Design and Evaluation of Paeonol-Loaded Liposomes in Thermoreversible Gels for Atopic Dermatitis
Abstract
1. Introduction
2. Results and Discussion
2.1. Standard Curve of Paeonol
2.2. Characterization of PAE-Loaded Liposomes
2.3. Physicochemical Characterization of Formulations
2.4. In Vitro Permeation Study
2.5. Antioxidant Capacity via Scavenging Free Radicals
2.5.1. Experiment of the Oxidation Resistance on H2O2
2.5.2. Scavenging DPPH Free Radical Effect
2.6. Pharmacodynamic Studies of Atopic Dermatitis
2.6.1. Reduce AD-like Skin Symptoms
2.6.2. PAE Content in the Skin of AD-like Mice
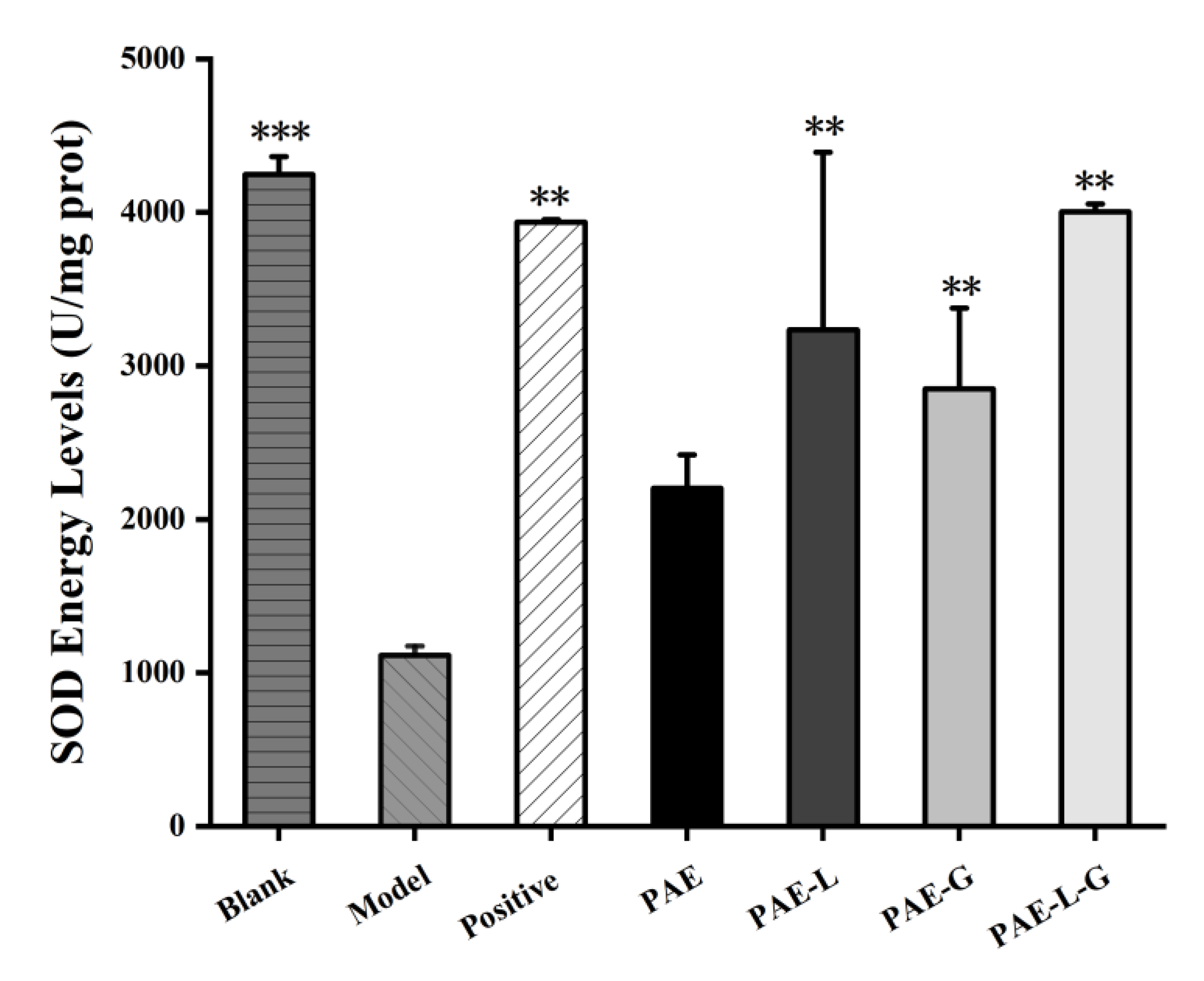
2.6.3. Inhibit the Production of MDA in Tissue Homogenate
2.6.4. Blocking the Damage of AD-like Mouse Skin
3. Conclusions
4. Materials and Methods
4.1. Materials and Reagents
4.2. Animals
4.3. Establishment of Standard Curves
4.4. Preparation of Paeonol-Loaded Liposomes (PAE-L)
4.5. Characterization of PAE-L
4.6. Preparation of Paeonol-Loaded Liposomes in Thermoreversible Gels (PAE-L-G)
4.7. Characterization of PAE-L-G
4.7.1. Visual Appearance and Clarity
4.7.2. Gelling Temperature and Gelling Time
4.7.3. Determination of Viscosity
4.7.4. pH Value
4.8. Antioxidant Ability
4.8.1. Scavenging H2O2 Assay
4.8.2. Scavenging DPPH Free Radical
4.9. In Vitro Drug Release across the Dialysis Membrane
4.10. Preliminary Antioxidant Activity in Atopic Dermatitis
4.10.1. Establishment of the Atopic Dermatitis Model
4.10.2. Evaluation of the Severity of Dermatitis and Observation of Scratching
4.10.3. Scoring of Dermatitis
4.10.4. Determination of Drug Content
4.10.5. Inhibition of the Production of Malonedione (MDA)
4.10.6. Evaluate the Antioxidant Effect of Superoxide Dismutase (SOD) in AD Mice Skin
4.11. Statistical Analysis
Author Contributions
Funding
Institutional Review Board Statement
Informed Consent Statement
Data Availability Statement
Conflicts of Interest
References
- Weidinger, S.; Novak, N. Atopic dermatitis. Lancet 2016, 387, 1109–1122. [Google Scholar] [CrossRef]
- Na, C.H.; Baghoomian, W.; Simpson, E.L. A Therapeutic Renaissance—Emerging Treatments for Atopic Dermatitis. Acta Derm. Venereol. 2020, 100, 367–379. [Google Scholar] [CrossRef]
- Sparavigna, A.; Setarol, M.; Gualandri, V. Cutaneous pH in children affected by atopic dermatitis and in healthy children: A multicenter study. Ski. Res. Technol. 1999, 5, 221–227. [Google Scholar] [CrossRef]
