Improved Prediction of Elastic Modulus for Carbon-Based Aerogels Using Power-Scaling Model
Abstract
1. Introduction
2. Results and Discussion
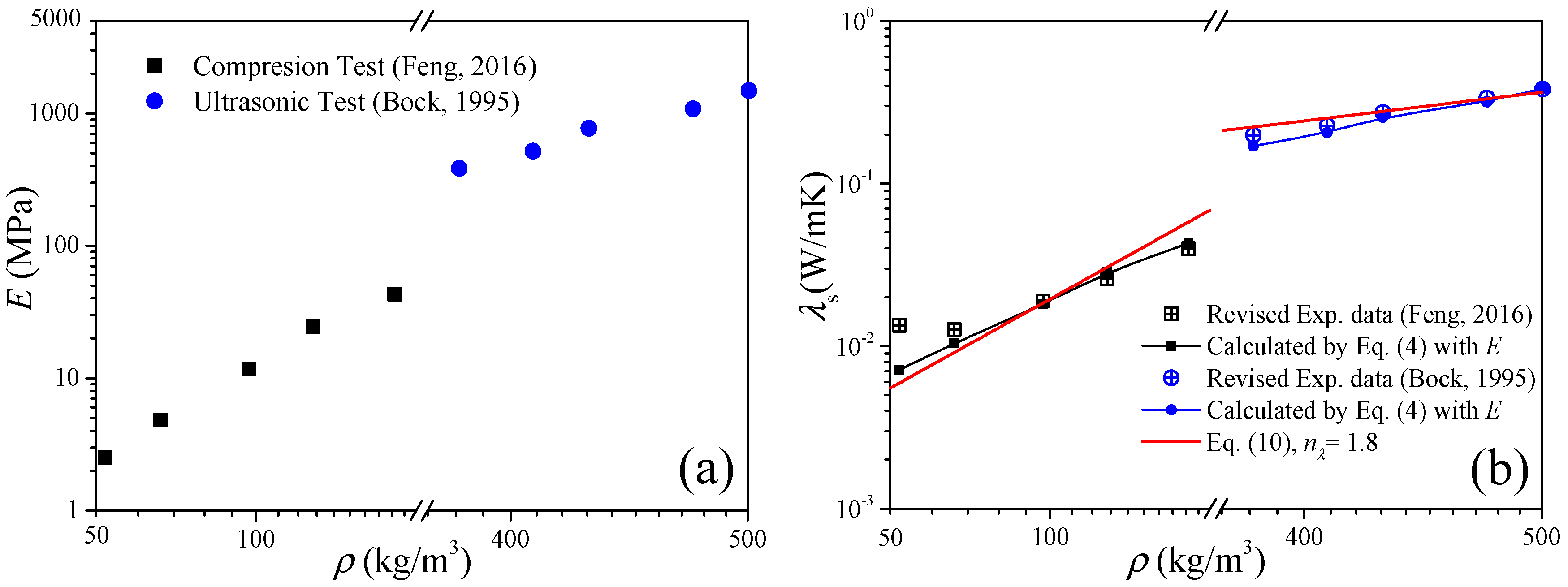
2.1. Validation of Thermal Conduction Model of Elastic Modulus of Carbon Aerogels
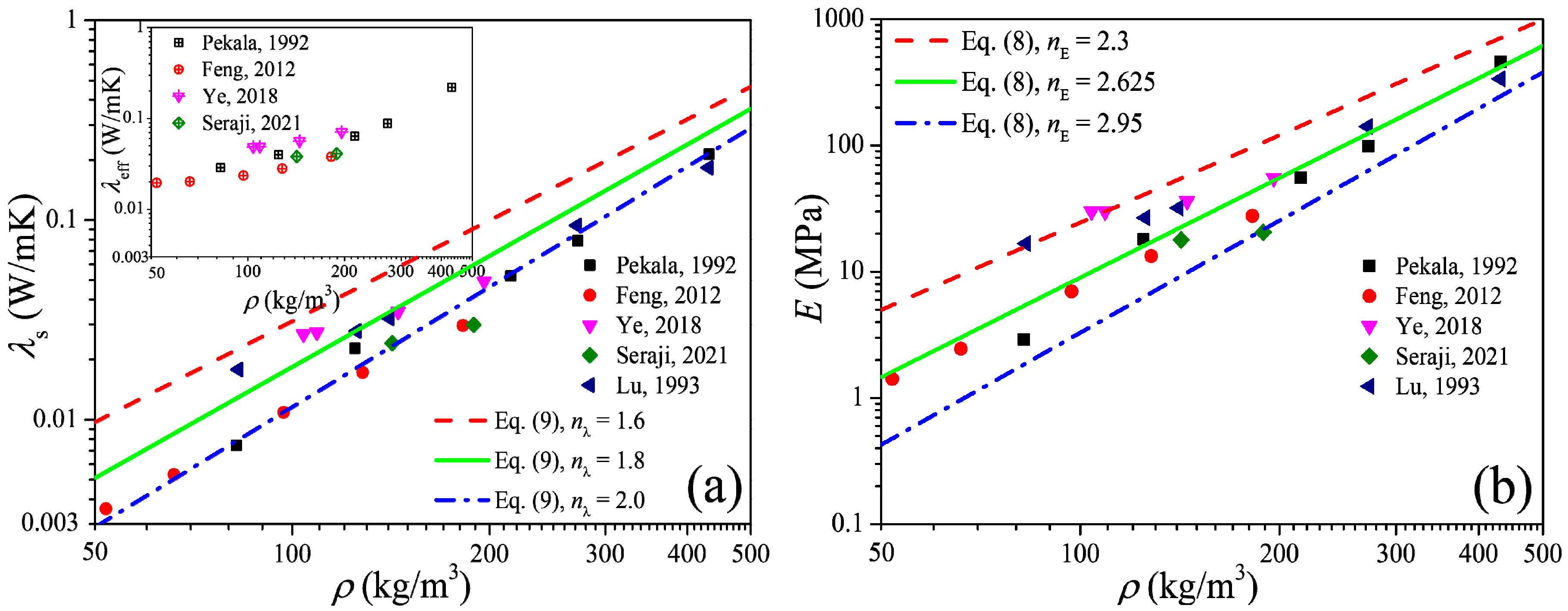
2.2. Power-Scaling Model of Elastic Modulus of Carbon Aerogels
2.3. Relation of Solid Thermal Conductivity and Elastic Modulus of Carbon Aerogels
2.4. Elastic Modulus of Carbon Nanotube Aerogels and Graphene Aerogels
3. Conclusions
4. Materials and Methods
4.1. Definition of Elastic Modulus
4.2. Elastic Mechanical Model of Elastic Modulus
4.3. Thermal Conduction Model of Elastic Modulus
4.4. Power-Scaling Model of Elastic Modulus of Porous Material
4.5. Power-Scaling Model of Solid Thermal Conductivity of Carbon Aerogels
4.6. Bulk Properties of Carbon Allotropes
Author Contributions
Funding
Institutional Review Board Statement
Informed Consent Statement
Data Availability Statement
Conflicts of Interest
References
- Pekala, R.W.; Alviso, C.T.; LeMay, J.D. Organic aerogels: Microstructural dependence of mechanical properties in compression. J. Non-Cryst. Solids 1990, 125, 67–75. [Google Scholar] [CrossRef]
- Worsley, M.A.; Baumann, T.F. Carbon Aerogels. In Handbook of Sol-Gel Science and Technology; Klein, L., Aparicio, M., Jitianu, A., Eds.; Springer International Publishing: Geneva, Switzerland, 2016; pp. 1–36. [Google Scholar]
- Aegerter, M.A.; Leventis, N.; Koebel, M.; Steiner, S.A., III. Springer Handbook of Aerogels; Series Springer Handbooks; Springer Nature Switzerland AG: Geneva, Switzerland, 2023; pp. 919–986. [Google Scholar]
- Wiener, M.; Reichenauer, G.; Braxmeier, S.; Hemberger, F.; Ebert, H.P. Carbon aerogel-based high-temperature thermal insulation. Int. J. Thermophys. 2009, 30, 1372–1385. [Google Scholar] [CrossRef]
- Feng, J.; Jiang, Y.G.; Feng, J.Z. Aerogel Material for Highly Efficient Thermal Insulation; China Science Press: Beijing, China, 2016; pp. 144–172. (In Chinese) [Google Scholar]
- Hu, L.; He, R.; Lei, H.; Fang, D. Carbon aerogel for insulation applications: A review. Int. J. Thermophys. 2019, 40, 1–25. [Google Scholar] [CrossRef]
- Tang, G.H.; Bi, C.; Zhao, Y.; Tao, W.Q. Thermal transport in nano-porous insulation of aerogel: Factors, models and outlook. Energy 2015, 90, 701–721. [Google Scholar] [CrossRef]
