Chitosan–Silica Composite Aerogel for the Adsorption of Cupric Ions
Abstract
1. Introduction
2. Results and Discussion
2.1. Properties of the Composite Aerogel Adsorbent
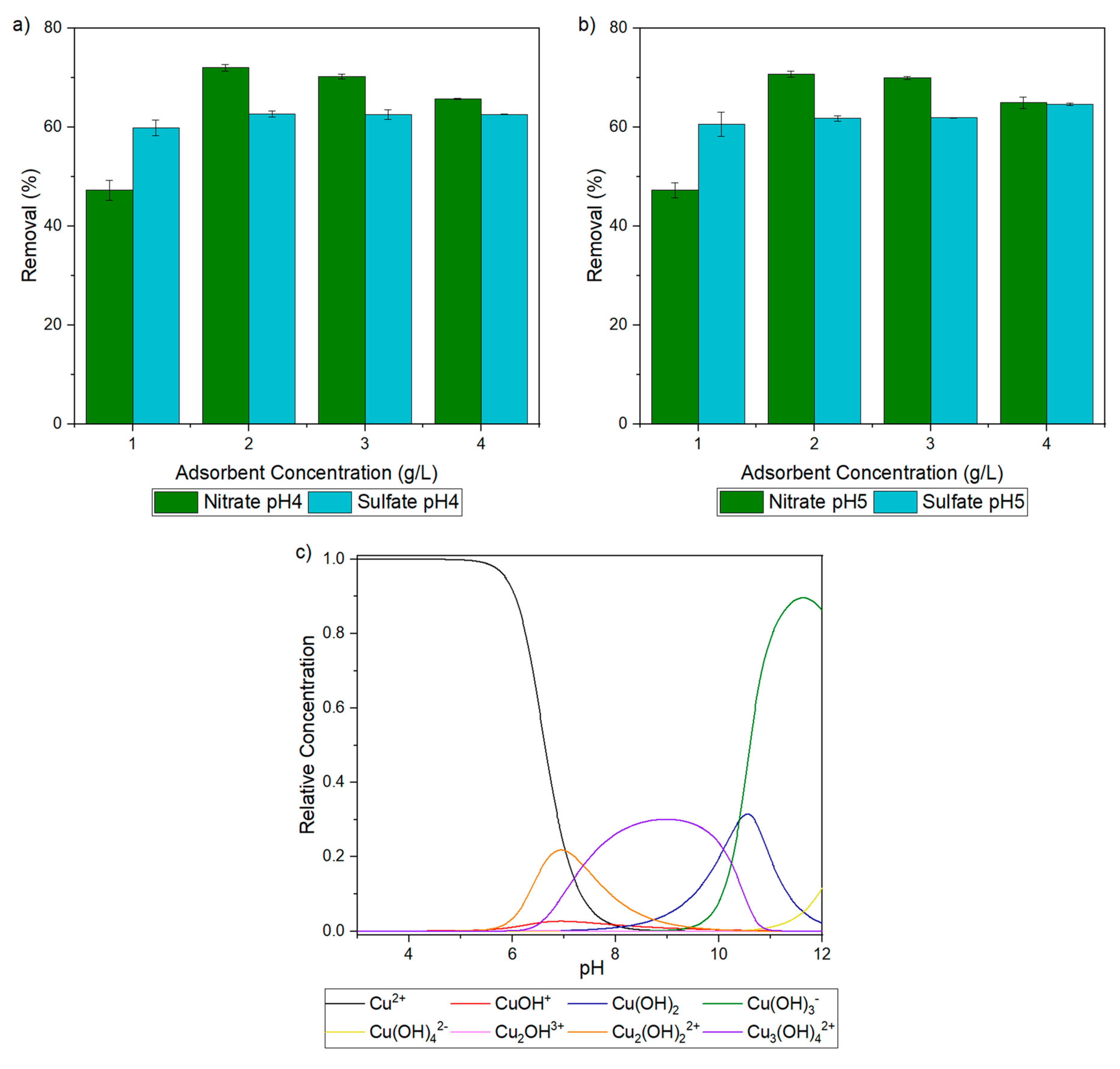
2.2. Influence of Test Parameters on the Adsorption of Cupric Ions
2.3. Adsorption Kinetics
2.4. Adsorption Isotherms
2.5. Effect of Cupric Ion Adsorption on Aerogel Structure
3. Conclusions
4. Materials and Methods
4.1. Materials
4.2. Synthesis of the Chitosan–Silica Composite Aerogel
4.3. Characterization
4.4. Batch Adsorption Tests
4.5. Analysis of Adsorption Data
Supplementary Materials
Author Contributions
Funding
Institutional Review Board Statement
Informed Consent Statement
Data Availability Statement
Acknowledgments
Conflicts of Interest
References
- Duffus, J.H. “Heavy Metals”—A Meaningless Term? (IUPAC Technical Report). Pure Appl. Chem. 2002, 74, 793–807. [Google Scholar] [CrossRef]
- Bolan, N.S.; Choppala, G.; Kunhikrishnan, A.; Park, J.; Naidu, R. Microbial Transformation of Trace Elements in Soils in Relation to Bioavailability and Remediation. In Reviews of Environmental Contamination and Toxicology; Whitacre, D.M., Ed.; Springer: New York, NY, USA, 2013; pp. 1–56. ISBN 978-1-4614-6470-9. [Google Scholar]
- U.S. Environmental Protection Agency. EPA’s 7th Drinking Water Infrastructure Needs Survey and Assessment. Available online: https://www.epa.gov/ground-water-and-drinking-water/epas-7th-drinking-water-infrastructure-needs-survey-and-assessment (accessed on 27 September 2023).
