polyurethane Nanocomposites
2.2.5. Test and Analysis of Compressive Strength of Whisker-Toughened SiO2 Aerogel-Regenerated Polyol-Based Polyurethane Nanocomposites
2.2.6. Test and Analysis of Thermal Conductivity of Whisker-Toughened SiO2 Aerogel-Regenerated Polyol-Based Polyurethane Nanocomposites
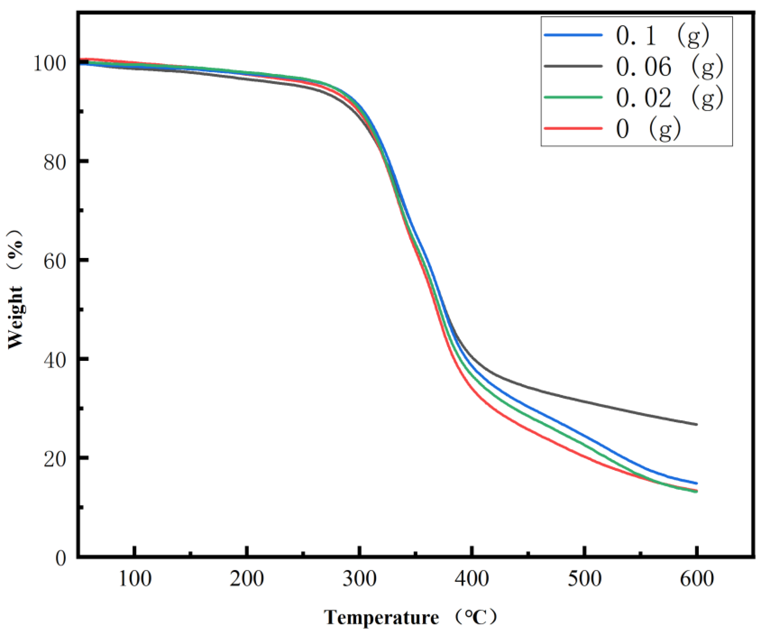
2.2.7. Analysis of Whisker-Toughened SiO2 Aerogel-Regenerated Polyol-Based Polyurethane Nanocomposites for Heat Loss Testing
2.3. Discussion and Analysis
2.3.1. Mechanism of Whisker-Toughened Silica Aerogel-Reinforced Polyurethane Foam
2.3.2. Heat Insulation Mechanism of Whisker-Toughened Silica Aerogel-Regenerated Polyol-Based Polyurethane Nanocomposites
3. Conclusions
- With a wt% = 0.9% whisker content, the distribution of silica aerogel particles is uniform, and the three-dimensional network skeleton structure is optimal.
- Used polyurethane was prepared for recycling using a wt% = 0.9% whisker content with 0.06 g of 2# aerogel. The waste polyurethane degradation had the lowest viscosity of 3864.52 m·Pa·s; this was produced by the regeneration of polyurethane foam. The foam hole wall thickness was 18.46, the pore diameter was 94.45, and the length of the skeleton was 52.09. The bubble skeleton was thick and had a sturdy structure that was close to ortho-pentagonal. The physical properties were good, with a density of 54 kg/m3 and a compression strength of up to 0.3271 Mpa.
- The thermal properties resulting from the use of wt% = 0.9% whisker content with 0.06 g of 2# aerogel were examined in recycled polyurethane. With a thermal conductivity of 0.0228 W/(m·K), the insulation effect was good. At the thermal decomposition temperature of 275 °C, the residual rate of thermal stability, heat preservation, and the thermal insulation performance were excellent.
