Application of Gelatin Composite Coating in Pork Quality Preservation during Storage and Mechanism of Gelatin Composite Coating on Pork Flavor
Abstract
:1. Introduction
2. Results and Discussion
2.1. Physical Properties
2.1.1. Weight Loss
2.1.2. Color
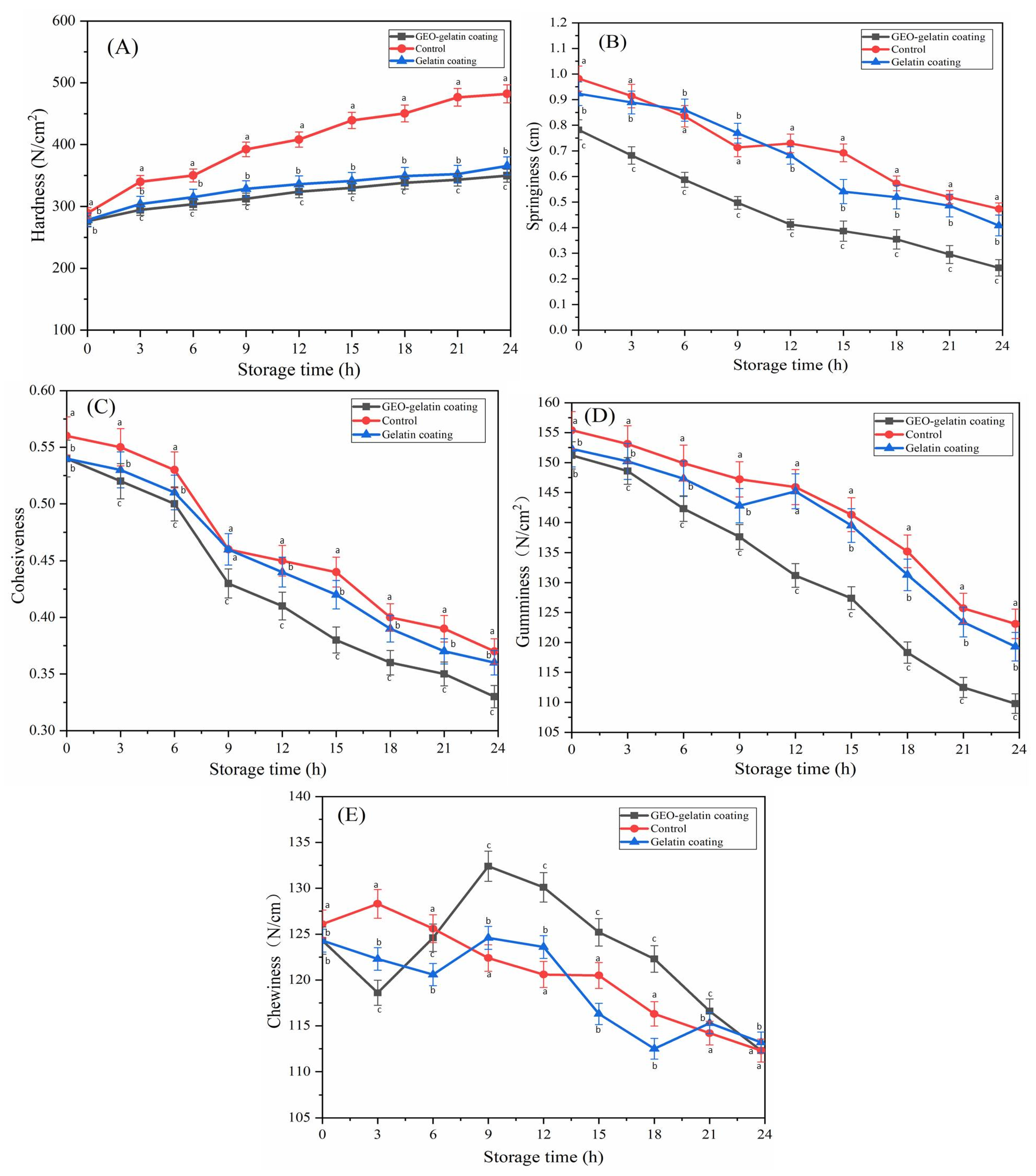
2.1.3. Texture Analysis
2.2. Morphological Analysis
2.3. Volatile Odor Analysis
2.3.1. GC-MS
2.3.2. E-Nose Radar Image Analysis and PCA
2.3.3. E-Tongue Radar Image Analysis and PCA
3. Conclusions
4. Materials and Methods
4.1. Materials
4.2. Coating Preparation
4.3. Pork Sample Preparation
4.4. Physical Property
4.4.1. Weight Loss
4.4.2. Color Analysis
4.4.3. Texture Profile Analysis (TPA)
4.5. Scanning Electron Microscopy Investigation
4.6. Volatile Odor Analysis
4.6.1. Gas Chromatography-Mass Spectrometry
4.6.2. The Electronic Nose (E-Nose)
4.6.3. Electronic Tongue (E-Tongue)
4.7. Statistical Analysis
Author Contributions
Funding
Institutional Review Board Statement
Informed Consent Statement
Data Availability Statement
Acknowledgments
Conflicts of Interest
References
- Tran, T.T.T.; Ton, N.M.N.; Nguyen, T.T.; Le, V.V.M.; Sajeev, D.; Schilling, M.W.; Dinh, T.T.N. Application of natural antioxidant extract from guava leaves (Psidium guajava L.) in fresh pork sausage. Meat Sci. 2020, 165, 108106. [Google Scholar] [CrossRef]
- Zhao, X.; Chen, L.; Wongmaneepratip, W.; He, Y.; Yang, H. Effect of vacuum impregnated fish gelatin and grape seed extract on moisture state, microbiota composition, and quality of chilled seabass fillets. Food Chem. 2021, 354, 129581. [Google Scholar] [CrossRef] [PubMed]
- Dehghani, S.; Hosseini, S.V.; Regenstein, J.M. Edible films and coatings in seafood preservation: A review. Food Chem. 2018, 240, 505–513. [Google Scholar] [CrossRef] [PubMed]
- Umaraw, P.; Munekata, P.E.S.; Verma, A.K.; Barba, F.J.; Singh, V.P.; Kumar, P.; Lorenzo, J.M. Edible films/coating with tailored properties for active packaging of meat, fish and derived products. Trends Food Sci. Technol. 2020, 98, 10–24. [Google Scholar] [CrossRef]
- Xiong, Y.; Chen, M.; Warner, R.D.; Fang, Z. Incorporating nisin and grape seed extract in chitosan-gelatine edible coating and its effect on cold storage of fresh pork. Food Control 2020, 110, 107018. [Google Scholar] [CrossRef]
- Zhang, H.; Liang, Y.; Li, X.; Kang, H. Effect of chitosan-gelatin coating containing nano-encapsulated tarragon essential oil on the preservation of pork slices. Meat Sci. 2020, 166, 108137. [Google Scholar] [CrossRef]
- Spence, C. Multisensory Flavor Perception. Cell 2015, 161, 24–35. [Google Scholar] [CrossRef] [Green Version]