- Arenillas, A.; Menéndez, J.A.; Reichenauer, G.; Celzard, A.; Fierro, V.; Maldonado Hodar, F.J.; Bailόn-Garcia, E.; Job, N. Properties of carbon aerogels and their organic precursors. In Organic and Carbon Gels: From Laboratory Synthesis to Applications; Springer: Geneva, Switzerland, 2019; pp. 87–121. [Google Scholar]
- Araby, S.; Qiu, A.; Wang, R.; Zhao, Z.; Wang, C.H.; Ma, J. Aerogels based on carbon nanomaterials. J. Mater. Sci. 2016, 51, 9157–9189. [Google Scholar] [CrossRef]
- Patil, S.P.; Parale, V.G.; Park, H.H.; Markert, B. Mechanical modeling and simulation of aerogels: A review. Ceram. Int. 2021, 47, 2981–2998. [Google Scholar] [CrossRef]
- He, Y.L.; Xie, T. Advances of thermal conductivity models of nanoscale silica aerogel insulation material. Appl. Therm. Eng. 2015, 81, 28–50. [Google Scholar] [CrossRef]
- Zhu, C.Y.; Xu, H.B.; Zhao, X.P.; Gong, L. A review on heat transfer in nanoporous silica aerogel insulation materials and its modeling. Energy Storage Sav. 2022, 1, 217–240. [Google Scholar] [CrossRef]
- Lou, F.; Dong, S.; Zhu, K.; Chen, X.; Ma, Y. Thermal insulation performance of aerogel nano-porous materials: Characterization and test methods. Gels 2023, 9, 220. [Google Scholar] [CrossRef]
- Wang, C.; Bai, L.; Xu, H.; Qin, S.; Li, Y.; Zhang, G. A review of high-temperature aerogels: Composition, mechanisms, and properties. Gels 2024, 10, 286. [Google Scholar] [CrossRef]
- Lee, J.H.; Park, S.J. Recent advances in preparations and applications of carbon aerogels: A review. Carbon 2020, 163, 1–18. [Google Scholar] [CrossRef]
- Hsieh, T.H.; Huang, Y.S. The mechanical properties and delamination of carbon fiber-reinforced polymer laminates modified with carbon aerogel. J. Mater. Sci. 2017, 52, 3520–3534. [Google Scholar] [CrossRef]
- Yang, J.; Li, S.; Luo, Y.; Yan, L.; Wang, F. Compressive properties and fracture behavior of ceramic fiber-reinforced carbon aerogel under quasi-static and dynamic loading. Carbon 2011, 49, 1542–1549. [Google Scholar] [CrossRef]
- Li, L.; Feng, J.; Liu, F.; Li, L.; Jiang, Y.; Feng, J. Mechanical and thermal insulation properties of carbon fibre-reinforced carbon aerogel composites. Adv. Appl. Ceram. 2022, 121, 222–230. [Google Scholar] [CrossRef]
- Guo, F.; Yang, C.; Xu, Z.; Gao, C. Progress and perspective in mechanically robust carbon aerogels. J. Appl. Phys. 2022, 131, 110904. [Google Scholar] [CrossRef]
- Gibson, I.J.; Ashby, M.F. The mechanics of three-dimensional cellular materials. Proc. R. Soc. Lond. A Math. Phys. Sci. 1982, 382, 43–59. [Google Scholar]
- Abueidda, D.W.; Al-Rub, R.K.A.; Dalaq, A.S.; Lee, D.W.; Khan, K.A.; Jasiuk, I. Effective conductivities and elastic moduli of novel foams with triply periodic minimal surfaces. Mech. Mater. 2016, 95, 102–115. [Google Scholar] [CrossRef]