4. Materials and Methods
4.1. Whisker-Toughened Aerogel Preparation
4.2. Preparation of Whisker-Toughened Aerogel-Regenerated Polyol-Based Polyurethane Nanomaterials
4.3. Test Methods
4.3.1. Fourier-Transform Infrared Spectroscopy Analytical Tests
4.3.2. Scanning Electron Microscope Tests
4.3.3. Viscosity Test
4.3.4. Apparent Density Test
4.3.5. Compression Strength Test
4.3.6. Thermal Conductivity Test
4.3.7. Thermal Weight Loss Test
Author Contributions
Funding
Institutional Review Board Statement
Informed Consent Statement
Data Availability Statement
Conflicts of Interest
References
- Soloveva, O.V.; Solovev, S.A.; Vankov, Y.V.; Shakurova, R.Z. Experimental Studies of the Effective Thermal Conductivity of Polyurethane Foams with Different Morphologies. Processes 2022, 10, 2257. [Google Scholar] [CrossRef]
- Cai, H.; Feng, S.; Feng, M.; He, X.; Liu, C.; He, M.; Bu, X.; Huang, J.; Zhou, Y. Coral-Inspired Asymmetrically Porous Radiative Cooling Biofilm with Thermoplastic Polyurethane-Enhanced Mechanical Tolerance as Building Energy-Saving Envelope. ACS Appl. Polym. Mater. 2023, 5, 10053–10064. [Google Scholar] [CrossRef]
- Rifathin, A.; Dara, F.; Novriadi, D.; Radini, F.A.; Vicarneltor, D.N.; Burhani, D.; Sondari, D.; Septevani, A.A. Study on properties of rigid polyurethane foam as a thermal building insulator at varied mixing conditions. IOP Conf. Ser. Earth Environ. Sci. 2023, 1201, 012057. [Google Scholar] [CrossRef]
- Cucciniello, R.; Anastas, P.T. Design for degradation or recycling for reuse? Curr. Opin. Green Sustain. Chem. 2021, 31, 100528. [Google Scholar] [CrossRef]
- Kemona, A.; Piotrowska, M. Polyurethane Recycling and Disposal: Methods and Prospects. Polymers 2020, 12, 1752. [Google Scholar] [CrossRef]
- Shafigullin, L.N.; Romanova, N.V.; Gabrakhmanov, A.T.; Korchagin, O.P.; Shamsutdinov, I.R.; Agashkin, D.A. Recycling components made of polyurethane foam. IOP Conf. Ser. Mater. Sci. Eng. 2020, 915, 012051. [Google Scholar] [CrossRef]
- Madbouly, S.A. Novel recycling processes for thermoset polyurethane foams. Curr. Opin. Green Sustain. Chem. 2023, 42, 100835. [Google Scholar] [CrossRef]
- Zia, K.M.; Bhatti, H.N.; Ahmad Bhatti, I. Methods for polyurethane and polyurethane composites, recycling and recovery: A review. React. Funct. Polym. 2007, 67, 675–692. [Google Scholar] [CrossRef]
- Istrate, I.-R.; Galvez-Martos, J.-L.; Vázquez, D.; Guillén-Gosálbez, G.; Dufour, J. Prospective analysis of the optimal capacity, economics and carbon footprint of energy recovery from municipal solid waste incineration. Resour. Conserv. Recycl. 2023, 193, 106943. [Google Scholar] [CrossRef]
- Liu, B.; Westman, Z.; Richardson, K.; Lim, D.; Stottlemyer, A.L.; Farmer, T.; Gillis, P.; Vlcek, V.; Christopher, P.; Abu-Omar, M.M. Opportunities in Closed-Loop Molecular Recycling of End-of-Life Polyurethane. ACS Sustain. Chem. Eng. 2023, 11, 6114–6128. [Google Scholar] [CrossRef]
- Conterosito, E.; Monti, M.; Scrivani, M.T.; Kociolek, I.; Poncini, I.; Ivaldi, C.; Laus, M.; Gianotti, V. Toward chemical recycling of PU foams: Study of the main purification options. Analyst 2024, 149, 1609–1617. [Google Scholar] [CrossRef]
- Li, J.; Zhu, H.; Fang, D.; Huang, X.; Zhang, C.; Luo, Y. Mechanochemistry recycling of polyurethane foam using urethane exchange reaction. J. Environ. Chem. Eng. 2023, 11, 110269. [Google Scholar] [CrossRef]