- Loria, K. Are There Still Heavy Metals in Baby Food? Available online: https://www.consumerreports.org/babies-kids/baby-food/are-heavy-metal-levels-in-baby-foods-getting-better-a1163977621/ (accessed on 27 September 2023).
- Oorts, K. Copper. In Heavy Metals in Soils: Trace Metals and Metalloids in Soils and Their Bioavailability; Alloway, B.J., Ed.; Springer: Dordrecht, The Netherlands, 2013; pp. 367–394. [Google Scholar]
- The International Council on Mining and Metals. Trends in the Mining and Metals Industry; The International Council on Mining and Metals: London, UK, 2012. [Google Scholar]
- Alloway, B.J. Introduction. In Heavy Metals in Soils: Trace Metals and Metalloids in Soils and Their Bioavailability; Alloway, B.J., Ed.; Springer: Dordrecht, The Netherlands, 2013; pp. 3–9. [Google Scholar]
- Bolan, N.S.; Adriano, D.C.; Naidu, R. Role of Phosphorus in (Im)Mobilization and Bioavailability of Heavy Metals in the Soil-Plant System. In Reviews of Environmental Contamination and Toxicology: Continuation of Residue Reviews; Springer: New York, NY, USA, 2003; Volume 177, pp. 1–44. ISBN 978-0-387-21725-3. [Google Scholar]
- Cutler, C.P. Use of Metals in Our Society. In Metal Allergy; Chen Jennifer, K., Thyssen, J.P., Eds.; Springer International Publishing: Cham, Switzerland, 2018; pp. 3–16. [Google Scholar]
- Clavadetscher, J.; Hoffmann, S.; Lilienkampf, A.; Mackay, L.; Yusop, R.M.; Rider, S.A.; Mullins, J.J.; Bradley, M. Copper Catalysis in Living Systems and In Situ Drug Synthesis. Angew. Chem. Int. Ed. 2016, 55, 15662–15666. [Google Scholar] [CrossRef]
- Su, L.; Dong, J.; Liu, L.; Sun, M.; Qiu, R.; Zhou, Y.; Yin, S.-F. Copper Catalysis for Selective Heterocoupling of Terminal Alkynes. J. Am. Chem. Soc. 2016, 138, 12348–12351. [Google Scholar] [CrossRef]
- Lang, F.; Zewge, D.; Houpis, I.N.; Volante, R.P. Amination of Aryl Halides Using Copper Catalysis. Tetrahedron Lett. 2001, 42, 3251–3254. [Google Scholar] [CrossRef]
- Martínez, C.E.; Motto, H.L. Solubility of Lead, Zinc and Copper Added to Mineral Soils. Environ. Pollut. 2000, 107, 153–158. [Google Scholar] [CrossRef] [PubMed]
- Uriu-Adams, J.Y.; Keen, C.L. Copper, Oxidative Stress, and Human Health. Mol. Asp. Med. 2005, 26, 268–298. [Google Scholar] [CrossRef] [PubMed]
- Burakov, A.E.; Galunin, E.V.; Burakova, I.V.; Kucherova, A.E.; Agarwal, S.; Tkachev, A.G.; Gupta, V.K. Adsorption of Heavy Metals on Conventional and Nanostructured Materials for Wastewater Treatment Purposes: A Review. Ecotoxicol. Environ. Saf. 2018, 148, 702–712. [Google Scholar] [CrossRef] [PubMed]
- Croissant, J.G.; Butler, K.S.; Zink, J.I.; Brinker, C.J. Synthetic Amorphous Silica Nanoparticles: Toxicity, Biomedical and Environmental Implications. Nat. Rev. Mater. 2020, 5, 886–909. [Google Scholar] [CrossRef]
- Budnyak, T.M.; Pylypchuk, I.V.; Tertykh, V.A.; Yanovska, E.S.; Kolodynska, D. Synthesis and Adsorption Properties of Chitosan-Silica Nanocomposite Prepared by Sol-Gel Method. Nanoscale Res. Lett. 2015, 10, 87. [Google Scholar] [CrossRef] [PubMed]
- Vareda, J.P.; Valente, A.J.M.; Durães, L. Assessment of Heavy Metal Pollution from Anthropogenic Activities and Remediation Strategies: A Review. J. Environ. Manag. 2019, 246, 101–118. [Google Scholar] [CrossRef] [PubMed]
- Ihsanullah, I.; Sajid, M.; Khan, S.; Bilal, M. Aerogel-Based Adsorbents as Emerging Materials for the Removal of Heavy Metals from Water: Progress, Challenges, and Prospects. Sep. Purif. Technol. 2022, 291, 120923. [Google Scholar] [CrossRef]
- Wang, Y.; Cui, K.; Bai, J.; Fang, B.; Wang, F. Cost-Effective Preparation of Gold Tailing-Based Aerogels for Efficient Adsorption of Copper Ions from Wastewater. Water 2023, 15, 669. [Google Scholar] [CrossRef]
- Pandis, C.; Madeira, S.; Matos, J.; Kyritsis, A.; Mano, J.F.; Ribelles, J.L.G. Chitosan–Silica Hybrid Porous Membranes. Mater. Sci. Eng. C 2014, 42, 553–561. [Google Scholar] [CrossRef] [PubMed]