- Robertson, J. Amorphous carbon. Adv. Phys. 1986, 35, 317–374. [Google Scholar] [CrossRef]
- Uskoković, V. A historical review of glassy carbon: Synthesis, structure, properties and applications. Carbon Trends 2021, 5, 100116. [Google Scholar] [CrossRef]
- Giri, A.; Dionne, C.J.; Hopkins, P.E. Atomic coordination dictates vibrational characteristics and thermal conductivity in amorphous carbon. npj Comput. Mater. 2022, 8, 55. [Google Scholar] [CrossRef]
- Bi, C.; Tang, G.H.; He, C.B.; Yang, X.; Lu, Y. Elastic modulus prediction based on thermal conductivity for silica aerogels and fiber reinforced composites. Ceram. Int. 2022, 48, 6691–6697. [Google Scholar] [CrossRef]
- Pekala, R.W.; Alviso, C.T. Carbon aerogels and xerogels. MRS Online Proc. Libr. 1992, 270, 3–14. [Google Scholar] [CrossRef]
- Groβ, J.; Schlief, T.; Fricke, J. Ultrasonic evaluation of elastic properties of silica aerogel. Mater. Sci. Eng. A 1993, 168, 235–238. [Google Scholar] [CrossRef]
- Bock, V.; Nilsson, O.; Blumm, J.; Frike, J. Thermal properties of carbon aerogels. J. Non-Cryst. Solids 1995, 182, 233–239. [Google Scholar] [CrossRef]
- Lu, X.; Nilsson, O.; Fricke, J.; Pekala, R.W. Thermal and electrical conductivity of monolithic carbon aerogels. J. Appl. Phys. 1993, 73, 581–584. [Google Scholar] [CrossRef]
- Feng, J.; Feng, J.; Zhang, C. Thermal conductivity of low density carbon aerogels. J. Porous Mater. 2012, 19, 551–556. [Google Scholar] [CrossRef]
- Ye, C.; Zhang, R.; An, Z.; Wang, B. A machinable carbon aerogel conposite with a low thermal conductivity and enhanced mechnical properties. Adv. Appl. Ceram. 2018, 117, 468–475. [Google Scholar] [CrossRef]
- Seraji, M.M.; Arefazar, A. Thermal ablation-insulation performance, microstructural, and mechanical properties of carbon aerogel based lightweight heat shielding composites. Polym. Eng. Sci. 2021, 61, 1338–1352. [Google Scholar] [CrossRef]
- Shin, S.; Kucheyev, S.O.; Worsley, M.A.; Hamza, A.V. Mechanical deformation of carbon-nanotube-based aerogels. Carbon 2012, 50, 5340–5350. [Google Scholar] [CrossRef]
- Jia, X.; Dai, B.; Zhu, Z.; Wang, J.; Qiao, W.; Long, D.; Ling, L. Strong and machinable carbon aerogel monoliths with low thermal coductivity prepared via ambient pressure drying. Carbon 2016, 108, 551–560. [Google Scholar] [CrossRef]
- Saliger, R.; Bock, V.; Petricevic, R.; Tillostson, T.; Geis, S.; Fricke, J. Carbon aerogels from dilute catalysis of resorcinol with formaldehyde. J. Non-Cryst. Solids 1997, 221, 144–150. [Google Scholar] [CrossRef]
