Research on the Energy Transfer Law of Polymer Gel Profile Control Flooding in Low-Permeability Oil Reservoirs
Abstract
1. Introduction
2. Results and Discussion
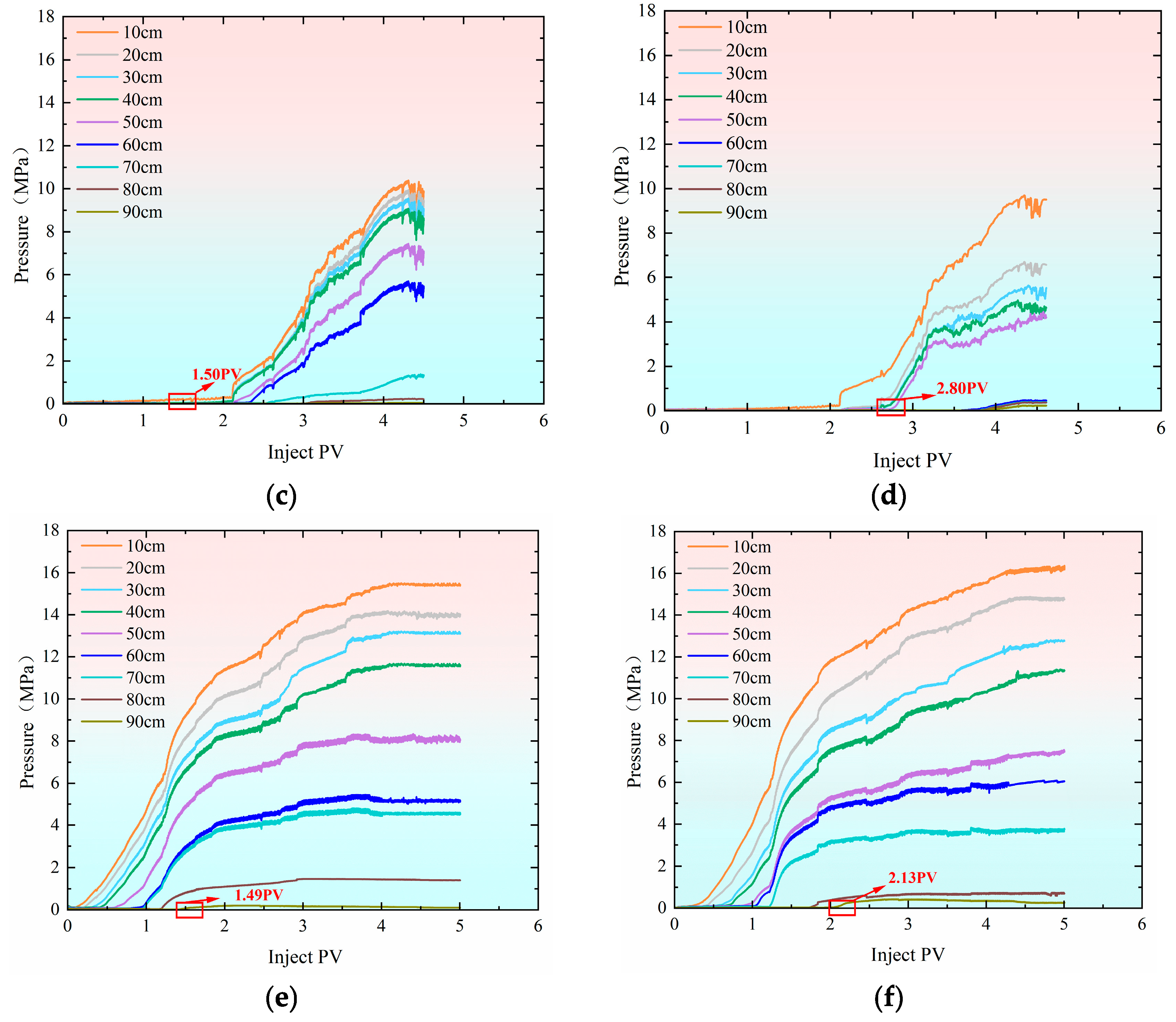
2.1. Pressure Conduction Characteristics
2.2. Law of Energy Conduction
2.3. Recovery Rate Characteristics
2.4. Microscopic Mechanism of Profile Control Flooding
3. Conclusions
- (1)
- After polymer gel is injected into the heterogeneous reservoir, it preferentially enters the high-permeability layer, causing an increase in seepage resistance and a rapid rise in pressure. As the suction pressure differential increases, the gel gradually shifts towards the low-permeability layer, resulting in a delayed pressure response in the low-permeability layer. The pressure transfer speed in high-permeability channels is significantly faster than in low-permeability channels.