- Zhu, Z.; Jiang, L.; Liu, J.; He, S.; Shao, W. Sustainable, Highly Efficient and Superhydrophobic Fluorinated Silica Functionalized Chitosan Aerogel for Gravity-Driven Oil/Water Separation. Gels 2021, 7, 66. [Google Scholar] [CrossRef]
- Lee, E.-J.; Shin, D.-S.; Kim, H.-E.; Kim, H.-W.; Koh, Y.-H.; Jang, J.-H. Membrane of Hybrid Chitosan–Silica Xerogel for Guided Bone Regeneration. Biomaterials 2009, 30, 743–750. [Google Scholar] [CrossRef]
- Ebisike, K.; Okoronkwo, A.E.; Alaneme, K.K. Synthesis and Characterization of Chitosan–Silica Hybrid Aerogel Using Sol-Gel Method. J. King Saud. Univ. Sci. 2020, 32, 550–554. [Google Scholar] [CrossRef]
- El Kurdi, R.; Chebl, M.; Sillanpää, M.; El-Rassy, H.; Patra, D. Chitosan Oligosaccharide/Silica Nanoparticles Hybrid Porous Gel for Mercury Adsorption and Detection. Mater. Today Commun. 2021, 28, 102707. [Google Scholar] [CrossRef]
- Ma, Q.; Liu, Y.; Dong, Z.; Wang, J.; Hou, X. Hydrophobic and Nanoporous Chitosan–Silica Composite Aerogels for Oil Absorption. J. Appl. Polym. Sci. 2015, 132, 1–11. [Google Scholar] [CrossRef]
- Vareda, J.P.; Lamy-Mendes, A.; Durães, L. A Reconsideration on the Definition of the Term Aerogel Based on Current Drying Trends. Microporous Mesoporous Mater. 2018, 258, 211–216. [Google Scholar] [CrossRef]
- Lamy-Mendes, A.; Pontinha, A.D.R.; Santos, P.; Durães, L. Aerogel Composites Produced from Silica and Recycled Rubber Sols for Thermal Insulation. Materials 2022, 15, 7897. [Google Scholar] [CrossRef]
- Almeida, C.M.R.; Ghica, M.E.; Ramalho, A.L.; Durães, L. Silica-Based Aerogel Composites Reinforced with Different Aramid Fibres for Thermal Insulation in Space Environments. J. Mater. Sci. 2021, 56, 13604–13619. [Google Scholar] [CrossRef]
- Zhao, S.; Malfait, W.J.; Jeong, E.; Fischer, B.; Zhang, Y.; Xu, H.; Angelica, E.; Risen, W.M.; Suggs, J.W.; Koebel, M.M. Facile One-Pot Synthesis of Mechanically Robust Biopolymer–Silica Nanocomposite Aerogel by Cogelation of Silicic Acid with Chitosan in Aqueous Media. ACS Sustain. Chem. Eng. 2016, 4, 5674–5683. [Google Scholar] [CrossRef]
- Wang, J.; Zhou, Q.; Song, D.; Qi, B.; Zhang, Y.; Shao, Y.; Shao, Z. Chitosan–Silica Composite Aerogels: Preparation, Characterization and Congo Red Adsorption. J. Solgel Sci. Technol. 2015, 76, 501–509. [Google Scholar] [CrossRef]
- Dakroury, G.A.; Abo-Zahra, S.F.; Hassan, H.S.; Fathy, N.A. Utilization of Silica–Chitosan Nanocomposite for Removal of 152+154Eu Radionuclide from Aqueous Solutions. J. Radioanal. Nucl. Chem. 2020, 323, 439–455. [Google Scholar] [CrossRef]
- Wade, L.G., Jr.; Simek, J.W. Organic Chemistry, 9th ed.; Pearson: London, UK, 2016. [Google Scholar]
- Eshraghi, F.; Nezamzadeh-Ejhieh, A. EDTA-Functionalized Clinoptilolite Nanoparticles as an Effective Adsorbent for Pb(II) Removal. Environ. Sci. Pollut. Res. 2018, 25, 14043–14056. [Google Scholar] [CrossRef]
- Al-Oweini, R.; El-Rassy, H. Synthesis and Characterization by FTIR Spectroscopy of Silica Aerogels Prepared Using Several Si(OR)4 and R′′Si(OR′)3 Precursors. J. Mol. Struct. 2009, 919, 140–145. [Google Scholar] [CrossRef]
- Fernandes Queiroz, M.; Melo, K.; Sabry, D.; Sassaki, G.; Rocha, H. Does the Use of Chitosan Contribute to Oxalate Kidney Stone Formation? Mar. Drugs 2014, 13, 141–158. [Google Scholar] [CrossRef] [PubMed]
- Zhang, Y.; Xue, C.; Xue, Y.; Gao, R.; Zhang, X. Determination of the Degree of Deacetylation of Chitin and Chitosan by X-Ray Powder Diffraction. Carbohydr. Res. 2005, 340, 1914–1917. [Google Scholar] [CrossRef] [PubMed]
- Haroun, A.A.; Elnahrawy, A.M.; Abd-Alla, H.I. Sol-Gel Preparation and in Vitro Cytotoxic Activity of Nanohybrid Structures Based on Multi-Walled Carbon Nanotubes and Silicate. Inorg. Nano-Met. Chem. 2017, 47, 1023–1027. [Google Scholar] [CrossRef]
- Vareda, J.P.; García-González, C.A.; Valente, A.J.M.; Simón-Vázquez, R.; Stipetic, M.; Durães, L. Insights on Toxicity, Safe Handling and Disposal of Silica Aerogels and Amorphous Nanoparticles. Environ. Sci. Nano 2021, 8, 1177–1195. [Google Scholar] [CrossRef]