- Boothe, W.D.; Tarbox, J.A.; Tarbox, M.B. Atopic Dermatitis: Pathophysiology. Adv. Exp. Med. Biol. 2017, 1027, 21–37. [Google Scholar]
- Thyssen, J.P.; Rinnov, M.R.; Vestergaard, C. Disease Mechanisms in Atopic Dermatitis: A Review of Aetiological Factors. Acta Derm. Venereol. 2020, 100, 340–348. [Google Scholar] [CrossRef] [PubMed]
- Borok, J.; Matiz, C.; Goldenberg, A.; Jacob, S.E. Contact Dermatitis in Atopic Dermatitis Children-Past, Present, and Future. Clin. Rev. Allergy Immunol. 2019, 56, 86–98. [Google Scholar] [CrossRef]
- Bylund, S.; von Kobyletzki, L.B.; Svalstedt, M.; Svensson, Å. Prevalence and Incidence of Atopic Dermatitis: A Systematic Review. Acta Derm. Venereol. 2020, 100, 320–329. [Google Scholar] [CrossRef]
- Tracy, A.; Bhatti, S.; Eichenfield, L.F. Update on pediatric atopic dermatitis. Cutis 2020, 106, 143–146. [Google Scholar] [CrossRef]
- Reich, K.; Thyssen, J.P.; Blauvelt, A.; Eyerich, K.; Soong, W.; Rice, Z.P.; Hong, H.C.-H.; Katoh, N.; Valenzuela, F.; DiBonaventura, M.; et al. Efficacy and safety of abrocitinib versus dupilumab in adults with moderate-to-severe atopic dermatitis: A randomised, double-blind, multicentre phase 3 trial. Lancet 2022, 400, 273–282. [Google Scholar] [CrossRef]
- Sroka-Tomaszewska, J.; Trzeciak, M. Molecular Mechanisms of Atopic Dermatitis Pathogenesis. Int. J. Mol. Sci. 2021, 22, 4130. [Google Scholar] [CrossRef]
- Liu, F.-T.; Goodarzi, H.; Chen, H.-Y. IgE, mast cells, and eosinophils in atopic dermatitis. Clin. Rev. Allergy Immunol. 2011, 41, 298–310. [Google Scholar] [CrossRef] [PubMed]
- Corrêa, M.P.; Areias, L.L.; Correia-Silva, R.D.; D’Ávila, S.; Leopoldino, A.M.; Greco, K.V.; Gil, C.D. The Role of Galectin-9 as Mediator of Atopic Dermatitis: Effect on Keratinocytes. Cells 2021, 10, 947. [Google Scholar] [CrossRef] [PubMed]
- Barnes, L.; Kaya, G.; Rollason, V. Topical Corticosteroid-Induced Skin Atrophy: A Comprehensive Review. Drug Saf. 2015, 38, 493–509. [Google Scholar] [CrossRef] [PubMed]
- Padula, C.; Machado, I.P.; Vigato, A.A.; de Araujo, D.R. New Strategies for Improving Budesonide Skin Retention. Pharmaceutics 2021, 14, 30. [Google Scholar] [CrossRef]
- Saini, K.; Modgill, N.; Singh, K.K.; Kakkar, V. Tetrahydrocurcumin Lipid Nanoparticle Based Gel Promotes Penetration into Deeper Skin Layers and Alleviates Atopic Dermatitis in 2,4-Dinitrochlorobenzene (DNCB) Mouse Model. Nanomaterials 2022, 12, 636. [Google Scholar] [CrossRef] [PubMed]