- (2)
- The formation energy transfer efficiency increases with the injection rate. The higher the injection rate, the faster the pressure increases at the production end, leading to a more significant reduction in the amount of polymer gel required to buildup pressure in the low-permeability reservoir layer.
- (3)
- Initially using a high flow rate to promote rapid pressure transfer to the low-permeability area, followed by a reduction in flow rate to maintain a stable split flow rate, can effectively block the high-permeability channels and significantly improve the recovery rate.
- (4)
- When the difference in split flow rate between the high-permeability and low-permeability reservoir layers is minimized, the heterogeneity of the reservoir is most effectively improved, resulting in the largest increase in recovery rate.
- (5)
- By blocking the high-permeability channels, polymer gel causes the fluid to gradually shift towards the low-permeability reservoir, thereby expanding the swept volume. Moreover, due to its viscoelasticity, the polymer gel utilizes the extrusion swelling effect to overcome capillary forces, causing the residual oil in the pore throats to flow and thus increasing the crude oil recovery rate.
4. Materials and Methods
4.1. Materials and Instruments
4.2. Experimental Principle
4.3. Experimental Procedures
- (1)
- Considering the characteristics of the reservoir, such as strong heterogeneity and significant oil–water separation in the Yan’an Formation, a mixture of quartz sand and clay was prepared for sand packing in tubes with different permeabilities, in accordance with the experimental requirements.
- (2)
- The sand-packed tubes were filled with the prepared sand mixture, and the weight of each tube was recorded.
- (3)
- The intelligent pressure monitoring system was installed, and the airtightness of the device connections was thoroughly checked.
- (4)
- The two sand-packed tubes were saturated with formation water at a flow rate of 0.5 mL/min. The permeability was measured using the liquid, and after complete saturation, the sand-packed tubes were weighed to calculate their pore volume.
- (5)
- The two sand-packed tubes were then saturated with crude oil at a flow rate of 0.5 mL/min. Saturation was halted when the liquid at the outlet reached 100% crude oil.
- (6)
- The sand-packed tubes were connected in parallel, and water flooding experiments were conducted at a flow rate of 0.5 mL/min. The displacement was stopped when the cumulative water cut of the two sand-packed tubes reached 90%. During the water flooding process, pressure changes at different positions of the sand-packed tubes were monitored in real time. Additionally, the water cut and oil displacement efficiency of the two sand-packed tubes were recorded every half hour.
- (7)
- After completing the water flooding experiment, the viscoelastic self-regulating agent displacement experiment was carried out at the set experimental flow rate. Throughout the experiment, pressure changes at various positions of the sand-packed tubes were monitored and recorded in real time, with the water cut and oil displacement efficiency of the tubes also recorded every half hour.
- (8)
- The displacement was stopped when the injected volume reached five times the total pore volume of the two sand-packed tubes, or when the water cut at the outlet of the sand-packed tubes remained unchanged.
- (9)
- After completing the displacement experiment, the packing material in the sand-packed tubes was removed, the tube walls were cleaned, and after complete drying, the permeability contrast of the sand-packed tubes was reassessed. Alternatively, adjustments were made to the injection rate of the profile control flooding agent, or the timing of rate changes during dynamic profile control flooding. Steps 2 to 8 were then repeated as necessary.