- Deng, C.; Zhang, H.; Zhao, B.; Chen, Y.; Li, Y.; Zhang, T.; Qiu, F. Highly strength and flame-retardant aerogel cooler with reticular porous structures for building energy saving. Sol. Energy 2024, 279, 112840. [Google Scholar] [CrossRef]
- Wang, J.; Petit, D.; Ren, S. Transparent thermal insulation silica aerogels. Nanoscale Adv. 2020, 2, 5504–5515. [Google Scholar] [CrossRef]
- Thie, C.; Quallen, S.; Ibrahim, A.; Xing, T.; Johnson, B. Study of Energy Saving Using Silica Aerogel Insulation in a Residential Building. Gels 2023, 9, 86. [Google Scholar] [CrossRef]
- Jia, G.; Guo, J.; Guo, Y.; Yang, F.; Ma, Z. CO2 adsorption properties of aerogel and application prospects in low-carbon building materials: A review. Case Stud. Constr. Mater. 2024, 20, e03171. [Google Scholar] [CrossRef]
- Zhang, K.; Li, T.; Wang, Z.; Sheng, Z.; Zhang, X. Recyclable thermo-insulating panels made by reversible gelling of dispersed silica aerogel microparticles. J. Sol-Gel Sci. Technol. 2023, 106, 432–443. [Google Scholar] [CrossRef]
- He, S.; Wu, X.; Zhang, X.; Sun, J.; Tian, F.; Guo, S.; Du, H.; Li, P.; Huang, Y. Preparation and properties of thermal insulation coating based on silica aerogel. Energy Build. 2023, 298, 113556. [Google Scholar] [CrossRef]
- Akhter, F.; Soomro, S.A.; Inglezakis, V.J. Silica aerogels; a review of synthesis, applications and fabrication of hybrid composites. J. Porous Mater. 2021, 28, 1387–1400. [Google Scholar] [CrossRef]
- Salimian, S.; Malfait, W.J.; Zadhoush, A.; Talebi, Z.; Naeimirad, M. Fabrication and evaluation of silica aerogel-epoxy nanocomposites: Fracture and toughening mechanisms. Theor. Appl. Fract. Mech. 2018, 97, 156–164. [Google Scholar] [CrossRef]
- Xue, J.; Han, R.; Li, Y.; Zhang, J.; Liu, J.; Yang, Y. Advances in multiple reinforcement strategies and applications for silica aerogel. J. Mater. Sci. 2023, 58, 14255–14283. [Google Scholar] [CrossRef]
- Di, Z.; Ma, S.; Wang, H.; Guan, Z.; Lian, B.; Qiu, Y.; Jiang, Y. Modulation of Thermal Insulation and Mechanical Property of Silica Aerogel Thermal Insulation Coatings. Coatings 2022, 12, 1421. [Google Scholar] [CrossRef]
- Cui, K.; Zhang, Y.; Fu, T.; Wang, J.; Zhang, X. Toughening Mechanism of Mullite Matrix Composites: A Review. Coatings 2020, 10, 672. [Google Scholar] [CrossRef]
- Yi, Z.; Zhang, X.; Yan, L.; Huyan, X.; Zhang, T.; Liu, S.; Guo, A.; Liu, J.; Hou, F. Super-insulated, flexible, and high resilient mullite fiber reinforced silica aerogel composites by interfacial modification with nanoscale mullite whisker. Compos. Part B Eng. 2022, 230, 109549. [Google Scholar] [CrossRef]
- Yi, Z.; Yan, L.; Zhang, T.; Guo, A.; Liu, J.; Jin, W.; Liu, S.; Jing, W.; Hou, F. Thermal insulated and mechanical enhanced silica aerogel nanocomposite with in-situ growth of mullite whisker on the surface of aluminum silicate fiber. Compos. Part A Appl. Sci. Manuf. 2020, 136, 105968. [Google Scholar] [CrossRef]
- Zhang, B.; Liu, Y.; Wu, Q.; Zhou, M.; Su, D.; Ji, H.; Li, X. Super-insulating, ultralight and high-strength mullite-based nanofiber composite aerogels. J. Eur. Ceram. Soc. 2022, 42, 5995–6004. [Google Scholar] [CrossRef]
- Zhang, X.; Zhang, T.; Yi, Z.; Yan, L.; Liu, S.; Yao, X.; Guo, A.; Liu, J.; Hou, F. Multiscale mullite fiber/whisker reinforced silica aerogel nanocomposites with enhanced compressive strength and thermal insulation performance. Ceram. Int. 2020, 46, 28561–28568. [Google Scholar] [CrossRef]
