Study on Preparation and Properties of Super Absorbent Gels of Homogenous Cotton Straw-Acrylic Acid-Acrylamide by Graft Copolymerization
Abstract
1. Introduction
2. Results and Disscusion
2.1. Effect of SAP on Water Absorption of CS with Different Pretreatment
2.2. Single Factor Experiment
2.2.1. Influence of Ratio of Monomer to CS2 on Water Absorption of SAP
2.2.2. Influence of Mass Ratio of AA and Am on Water Absorption Ratio of SAP
2.2.3. Influence of Acrylic Neutralization on Water Absorption of SAG
2.2.4. Influence of Mass Ratio of Crosslinking Agent to CS2 on Water Absorption Ratio of SAG
2.3. Orthogonal Experiment
2.4. Structure and Morphology Analysis of SAG
2.4.1. IR Spectra of Sample
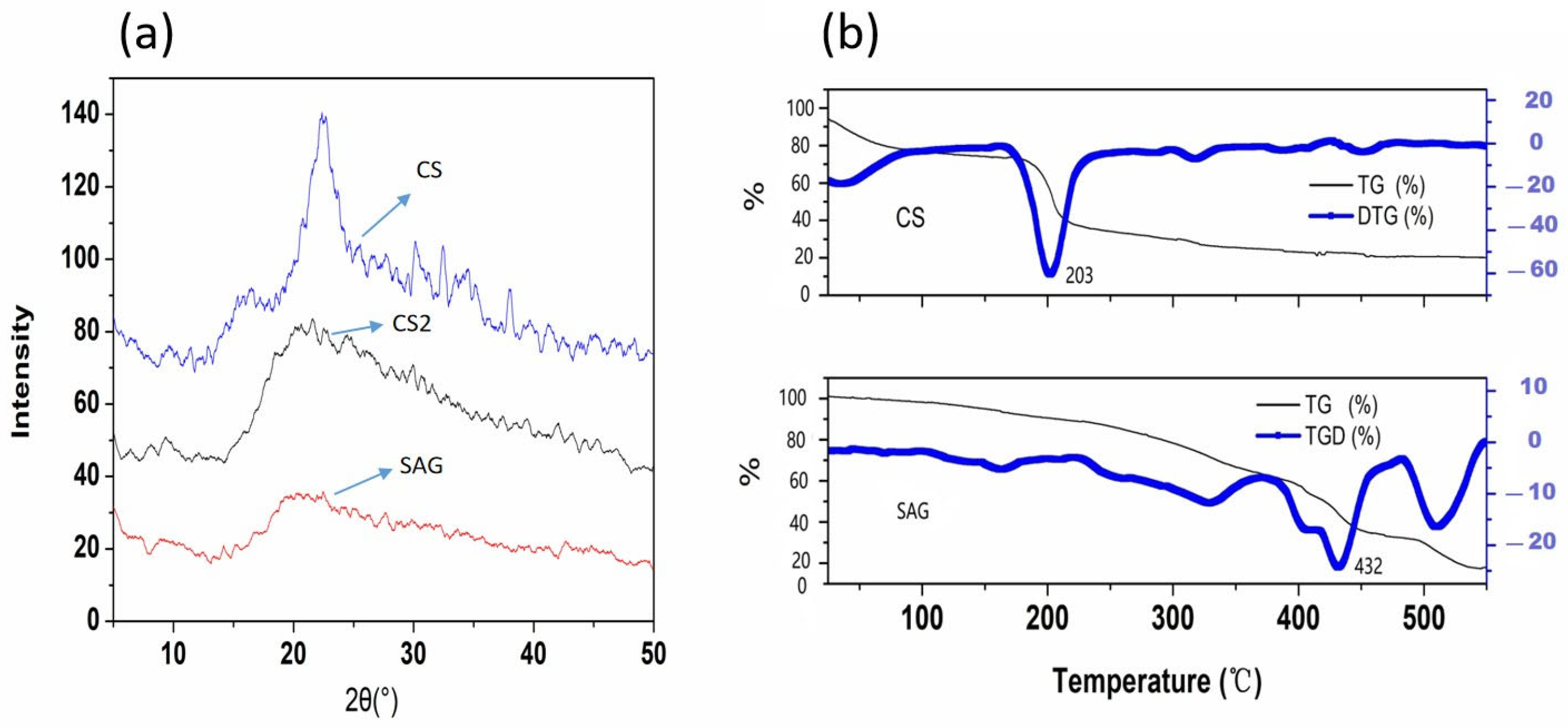
2.4.2. XRD Analysis
2.4.3. Thermogravimetric Analysis of Sample
2.4.4. SEM Analysis of SAG
3. Conclusions
4. Materials and Methods
4.1. Pretreatment of CS
4.2. Preparation of Graft Copolymer
4.3. Preparation of Composites
4.4. Water Absorption of SAP
4.5. Structure and Morphology Analysis
- The FTIR spectra were collected using the instrument (Thermo Nicolet, NEXUS, Madison, WI, USA), and potassium bromide was used for the pressing of the sample
- Morphological structure analysis was conducted using a scanning electron microscope (JSM-5600LV SEM from JEOL, Ltd., Tokyo, Japan). Take the SAG powder (passing through a 200-mesh sieve), magnify it 500 times, and perform scanning electron microscopy in a dry state. The sample was coated with a thin layer of gold film at an acceleration voltage of 15 kV.
