Rapid and Efficient Optimization of Poly(1,2-Ethanediol Citrate) Synthesis Based on Magic Squares’ Various Methods
Abstract
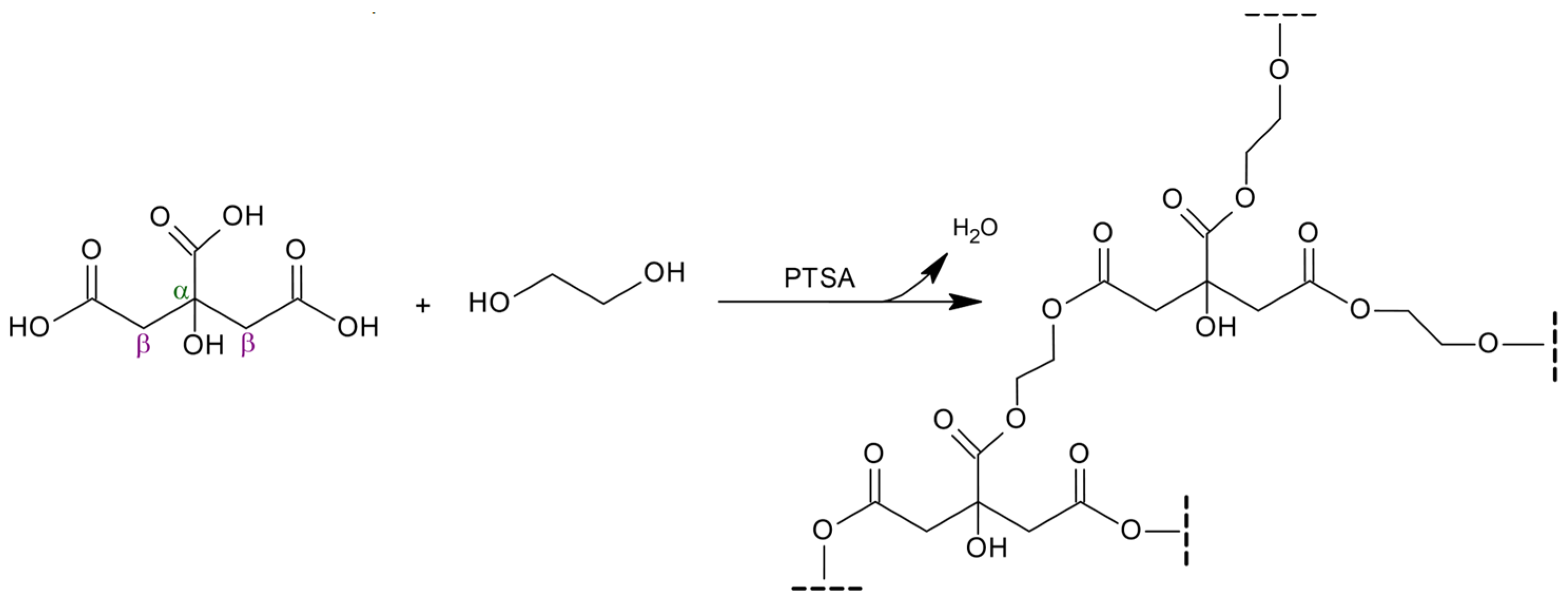
1. Introduction
2. Results and Discussion
2.1. Spectral Analysis of Synthesis Products
- A narrow band around 3500 cm−1 (A) corresponding to the vibrations of stretching O-H bonds not participating in the formation of the hydrogen bond in citric acid;
- A wide band in the range 3250–2600 cm−1 (B-C) derived from the hydroxyl groups in citric acid correlated with the hydrogen bond; an extensive band resulting from overlapping a band from a single O-H bond, hydroxyl groups in carboxyl moiety, and also a band corresponding to the vibrations of stretching C-H bonds of aliphatic groups; and the C band in the product spectrum indicates the incomplete conversion of citric acid;
- Characteristic broad band of high intensity in the range 3600–3100 cm−1 (D) of the O-H stretching vibrations in 1,2-ethanediol;
- An extensive band in the range 3650–3200 cm−1 (H) corresponds to the stretching vibrations of the hydroxyl groups of both 1,2-ethanediol (D) and citric acid (A, B), resulting from the incomplete conversion of the functional groups in poly(1,2-ethanediol citrate);
- A band of about 2950 cm−1 is derived from the vibrations of stretching C-H bonds of the aliphatic groups in 1,2-ethanediol (E) as well as in the reaction products, i.e., the polymer chain and substrate molecules (I);
- A band with a maximum at 1720 cm−1 (J) characteristic of the stretching vibrations of the carbonyl groups in acids and esters; the double band in citric acid indicates the inequality of the carboxyl groups or may result from the presence of hydrogen bonds and the formation of associations; in addition, a slight widening on the right side of the ester band can be noticed, which proves incomplete conversion of the acid;
- A strong band around 1050 cm−1 (F) of the C-O stretching vibrations in the C-C(O)-O group in 1,2-ethanediol; in the case of the ester, a shift of the C-O band to 1170 cm−1 (K) is observed;
- A broad band corresponding to the deformation vibrations of the hydroxyl groups related to hydrogen bonding in 1,2-ethanediol in the range 800–550 cm−1 (G);
- A band around 1080 cm−1 (L) derived from C-O stretching vibrations in the O-C-C group.