- Tran, T.N.; Van Anh Pham, T.; Phung Le, M.L.; Thoa Nguyen, T.P.; Tran, V.M. Synthesis of Amorphous Silica and Sulfonic Acid Functionalized Silica Used as Reinforced Phase for Polymer Electrolyte Membrane. Adv. Nat. Sci. Nanosci. Nanotechnol. 2013, 4, 045007. [Google Scholar] [CrossRef]
- Jia, Z.; Yang, C.; Zhao, F.; Chao, X.; Li, Y.; Xing, H. One-Step Reinforcement and Deacidification of Paper Documents: Application of Lewis Base—Chitosan Nanoparticle Coatings and Analytical Characterization. Coatings 2020, 10, 1226. [Google Scholar] [CrossRef]
- Dinh Du, P.; Hieu, N.T.; To, T.C.; Bach, L.G.; Tinh, M.X.; Xuan Mau, T.; Quang Khieu, D. Aminopropyl Functionalised MCM-41: Synthesis and Application for Adsorption of Pb(II) and Cd(II). Adv. Mater. Sci. Eng. 2019, 2019, 8573451. [Google Scholar] [CrossRef]
- Faghihian, H.; Nourmoradi, H.; Shokouhi, M. Removal of Copper (II) and Nickel (II) from Aqueous Media Using Silica Aerogel Modified with Amino Propyl Triethoxysilane as an Adsorbent: Equilibrium, Kinetic, and Isotherms Study. Desalination Water Treat. 2014, 52, 305–313. [Google Scholar] [CrossRef]
- Powell, K.J.; Brown, P.L.; Byrne, R.H.; Gajda, T.; Hefter, G.; Sjöberg, S.; Wanner, H. Chemical Speciation of Environmentally Significant Metals with Inorganic Ligands Part 2: The Cu2+-OH−, Cl−, CO32−, SO42−, and PO43− Systems (IUPAC Technical Report). Pure Appl. Chem. 2007, 79, 895–950. [Google Scholar] [CrossRef]
- Lam, K.F.; Chen, X.; McKay, G.; Yeung, K.L. Anion Effect on Cu2+ Adsorption on NH2 -MCM-41. Ind. Eng. Chem. Res. 2008, 47, 9376–9383. [Google Scholar] [CrossRef]
- Vareda, J.P.; Valente, A.J.M.; Durães, L. Silica Aerogels/Xerogels Modified with Nitrogen-Containing Groups for Heavy Metal Adsorption. Molecules 2020, 25, 2788. [Google Scholar] [CrossRef]
- Vareda, J.P. On Validity, Physical Meaning, Mechanism Insights and Regression of Adsorption Kinetic Models. J. Mol. Liq. 2023, 376, 121416. [Google Scholar] [CrossRef]
- Crank, J. The Mathematics of Diffusion, 2nd ed.; Oxford University Press: Oxford, UK, 1975. [Google Scholar]
- Rajiv Gandhi, M.; Kousalya, G.N.; Viswanathan, N.; Meenakshi, S. Sorption Behaviour of Copper on Chemically Modified Chitosan Beads from Aqueous Solution. Carbohydr. Polym. 2011, 83, 1082–1087. [Google Scholar] [CrossRef]
- Kobya, M.; Demirbas, E.; Senturk, E.; Ince, M. Adsorption of Heavy Metal Ions from Aqueous Solutions by Activated Carbon Prepared from Apricot Stone. Bioresour. Technol. 2005, 96, 1518–1521. [Google Scholar] [CrossRef]
- Wang, H.; Zhou, A.; Peng, F.; Yu, H.; Yang, J. Mechanism Study on Adsorption of Acidified Multiwalled Carbon Nanotubes to Pb(II). J. Colloid. Interface Sci. 2007, 316, 277–283. [Google Scholar] [CrossRef]
- Vareda, J.P.; Matos, P.D.; Valente, A.J.M.; Durães, L. A New Schiff Base Organically Modified Silica Aerogel-Like Material for Metal Ion Adsorption with Ni Selectivity. Adsorpt. Sci. Technol. 2022, 2022, 8237403. [Google Scholar] [CrossRef]
- Yang, H.; Xu, R.; Xue, X.; Li, F.; Li, G. Hybrid Surfactant-Templated Mesoporous Silica Formed in Ethanol and Its Application for Heavy Metal Removal. J. Hazard. Mater. 2008, 152, 690–698. [Google Scholar] [CrossRef] [PubMed]
- Chaisuwan, T.; Komalwanich, T.; Luangsukrerk, S.; Wongkasemjit, S. Removal of Heavy Metals from Model Wastewater by Using Polybenzoxazine Aerogel. Desalination 2010, 256, 108–114. [Google Scholar] [CrossRef]
- Matias, P.M.C.; Sousa, J.F.M.; Bernardino, E.F.; Vareda, J.P.; Durães, L.; Abreu, P.E.; Marques, J.M.C.; Murtinho, D.; Valente, A.J.M. Reduced Chitosan as a Strategy for Removing Copper Ions from Water. Molecules 2023, 28, 4110. [Google Scholar] [CrossRef]
- Ghalab, S.; Sebak, M.A.; Abdallah, E.M.; Abdelghany, A.M. Chitosan/Waste Glass Composite as New Material for Copper Removal from Contaminated Water. Mater. Chem. Phys. 2022, 290, 126613. [Google Scholar] [CrossRef]