- The comparison experiment on the thermal stability of resin and straw was conducted using a thermal anal-ysis instrument (Netzsch STA-449C thermogravimetric analyzer, TGA, Selb, Bavaria, Germany), temperature range: 25–550 °C, the rate of heating of 10 °C/min. Dry nitrogen flow rate of 40 mL/min.
- Powder X-ray diffraction (XRD) measurements were carried out using Haoyuan DX 2700 (Beijing, China) with Cu K radiation (λ = 1.5406 Å). The diffractometer was operated at 40 kV and 40 mA. The data were collected in the 5 to 50° (2 min) at a step size of 0.02°.
Author Contributions
Funding
Institutional Review Board Statement
Informed Consent Statement
Data Availability Statement
Conflicts of Interest
References
- Guo, J.; Huang, J.; Liu, T.; Chen, J.; Janaswamy, S. A novel superabsorbent material based on soybean straw: Synthesis and characterization. Sci. Eng. Compos. Mater. 2022, 29, 65–73. [Google Scholar] [CrossRef]
- Zhang, Q.; Wang, Z.; Zhang, C.; Aluko, R.E.; Yuan, J.; Ju, X.; He, R. Structural and functional characterization of rice starch-based superabsorbent polymer materials. Int. J. Biol. Macromol. 2020, 153, 1291–1298. [Google Scholar] [CrossRef] [PubMed]
- Damiri, F.; Salave, S.; Vitore, J.; Bachra, Y.; Jadhav, R.; Kommineni, N.; Karouach, F.; Paiva-Santos, A.C.; Varma, R.S.; Berrada, M. Properties and valuable applications of superabsorbent polymers: A comprehensive review. Polym. Bull. 2024, 81, 6671–6701. [Google Scholar] [CrossRef]
- Batara, B.; Steven, S.; Mulyana, M.; Saputra, A.S.; Hutahaean, A.C.; Yemensia, E.V.; Soekotjo, E.S.; Abidin, A.Z.; Graha, H.P.R. Recent Advances, Applications, and Challenges in Superabsorbent Polymers to Support Water Sustainability. J. Appl. Polym. Sci. 2024, 142, e56588. [Google Scholar] [CrossRef]
- Gou, P.; Ye, L.; Zhao, X. Fabrication of all-starch-based hydrogels as eco-friendly water-absorbent resin: Structure and swelling behaviors. Int. J. Biol. Macromol. 2023, 253, 127646. [Google Scholar] [CrossRef]
- Lavlinskaya, M.S.; Sorokin, A.V. Enhancement of Water Uptake in Composite Superabsorbents Based on Carboxymethyl Cellulose Through Porogen Incorporation and Lyophilization. Gels 2024, 10, 797. [Google Scholar] [CrossRef]
- Gao, L.; Wang, S.; Zhao, X. Synthesis and characterization of agricultural controllable humic acid superabsorbent. J. Environ. Sci. 2013, 25, S69–S76. [Google Scholar] [CrossRef]
- Fernando, T.; Ariadurai, S.; Disanayaka, C.; Kulathunge, S.; Aruggoda, A. Development of radiation grafted super absorbent polymers for agricultural applications. Energy Procedia 2017, 127, 163–177. [Google Scholar] [CrossRef]
- Chang, C.; Duan, B.; Cai, J.; Zhang, L. Superabsorbent hydrogels based on cellulose for smart swelling and controllable delivery. Eur. Polym. J. 2010, 46, 92–100. [Google Scholar] [CrossRef]
- Dodangeh, F.; Nabipour, H.; Rohani, S.; Xu, C. Applications, challenges and prospects of superabsorbent polymers based on cellulose derived from lignocellulosic biomass. Bioresour. Technol. 2024, 408, 131204. [Google Scholar] [CrossRef]