Author Contributions
Funding
Institutional Review Board Statement
Informed Consent Statement
Data Availability Statement
Acknowledgments
Conflicts of Interest
Abbreviations
| PCAs | Profile Control Agents |
| PEG | Polyethylene Glycol Single-phase Gel Particles |
| CBG-SP | Cross-linked Gel Swelling Particles |
References
- Li, X.; Yang, Z.; Li, S.; Huang, W.; Zhan, J.; Lin, W. Reservoir characteristics and effective development technology in typical low-permeability to ultralow-permeability reservoirs of China National Petroleum Corporation. Energy Explor. Exploit. 2021, 39, 1713–1726. [Google Scholar] [CrossRef]
- Cao, J.; Hao, M.; Chen, Y.; Li, B.; Liu, Y.; Xu, J. Advancing PetroChina’s development strategies for low-permeability oil reservoirs. Processes 2024, 12, 351. [Google Scholar] [CrossRef]
- Wang, J.; Feng, L.; Steve, M.; Tang, X.; Gail, T.E.; Mikael, H. China’s unconventional oil: A review of its resources and outlook for long-term production. Energy 2015, 82, 31–42. [Google Scholar] [CrossRef]
- Muther, T.; Qureshi, H.A.; Syed, F.I.; Aziz, H.; Siyal, A.; Dahaghi, A.K.; Negahban, S. Unconventional hydrocarbon resources: Geological statistics, petrophysical characterization, and field development strategies. J. Pet. Explor. Prod. Technol. 2022, 12, 1463–1488. [Google Scholar] [CrossRef]
- Ding, M.; Li, Q.; Yuan, Y.; Wang, Y.; Zhao, N.; Han, Y. Permeability and heterogeneity adaptability of surfactant-alternating-gas foam for recovering oil from low-permeability reservoirs. Pet. Sci. 2022, 19, 1185–1197. [Google Scholar] [CrossRef]
- He, S.; Fang, F.; Song, K.; Li, X.; Zhang, J.; Cao, J.; Wang, Y.; Huang, X.; Bian, C. Research progress on the method of determining gas–water relative permeability curve in unconventional reservoirs. J. Pet. Explor. Prod. Technol. 2025, 15, 36. [Google Scholar] [CrossRef]
- Shi, X.; Wei, J.; Bo, H.; Zheng, Q.; Yi, F.; Yin, Y.; Chen, Y.; Dong, M.; Zhang, D.; Li, J. A novel model for oil recovery estimate in heterogeneous low-permeability and tight reservoirs with pseudo threshold pressure gradient. Energy Rep. 2021, 7, 1416–1423. [Google Scholar] [CrossRef]
- Gao, H.; Luo, K.; Wang, C.; Li, T.; Cheng, Z.; Dou, L.; Zhao, K.; Zhang, N.; Liu, Y. Impact of dissolution and precipitation on pore structure in CO2 sequestration within tight sandstone reservoirs. Pet. Sci. 2025, 22, 868–883. [Google Scholar] [CrossRef]
- Wei, J.; Zhou, X.; Zhou, J.; Li, J.; Wang, A. Recovery efficiency of tight oil reservoirs with different injection fluids: An experimental investigation of oil-water distribution feature. J. Pet. Explor. Prod. Technol. 2021, 195, 107678. [Google Scholar] [CrossRef]
- AlHammadi, M.; Mahzari, P.; Sohrabi, M. Fundamental investigation of underlying mechanisms behind improved oil recovery by low salinity water injection in carbonate rocks. Fuel 2018, 220, 345–357. [Google Scholar] [CrossRef]
- Shen, Y.; Wu, J.; Shi, F.; He, Y.; Li, H.; Zhou, W.; Zhao, M.; Wang, C.; Yan, Y.; Lu, M. Study on Green Nanofluid Profile Control and Displacement of Oil in a Low Permeability Reservoir. ACS Omega 2023, 8, 38926–38932. [Google Scholar] [CrossRef] [PubMed]
- Zhou, Z.; Zhao, J.; Zhou, T.; Huang, Y. Study on in-depth profile control system of low-permeability reservoir in block H of Daqing oil field. J. Pet. Explor. Prod. Technol. 2017, 157, 1192–1196. [Google Scholar] [CrossRef]