- Nazeran, N.; Moghaddas, J. Synthesis and characterization of silica aerogel reinforced rigid polyurethane foam for thermal insulation application. J. Non-Cryst. Solids 2017, 461, 1–11. [Google Scholar] [CrossRef]
- Gu, X.; Zhu, S.; Liu, S.; Liu, Y. Study of Aerogel-Modified Recycled Polyurethane Nanocomposites. Nanomaterials 2023, 13, 2583. [Google Scholar] [CrossRef]
- Cimavilla-Román, P.; Pérez-Tamarit, S.; Santiago-Calvo, M.; Rodríguez-Pérez, M.Á. Influence of silica aerogel particles on the foaming process and cellular structure of rigid polyurethane foams. Eur. Polym. J. 2020, 135, 109884. [Google Scholar] [CrossRef]
- Pinilla-Peñalver, E.; del Fresno, Ó.; Cantero, D.; Moreira, A.; Gomes, F.; Miranda, F.; Oliveira, M.; Ornelas, M.; Sánchez-Silva, L.; Romero, A. Enhancing Flame-Retardant Properties of Polyurethane Aerogels Doped with Silica-Based Particles. Gels 2024, 10, 465. [Google Scholar] [CrossRef] [PubMed]
- Shandurkov, D.; Danchova, N.; Spassov, T.; Petrov, V.; Gutzov, S. Luminescence of Binary-Doped Silica Aerogel Powders: A Two-Step Sol-Gel Approach. Gels 2024, 10, 104. [Google Scholar] [CrossRef] [PubMed]
- Joshi, S.C.; Manikandan, P.; Jothi, Y. Enhancement Studies on Manufacturing and Properties of Novel Silica Aerogel Composites. Gels 2018, 4, 5. [Google Scholar] [CrossRef]
- Woignier, T.; Primera, J.; Alaoui, A.; Etienne, P.; Despestis, F.; Calas-Etienne, S. Mechanical Properties and Brittle Behavior of Silica Aerogels. Gels 2015, 1, 256–275. [Google Scholar] [CrossRef] [PubMed]
- Yang, J.; Wu, H.; Liang, Y.; Cen, J.; Zhang, X. A Comparative Assessment of Different Aerogel-Insulated Building Walls for Enhanced Thermal Insulation Performance. Gels 2023, 9, 943. [Google Scholar] [CrossRef]
- Pedroso, M.; Silvestre, J.D.; Gomes, M.G.; Bersch, J.D.; Flores-Colen, I. Application of Silica-Aerogel-Fibre-Based Thermal Renders for Retrofits in Building Walls: A Comparative Assessment with Benchmark Solutions. Gels 2023, 9, 861. [Google Scholar] [CrossRef]












| Aerogel Types | Aerogel Content (g) | Rotors | Product Weigh (g) | Stickiness (m·Pa·s) | Rotational Speed (rpm) | Temp (°C) |
|---|---|---|---|---|---|---|
| 1# | 0.02 | 2# | 163.9 | 6789.69 | 0.6 | 25.6 |
| 1# | 0.06 | 2# | 156.2 | 8562.36 | 6 | 25.6 |
| 1# | 0.1 | 2# | 172.5 | 8453.39 | 6 | 25.6 |
| 2# | 0.02 | 3# | 170.26 | 4356.56 | 12 | 25.6 |
| 2# | 0.06 | 2# | 183.47 | 3864.52 | 6 | 25.6 |
| 2# | 0.1 | 2# | 174.04 | 3968.34 | 0.6 | 25.6 |
| 3# | 0.02 | 2# | 164.8 | 6568.38 | 6 | 25.6 |
| 3# | 0.06 | 2# | 161.44 | 8846.95 | 6 | 25.6 |
| 3# | 0.1 | 2# | 161.43 | 8954.51 | 12 | 25.6 |
| Aerogel Types | Aerogel Content (g) | Wall Thickness (μm) | Diameter of Hole (μm) | Skeleton Length (μm) |
|---|---|---|---|---|
| 1# | 0.02 | 14.79 | 107.98 | 61.35 |
| 1# | 0.06 | 16.39 | 102.35 | 68.72 |
| 1# | 0.1 | 15.72 | 110.34 | 68.81 |
| 2# | 0.02 | 17.01 | 95.72 | 48.86 |
| 2# | 0.06 | 18.46 | 94.45 | 52.09 |
| 2# | 0.1 | 17.39 | 94.85 | 59.91 |
| 3# | 0.02 | 14.38 | 114.16 | 75.27 |
| 3# | 0.06 | 14.63 | 113.01 | 76.32 |
| 3# | 0.1 | 13.79 | 118.59 | 79.96 |
| Aerogel Types | Aerogel Content (g) | Maximum Pressure (Pa) | Compressive Strength (MPa) |
|---|---|---|---|
| 1# | 0.02 | 530.69 | 0.2125 |
| 1# | 0.06 | 691.89 | 0.277 |
| 1# | 0.1 | 517.1 | 0.207 |