- Jeena, K.; Liju, V.B.; Kuttan, R. Antioxidant, anti-inflammatory and antinociceptive activities of essential oil from ginger. Indian J. Physiol. Pharmacol. 2013, 57, 51–62. [Google Scholar]
- Zhang, B.; Liu, Y.; Wang, H.; Liu, W.; Cheong, K.-l.; Teng, B. Effect of sodium alginate-agar coating containing ginger essential oil on the shelf life and quality of beef. Food Control 2021, 130, 108216. [Google Scholar] [CrossRef]
- Sanchez-Ortega, I.; García-Almendárez, B.; Santos, E.; Amaro Reyes, A.; Corona, J.E.; Regalado, C. Antimicrobial Edible Films and Coatings for Meat and Meat Products Preservation. Sci. World J. 2014, 2014, 248935. [Google Scholar] [CrossRef]
- Mutwakil, M. Meat Spoilage Mechanisms and Preservation Techniques: A Critical Review. Am. J. Agric. Biol. Sci. 2011, 6, 486–510. [Google Scholar] [CrossRef] [Green Version]
- Gennadios, A.; Hanna, M.; Kurth, L.B. Application of Edible Coatings on Meats, Poultry and Seafoods: A Review. LWT—Food Sci. Technol. 1997, 30, 337–350. [Google Scholar] [CrossRef]
- Woodmansee, C.W.; Abbott, O.J. Coating Sub-Scalded Broiler Parts in Order to Afford Protection against Dehydration and Skin Darkening in Fresh Storage. Poult. Sci. 1958, 37, 1367–1373. [Google Scholar] [CrossRef]
- Thiansilakul, Y.; Benjakul, S.; Richards, M.P. Effect of Myoglobin from Eastern Little Tuna Muscle on Lipid Oxidation of Washed Asian Seabass Mince at Different pH Conditions. J. Food Sci. 2011, 76, C242–C249. [Google Scholar] [CrossRef] [PubMed]
- Kroll, J.; Rawel, H.M. Reactions of Plant Phenols with Myoglobin: Influence of Chemical Structure of the Phenolic Compounds. J. Food Sci. 2001, 66, 48–58. [Google Scholar] [CrossRef]
- Zhuang, X.; Han, M.; Kang, Z.-l.; Wang, K.; Bai, Y.; Xu, X.-l.; Zhou, G.-h. Effects of the sugarcane dietary fiber and pre-emulsified sesame oil on low-fat meat batter physicochemical property, texture, and microstructure. Meat Sci. 2016, 113, 107–115. [Google Scholar] [CrossRef] [PubMed]
- Martinez, O.; Salmerón, J.; Guillén, M.D.; Casas, C. Texture profile analysis of meat products treated with commercial liquid smoke flavourings. Food Control 2004, 15, 457–461. [Google Scholar] [CrossRef]
- Amiri, A.; Sharifian, P.; Soltanizadeh, N. Application of ultrasound treatment for improving the physicochemical, functional and rheological properties of myofibrillar proteins. Int. J. Biol. Macromol. 2018, 111, 139–147. [Google Scholar] [CrossRef] [PubMed]
- Aksoy, A.; Karasu, S.; Akcicek, A.; Kayacan, S. Effects of Different Drying Methods on Drying Kinetics, Microstructure, Color, and the Rehydration Ratio of Minced Meat. Foods 2019, 8, 216. [Google Scholar] [CrossRef] [Green Version]
