Novel Solvent–Latex Mixing: Thermal Insulation Performance of Silica Aerogel/Natural Rubber Composite
Abstract
:1. Introduction
2. Materials and Methods
2.1. Materials
2.2. Silica Aerogel/NRL Composite Preparation
2.3. Characterisation of the Silica Aerogel/NRL Composite Insulation Properties
3. Results and Discussion
3.1. Morphology
3.1.1. Understanding the Effect of Silica Aerogel and n-Hexane on NRL Mixing
3.1.2. Morphology of Silica Aerogel Pores in Composite
3.2. Thermal Conductivity
3.3. Density
3.4. Apparent Insulation Performance
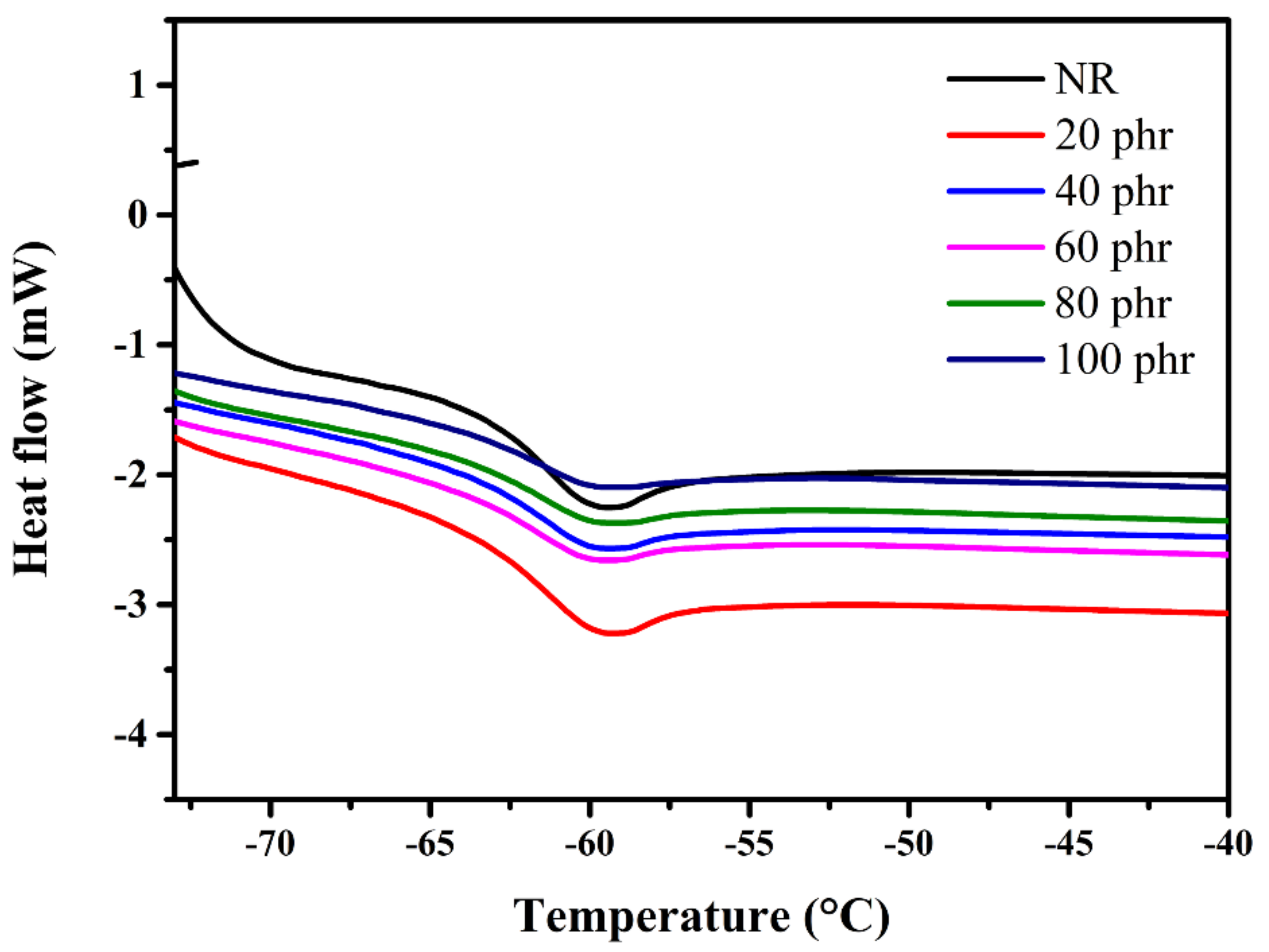
3.5. DSC
4. Conclusions
Author Contributions
Funding
Institutional Review Board Statement
Informed Consent Statement
Data Availability Statement
Acknowledgments
Conflicts of Interest
References
- Nawamawat, K.; Sakdapipanich, J.T.; Ho, C.C.; Ma, Y.; Song, J.; Vancso, J.G. Surface nanostructure of Hevea brasiliensis natural rubber latex particles. Colloids Surf. A Physicochem. Eng. Asp. 2011, 390, 157–166. [Google Scholar] [CrossRef]
- Sansatsadeekul, J.; Sakdapipanich, J.; Rojruthai, P. Characterization of associated proteins and phospholipids in natural rubber latex. J. Biosci. Bioeng. 2011, 111, 628–634. [Google Scholar] [CrossRef] [PubMed]
- Lim, H.M.; Misni, M. Colloidal and rheological properties of natural rubber latex concentrate. Appl. Rheol. 2016, 26, 15659–15669. [Google Scholar]
- Vo, M.L.; Plank, J. Evaluation of natural rubber latex as film forming additive in cementitious mortar. Constr. Build. Mater. 2018, 169, 93–99. [Google Scholar] [CrossRef]
- Cai, H.H.; Li, S.D.; Tian, G.R.; Wang, H.B.; Wang, J.H. Reinforcement of natural rubber latex film by ultrafine calcium carbonate. J. Appl. Polym. Sci. 2003, 87, 982–985. [Google Scholar] [CrossRef]
- Tang, L.-C.; Zhao, L.; Qiang, F.; Wu, Q.; Gong, L.-X.; Peng, J.-P. Chapter twelve—Mechanical properties of rubber nanocomposites containing carbon nanofillers. In Carbon-Based Nanofillers and Their Rubber Nanocomposites; Yaragalla, S., Mishra, R.K., Thomas, S., Kalarikkal, N., Maria, H.J., Eds.; Elsevier: Amsterdam, The Netherlands, 2019; Volume 12, pp. 367–423. [Google Scholar]
- Cole, W.M.; Bohm, G.G.A.; Tomaszewski, W.; Huang, Y. Processes for recovering rubber from natural rubber latex. U.S. Patent 8815965B2, 26 August 2014. [Google Scholar]
- Tangboriboonrat, P.; Suchiva, K.; Kuhakarn, S. Characterization of non-crosslinked natural rubber latex by phase transfer technique. Polymer 1994, 35, 5144–5145. [Google Scholar] [CrossRef]
- Jing, Y.; Cui, Z.; Zou, H.; Tu, J.; Jiang, X.; Shi, X.; Yong, Z.; Liu, S.; Liu, G. Three-dimensional solubility parameters of natural rubber and its predictive power in diffusion coefficients. J. Appl. Polym. Sci. 2022, 139, e51473. [Google Scholar] [CrossRef]