- Li, J.; Wang, Z.; Yang, H.; Yang, H.; Wu, T.; Wu, H.; Wang, H.; Yu, F.; Jiang, H. Compatibility evaluation of in-depth profile control agents in dominant channels of low-permeability reservoirs. J. Pet. Explor. Prod. Technol. 2020, 194, 107529. [Google Scholar] [CrossRef]
- Zhao, F.; Zhang, H.; Wu, Y.; Wang, D.; Zhang, Y. Preparation and Performance Evaluation of Polymeric Microspheres Used for Profile Control of Low-Permeability Reservoirs. J. Chem. 2020, 2020, 5279608. [Google Scholar] [CrossRef]
- Zou, J.; Yue, X.; Dong, J.; Shao, M.; Wang, L.; Gu, J.; An, W. Novel in-depth profile control agent based on in-situ polymeric microspheres in low permeability reservoir. J. Dispers. Sci. Technol. 2019, 441, 1254–1264. [Google Scholar] [CrossRef]
- Abdullah, A.; Chuan, L.D.C.; Hamzah, S.; Sundaram, M.M.; Mudasar, Z.; Yousif, A.; Hezam, A.A.S.; Roil, M.B. Thermophysical Properties of Nanofluid in Two-Phase Fluid Flow through a Porous Rectangular Medium for Enhanced Oil Recovery. Nanomaterials 2022, 12, 1011. [Google Scholar] [CrossRef]
- Li, X.; Wang, J.; Ni, J.; Fu, L.; Xu, A.; Zhao, L. Compatibility Evaluation of In-Depth Profile Control Agents for Low-Permeability Fractured Reservoirs. Gels 2022, 8, 575. [Google Scholar] [CrossRef]
- Yin, D.; Zhou, W. Mechanism of Enhanced Oil Recovery for In-Depth Profile Control and Cyclic Waterflooding in Fractured Low-Permeability Reservoirs. Geofluids 2021, 2021, 6615495. [Google Scholar] [CrossRef]
- Xu, B.; Wang, Y. Profile control performance and field application of preformed particle gel in low-permeability fractured reservoir. J. Pet. Explor. Prod. Technol. 2020, 11, 477–482. [Google Scholar] [CrossRef]
- Pryazhnikov, M.I.; Zhigarev, V.; Minakov, A.V.; Nemtsev, I.V. Spontaneous imbibition experiments for enhanced oil recovery with silica nanosols. Capillarity 2024, 10, 73–86. [Google Scholar] [CrossRef]
- Yin, D.; Song, S.; Xu, Q.; Liu, K. Experimental Research on the Optimization and Evaluation of the Polymer/Chromium-Ion Deep Profile Control System for the Fractured Low-Permeability Reservoirs. Processes 2020, 8, 1021. [Google Scholar] [CrossRef]
- Druetta, P.; Picchioni, F. Polymer and nanoparticles flooding as a new method for Enhanced Oil Recovery. J. Pet. Sci. Eng. 2019, 177, 479–495. [Google Scholar] [CrossRef]
- Tavakkoli, O.; Kamyab, H.; Shariati, M.; Mohamed, A.M.; Junin, R. Effect of nanoparticles on the performance of polymer/surfactant flooding for enhanced oil recovery: A review. Fuel 2022, 312, 122867. [Google Scholar] [CrossRef]
- Ambaliya, M.; Bera, A. A Perspective Review on the Current Status and Development of Polymer Flooding in Enhanced Oil Recovery Using Polymeric Nanofluids. Ind. Eng. Chem. Res. 2023, 62, 2444–2459. [Google Scholar] [CrossRef]
- Zeynalli, M.; Mushtaq, M.; Al-Shalabi, E.W.; Alfazazi, U.; Hassan, A.M.; AlAmeri, W. A comprehensive review of viscoelastic polymer flooding in sandstone and carbonate rocks. Sci. Rep. 2024, 13, 17679. [Google Scholar] [CrossRef] [PubMed]
- Kamal, M.S.; Sultan, A.S.; Al-Mubaiyedh, U.A.; Hussein, I.A. Review on Polymer Flooding: Rheology, Adsorption, Stability, and Field Applications of Various Polymer Systems. Polym. Rev. 2015, 55, 491–530. [Google Scholar] [CrossRef]