- Chatterjee, S.; Hui, P.C.-L.; Kan, C.-W.; Wang, W. Dual-responsive (pH/temperature) Pluronic F-127 hydrogel drug delivery system for textile-based transdermal therapy. Sci. Rep. 2019, 9, 11658. [Google Scholar] [CrossRef]
- Zhang, L.; Li, D.-C.; Liu, L.-F. Paeonol: Pharmacological effects and mechanisms of action. Int. Immunopharmacol. 2019, 72, 413–421. [Google Scholar] [CrossRef]
- Hu, Y.S.; Han, X.; Yu, P.J.; Jiao, M.M.; Liu, X.H.; Shi, J.B. Novel paeonol derivatives: Design, synthesis and anti-inflammatory activity in vitro and in vivo. Bioorg. Chem. 2020, 98, 103735. [Google Scholar] [CrossRef]
- Wang, Y.; Tang, Z.; Guo, X.; Zhao, Y.; Ren, S.; Zhang, Z.; Lv, H. Hyaluronic acid-cyclodextrin encapsulating paeonol for treatment of atopic dermatitis. Int. J. Pharm. 2022, 623, 121916. [Google Scholar] [CrossRef] [PubMed]
- Tang, H.; Yang, D.; Zhu, L.; Shi, F.; Ye, G.; Guo, H.; Deng, H.; Zhao, L.; Xu, Z.; Li, Y. Paeonol Interferes With Quorum-Sensing in Pseudomonas aeruginosa and Modulates Inflammatory Responses In Vitro and In Vivo. Front. Immunol. 2022, 13, 896874. [Google Scholar] [CrossRef] [PubMed]
- Guo, S.; Zhang, Q. Paeonol protects melanocytes against hydrogen peroxide-induced oxidative stress through activation of Nrf2 signaling pathway. Drug Dev. Res. 2021, 82, 861–869. [Google Scholar] [CrossRef] [PubMed]
- Guimarães, D.; Cavaco-Paulo, A.; Nogueira, E. Design of liposomes as drug delivery system for therapeutic applications. Int. J. Pharm. 2021, 601, 120571. [Google Scholar] [CrossRef]
- Jain, S.; Kale, D.P.; Swami, R.; Katiyar, S.S. Codelivery of benzoyl peroxide & adapalene using modified liposomal gel for improved acne therapy. Nanomedicine 2018, 13, 1481–1493. [Google Scholar]
- Mitura, S.; Sionkowska, A.; Jaiswal, A. Biopolymers for hydrogels in cosmetics: Review. J. Mater. Sci. Mater. Med. 2020, 31, 50. [Google Scholar] [CrossRef] [PubMed]
- Costa, E.M.; Silva, S.; Veiga, M.; Tavaria, F.K.; Pintado, M.M. A review of chitosan’s effect on oral biofilms: Perspectives from the tube to the mouth. J. Oral Biosci. 2017, 59, 205–210. [Google Scholar] [CrossRef]
- Teng, Y.-Y.; Zou, M.-L.; Liu, S.-Y.; Jia, Y.; Zhang, K.-W.; Yuan, Z.-D.; Wu, J.-J.; Ye, J.-X.; Yu, S.; Li, X.; et al. Dual-Action Icariin-Containing Thermosensitive Hydrogel for Wound Macrophage Polarization and Hair-Follicle Neogenesis. Front. Bioeng. Biotechnol. 2022, 10, 902894. [Google Scholar] [CrossRef]