- Suo, B.; Li, H.; Wang, Y.; Li, Z.; Pan, Z.; Ai, Z. Effects of ZnO nanoparticle-coated packaging film on pork meat quality during cold storage. J. Sci. Food Agric. 2017, 97, 2023–2029. [Google Scholar] [CrossRef]
- Nieto, G.; Bañón, S.; Garrido, M.D. Effect of supplementing ewes’ diet with thyme (Thymus zygis ssp. gracilis) leaves on the lipid oxidation of cooked lamb meat. Food Chem. 2011, 125, 1147–1152. [Google Scholar] [CrossRef]
- Madruga, M.S.; Elmore, J.S.; Oruna-Concha, M.J.; Balagiannis, D.; Mottram, D.S. Determination of some water-soluble aroma precursors in goat meat and their enrolment on flavour profile of goat meat. Food Chem. 2010, 123, 513–520. [Google Scholar] [CrossRef]
- Domínguez, R.; Gómez, M.; Fonseca, S.; Lorenzo, J.M. Influence of thermal treatment on formation of volatile compounds, cooking loss and lipid oxidation in foal meat. LWT—Food Sci. Technol. 2014, 58, 439–445. [Google Scholar] [CrossRef]
- Cui, S.; Wang, J.; Yang, L.; Wu, J.; Wang, X. Qualitative and quantitative analysis on aroma characteristics of ginseng at different ages using E-nose and GC–MS combined with chemometrics. J. Pharm. Biomed. Anal. 2015, 102, 64–77. [Google Scholar] [CrossRef]
- Zhao, F.; Zhou, G.; Ye, K.; Wang, S.; Xu, X.; Li, C. Microbial changes in vacuum-packed chilled pork during storage. Meat Sci. 2015, 100, 145–149. [Google Scholar] [CrossRef] [PubMed]
- Raeisi, M.; Tabaraei, A.; Hashemi, M.; Behnampour, N. Effect of sodium alginate coating incorporated with nisin, Cinnamomum zeylanicum, and rosemary essential oils on microbial quality of chicken meat and fate of Listeria monocytogenes during refrigeration. Int. J. Food Microbiol. 2016, 238, 139–145. [Google Scholar] [CrossRef]
- Souza, M.P.; Vaz, A.F.M.; Cerqueira, M.A.; Texeira, J.A.; Vicente, A.A.; Carneiro-da-Cunha, M.G. Effect of an Edible Nanomultilayer Coating by Electrostatic Self-Assembly on the Shelf Life of Fresh-Cut Mangoes. Food Bioprocess Technol. 2015, 8, 647–654. [Google Scholar] [CrossRef] [Green Version]
- Xiao, F.; Ng, V.K.; Marta, M.K.; Yang, H. Effects of Fish Gelatin and Tea Polyphenol Coating on the Spoilage and Degradation of Myofibril in Fish Fillet During Cold Storage. Food Bioprocess Technol. 2017, 10, 89–102. [Google Scholar] [CrossRef]
- Jca, B.; Liang, X.; Rong, X.; Xl, B.; Mzac, D. Effects of mulberry polyphenols on oxidation stability of sarcoplasmic and myofibrillar proteins in dried minced pork slices during processing and storage. Meat Sci. 2019, 160. [Google Scholar] [CrossRef]