- Sharafi, M.S.; Jamialahmadi, M.; Hoseinpour, S.A. Modeling of Viscoelastic Polymer Flooding in Core-Scale for Prediction of Oil Recovery Using Numerical Approach. J. Mol. Liq. 2018, 250, 295–306. [Google Scholar] [CrossRef]
- Mahajan, S.; Yadav, H.; Rellegadla, S.; Agrawal, A. Polymers for Enhanced Oil Recovery: Fundamentals and Selection Criteria Revisited. Appl. Microbiol. Biotechnol. 2021, 105, 8073–8090. [Google Scholar] [CrossRef]
- Alizadeh, A.H.; Piri, M. Three-Phase Flow in Porous Media: A Review of Experimental Studies on Relative Permeability. Rev. Geophys. 2014, 52, 468–521. [Google Scholar] [CrossRef]
- Feng, S.-J.; Zhang, X.; Zheng, Q.-T.; Chen, H.-X.; Zhao, Y.; Yang, C.-B.-X. Modeling the Spreading and Remediation Efficiency of Slow-Release Oxidants in a Fractured and Contaminated Low-Permeability Stratum. Chemosphere 2023, 337, 139271. [Google Scholar] [CrossRef]
- Yin, F.; Gao, Y.; Zhang, H.; Sun, B.; Chen, Y.; Gao, D.; Zhao, X. Comprehensive Evaluation of Gas Production Efficiency and Reservoir Stability of Horizontal Well with Different Depressurization Methods in Low Permeability Hydrate Reservoir. Energy 2022, 239, 122422. [Google Scholar] [CrossRef]
- Zhang, D.; Wang, Y.; Ye, P.; Li, S.; Wei, J.; Zhong, L.; Zhou, R. Oil Recovery Mechanism of Polymer Gel Injection Between Injection Wells and Production Wells to Block the Dominant Channel of Water Flow. Gels 2025, 11, 337. [Google Scholar] [CrossRef] [PubMed]
- Xiangyu, W.; Chenwei, L.; Jiacheng, N.; Chenru, Z.; Chenmei, H.; Long, L.; Mingzhong, L. Microscopic Seepage Mechanism of Nanofluids Assistant CO2 Aerosol Foam System Flooding after Water Flooding. Fuel 2025, 384, 134049. [Google Scholar] [CrossRef]
- Abdelgawad, K.Z. Polymer Induced Permeability Reduction: The Influence of Polymer Retention and Porous Medium Properties. J. Pet. Sci. Eng. 2022, 217, 110821. [Google Scholar] [CrossRef]
- Wang, Y.; Zhang, L.; Liu, M.; Yu, X. Comparative Study on the Mechanical Properties of Solidified Silty-Fine Sand Reinforced by Permeable Polymer and Traditional Grouting Materials. Constr. Build. Mater. 2024, 419, 135485. [Google Scholar] [CrossRef]
- Song, W.; Liu, X.; Zheng, T.; Yang, J. A Review of Recharge and Clogging in Sandstone Aquifer. Geothermics 2020, 87, 101857. [Google Scholar] [CrossRef]
- Mirzaie Yegane, M.; Boukany, P.E.; Zitha, P. Fundamentals and Recent Progress in the Flow of Water-Soluble Polymers in Porous Media for Enhanced Oil Recovery. Energies 2022, 15, 8575. [Google Scholar] [CrossRef]
- Zhang, Y.; Yang, C. Study on the Imbibition Production Mechanism and Main Controlling Factors of Low-Permeability Reservoir. RSC Adv. 2024, 14, 31183–31192. [Google Scholar]
- Ning, T.; Xi, M.; Hu, B.; Wang, L.; Huang, C.; Su, J. Effect of Viscosity Action and Capillarity on Pore-Scale Oil–Water Flowing Behaviors in a Low-Permeability Sandstone Waterflood. Energies 2021, 14, 8200. [Google Scholar] [CrossRef]
- Al-shajalee, F.; Arif, M.; Myers, M.; Tadé, M.O.; Wood, C.; Saeedi, A. Rock/Fluid/Polymer Interaction Mechanisms: Implications for Water Shut-off Treatment. Energy Fuels 2021, 35, 12809–12827. [Google Scholar] [CrossRef]
- Xu, Z.; Li, S.; Li, B.; Chen, D.; Liu, Z.; Li, Z. A Review of Development Methods and EOR Technologies for Carbonate Reservoirs. Pet. Sci. 2020, 17, 990–1013. [Google Scholar] [CrossRef]