- Bhattacharya, S.; Bar, N.; Rajbansi, B.; Das, S.K. Adsorptive Elimination of Cu(II) from Aqueous Solution by Chitosan-NanoSiO2 Nanocomposite—Adsorption Study, MLR, and GA Modeling. Water Air Soil. Pollut. 2021, 232, 161. [Google Scholar] [CrossRef]
- Zhang, M.; Tan, C.; Hou, J.; Zhang, C.; Xue, Y. Study on the Preparation and Application of Chitosan/Silica Cu(II) Imprinted Microspheres. IOP Conf. Ser. Earth Environ. Sci. 2021, 691, 012005. [Google Scholar] [CrossRef]
- Joshi, S.; Srivastava, R.K. Adsorptive Removal of Lead (Pb), Copper (Cu), Nickel (Ni) and Mercury (Hg) Ions from Water Using Chitosan Silica Gel Composite. Environ. Monit. Assess. 2019, 191, 615. [Google Scholar] [CrossRef] [PubMed]
- Zhao, H.; Xu, J.; Lan, W.; Wang, T.; Luo, G. Microfluidic Production of Porous Chitosan/Silica Hybrid Microspheres and Its Cu(II) Adsorption Performance. Chem. Eng. J. 2013, 229, 82–89. [Google Scholar] [CrossRef][Green Version]
- Ghaee, A.; Shariaty-Niassar, M.; Barzin, J.; Matsuura, T. Effects of Chitosan Membrane Morphology on Copper Ion Adsorption. Chem. Eng. J. 2010, 165, 46–55. [Google Scholar] [CrossRef]
- Rajiv Gandhi, M.; Meenakshi, S. Preparation and Characterization of Silica Gel/Chitosan Composite for the Removal of Cu(II) and Pb(II). Int. J. Biol. Macromol. 2012, 50, 650–657. [Google Scholar] [CrossRef]
- Jin, X.; Li, K.; Ning, P.; Bao, S.; Tang, L. Removal of Cu(II) Ions from Aqueous Solution by Magnetic Chitosan-Tripolyphosphate Modified Silica-Coated Adsorbent: Characterization and Mechanisms. Water Air Soil. Pollut. 2017, 228, 302. [Google Scholar] [CrossRef]
- Pourjavadi, A.; Tehrani, Z.M.; Salimi, H.; Banazadeh, A.; Abedini, N. Hydrogel Nanocomposite Based on Chitosan-g-Acrylic Acid and Modified Nanosilica with High Adsorption Capacity for Heavy Metal Ion Removal. Iran. Polym. J. 2015, 24, 725–734. [Google Scholar] [CrossRef]
- Wang, X.; Lü, H. Preparation of β-Cyclodextrin-Grafted-Carboxymethyl Chitosan Adsorbent and Its Properties. Chin. J. Environ. Eng. 2015, 9, 2237–2242. [Google Scholar]
- Escoda, A.; Euvrard, M.; Lakard, S.; Husson, J.; Mohamed, A.S.; Knorr, M. Ultrafiltration-Assisted Retention of Cu(II) Ions by Adsorption on Chitosan-Functionalized Colloidal Silica Particles. Sep. Purif. Technol. 2013, 118, 25–32. [Google Scholar] [CrossRef]
- Plohl, O.; Ajdnik, U.; Gyergyek, S.; Ban, I.; Vesel, A.; Glaser, T.K.; Zemljič, L.F. Superior Stability and High Biosorbent Efficiency of Carboxymethylchitosan Covalently Linked to Silica-Coated Core-Shell Magnetic Nanoparticles for Application in Copper Removal. J. Environ. Chem. Eng. 2019, 7, 102913. [Google Scholar] [CrossRef]
- Abdelrahman, E.A.; Hegazey, R.M. Exploitation of Egyptian Insecticide Cans in the Fabrication of Si/Fe Nanostructures and Their Chitosan Polymer Composites for the Removal of Ni(II), Cu(II), and Zn(II) Ions from Aqueous Solutions. Compos. B Eng. 2019, 166, 382–400. [Google Scholar] [CrossRef]
- Li, K.; Wang, Y.; Huang, M.; Yan, H.; Yang, H.; Xiao, S.; Li, A. Preparation of Chitosan- Graft -Polyacrylamide Magnetic Composite Microspheres for Enhanced Selective Removal of Mercury Ions from Water. J. Colloid. Interface Sci. 2015, 455, 261–270. [Google Scholar] [CrossRef] [PubMed]
- Mousavi, S.J.; Parvini, M.; Ghorbani, M. Adsorption of Heavy Metals (Cu2+ and Zn2+) on Novel Bifunctional Ordered Mesoporous Silica: Optimization by Response Surface Methodology. J. Taiwan. Inst. Chem. Eng. 2018, 84, 123–141. [Google Scholar] [CrossRef]
- Shi, H.; Yang, J.; Zhu, L.; Yang, Y.; Yuan, H.; Yang, Y.; Liu, X. Removal of Pb2+, Hg2+, and Cu2+ by Chain-Like Fe3O4 @SiO2 @Chitosan Magnetic Nanoparticles. J. Nanosci. Nanotechnol. 2016, 16, 1871–1882. [Google Scholar] [CrossRef] [PubMed]
- Li, L.; Xi, P.; Wang, X.; Cheng, B. Luminescent CS-SiO2@TEuTTA Membrane for Simultaneous Detection and Adsorption of Copper(II) Ions. J. Environ. Chem. Eng. 2023, 11, 109573. [Google Scholar] [CrossRef]