- Wang, X.; Chen, Z.; Sun, H.; Yin, Y.; Huan, Y.; Yang, X. Wet mixing with organic solvent for synthesized cis-1,4-polyisoprene-based rubber composites. ACS Omega 2020, 5, 30444–30453. [Google Scholar] [CrossRef]
- Lee, C.J.; Kim, G.S.; Hyun, S.H. Synthesis of silica aerogels from waterglass via new modified ambient drying. J. Mater. Sci. 2002, 37, 2237–2241. [Google Scholar] [CrossRef]
- Hüsing, N.; Schubert, U. Aerogels—Airy materials: Chemistry, structure, and properties. Angew. Chem. Int. Ed. 1998, 37, 22–45. [Google Scholar] [CrossRef]
- Xie, T.; He, Y.L. Heat transfer characteristics of silica aerogel composite materials: Structure reconstruction and numerical modeling. Int. J. Heat Mass Transf. 2016, 95, 621–635. [Google Scholar] [CrossRef]
- Wang, X.D.; Sun, D.; Duan, Y.Y.; Hu, Z.J. Radiative characteristics of opacifier-loaded silica aerogel composites. J. Non Cryst. Solids. 2013, 375, 31–39. [Google Scholar] [CrossRef]
- Yan, J.; Choi, H.Y.; Hong, Y.K.; Jeong, Y.G. Thermal insulation performance of cotton and PET-based hybrid fabrics impregnated with silica aerogel via a facile dip-dry process. Fiber Polym. 2018, 19, 854–860. [Google Scholar] [CrossRef]
- Saoud, K.M.; Saeed, S.; Bertino, M.F.; White, L.S. Fabrication of strong and ultra-lightweight silica-based aerogel materials with tailored properties. J. Porous Mater. 2018, 25, 511–520. [Google Scholar] [CrossRef]
- Saeed, S.; Soubaihi, R.M.A.; White, L.S.; Bertino, M.F.; Saoud, K.M. Rapid fabrication of cross-linked silica aerogel by laser induced gelation. Microporous Mesoporous Mater. 2016, 221, 245–252. [Google Scholar] [CrossRef]
- Kim, H.M.; Noh, Y.J.; Yu, J.; Kim, S.Y.; Youn, J.R. Silica aerogel/polyvinyl alcohol (PVA) insulation composites with preserved aerogel pores using interfaces between the superhydrophobic aerogel and hydrophilic PVA solution. Compos. Part A. 2015, 75, 39–45. [Google Scholar] [CrossRef]
- Do, N.H.N.; Tran, V.T.; Tran, Q.B.M.; Le, K.A.; Thai, Q.B.; Nguyen, P.T.T.; Duong, H.M.; Le, P.K. Recycling of pineapple leaf and cotton waste fibers into heat-insulating and flexible cellulose aerogel composites. J. Polym. Environ. 2021, 29, 1112–1121. [Google Scholar] [CrossRef]
- Lee, H.; Lee, D.; Cho, J.; Kim, Y.O.; Lim, S.; Youn, S.; Jung, Y.C.; Kim, S.Y.; Seong, D.G. Super-insulating, flame-retardant, and flexible poly(dimethylsiloxane) composites based on silica aerogel. Compos. Part A Appl. Sci. Manuf. 2019, 123, 108–113. [Google Scholar]