2.2. Optimization of the Synthesis Conditions
3. Materials and Methods
3.1. Fourier Transform Infrared Spectroscopy (FTIR)
3.2. Nuclear Magnetic Resonance (NMR)
- —the conversion of α-C(O)O-H acid groups;
- —the conversion of β-C(O)O-H acid groups;
- —the total conversion of the acid groups;
- —the value of the integral of the signal from the ester group α-C(O)O-R or β-C(O)O-R;
- —the value of the integral of the signal from the acid group α-C(O)O-H or β-C(O)O-H.
3.3. Gel Permeation Chromatography (GPC)
3.4. Acid Number
- —the volume of 1 M NaOH aqueous solution consumed in the actual test;
- —the volume of 1 M NaOH aqueous solution consumed in the blank test;
- —the titer of solution used for titration (1 M);
- —the sample weight.
3.5. Ester Number
- —the volume of 1 M HCl aqueous solution consumed in the actual test;
- —the volume of 1 M HCl aqueous solution consumed in the blank test;
- —the titer of solution used for titration (1 M);
- —the sample weight.
- —ester number;
- —acid number.
3.6. Synthesis Procedure
4. Conclusions
Author Contributions
Funding
Institutional Review Board Statement
Informed Consent Statement
Data Availability Statement
Acknowledgments
Conflicts of Interest
References
- Elmowafy, E.M.; Tiboni, M.; Soliman, M.E. Biocompatibility, biodegradation and biomedical applications of poly(lactic acid)/poly(lactic-co-glycolic acid) micro and nanoparticles. J. Pharm. Investig. 2019, 49, 347–380. [Google Scholar] [CrossRef]
- Altschul, R. The Reversible Esterification of Carboxylic Acids with Isobutene and Trimethylethylene. Quantitative Studies and Synthetic Applications. J. Am. Chem. Soc. 1946, 68, 2605–2609. [Google Scholar] [CrossRef]
- Gupta, A.P.; Kumar, V. New emerging trends in synthetic biodegradable polymers—Polylactide: A critique. Eur. Polym. J. 2007, 43, 4053–4074. [Google Scholar] [CrossRef]
- Gerber, A.; Gogolewski, S. Reconstruction of large segmental defects in the sheep tibia using polylactide membranes. A clinical and radiographic report. Injury 2002, 33, 43–57. [Google Scholar] [CrossRef] [PubMed]
- Velioglu, Z.B.; Pulat, D.; Demirbakan, B.; Ozcan, B.; Bayrak, E.; Erisken, C. 3D-printed poly(lactic acid) scaffolds for trabecular bone repair and regeneration: Scaffold and native bone characterization. Connect. Tissue Res. 2019, 60, 274–282. [Google Scholar] [CrossRef]
- Lumiaho, J.; Heino, A.; Tunninen, V.; Ala-Opas, M.; Talja, M.; Välimaa, T.; Törmälä, P. New bioabsorbable polylactide ureteral stent in the treatment of ureteral lesions: An experimental study. J. Endourol. 1999, 13, 107–112. [Google Scholar] [CrossRef]
- Tyler, B.; Gullotti, D.; Mangraviti, A.; Utsuki, T.; Brem, H. Polylactic acid (PLA) controlled delivery carriers for biomedical applications. Adv. Drug Deliv. Rev. 2016, 107, 163–175. [Google Scholar] [CrossRef]
- Cohen, S.; Yoshioka, T.; Lucarelli, M.; Hwang, L.H.; Langer, R. Controlled Delivery Systems for Proteins Based on Poly(Lactic/Glycolic Acid) Microspheres. Pharm. Res. 1991, 8, 713–720. [Google Scholar] [CrossRef]
- DeStefano, V.; Khan, S.; Tabada, A. Applications of PLA in modern medicine. Eng. Regen. 2020, 1, 76–87. [Google Scholar] [CrossRef]
- Wang, Y.; Ameer, G.A.; Sheppard, B.J.; Langer, R. A tough biodegradable elastomer. Nat. Biotechnol. 2002, 20, 602–606. [Google Scholar] [CrossRef]