- Gabrin, V.A.; Nikiforova, T.E. Extraction of Copper Ions with Composite Sorbents Based on Chitosan from Aqueous Solutions of Electrolytes in the Presence of a Surfactant. Prot. Met. Phys. Chem. Surf. 2023, 59, 554–562. [Google Scholar] [CrossRef]
- Ghaee, A.; Shariaty-Niassar, M.; Barzin, J.; Zarghan, A. Adsorption of Copper and Nickel Ions on Macroporous Chitosan Membrane: Equilibrium Study. Appl. Surf. Sci. 2012, 258, 7732–7743. [Google Scholar] [CrossRef]
- Wan Ngah, W.S.; Kamari, A.; Koay, Y.J. Equilibrium and Kinetics Studies of Adsorption of Copper (II) on Chitosan and Chitosan/PVA Beads. Int. J. Biol. Macromol. 2004, 34, 155–161. [Google Scholar] [CrossRef]
- Li, A.; Lin, R.; Lin, C.; He, B.; Zheng, T.; Lu, L.; Cao, Y. An Environment-Friendly and Multi-Functional Absorbent from Chitosan for Organic Pollutants and Heavy Metal Ion. Carbohydr. Polym. 2016, 148, 272–280. [Google Scholar] [CrossRef]
- Zhang, Y.; Yuan, K.; Magagnin, L.; Wu, X.; Jiang, Z.; Wang, W. Schiff Base Functionalized Silica Aerogels for Enhanced Removal of Pb (II) and Cu (II): Performances, DFT Calculations and LCA Analysis. Chem. Eng. J. 2023, 462, 142019. [Google Scholar] [CrossRef]
- Štandeker, S.; Veronovski, A.; Novak, Z.; Knez, Ž. Silica Aerogels Modified with Mercapto Functional Groups Used for Cu(II) and Hg(II) Removal from Aqueous Solutions. Desalination 2011, 269, 223–230. [Google Scholar] [CrossRef]
- Vareda, J.P.; Durães, L. Functionalized Silica Xerogels for Adsorption of Heavy Metals from Groundwater and Soils. J. Solgel Sci. Technol. 2017, 84, 400–408. [Google Scholar] [CrossRef]
- Lamy-Mendes, A.; Torres, R.B.; Vareda, J.P.; Lopes, D.; Ferreira, M.; Valente, V.; Girão, A.V.; Valente, A.J.M.; Durães, L. Amine Modification of Silica Aerogels/Xerogels for Removal of Relevant Environmental Pollutants. Molecules 2019, 24, 3701. [Google Scholar] [CrossRef]
- Zhang, Y.; Jia, S.; Yuan, X.; Ding, L.; Ai, T.; Yuan, K.; Wang, W.; Magagnin, L.; Jiang, Z. High-Efficiency Removal of Pb (II) and Cu (II) by Amidoxime Functionalized Silica Aerogels: Preparation, Adsorption Mechanisms and Environmental Impacts Analysis. Sep. Purif. Technol. 2024, 335, 126079. [Google Scholar] [CrossRef]
- Liu, T.; Liu, Q.; Liu, Y.; Yao, H.; Zhang, Z.; Wang, X.; Shen, J. Fabrication of Methyl Acrylate Modified Silica Aerogel for Capture of Cu2+ from Aqueous Solutions. J. Solgel Sci. Technol. 2021, 98, 389–400. [Google Scholar] [CrossRef]
- Nematidil, N.; Nezami, S.; Mirzaie, F.; Ebrahimi, E.; Sadeghi, M.; Farmani, N.; Sadeghi, H. Fabrication and Characterization of a Novel Nanoporous Nanoaerogel Based on Gelatin as a Biosorbent for Removing Heavy Metal Ions. J. Solgel Sci. Technol. 2021, 97, 721–733. [Google Scholar] [CrossRef]
- Pornchuti, B.; Pongpattananurak, B.; Sutthiard, D.; Singtothong, P. Adsorption of Copper, Nickel and Chromium Ions Using Silica Aerogel Synthesized by Ambient-Pressure Drying and Modified with EDTA. IOP Conf. Ser. Mater. Sci. Eng. 2020, 778, 012133. [Google Scholar] [CrossRef]
- Hatay, I.; Gup, R.; Ersöz, M. Silica Gel Functionalized with 4-Phenylacetophynone 4-Aminobenzoylhydrazone: Synthesis of a New Chelating Matrix and Its Application as Metal Ion Collector. J. Hazard. Mater. 2008, 150, 546–553. [Google Scholar] [CrossRef] [PubMed]
- Kalantari, K.; Ahmad, M.; Masoumi, H.; Shameli, K.; Basri, M.; Khandanlou, R. Rapid Adsorption of Heavy Metals by Fe3O4/Talc Nanocomposite and Optimization Study Using Response Surface Methodology. Int. J. Mol. Sci. 2014, 15, 12913–12927. [Google Scholar] [CrossRef] [PubMed]
- Bogusz, A.; Oleszczuk, P.; Dobrowolski, R. Application of Laboratory Prepared and Commercially Available Biochars to Adsorption of Cadmium, Copper and Zinc Ions from Water. Bioresour. Technol. 2015, 196, 540–549. [Google Scholar] [CrossRef]
- Dundar, M.; Nuhoglu, C.; Nuhoglu, Y. Biosorption of Cu(II) Ions onto the Litter of Natural Trembling Poplar Forest. J. Hazard. Mater. 2008, 151, 86–95. [Google Scholar] [CrossRef]
- Amarasinghe, B.M.W.P.K.; Williams, R.A. Tea Waste as a Low Cost Adsorbent for the Removal of Cu and Pb from Wastewater. Chem. Eng. J. 2007, 132, 299–309. [Google Scholar] [CrossRef]