- Yoshimura, T.; Uchikoshi, I.; Yoshiura, Y.; Fujioka, R. Synthesis and characterization of novel biodegradable superabsorbent hydrogels based on chitin and succinic anhydride. Carbohydr. Polym. 2005, 61, 322–326. [Google Scholar] [CrossRef]
- Fang, S.; Wang, G.; Xing, R.; Chen, X.; Liu, S.; Qin, Y.; Li, K.; Wang, X.; Li, R.; Li, P. Synthesis of superabsorbent polymers based on chitosan derivative graft acrylic acid-co-acrylamide and its property testing. Int. J. Biol. Macromol. 2019, 132, 575–584. [Google Scholar] [CrossRef] [PubMed]
- Ma, Z.; Li, Q.; Yue, Q.; Gao, B.; Xu, X.; Zhong, Q. Synthesis and characterization of a novel super-absorbent based on wheat straw. Bioresour. Technol. 2011, 102, 2853–2858. [Google Scholar] [CrossRef] [PubMed]
- Kiatkamjornwong, S.; Chomsaksakul, W.; Sonsuk, M. Radiation modification of water absorption of cassava starch by acrylic acid/acrylamide. Radiat. Phys. Chem. 2000, 59, 413–427. [Google Scholar] [CrossRef]
- Amonpattaratkit, P.; Khunmanee, S.; Kim, D.H.; Park, H. Synthesis and characterization of gelatin-based crosslinkers for the fabrication of superabsorbent hydrogels. Materials 2017, 10, 826. [Google Scholar] [CrossRef]
- Tao, X.; Guo, J.; Wang, A.; Wang, Q.; Yang, Y.; Xu, M. Synthesis and Characterization of a Superabsorbent Polymer Gel Using a Simultaneous Irradiation Technique on Corn Straw. Gels 2025, 11, 244. [Google Scholar] [CrossRef]
- Chen, Y.; Liu, Y.-F.; Tan, H.-M.; Jiang, J.-X. Synthesis and characterization of a novel superabsorbent polymer of N, O-carboxymethyl chitosan graft copolymerized with vinyl monomers. Carbohydr. Polym. 2009, 75, 287–292. [Google Scholar] [CrossRef]
- Xu, Z.; Fei, Q.; Zhang, X. Synthesis of the starch grafting of superabsorbent and high oil-absorbing resin. J. Environ. Sci. 2013, 25, S97–S100. [Google Scholar] [CrossRef]
- Bai, W.; Ji, B.; Fan, L.; Peng, Q.; Liu, Q.; Song, J. Preparation and Characterization of a Novel Cassava Starch-Based Phosphorus Releasing Super-Absorbent Polymer, and Optimization of the Performance of Water Absorption and Phosphorus Release. Polymers 2023, 15, 1233. [Google Scholar] [CrossRef]
- Hemvichian, K.; Chanthawong, A.; Suwanmala, P. Synthesis and characterization of superabsorbent polymer prepared by radiation-induced graft copolymerization of acrylamide onto carboxymethyl cellulose for controlled release of agrochemicals. Radiat. Phys. Chem. 2014, 103, 167–171. [Google Scholar] [CrossRef]
- Silanikove, N.; Levanon, D. Cotton straw: Composition, variability and effect of anaerobic preservation. Biomass 1986, 9, 101–112. [Google Scholar] [CrossRef]
- Yu, X.; Li, G.; Zhao, H.; Ma, Y.; Li, Q.; Chen, Y.; Li, W. Influence of chemically-modified cotton straw fibers on the properties of asphalt mortar. Case Stud. Constr. Mater. 2023, 18, e01787. [Google Scholar] [CrossRef]