- Qin, Z.; Jung, G.S.; Kang, M.J.; Buehler, M.J. The mechnaics and design of a lightweihgt three-dimensional graphene assembly. Sci. Adv. 2017, 3, e1601536. [Google Scholar] [CrossRef]
- Kim, K.H.; Oh, Y.; Islam, M.F. Mechanical and thermal management characteristics of ultrahigh surface area single-walled carbon nanotube aerogels. Adv. Funct. Mater. 2013, 23, 377–383. [Google Scholar] [CrossRef]
- Li, M.; Gong, Q.; Cao, P.; Wang, H.; Qiao, J.; Yu, Y.; Lu, W.; Di, J.; Zhang, Z.; Zheng, L.; et al. Rational and wide-range tuning of CNT aerogel conductors with multifunctionalities. Nanoscale 2020, 12, 13771–13780. [Google Scholar] [CrossRef] [PubMed]
- Worsely, M.A.; Kucheyev, S.O.; Satcher, J.H.; Hamza, A.V.; Baaumann, T.F. Mechanically robust and electrically conductive carbon nanotube foams. Appl. Phys. Lett. 2009, 94, 073115. [Google Scholar] [CrossRef]
- Kim, K.H.; Oh, Y.; Islam, M.F. Graphene coating makes carbon nanotube aerogels superelastic and resistant to fatigue. Nat. Nanotechnol. 2012, 7, 562–566. [Google Scholar] [CrossRef]
- Zhuang, L.; Lu, D.; Zhang, J.; Guo, P.; Su, L.; Qin, Y.; Zhang, P.; Xu, L.; Niu, M.; Peng, K.; et al. Highly cross-linked carbon tube aerogels with enhanced elasticity and fatigue resistance. Nat. Commun. 2023, 14, 3178. [Google Scholar] [CrossRef]
- Chen, Y.W.; Zhan, H.; Wang, J.N. A direct foaming approach for carbon nanotube aerogels with ultra-low thermal conductivity and high mechanical stability. Nanoscale 2021, 13, 11878–11886. [Google Scholar] [CrossRef]
- Hosseini, H.; Kokabi, M.; Mousavi, S.M. Conductive bacterial cellulose/multiwall carbon nanotubes nanocomposite aerogel as a potentially flexible lightweight strain sensor. Carbohydr. Polym. 2018, 201, 228–235. [Google Scholar] [CrossRef]
- Zhu, C.; Han, Y.J.; Duoss, E.B.; Golobic, A.M.; Kuntz, J.D.; Spadaccini, C.M.; Worsley, M.A. Highly compressible 3D periodic graphene aerogel microlattices. Nat. Commun. 2015, 6, 6962. [Google Scholar] [CrossRef]
- Cheng, Y.; Zhou, S.; Hu, P.; Zhao, G.; Li, Y.; Zhang, X.; Han, W. Enhanced mechanical, thermal, and electric properties of graphene aerogel via supercritical ethanol drying and high-temperature thermal reduction. Sci. Rep. 2017, 7, 1439. [Google Scholar] [CrossRef] [PubMed]
- Zhang, X.; Sui, Z.; Xu, B.; Yue, S.; Luo, Y.; Zhan, W.; Liu, B. Mechanically strong and highly conductive graphene aerogel and its use as electrodes for electrochemical power sources. J. Mater. Chem. 2011, 21, 6494–6497. [Google Scholar] [CrossRef]