- Wan Ngah, W.S.; Hanafiah, M.A.K.M. Adsorption of Copper on Rubber (Hevea Brasiliensis) Leaf Powder: Kinetic, Equilibrium and Thermodynamic Studies. Biochem. Eng. J. 2008, 39, 521–530. [Google Scholar] [CrossRef]
- Orozco, C.I.; Freire, M.S.; Gómez-Díaz, D.; González-Álvarez, J. Removal of Copper from Aqueous Solutions by Biosorption onto Pine Sawdust. Sustain. Chem. Pharm. 2023, 32, 101016. [Google Scholar] [CrossRef]
- Topare, N.S.; Wadgaonkar, V.S. A Review on Application of Low-Cost Adsorbents for Heavy Metals Removal from Wastewater. Mater. Today Proc. 2023, 77, 8–18. [Google Scholar] [CrossRef]
- Lagergreen, S. Zur Theorie Der Sogenannten Adsorption Gelöster Stoffe. Z. Für Chem. Und Ind. Der Kolloide 1907, 2, 15. [Google Scholar] [CrossRef]
- Ho, Y.S.; McKay, G. Sorption of Dye from Aqueous Solution by Peat. Chem. Eng. J. 1998, 70, 115–124. [Google Scholar] [CrossRef]
- Wu, F.-C.; Tseng, R.-L.; Juang, R.-S. Initial Behavior of Intraparticle Diffusion Model Used in the Description of Adsorption Kinetics. Chem. Eng. J. 2009, 153, 1–8. [Google Scholar] [CrossRef]
- Qiu, H.; Lv, L.; Pan, B.; Zhang, Q.; Zhang, W.; Zhang, Q. Critical Review in Adsorption Kinetic Models. J. Zhejiang Univ. Sci. A 2009, 10, 716–724. [Google Scholar] [CrossRef]
- Weber, W.J.; Morris, J.C. Kinetics of Adsorption on Carbon from Solution. J. Sanit. Eng. Div. 1963, 89, 31–59. [Google Scholar] [CrossRef]
- Langmuir, I. The Constitution and Fundamental Properties of Solids and Liquids. Part I. Solids. J. Am. Chem. Soc. 1916, 38, 2221–2295. [Google Scholar] [CrossRef]
- Foo, K.Y.; Hameed, B.H. Insights into the Modeling of Adsorption Isotherm Systems. Chem. Eng. J. 2010, 156, 2–10. [Google Scholar] [CrossRef]
- Ayawei, N.; Ebelegi, A.N.; Wankasi, D. Modelling and Interpretation of Adsorption Isotherms. J. Chem. 2017, 2017, 3039817. [Google Scholar] [CrossRef]
- Freundlich, H.M.F. Over the Adsorption in Solution. J. Phys. Chem. 1906, 57, 385–471. [Google Scholar]
- Posada, D.; Buckley, T.R. Model Selection and Model Averaging in Phylogenetics: Advantages of Akaike Information Criterion and Bayesian Approaches Over Likelihood Ratio Tests. Syst. Biol. 2004, 53, 793–808. [Google Scholar] [CrossRef] [PubMed]





| Bulk Density (kg m−3) | Skeletal Density (kg m−3) | Porosity (%) | SBET (m2 g−1) | Vpore (cm3 g−1) | Dpore (µm) | 
|---|---|---|---|---|---|
| 56 ± 7 | 1258 ± 33 | 95.5 ± 0.6 | 2.05 ± 0.04 | 17 ± 2 | 33 ± 4 | 
| wt% C | wt% H | wt% N | wt% S | 
|---|---|---|---|
| 29.8 ± 0.2 | 4.62 ± 0.13 | 3.48 ± 0.03 | 2.92 ± 0.32 | 
| Pseudo-Second-Order Model | Pseudo-First-Order Model | Weber–Morris Model | ||||||||
|---|---|---|---|---|---|---|---|---|---|---|
| qe/(mg g−1) | k2/(g mg−1 h−1) | AIC | BIC | qe/(mg g−1) | k1/(h−1) | AIC | BIC | kWM/(mg g−1 h−0.5) | E/(mg g−1) | R2 | 
| 32.55 ± 0.08 | 0.79 ± 0.02 | −19 | −27 | 30.9 ± 0.6 | 14 ± 1 | 14 | 6 | 10 ± 3 | 22 ± 2 | 0.80 | 
| Langmuir Model | Freundlich Model | Hill Model | ||||||||||
|---|---|---|---|---|---|---|---|---|---|---|---|---|
| qm /(mg g−1) | KL × 103 /(L mg−1) | AIC | BIC | 1/nF | KF/(mg g−1 (L/mg)1/n) | AIC | BIC | qm /(mg g−1) | KH /(mg L−1) | nH | AIC | BIC | 
| 39 ± 7 | 31 ± 19 | 39 | 31 | 0.3 ± 0.1 | 7 ± 5 | 42 | 34 | 32 ± 2 | 26 ± 2 | 8 ± 6 | 41 | 21 | 
| Adsorbent | qmax/(mg g−1) | te/min | Reference | 
|---|---|---|---|
| Chitosan–silica composite aerogel | 39 | <60 | This study | 
| Chitosan-modified silica aerogel | 34 | 120 | [20] | 
| Chitosan/waste glass (60 wt%) composite | 36 | 30 | [56] | 
| Chitosan–nanoSiO2 nanocomposite | 8 | 180 | [57] | 
| Chitosan/silica Cu(II)-imprinted microsphere | 33 | – | [58] | 
| Chitosan/silica gel composite | 1.3 | 120 | [59] | 
| Chitosan/silica microspheres | 53 | 360 | [60] | 
| Silica/chitosan membrane | 47 | <1440 | [61] | 
| Silica gel/chitosan composite | 870 | 15 | [62] | 
| Magnetic chitosan-tripolyphosphate@silica-coated composite | 73 | 200 | [63] | 