- Li, J.-L.; Tu, Z.-C.; Zhang, L.; Lin, D.-R.; Sha, X.-M.; Zeng, K.; Wang, H.; Pang, J.-J.; Tang, P.-P. Characterization of Volatile Compounds in Grass Carp (Ctenopharyngodon idellus) Soup Cooked Using a Traditional Chinese Method by GC–MS. J. Food Processing Preserv. 2017, 41, e12995. [Google Scholar] [CrossRef]
- Wang, H.; Hu, Z.; Long, F.; Guo, C.; Yuan, Y.; Yue, T. Early detection of Zygosaccharomyces rouxii—Spawned spoilage in apple juice by electronic nose combined with chemometrics. Int. J. Food Microbiol. 2016, 217, 68–78. [Google Scholar] [CrossRef] [PubMed]
- Buratti, S.; Malegori, C.; Benedetti, S.; Oliveri, P.; Giovanelli, G. E-nose, e-tongue and e-eye for edible olive oil characterization and shelf life assessment: A powerful data fusion approach. Talanta 2018, 182, 131–141. [Google Scholar] [CrossRef] [PubMed]
- Bénédicte, L.; Isabelle, L.; Thierry, A.; Muriel, B.; Louis, L. How Muscle Structure and Composition Influence Meat and Flesh Quality. Sci. World J. 2016, 3182746. [Google Scholar] [CrossRef] [Green Version]





: control;
: gelatin coating;
: GEO-gelatin coating; ★: fresh pork).
: control;
: gelatin coating;
: GEO-gelatin coating; ★: fresh pork).
: control;
: gelatin coating;
: GEO-gelatin coating; ★: fresh pork).
: control;
: gelatin coating;
: GEO-gelatin coating; ★: fresh pork).

| Volatile Compound | Samples | |||
|---|---|---|---|---|
| Control Group | Gelatin Coating | GEO-Gelatin Coating | Fresh Pork | |
| Alkane | ||||
| Hexane | 0.31 ± 0.03 a | N.D. | N.D. | N.D. |
| Dodecane | 0.25 ± 0.03 a | 0.13 ± 0.01 b | 0.03 ± 0.04 c | N.D. |
| Tetradecane | 1.26 ± 0.10 a | N.D. | 0.34 ± 0.02 b | 0.83 ± 0.04 c |
| 3-Methyl-Tridecane | 0.51 ± 0.04 a | 0.46 ± 0.04 a | 0.12 ± 0.02 b | N.D. |
| Pentadecane | 1.06 ± 0.08 a | N.D. | 0.42 ± 0.10 b | N.D. |
| Eicosane | N.D. | 0.39 ± 0.03 a | N.D. | 2.34 ± 0.10 b |
| Docosane | 1.03 ± 0.03 a | N.D. | N.D. | N.D. |
| Hexadecane | 0.65 ± 0.07 a | 0.04 ± 0.03 b | 0.32 ± 0.05 c | N.D. |
| Heptadecane | 0.18 ± 0.00 a | N.D. | 0.29 ± 0.03 b | 0.21 ± 0.03 a |
| Tricosane | 0.52 ± 0.09 a | 0.13 ± 0.02 b | 0.31 ± 0.05 c | N.D. |
| Nonadecane | 1.28 ± 0.06 a | N.D. | 0.12 ± 0.14 b | N.D. |
| Hexacosane | 0.78 ± 0.02 a | 0.43 ± 0.05 b | N.D. | N.D. |
| alkene | ||||
| 1-Tridecene | N.D. | N.D. | 0.13 ± 0.06 a | 0.21 ± 0.02 b |
| Tridecane, 3-methylene- | N.D. | N.D. | 0.36 ± 0.01 a | 0.04 ± 0.04 b |
| Alcohols | ||||
| 2-Ethyl- Hexanol | 0.19 ± 0.06 a | 0.14 ± 0.05 b | 3.59 ± 0.02 c | 3.63 ± 0.01 c |
| 3-Phenylpropanol | 4.77 ± 0.03 a | 1.49 ± 0.01 b | 1.27 ± 0.02 c | 0.17 ± 0.05 d |
| 2-Ethyl-1-dodecanol | 0.03 ± 0.09 a | 0.87 ± 0.01 b | 0.23 ± 0.06 c | N.D. |