- Xu, Z.; Zhang, Y.; Li, P.; Gao, C. Strong, conductive, lightweight, neat graphene aerogel fibers with aligned pores. ACS Nano 2012, 6, 7103–7113. [Google Scholar] [CrossRef] [PubMed]
- Niu, L.; Xie, J.; Chen, P.; Li, G.; Zhang, X. Quasi-static compression properties of graphene aerogel. Diam. Relat. Mater. 2021, 111, 108225. [Google Scholar] [CrossRef]
- Xu, X.; Zhang, Q.; Yu, Y.; Chen, W.; Hu, H.; Li, H. Naturally dried graphene aerogels with superelasticity and tunable Poisson’s ratio. Adv. Mater. 2016, 28, 9223–9230. [Google Scholar] [CrossRef]
- Hu, H.; Zhao, Z.; Wan, W.; Gogotsi, Y.; Qiu, J. Ultralight and highly compressible graphene aerogels. Adv. Mater. 2013, 25, 2219–2223. [Google Scholar] [CrossRef]
- Woignier, T.; Primera, J.; Alaoui, A.; Despetis, F.; Calas-Etienne, S.; Faivre, A.; Duffours, L.; Levelut, C.; Etienne, P. Techniques for characterizing the mechanical properties of aerogels. J. Sol-Gel Sci. Technol. 2020, 93, 6–27. [Google Scholar] [CrossRef]
- Ensminger, D. Ultrasonic: Fundamentals, Technology, Applications; Marcel Dekker: New York, NY, USA, 1988. [Google Scholar]
- Nilsson, O.; Rüschenpöhler, G.; Gross, J.; Fricke, J. Correlation between thermal conductivity and elasto-mechanical properties of compressed porous media. High Temp. High Press. 1989, 21, 267–274. [Google Scholar]
- Feng, J.; Feng, J.; Jiang, Y.G.; Zhang, C.R. Ultralow density carbon aerogels with low thermal conductivity up to 2000 °C. Mater. Lett. 2011, 65, 3454–3456. [Google Scholar] [CrossRef]
- Holman, J.P. Heat Transfer, 10th ed.; China Machine Press: Beijing, China, 2011; p. 509. [Google Scholar]
- Manoharan, M.P.; Lee, H.; Rajagopalan, R.; Foley, H.C.; Haque, M.A. Elastic properties of 4-6 nm-thick glassy carbon thin films. Nanoscale Res. Lett. 2010, 5, 14–19. [Google Scholar] [CrossRef]
- Hrubesh, L.W.; Pekala, R.W. Thermal properties of organic and inorganic aerogels. J. Mater. Res. 1994, 9, 731–738. [Google Scholar] [CrossRef]
- Lu, Q.; Keskar, G.; Ciocan, R.; Rao, R.; Mathur, R.B.; Rao, A.M.; Larcom, L.L. Determination of carbon nanotube density by gradient sedimentation. J. Phys. Chem. B 2006, 110, 24371–24376. [Google Scholar] [CrossRef]
- Lu, J.P. Elastic properties of carbon nanotubes and nanoropes. Phys. Rev. Lett. 1997, 79, 1297–1300. [Google Scholar] [CrossRef]
- Han, Z.; Fina, A. Thermal conductivity of carbon nanotubes and their polymer nanocomposites: A review. Prog. Polym. Sci. 2011, 36, 914–944. [Google Scholar] [CrossRef]