- Toğrul, H.; Arslan, N. Production of carboxymethyl cellulose from sugar beet pulp cellulose and rheological behaviour of carboxymethyl cellulose. Carbohydr. Polym. 2003, 54, 73–82. [Google Scholar] [CrossRef]
- Mathur, R.; Srivastava, V. Crop residue burning: Effects on environment. In Greenhouse Gas Emissions: Challenges, Technologies and Solutions; Springer: Singapore, 2018; pp. 127–140. [Google Scholar]
- Zhou, Y.; Hu, Y.; Tan, Z.; Zhou, T. Cellulose extraction from rice straw waste for biodegradable ethyl cellulose films preparation using green chemical technology. J. Clean. Prod. 2024, 439, 140839. [Google Scholar] [CrossRef]
- Cabrera-Villamizar, L.A.; Ebrahimi, M.; Martínez-Abad, A.; Talens-Perales, D.; López-Rubio, A.; Fabra, M.J. Order matters: Methods for extracting cellulose from rice straw by coupling alkaline, ozone and enzymatic treatments. Carbohydr. Polym. 2024, 328, 121746. [Google Scholar] [CrossRef]
- Xiao, W.; Wang, S.; Wei, B.; Wang, J.; Chen, L.; Liu, K.; Wang, T. Effect of temperature and pressure on the transformation characteristics of inorganic elements in cotton straw ash. Fuel 2023, 340, 127443. [Google Scholar] [CrossRef]
- Reddy, N.; Yang, Y. Properties and potential applications of natural cellulose fibers from the bark of cotton stalks. Bioresour. Technol. 2009, 100, 3563–3569. [Google Scholar] [CrossRef]
- Chen, X.; Xi, K.; Yang, Z.; Lu, J.; Zhang, Q.; Wang, B.; Wang, K.; Shi, J. Long-term increases in continuous cotton yield and soil fertility following the application of cotton straw and organic manure. Agronomy 2023, 13, 2133. [Google Scholar] [CrossRef]
- Benamer, S.; Mahlous, M.; Tahtat, D.; Nacer-Khodja, A.; Arabi, M.; Lounici, H.; Mameri, N. Radiation synthesis of chitosan beads grafted with acrylic acid for metal ions sorption. Radiat. Phys. Chem. 2011, 80, 1391–1397. [Google Scholar] [CrossRef]
- Biswal, J.; Kumar, V.; Bhardwaj, Y.; Goel, N.; Dubey, K.; Chaudhari, C.; Sabharwal, S. Radiation-induced grafting of acrylamide onto guar gum in aqueous medium: Synthesis and characterization of grafted polymer guar-g-acrylamide. Radiat. Phys. Chem. 2007, 76, 1624–1630. [Google Scholar] [CrossRef]
- Yang, G.; Zhang, Y.; Wei, M.; Shao, H.; Hu, X. Influence of γ-ray radiation on the structure and properties of paper grade bamboo pulp. Carbohydr. Polym. 2010, 81, 114–119. [Google Scholar] [CrossRef]
- Kiatkamjornwong, S.; Meechai, N. Enhancement of the grafting performance and of the water absorption of cassava starch graft copolymer by gamma radiation. Radiat. Phys. Chem. 1997, 49, 689–696. [Google Scholar] [CrossRef]
- Huacai, G.; Wan, P.; Dengke, L. Graft copolymerization of chitosan with acrylic acid under microwave irradiation and its water absorbency. Carbohydr. Polym. 2006, 66, 372–378. [Google Scholar] [CrossRef]
- Martínez-Barrera, G.; Martínez-López, A.; Vigueras-Santiago, E.; Martínez-López, M. Effects of gamma radiation on the physicochemical properties of polyester resin and its use in composite materials. In Recycled Polyester: Manufacturing, Properties, Test Methods, and Identification; Springer: Singapore, 2020; pp. 15–28. [Google Scholar]