| Chitosan-grafted-acrylic acid and modified nanosilica hydrogel | 795 | 120 | [64] | 
| β-cyclodextrin-grafted-carboxymethylchitosan-modified silica gel | 9 | 120 | [65] | 
| Carboxymethylchitosan-functionalized colloidal silica particles | 172 | 60 | [66] | 
| Carboxymethylchitosan@silica-coated magnetic nanoparticles | 346 | 120 | [67] | 
| Si/Fe nanostructures/chitosan composite | 49 | 60 | [68] | 
| Polyacrylamide-grafted-chitosan/silica-coated Fe3O4 nanoparticles | 45 | 15 | [69] | 
| Fe2O3@SBA-15−chitosan−APTMS composite | 107 | 10 | [70] | 
| Fe3O4@SiO2@chitosan magnetic nanoparticles | 7 | 90 | [71] | 
| Chitosan-SiO2@TEuTTA fluorescent membrane | 51 | 120 | [72] | 
| Chitosan–SiO2 composite | 642 | – | [73] | 
| Chitosan–natural zeolite composite | 604 | – | [73] | 
| Chitosan–glauconite composite | 618 | – | [73] | 
| Chitosan–montmorillonite | 596 | – | [73] | 
| Chitosan hydrogel | 311 | – | [73] | 
| Macroporous chitosan membrane | 26 | 900 | [74] | 
| Chitosan beads | 33 | 50 | [75] | 
| Chitosan aerogel | 35 | – | [76] | 
| Powdered chitosan | 54 | 480 | [55] | 
| Reduced salicylaldehyde-modified chitosan polymer | 78 | 840 | [55] | 
| Schiff base organically modified silica aerogel | 14 | 180 | [52] | 
| Schiff base-functionalized silica aerogel | 244 | 360 | [77] | 
| Amino propyl triethoxysilane-modified silica aerogel | 48 | 1440 | [43] | 
| Mercapto-functionalized silica aerogel | 51 | 120 | [78] | 
| Amino-mercapto-functionalized silica xerogel | 140 | 30 | [79] | 
| Amine-modified silica aerogel | 130 | >1440 | [46] | 
| Amine-modified silica xerogel | 124 | 160 | [80] | 
| Amidoxime-functionalized silica aerogel | 534 | 120 | [81] | 
| Methyl acrylate-modified silica aerogel | 219 | 60 | [82] | 
| Nano-silica aerogel gelatin | 369 | 300 | [83] | 
| APTES and EDTA-modified silica aerogel | 94 | 20 | [84] | 
| Hybrid surfactant-templated mesoporous silica material | 25 | 3 | [53] | 
| 4-phenylacetophynone 4-aminobenzoylhydrazone anchored silica gel | 0.8 | 120 | [85] | 
| Polybenzoxazine aerogel | 1.5 | >2880 | [54] | 
| Activated carbon | 24 | – | [50] | 
| Acidified multi-walled carbon nanotubes | 25 | – | [51] | 
| Fe3O4/talc nanocomposite | 21 | 2 | [86] | 
| Sida hermaphrodita biochar | 33 | 240 | [87] | 
| Low-cost, unmodified biomaterials/waste (e.g., leaves, peels, shells, straws, pulps) | 2–35 | 5–360 | [88,89,90,91,92] | 
| Disclaimer/Publisher’s Note: The statements, opinions and data contained in all publications are solely those of the individual author(s) and contributor(s) and not of MDPI and/or the editor(s). MDPI and/or the editor(s) disclaim responsibility for any injury to people or property resulting from any ideas, methods, instructions or products referred to in the content. | 
© 2024 by the authors. Licensee MDPI, Basel, Switzerland. This article is an open access article distributed under the terms and conditions of the Creative Commons Attribution (CC BY) license (https://creativecommons.org/licenses/by/4.0/).
Share and Cite
Vareda, J.P.; Matias, P.M.C.; Paixão, J.A.; Murtinho, D.; Valente, A.J.M.; Durães, L. Chitosan–Silica Composite Aerogel for the Adsorption of Cupric Ions. Gels 2024, 10, 192. https://doi.org/10.3390/gels10030192
Vareda JP, Matias PMC, Paixão JA, Murtinho D, Valente AJM, Durães L. Chitosan–Silica Composite Aerogel for the Adsorption of Cupric Ions. Gels. 2024; 10(3):192. https://doi.org/10.3390/gels10030192
Chicago/Turabian StyleVareda, João P., Pedro M. C. Matias, José A. Paixão, Dina Murtinho, Artur J. M. Valente, and Luisa Durães. 2024. "Chitosan–Silica Composite Aerogel for the Adsorption of Cupric Ions" Gels 10, no. 3: 192. https://doi.org/10.3390/gels10030192
APA StyleVareda, J. P., Matias, P. M. C., Paixão, J. A., Murtinho, D., Valente, A. J. M., & Durães, L. (2024). Chitosan–Silica Composite Aerogel for the Adsorption of Cupric Ions. Gels, 10(3), 192. https://doi.org/10.3390/gels10030192
 
        




 
       