- Loh, X.J.; Abdul Karim, A.; Owh, C. Poly(glycerol sebacate) biomaterial: Synthesis and biomedical applications. J. Mater. Chem. B 2015, 3, 7641–7652. [Google Scholar] [CrossRef] [PubMed]
- Gadomska-Gajadhur, A.; Wrzecionek, M.; Matyszczak, G.; Pietowski, P.; Wiecław, M.; Ruśkowski, P. Optimization of Poly(glycerol sebacate) Synthesis for Biomedical Purposes with the Design of Experiments. Org. Process Res. Dev. 2018, 22, 1793–1800. [Google Scholar] [CrossRef]
- Chen, Q.Z.; Bismarck, A.; Hansen, U.; Junaid, S.; Tran, M.Q.; Harding, S.E.; Ali, N.N.; Boccaccini, A.R. Characterisation of a soft elastomer poly(glycerol sebacate) designed to match the mechanical properties of myocardial tissue. Biomaterials 2008, 29, 47–57. [Google Scholar] [CrossRef] [PubMed]
- Ravichandran, R.; Venugopal, J.R.; Sundarrajan, S.; Mukherjee, S.; Sridhar, R.; Ramakrishna, S. Minimally invasive injectable short nanofibers of poly(glycerol sebacate) for cardiac tissue engineering. Nanotechnology 2012, 23, 385102. [Google Scholar] [CrossRef] [PubMed]
- Sundback, C.A.; McFadden, J.; Hart, A.; Kulig, K.M.; Wieland, A.M.; Pereira, M.J.N.; Pomerantseva, I.; Hartnick, C.J.; Masiakos, P.T. Behavior of poly(glycerol sebacate) plugs in chronic tympanic membrane perforations. J. Biomed. Mater. Res.—Part B Appl. Biomater. 2012, 100, 1943–1954. [Google Scholar] [CrossRef] [PubMed]
- Chen, Q.; Liang, S.; Thouas, G.A. Synthesis and characterisation of poly(glycerol sebacate)-co-lactic acid as surgical sealants. Soft Matter 2011, 7, 6484–6492. [Google Scholar] [CrossRef]
- Guo, X.-L.; Lu, X.-L.; Dong, D.-L.; Sun, Z.-J. Characterization and optimization of glycerol/sebacate ratio in poly(glycerol-sebacate) elastomer for cell culture application. J. Biomed. Mater. Res. Part A 2014, 102, 3903–3907. [Google Scholar] [CrossRef]
- Wang, Y.; Wu, H.; Wang, Z.; Zhang, J.; Zhu, J.; Ma, Y.; Yang, Z.; Yuan, Y. Optimized Synthesis of Biodegradable Elastomer PEGylated Poly(glycerol sebacate) and Their Biomedical Application. Polymers 2019, 11, 965. [Google Scholar] [CrossRef]
- Rai, R.; Tallawi, M.; Grigore, A.; Boccaccini, A.R. Synthesis, properties and biomedical applications of poly(glycerol sebacate) (PGS): A review. Prog. Polym. Sci. 2012, 37, 1051–1078. [Google Scholar] [CrossRef]
- Novosel, E.C.; Kleinhans, C.; Kluger, P.J. Vascularization is the key challenge in tissue engineering. Adv. Drug Deliv. Rev. 2011, 63, 300–311. [Google Scholar] [CrossRef]
- Bramfeld, H.; Sabra, G.; Centis, V.; Vermette, P. Scaffold Vascularization: A Challenge for Three-Dimensional Tissue Engineering. Curr. Med. Chem. 2010, 17, 3944–3967. [Google Scholar] [CrossRef] [PubMed]
- Yang, J.; Webb, A.R.; Ameer, G.A. Novel Citric Acid-Based Biodegradable Elastomers for Tissue Engineering. Adv. Mater. 2004, 16, 511–516. [Google Scholar] [CrossRef]
- Tran, R.T.; Yang, J.; Ameer, G.A. Citrate-Based Biomaterials and Their Applications in Regenerative Engineering. Annu. Rev. Mater. Res. 2015, 45, 277–310. [Google Scholar] [CrossRef] [PubMed]
- Yoon, S.; Gianturco, S.L.; Pavlech, L.L.; Storm, K.D.; Yuen, M.V.; Mattingly, A.N. Citric Acid Anhydrous: Summary Report Item Type Report Citric Acid Anhydrous. 2020. Available online: http://hdl.handle.net/10713/14941 (accessed on 7 June 2022).