| 2# | 0.02 | 585.86 | 0.234 |
| 2# | 0.06 | 817.93 | 0.3271 |
| 2# | 0.1 | 557.95 | 0.223 |
| 3# | 0.02 | 514.56 | 0.206 |
| 3# | 0.06 | 616.16 | 0.246 |
| 3# | 0.1 | 387.44 | 0.155 |
| Silicon Dioxide Aerogel Addition (g) | Thermal Conductivity W/(m·K) |
|---|---|
| 0 | 0.0297 |
| 0.02 | 0.0244 |
| 0.06 | 0.0228 |
| 0.1 | 0.0229 |
| Name of Reagents | Specifications and Grades | Manufacturer |
|---|---|---|
| Ethyl orthosilicate | Analytically pure | Shanghai McLean Biochemical Technology Co., Shanghai China |
| Anhydrous ethanol | Jinzhou Gucheng Chemical Reagent Co., Jinzhou, China | |
| HCl | Maoming Xiongda Chemical Co., Maoming, China | |
| Ammonia | Guangzhou Hoying Chemical Technology Co., Guangzhou, China | |
| Silane coupling agent (KH550) | Jinan Haowen Industrial Co., Jinan, China | |
| n-hexane | Shenzhen Baishunxing New Material Co., Shenzhen, China | |
| Mullite whiskers | - | Self-restraint |
| Name of Reagents | Specifications and Grades | Manufacturer |
|---|---|---|
| Polyether 4110 | Industrial grade | Wanke New Material Co., Dongying, China |
| Triethanolamine (TEA) | Analytically pure | Nanjing Renheng Chemical Co., Nanjing, China |
| Dibutyltin dilaurate | Industrial grade | Shinden Chemical Materials (Shanghai) Co., Shanghai, China |
| Dimethyl silicone oil CAS287-92-3 | Analytically pure | Jinan Silicon Harbor Chemical Co., Jinan, China |
| Black material (IPDI) | Industrial grade | Liang New Material Technology Co., Zibo, China |
| Cyclopentane | Analytically pure | Jinhe Chemical Co., Yantai, China |
| Whisker-toughened SiO2 aerogel | - | Self-restraint |
| Regenerated Polyol | - | Self-restraint |
| Serial Number | 1# (g) | 2# (g) | 3# (g) |
|---|---|---|---|
| 1 | 0.02 | 0 | 0 |
| 2 | 0.06 | 0 | 0 |
| 3 | 0.1 | 0 | 0 |
| 4 | 0 | 0.02 | 0 |
| 5 | 0 | 0.06 | 0 |
| 6 | 0 | 0.1 | 0 |
| 7 | 0 | 0 | 0.02 |
| 8 | 0 | 0 | 0.06 |
| 9 | 0 | 0 | 0.1 |
Disclaimer/Publisher’s Note: The statements, opinions and data contained in all publications are solely those of the individual author(s) and contributor(s) and not of MDPI and/or the editor(s). MDPI and/or the editor(s) disclaim responsibility for any injury to people or property resulting from any ideas, methods, instructions or products referred to in the content. |
© 2024 by the authors. Licensee MDPI, Basel, Switzerland. This article is an open access article distributed under the terms and conditions of the Creative Commons Attribution (CC BY) license (https://creativecommons.org/licenses/by/4.0/).
Share and Cite
Gu, X.; Chen, J.; Zhu, S.; Zhao, Q.; Zhang, Y.; Su, Q. Application of Whisker-Toughened Aerogel to Recycling of Used Polyurethane Sheets. Gels 2024, 10, 793. https://doi.org/10.3390/gels10120793
Gu X, Chen J, Zhu S, Zhao Q, Zhang Y, Su Q. Application of Whisker-Toughened Aerogel to Recycling of Used Polyurethane Sheets. Gels. 2024; 10(12):793. https://doi.org/10.3390/gels10120793
Chicago/Turabian StyleGu, Xiaohua, Jiatong Chen, Shangwen Zhu, Qinglong Zhao, Yanxun Zhang, and Qingyong Su. 2024. "Application of Whisker-Toughened Aerogel to Recycling of Used Polyurethane Sheets" Gels 10, no. 12: 793. https://doi.org/10.3390/gels10120793
APA StyleGu, X., Chen, J., Zhu, S., Zhao, Q., Zhang, Y., & Su, Q. (2024). Application of Whisker-Toughened Aerogel to Recycling of Used Polyurethane Sheets. Gels, 10(12), 793. https://doi.org/10.3390/gels10120793