- Saito, R.; Takeya, T.; Kimura, T.; Dresselhaus, G.; Dresselhaus, M. Raman intensity of single-wall carbon nanotubes. Phys. Rev. B 1998, 57, 4145. [Google Scholar] [CrossRef]
- Balandin, A.A.; Ghosh, S.; Bao, W.; Calizo, I.; Teweldebrhan, D.; Miao, F.; Lau, C.N. Superior thermal conductivity of single-layer graphene. Nano Lett. 2008, 8, 902–907. [Google Scholar] [CrossRef]
- Cong, X.; Li, Q.Q.; Zhang, X.; Lin, M.L.; Wu, J.B.; Liu, X.L.; Venezuela, P.; Tan, P.H. Probing the acoustic phonon dispersion and sound velocity of graphene by Raman spectroscopy. Carbon 2019, 149, 19–24. [Google Scholar] [CrossRef]






| Carbon Allotropes | ρ0 (kg/m3) | E0 (MPa) | λ0 (W/mK) | (vt)0 (km/s) | (vl)0 (km/s) | v0 (km/s) |
|---|---|---|---|---|---|---|
| Amorphous carbon | 2200 | 30,000 | 5.6 | 3.27 | 5.45 | 4.0 |
| Carbon nanotube | 2100 | 970,000 | 2000–6000 | 9.43 | 20.35 | — |
| Graphene | 2300 | 1,020,000 | 5000 | 12.9 | 19.9 | — |
Disclaimer/Publisher’s Note: The statements, opinions and data contained in all publications are solely those of the individual author(s) and contributor(s) and not of MDPI and/or the editor(s). MDPI and/or the editor(s) disclaim responsibility for any injury to people or property resulting from any ideas, methods, instructions or products referred to in the content. |
© 2025 by the authors. Licensee MDPI, Basel, Switzerland. This article is an open access article distributed under the terms and conditions of the Creative Commons Attribution (CC BY) license (https://creativecommons.org/licenses/by/4.0/).
Share and Cite
Bi, C.; Yang, M.; Yang, X.; Yun, K.; Lu, Y.; Zhang, Y.; Zheng, J.; Du, M. Improved Prediction of Elastic Modulus for Carbon-Based Aerogels Using Power-Scaling Model. Gels 2025, 11, 184. https://doi.org/10.3390/gels11030184
Bi C, Yang M, Yang X, Yun K, Lu Y, Zhang Y, Zheng J, Du M. Improved Prediction of Elastic Modulus for Carbon-Based Aerogels Using Power-Scaling Model. Gels. 2025; 11(3):184. https://doi.org/10.3390/gels11030184
Chicago/Turabian StyleBi, Cheng, Mingyang Yang, Xu Yang, Ke Yun, Yuan Lu, Ying Zhang, Jie Zheng, and Mu Du. 2025. "Improved Prediction of Elastic Modulus for Carbon-Based Aerogels Using Power-Scaling Model" Gels 11, no. 3: 184. https://doi.org/10.3390/gels11030184
APA StyleBi, C., Yang, M., Yang, X., Yun, K., Lu, Y., Zhang, Y., Zheng, J., & Du, M. (2025). Improved Prediction of Elastic Modulus for Carbon-Based Aerogels Using Power-Scaling Model. Gels, 11(3), 184. https://doi.org/10.3390/gels11030184