| 1-Penten-3-ol | 2.35 ± 0.01 a | 1.29 ± 0.03 b | 0.31 ± 0.01 c | 0.34 ± 0.09 c |
| Tetracosanol | 0.88 ± 0.03 a | 0.24 ± 0.10 b | 0.92 ± 0.15 a | 1.32 ± 0.03 c |
| 1-Heptacosanol | 2.58 ± 0.06 a | 1.39 ± 0.02 b | N.D. | 0.81 ± 0.01 c |
| Aldehyde | ||||
| Nonanal | 1.30 ± 0.03 a | 1.74 ± 0.01 b | N.D. | 4.63 ± 0.16 c |
| Decanal | 0.14 ± 0.08 a | 0.06 ± 0.10 b | 0.08 ± 0.07 b | 0.05 ± 0.02 b |
| Octanal | N.D. | 0.16 ± 0.01 a | 0.08 ± 0.08 b | 1.39 ± 0.06 c |
| Pentanal | 2.65 ± 0.07 a | 5.13 ± 0.03 b | 3.42 ± 0.07 c | N.D. |
| Hexanal | 3.89 ± 0.02 a | 47.32 ± 2.03 b | 68.43 ± 0.08 c | 84.32 ± 0.05 d |
| Dodecanal | N.D. | 0.26 ± 0.07 a | 0.98 ± 0.09 b | 1.49 ± 0.03 c |
| Tridecanal | 0.15 ± 0.01 a | 0.09 ± 0.05 b | N.D. | 1.27 ± 0.02 c |
| Acids | ||||
| Hexadecanoic acid | 0.15 ± 0.03 a | 2.30 ± 0.07 b | 5.23 ± 0.08 c | 6.23 ± 0.05 d |
| Dodecanoic acid | 3.21 ± 0.12 a | 0.17 ± 0.05 b | N.D. | 2.13 ± 0.05 c |
| Decanoic acid | 0.32 ± 0.05 a | N.D. | 0.12 ± 0.04 b | 0.10 ± 0.09 b |
| Octadecanoic acid | 0.92 ± 0.10 a | 0.35 ± 0.02 b | 0.31 ± 0.05 b | N.D. |
Publisher’s Note: MDPI stays neutral with regard to jurisdictional claims in published maps and institutional affiliations. |
© 2021 by the authors. Licensee MDPI, Basel, Switzerland. This article is an open access article distributed under the terms and conditions of the Creative Commons Attribution (CC BY) license (https://creativecommons.org/licenses/by/4.0/).
Share and Cite
Li, H.; Tang, R.; Mustapha, W.A.W.; Liu, J.; Hasan, K.M.F.; Li, X.; Huang, M. Application of Gelatin Composite Coating in Pork Quality Preservation during Storage and Mechanism of Gelatin Composite Coating on Pork Flavor. Gels 2022, 8, 21. https://doi.org/10.3390/gels8010021
Li H, Tang R, Mustapha WAW, Liu J, Hasan KMF, Li X, Huang M. Application of Gelatin Composite Coating in Pork Quality Preservation during Storage and Mechanism of Gelatin Composite Coating on Pork Flavor. Gels. 2022; 8(1):21. https://doi.org/10.3390/gels8010021
Chicago/Turabian StyleLi, Haoxin, Renrun Tang, Wan Aida Wan Mustapha, Jia Liu, K. M. Faridul Hasan, Xin Li, and Mingzheng Huang. 2022. "Application of Gelatin Composite Coating in Pork Quality Preservation during Storage and Mechanism of Gelatin Composite Coating on Pork Flavor" Gels 8, no. 1: 21. https://doi.org/10.3390/gels8010021
APA StyleLi, H., Tang, R., Mustapha, W. A. W., Liu, J., Hasan, K. M. F., Li, X., & Huang, M. (2022). Application of Gelatin Composite Coating in Pork Quality Preservation during Storage and Mechanism of Gelatin Composite Coating on Pork Flavor. Gels, 8(1), 21. https://doi.org/10.3390/gels8010021