- Nishioka, A.; Matsumae, K.; Watanabe, M.; Tajima, M.; Owaki, M. Effects of gamma radiation on some physical properties of polytetrafluoroethylene resin. J. Appl. Polym. Sci. 1959, 2, 114–119. [Google Scholar] [CrossRef]
- Qin, X.; Lu, A.; Cai, J.; Zhang, L. Stability of inclusion complex formed by cellulose in NaOH/urea aqueous solution at low temperature. Carbohydr. Polym. 2013, 92, 1315–1320. [Google Scholar] [CrossRef]
- Călina, I.; Demeter, M.; Scărișoreanu, A.; Micutz, M. Development of novel superabsorbent hybrid hydrogels by e-beam crosslinking. Gels 2021, 7, 189. [Google Scholar] [CrossRef]
- Miranda, M.; Bica, C.; Nachtigall, S.; Rehman, N.; Rosa, S. Kinetical thermal degradation study of maize straw and soybean hull celluloses by simultaneous DSC–TGA and MDSC techniques. Thermochim. Acta 2013, 565, 65–71. [Google Scholar] [CrossRef]
- Wu, F.; Zhang, Y.; Liu, L.; Yao, J. Synthesis and characterization of a novel cellulose-g-poly (acrylic acid-co-acrylamide) superabsorbent composite based on flax yarn waste. Carbohydr. Polym. 2012, 87, 2519–2525. [Google Scholar] [CrossRef]
- Njimou, J.R.; Pengou, M.; Tchakoute, H.K.; Sieugaing Tamwa, M.; Tizaoui, C.; Fannang, U.; Lemougna, P.N.; Nanseu-Njiki, C.P.; Ngameni, E. Removal of lead ions from aqueous solution using phosphate-based geopolymer cement composite. J. Chem. Technol. Biotechnol. 2021, 96, 1358–1369. [Google Scholar] [CrossRef]
- Cai, J.; Zhang, L.; Liu, S.; Liu, Y.; Xu, X.; Chen, X.; Chu, B.; Guo, X.; Xu, J.; Cheng, H. Dynamic self-assembly induced rapid dissolution of cellulose at low temperatures. Macromolecules 2008, 41, 9345–9351. [Google Scholar] [CrossRef]
- Zhang, S.; Li, F.-X.; Yu, J.-Y.; Hsieh, Y.-L. Dissolution behaviour and solubility of cellulose in NaOH complex solution. Carbohydr. Polym. 2010, 81, 668–674. [Google Scholar] [CrossRef]
- Wang, Y.; Deng, Y. The kinetics of cellulose dissolution in sodium hydroxide solution at low temperatures. Biotechnol. Bioeng. 2009, 102, 1398–1405. [Google Scholar] [CrossRef]
- Hao, Y.; Qu, J.; Tan, L.; Liu, Z.; Wang, Y.; Lin, T.; Yang, H.; Peng, J.; Zhai, M. Synthesis and property of superabsorbent polymer based on cellulose grafted 2-acrylamido-2-methyl-1-propanesulfonic acid. Int. J. Biol. Macromol. 2023, 233, 123643. [Google Scholar] [CrossRef]






| Sample | Pretreatment |
|---|---|
| CS1 | NaOH (6 wt%)/urea (4 wt%) |
| CS2 | NaOH (5 wt%)/urea (5 wt%) |
| CS3 | NaOH (4 wt%)/urea (6 wt%) |
| CS4 | NaOH (3 wt%)/urea (7 wt%) |
| CS5 | High pressure alkaline cooking (150 °C, 0.6 MPa, 30 min), then degraded by nitric acid with concentration of c(HNO3) = 1 mol/L at 100 °C for 30 min. |
| CS6 | Soaked in 10% NaOH aqueous solution for 24 h, m (straw):m (aqueous solution) = 1:12. |
| CS7 | Then 70 mL dilute sulfuric acid with a mass fraction of 0.75%, controlled at about 100 °C, heated in a water bath for 2 h. |
| Sample | Absorbency | |||
|---|---|---|---|---|