- Sun, J.; Sun, L.; Bao, B. Recovery Mechanism of Supercritical CO2 Miscible Flooding in 30 Nm Nanomatrices with Multi-Scale and Fracture Heterogeneity. Fuel 2025, 392, 134835. [Google Scholar] [CrossRef]
- Cao, B.; Xie, K.; Lu, X.; Cao, W.; He, X.; Xiao, Z.; Zhang, Y.; Wang, X.; Su, C. Effect and Mechanism of Combined Operation of Profile Modification and Water Shutoff with In-Depth Displacement in High-Heterogeneity Oil Reservoirs. Colloids Surf. A 2021, 631, 127673. [Google Scholar] [CrossRef]
- Wang, F.; Yang, H.; Jiang, H.; Kang, X.; Hou, X.; Wang, T.; Zhou, B.; Sarsenbekuly, B.; Kang, W. Formation Mechanism and Location Distribution of Blockage during Polymer Flooding. J. Pet. Sci. Eng. 2020, 194, 107503. [Google Scholar] [CrossRef]
- Mohamed, A.I.A.; Khishvand, M.; Piri, M. Entrapment and Mobilization Dynamics during the Flow of Viscoelastic Fluids in Natural Porous Media: A Micro-Scale Experimental Investigation. Phys. Fluids 2023, 35, 047119. [Google Scholar] [CrossRef]
- Shao, W.; Yang, J.; Wang, H.; Chang, J.; Wu, H.; Hou, J. Recent research progress on imbibition system of nanoparticle-surfactant dispersions. Capillarity. 2023, 8, 34–44. [Google Scholar] [CrossRef]
- Deng, R.; Dong, J.; Dang, L. Numerical simulation and evaluation of residual oil saturation in waterflooded reservoirs. Fuel 2025, 384, 134018. [Google Scholar] [CrossRef]
- Yin, B.; Zhang, C.; Ding, T.; Chen, C.; Feng, K.; Wang, Z.; Sun, B. An experimental and numerical study of gas-liquid two-phase flow moving upward vertically in larger annulus. Eng. Appl. Comp. Fluid 2025, 19, 2476605. [Google Scholar] [CrossRef]
- Yin, B.; Ding, T.; Wang, S.; Wang, Z.; Sun, B.; Zhang, W.; Zhang, X. Deformation and migration characteristics of bubbles moving in gas-liquid countercurrent flow in annulus. Pet. Explor. Dev. 2025, 52, 471–484. [Google Scholar] [CrossRef]
- You, Q.; Wen, Q.; Fang, J.; Guo, M.; Zhang, Q.; Dai, C. Experimental Study on Lateral Flooding for Enhanced Oil Recovery in Bottom-Water Reservoir with High Water Cut. J. Pet. Sci. Eng. 2019, 174, 747–756. [Google Scholar] [CrossRef]
- Wang, K.; Wang, Z.; Liu, K.; Cheng, L.; Bai, Y.; Jin, G. Optimizing Flood Diversion Siting and Its Control Strategy of Detention Basins: A Case Study of the Yangtze River, China. J. Hydrol. 2021, 597, 126201. [Google Scholar] [CrossRef]
- Yan, Q.; Jing, Z.; Xia, Z.; Zhang, S. Flood Control Capacity of the Three Gorges Project for Different Frequency Floods. Environ. Eng. Sci. 2021, 38, 1195–1205. [Google Scholar] [CrossRef]
- An, Y.; Ren, F.; Liu, X.; Hu, J.; Fang, T.; Wang, B.; Luo, M. Migration and Plugging Laws of Plugging-Selection Balls in Fine Profile Control Process of Layered Waterflooding Wells. Sci. Rep. 2025, 15, 1776. [Google Scholar] [CrossRef] [PubMed]
- Liu, P.; Zhang, X.; Wu, Y.; Li, X. Enhanced Oil Recovery by Air-Foam Flooding System in Tight Oil Reservoirs: Study on the Profile-Controlling Mechanisms. J. Pet. Sci. Eng. 2017, 150, 208–216. [Google Scholar] [CrossRef]



















| Core Number | Water Flooding Flow Velocity (mL/min) | Profile Control Flooding Rate (mL/min) | Permeability (mD) | Water Flood Recovery Rate (%) | Profile Control Flooding Recovery Rate (%) | Total Recovery Rate (%) |
|---|---|---|---|---|---|---|
| 1-1 | 0.50 | 0.40 | 107.30 | 77.78 | 9.45 | 87.23 |
| 1-2 | 54.20 | 70.13 | 14.60 | 84.73 | ||
| 2-1 | 0.50 | 0.80 | 101.00 | 76.83 | 15.27 | 92.10 |
| 2-2 | 47.90 | 68.52 | 22.96 | 91.48 | ||