- Kim, H.M.; Kim, H.S.; Kim, S.Y.; Youn, J.R. Silica aerogel/epoxy composites with preserved aerogel pores and low thermal conductivity. e-Polymers 2015, 15, 111–117. [Google Scholar] [CrossRef]
- Kim, S.Y.; Noh, Y.J.; Lim, J.; You, N. Silica aerogel/polyimide composites with preserved aerogel pores using multi-step curing. Macromol. Res. 2014, 22, 108–111. [Google Scholar] [CrossRef]
- He, Y.L.; Xie, T. Advances of thermal conductivity models of nanoscale silica aerogel insulation material. Appl. Therm. Eng. 2015, 18, 28–50. [Google Scholar] [CrossRef]
- Edjenguele, A.; Alegria, A.; Arrese-Igor, S.; Ehabe, E.E.; Nkengafac, N.J. Preparation and characterization of non-vulcanized natural rubber-based cocoa pod husk composites. J. Appl. Polym. Sci. 2021, 139, e51464. [Google Scholar] [CrossRef]
- Loadman, M.J.R. The glass transition temperature of natural rubber. J. Thermal Anal. 1985, 30, 929–941. [Google Scholar] [CrossRef]
- Ginting, E.M.; Bukit, N.; Saragih, M.T.; Frida, E.; Bukit, B.F. Analysis of natural rubber compounds with filler of oil palm empty bunches powder and carbon black. J. Phys. Conf. Ser. 2020, 1428, 012024. [Google Scholar] [CrossRef]
- Zhang, C.; Dan, Y.; Peng, J.; Turng, L.S.; Sabo, R.; Clemons, C. Thermal and mechanical properties of natural rubber composites reinforced with cellulose nanocrystals from Southern Pine. Adv. Polym. Technol. 2014, 33, 21448. [Google Scholar] [CrossRef]









Publisher’s Note: MDPI stays neutral with regard to jurisdictional claims in published maps and institutional affiliations. |
© 2021 by the authors. Licensee MDPI, Basel, Switzerland. This article is an open access article distributed under the terms and conditions of the Creative Commons Attribution (CC BY) license (https://creativecommons.org/licenses/by/4.0/).
Share and Cite
Boonrawd, C.; Yodyingyong, S.; Benyahia, L.; Triampo, D. Novel Solvent–Latex Mixing: Thermal Insulation Performance of Silica Aerogel/Natural Rubber Composite. Gels 2022, 8, 7. https://doi.org/10.3390/gels8010007
Boonrawd C, Yodyingyong S, Benyahia L, Triampo D. Novel Solvent–Latex Mixing: Thermal Insulation Performance of Silica Aerogel/Natural Rubber Composite. Gels. 2022; 8(1):7. https://doi.org/10.3390/gels8010007
Chicago/Turabian StyleBoonrawd, Chayanan, Supan Yodyingyong, Lazhar Benyahia, and Darapond Triampo. 2022. "Novel Solvent–Latex Mixing: Thermal Insulation Performance of Silica Aerogel/Natural Rubber Composite" Gels 8, no. 1: 7. https://doi.org/10.3390/gels8010007
APA StyleBoonrawd, C., Yodyingyong, S., Benyahia, L., & Triampo, D. (2022). Novel Solvent–Latex Mixing: Thermal Insulation Performance of Silica Aerogel/Natural Rubber Composite. Gels, 8(1), 7. https://doi.org/10.3390/gels8010007