- Yang, J.; Webb, A.R.; Pickerill, S.J.; Hageman, G.; Ameer, G.A. Synthesis and evaluation of poly(diol citrate) biodegradable elastomers. Biomaterials 2006, 27, 1889–1898. [Google Scholar] [CrossRef]
- van Lith, R.; Gregory, E.K.; Yang, J.; Kibbe, M.R.; Ameer, G.A. Engineering biodegradable polyester elastomers with antioxidant properties to attenuate oxidative stress in tissues. Biomaterials 2014, 35, 8113–8122. [Google Scholar] [CrossRef] [PubMed]
- Mehdizadeh, M.; Weng, H.; Gyawali, D.; Tang, L.; Yang, J. Injectable citrate-based mussel-inspired tissue bioadhesives with high wet strength for sutureless wound closure. Biomaterials 2012, 33, 7972–7983. [Google Scholar] [CrossRef] [PubMed]
- Kasprzyk, W.; Bednarz, S.; Bogdał, D. Luminescence phenomena of biodegradable photoluminescent poly(diol citrates). Chem. Commun. 2013, 49, 6445–6447. [Google Scholar] [CrossRef]
- Malmström, E.; Johansson, M.; Hult, A. Hyperbranched Aliphatic Polyesters. Macromolecules 1995, 28, 1698–1703. [Google Scholar] [CrossRef]
- Wrzecionek, M.; Matyszczak, G.; Bandzerewicz, A.; Ruśkowski, P.; Gadomska-Gajadhur, A. Kinetics of Polycondensation of Citric Acid with Glycerol Based on a Genetic Algorithm. Org. Process Res. Dev. 2021, 25, 271–281. [Google Scholar] [CrossRef]
- Gadomska-Gajadhur, A.; Bandzerewicz, A.; Wrzecionek, M.; Ruśkowski, P. Biobased poly(glycerol citrate) synthesis optimization via design of experiments. Polym. Adv. Technol. 2021, 32, 3982–3994. [Google Scholar] [CrossRef]
- Wrzecionek, M.; Bandzerewicz, A.; Dutkowska, E.; Dulnik, J.; Denis, P.; Gadomska-Gajadhur, A. Poly(glycerol citrate)-polylactide nonwovens toward tissue engineering applications. Polym. Adv. Technol. 2021, 32, 3955–3966. [Google Scholar] [CrossRef]
- Luckachan, G.E.; Pillai, C.K.S. Biodegradable Polymers- A Review on Recent Trends and Emerging Perspectives. J. Polym. Environ. 2011, 19, 637–676. [Google Scholar] [CrossRef]
- Weissman, S.A.; Anderson, N.G. Design of Experiments (DoE) and Process Optimization. A Review of Recent Publications. Org. Process Res. Dev. 2015, 19, 1605–1633. [Google Scholar] [CrossRef]










| Temperature [°C] | ||||
|---|---|---|---|---|
| 120 | 130 | 140 | ||
| Catalyst content [%cat] | 0 | - | - | Colorless, viscous semi-liquid |
| 0.5 | Colorless, viscous semi-liquid | Colorless, viscous semi-liquid | Colorless, sticky, hardening into resin | |
| 1 | Colorless, sticky, fiber-forming resin | |||
| 2.5 | Light yellow, viscous semi-liquid | - | ||
| 5 | Light yellow, viscous semi-liquid | |||
| No | Catalyst Content [%cat] | MnGPC [Da] | MwGPC [Da] | PDI |
|---|---|---|---|---|
| 1. | 0 | 392 | 413 | 1.05 |
| 2. | 0.5 | 613 | 665 | 1.09 |
| 3. | 1 | 478 | 562 | 1.17 |
| 4. | 5 | 570 | 699 | 1.22 |