| Distilled Water (g/g−1) | Tap Water (g/g−1) | Sodium Chloride Solution (g/g−1) | Artificial Urine (g/g−1) | |
| SAP1 | 857 ± 20 b | 495 ± 15 a | 65 ± 4 ab | 71 ± 4 ab |
| SAP2 | 895 ± 24 a | 487 ± 17 a | 70 ± 5 a | 76 ± 6 a |
| SAP3 | 793 ± 28 b | 423 ± 17 c | 62 ± 3 b | 56 ± 3 c |
| SAP4 | 682 ± 30 c | 401 ± 24 d | 52 ± 4 c | 49 ± 2 d |
| SAP5 | 689 ± 28 c | 402 ± 25 d | 62 ± 3 b | 68 ± 3 b |
| SAP6 | 802 ± 21 b | 452 ± 22 b | 69 ± 3 a | 69 ± 4 b |
| SAP7 | 687 ± 18 c | 360 ± 20 e | 58 ± 5 b | 57 ± 3 c |
| A mm:mPCS (g/g) | B Neutralizition of AA (%) | C mAA:mAm (g/g) | Qd in the Distilled Water (g/g) | Qs in the Saline Solution (g/g) | |
|---|---|---|---|---|---|
| 1 | 1 (6:1) | 1 (70) | 1 (1.3) | 689 ± 21 | 60 ± 8 |
| 2 | 1 | 2 (80) | 3 (1.5) | 756 ± 25 | 72 ± 9 |
| 3 | 1 | 3 (90) | 2 (1.7) | 707 ± 32 | 82 ± 8 |
| 4 | 2 (7:1) | 1 | 3 | 678 ± 14 | 86 ± 7 |
| 5 | 2 | 2 | 2 | 689 ± 28 | 89 ± 12 |
| 6 | 2 | 3 | 1 | 696 ± 22 | 85 ± 10 |
| 7 | 3 (8:1) | 1 | 2 | 674 ± 22 | 77 ± 9 |
| 8 | 3 | 2 | 1 | 721 ± 25 | 63 ± 5 |
| 9 | 3 | 3 | 3 | 691 ± 24 | 75 ± 8 |
| 717 ± 12 | 680 ± 21 | 702 ± 17 | |||
| 688 ± 18 | 719 ± 23 | 708 ± 19 | |||
| 695 ± 21 | 698 ± 21 | 690 ± 14 | |||
| 29 | 39 | 18 | |||
| 105 ± 10 | 98 ± 12 | 93 ± 8 | |||
| 103 ± 8 | 105 ± 14 | 98 ± 9 | |||
| 97 ± 7 | 109 ± 10 | 116 ± 14 | |||
| 8 | 7 | 23 |
Disclaimer/Publisher’s Note: The statements, opinions and data contained in all publications are solely those of the individual author(s) and contributor(s) and not of MDPI and/or the editor(s). MDPI and/or the editor(s) disclaim responsibility for any injury to people or property resulting from any ideas, methods, instructions or products referred to in the content. |
© 2025 by the authors. Licensee MDPI, Basel, Switzerland. This article is an open access article distributed under the terms and conditions of the Creative Commons Attribution (CC BY) license (https://creativecommons.org/licenses/by/4.0/).
Share and Cite
Guo, J.; Shi, J.; Xu, L.; Zhang, X.; Han, F.; Xu, M. Study on Preparation and Properties of Super Absorbent Gels of Homogenous Cotton Straw-Acrylic Acid-Acrylamide by Graft Copolymerization. Gels 2025, 11, 583. https://doi.org/10.3390/gels11080583
Guo J, Shi J, Xu L, Zhang X, Han F, Xu M. Study on Preparation and Properties of Super Absorbent Gels of Homogenous Cotton Straw-Acrylic Acid-Acrylamide by Graft Copolymerization. Gels. 2025; 11(8):583. https://doi.org/10.3390/gels11080583
Chicago/Turabian StyleGuo, Jun, Jing Shi, Lisheng Xu, Xingtao Zhang, Fangkai Han, and Minwei Xu. 2025. "Study on Preparation and Properties of Super Absorbent Gels of Homogenous Cotton Straw-Acrylic Acid-Acrylamide by Graft Copolymerization" Gels 11, no. 8: 583. https://doi.org/10.3390/gels11080583
APA StyleGuo, J., Shi, J., Xu, L., Zhang, X., Han, F., & Xu, M. (2025). Study on Preparation and Properties of Super Absorbent Gels of Homogenous Cotton Straw-Acrylic Acid-Acrylamide by Graft Copolymerization. Gels, 11(8), 583. https://doi.org/10.3390/gels11080583