| 3-1 | 0.50 | 1.20 | 100.60 | 75.19 | 9.69 | 84.88 |
| 3-2 | 47.05 | 65.71 | 17.25 | 82.96 |
| Core Number | Water Flooding Flow Velocity (mL/min) | Profile Control Flooding Rate (mL/min) | Permeability (mD) | Water Flooding Recovery Rate (%) | Profile Control Flooding Recovery Rate (%) | Total Recovery Rate (%) |
|---|---|---|---|---|---|---|
| 3-1 | 0.50 | 1.20–0.80–0.04–0.10 | 101.00 | 65.14 | 15.16 | 80.30 |
| 3-2 | 48.00 | 64.53 | 14.06 | 78.59 | ||
| 3-3 | 0.50 | 0.80–1.20 | 106.90 | 65.12 | 10.38 | 75.5 |
| 3-4 | 49.50 | 64.58 | 17.81 | 82.39 | ||
| 3-5 | 1.20–0.40 | 1.20–0.40 | 103.80 | 65.78 | 19.49 | 85.27 |
| 3-6 | 49.40 | 64.61 | 31.23 | 95.84 |
| Method | On-Site Injection Linear Velocity (m/d) | Experimental Injection Rate (ml/min) |
|---|---|---|
| Water flooding | 0.013 | 0.50 |
| Profile control and flooding | 0.01 | 0.40 |
| 0.02 | 0.80 | |
| 0.03 | 1.20 |
| Experiment Number | Experimental Content | Core Number | Penetration Rate (mD) | The Penetration Rate Is Extremely Poor | Porosity (%) | Polymer Gel Concentration (mg/L) | Injection Speed (mL/min) | |
|---|---|---|---|---|---|---|---|---|
| Water Flooding | Profile Control Flooding | |||||||
| 1 | Static Displacement | 1-1 | 107.30 | 2.00 | 37.20 | 1000 | 0.50 | 0.40 |
| 1-2 | 54.20 | 23.90 | ||||||
| 2 | 2-1 | 101.00 | 2.10 | 34.50 | 0.80 | |||
| 2-2 | 47.90 | 26.50 | ||||||
| 3 | 3-1 | 100.60 | 2.10 | 33.40 | 1.20 | |||
| 3-2 | 47.10 | 29.20 | ||||||
| 4 | Dynamic Displacement | 4-1 | 101.00 | 2.10 | 29.20 | 1.20–0.80–0.40–0.10 | ||
| 4-2 | 48.00 | 26.50 | ||||||
| 5 | 5-1 | 106.90 | 2.20 | 29.30 | 0.80–1.20 | |||
| 5-2 | 49.50 | 26.60 | ||||||
| 6 | 6-1 | 103.80 | 2.10 | 29.50 | 1.20–0.40 | |||
| 6-2 | 49.40 | 26.40 | ||||||
Disclaimer/Publisher’s Note: The statements, opinions and data contained in all publications are solely those of the individual author(s) and contributor(s) and not of MDPI and/or the editor(s). MDPI and/or the editor(s) disclaim responsibility for any injury to people or property resulting from any ideas, methods, instructions or products referred to in the content. |
© 2025 by the authors. Licensee MDPI, Basel, Switzerland. This article is an open access article distributed under the terms and conditions of the Creative Commons Attribution (CC BY) license (https://creativecommons.org/licenses/by/4.0/).
Share and Cite
Wang, C.; Deng, Y.; Liu, Y.; Li, G.; Yi, P.; Ma, B.; Gao, H. Research on the Energy Transfer Law of Polymer Gel Profile Control Flooding in Low-Permeability Oil Reservoirs. Gels 2025, 11, 541. https://doi.org/10.3390/gels11070541
Wang C, Deng Y, Liu Y, Li G, Yi P, Ma B, Gao H. Research on the Energy Transfer Law of Polymer Gel Profile Control Flooding in Low-Permeability Oil Reservoirs. Gels. 2025; 11(7):541. https://doi.org/10.3390/gels11070541
Chicago/Turabian StyleWang, Chen, Yongquan Deng, Yunlong Liu, Gaocheng Li, Ping Yi, Bo Ma, and Hui Gao. 2025. "Research on the Energy Transfer Law of Polymer Gel Profile Control Flooding in Low-Permeability Oil Reservoirs" Gels 11, no. 7: 541. https://doi.org/10.3390/gels11070541
APA StyleWang, C., Deng, Y., Liu, Y., Li, G., Yi, P., Ma, B., & Gao, H. (2025). Research on the Energy Transfer Law of Polymer Gel Profile Control Flooding in Low-Permeability Oil Reservoirs. Gels, 11(7), 541. https://doi.org/10.3390/gels11070541