| No | T [°C] | Catalyst Content [%cat] | ED [%] | XαNMR [%] | XβNMR [%] | |||
|---|---|---|---|---|---|---|---|---|
| Exp. | Cal. | Exp. | Cal. | Exp. | Cal. | |||
| 1. | 0 | 0 | 52 | 55 | 32 | 33 | 57 | 59 |
| 2. | 120 | 0.5 | 52 | 51 | 32 | 31 | 60 | 59 |
| 3. | 130 | 55 | 54 | 37 | 36 | 60 | 59 | |
| 4. | 140 | 60 | 58 | 50 | 42 | 64 | 62 | |
| 5. | 120 | 1 | 54 | 53 | 29 | 38 | 60 | 61 |
| 6. | 130 | 56 | 57 | 41 | 44 | 61 | 61 | |
| 7. | 140 | 64 | 61 | 57 | 50 | 64 | 64 | |
| 8. | 120 | 2.5 | 55 | 58 | 50 | 51 | 60 | 62 |
| 9. | 140 | 65 | 66 | 65 | 66 | 69 | 69 | |
| 10. | 120 | 5 | 65 | 67 | 68 | 71 | 68 | 69 |
| 11. | 130 | 58 | 56 | 53 | 47 | 55 | 54 | |
| 12. | 140 | 59 | 60 | 60 | 58 | 58 | 59 | |
| 13. | 140 | 3.6 | 65 | 67 | 68 | 71 | 68 | 69 |
| Input Variable | Lower Limit Value | (−4.00) | (−3.00) | (−1.00) | 0 | (+1.00) | (+5.00) | Upper Limit Value |
|---|---|---|---|---|---|---|---|---|
| Temperature [°C] | 100 | - | - | 120 | 130 | 140 | - | 170 |
| Catalyst content [%cat] | 0 | 0.5 | 1 | - | 2.5 | - | 5 | - |
| Coefficient | Equation | ||
|---|---|---|---|
| ED | XαNMR | Xβ NMR | |
| Residual variation | 0.0328 | 0.1056 | 0.0178 |
| Determination (R2) | 0.8690 | 0.8628 | 0.9378 |
Disclaimer/Publisher’s Note: The statements, opinions and data contained in all publications are solely those of the individual author(s) and contributor(s) and not of MDPI and/or the editor(s). MDPI and/or the editor(s) disclaim responsibility for any injury to people or property resulting from any ideas, methods, instructions or products referred to in the content. |
© 2022 by the authors. Licensee MDPI, Basel, Switzerland. This article is an open access article distributed under the terms and conditions of the Creative Commons Attribution (CC BY) license (https://creativecommons.org/licenses/by/4.0/).
Share and Cite
Howis, J.; Bandzerewicz, A.; Gadomska-Gajadhur, A. Rapid and Efficient Optimization of Poly(1,2-Ethanediol Citrate) Synthesis Based on Magic Squares’ Various Methods. Gels 2023, 9, 30. https://doi.org/10.3390/gels9010030
Howis J, Bandzerewicz A, Gadomska-Gajadhur A. Rapid and Efficient Optimization of Poly(1,2-Ethanediol Citrate) Synthesis Based on Magic Squares’ Various Methods. Gels. 2023; 9(1):30. https://doi.org/10.3390/gels9010030
Chicago/Turabian StyleHowis, Joanna, Aleksandra Bandzerewicz, and Agnieszka Gadomska-Gajadhur. 2023. "Rapid and Efficient Optimization of Poly(1,2-Ethanediol Citrate) Synthesis Based on Magic Squares’ Various Methods" Gels 9, no. 1: 30. https://doi.org/10.3390/gels9010030
APA StyleHowis, J., Bandzerewicz, A., & Gadomska-Gajadhur, A. (2023). Rapid and Efficient Optimization of Poly(1,2-Ethanediol Citrate) Synthesis Based on Magic Squares’ Various Methods. Gels, 9(1), 30. https://doi.org/10.3390/gels9010030