- Kim, H.S.; Kwon, H.-K.; Lee, D.H.; Le, T.N.; Park, H.-J.; Kim, M.I. Poly(gamma-Glutamic Acid)/Chitosan Hydrogel Nanoparticles For Effective Preservation And Delivery Of Fermented Herbal Extract For Enlarging Hair Bulb And Enhancing Hair Growth. Int. J. Nanomed. 2019, 14, 8409–8419. [Google Scholar] [CrossRef]
- Cavallaro, G.; Caruso, M.R.; Milioto, S.; Fakhrullin, R.; Lazzara, G. Keratin/alginate hybrid hydrogels filled with halloysite clay nanotubes for protective treatment of human hair. Int. J. Biol. Macromol. 2022, 222, 228–238. [Google Scholar] [CrossRef]
- Montero-Vilchez, T.; Cuenca-Barrales, C.; Rodriguez-Pozo, J.-A.; Diaz-Calvillo, P.; Tercedor-Sanchez, J.; Martinez-Lopez, A.; Molina-Leyva, A.; Arias-Santiago, S. Epidermal Barrier Function and Skin Homeostasis in Atopic Dermatitis: The Impact of Age. Life 2022, 12, 132. [Google Scholar] [CrossRef]
- Lee, S.G.; Kim, S.R.; Cho, H.I.; Kang, M.H.; Yeom, D.W.; Lee, S.H.; Lee, S.; Choi, Y.W. Hydrogel-Based Ultra-moisturizing Cream Formulation for Skin Hydration and Enhanced Dermal Drug Delivery. Biol. Pharm. Bull. 2014, 37, 1674–1682. [Google Scholar] [CrossRef]
- Barbosa, A.I.; Torres, T.; Lima, S.A.C.; Reis, S. Hydrogels: A Promising Vehicle for the Topical Management of Atopic Dermatitis. Adv. Ther. 2021, 4, 2100028. [Google Scholar] [CrossRef]
- Ramos Campos, E.V.; Proença, P.L.D.F.; Doretto-Silva, L.; Andrade-Oliveira, V.; Fraceto, L.F.; de Araujo, D.R. Trends in nanoformulations for atopic dermatitis treatment. Expert Opin. Drug. Deliv. 2020, 17, 1615–1630. [Google Scholar] [CrossRef]
- García-Couce, J.; Schomann, T.; Chung, C.K.; Que, I.; Jorquera-Cordero, C.; Fuentes, G.; Almirall, A.; Chan, A.; Cruz, L.J. Thermosensitive Injectable Hydrogels for Intra-Articular Delivery of Etanercept for the Treatment of Osteoarthritis. Gels 2022, 8, 488. [Google Scholar] [CrossRef] [PubMed]
- Ilić-Stojanović, S.; Nikolić, L.; Nikolić, V.; Ristić, I.; Cakić, S.; Petrović, S.D. Biomedical Applications of Thermosensitive Hydrogels for Controlled/Modulated Piroxicam Delivery. Gels 2023, 9, 70. [Google Scholar] [CrossRef] [PubMed]
- Hirun, N.; Kraisit, P.; Tantishaiyakul, V. Thermosensitive Polymer Blend Composed of Poloxamer 407, Poloxamer 188 and Polycarbophil for the Use as Mucoadhesive In Situ Gel. Polymers 2022, 14, 1836. [Google Scholar] [CrossRef]
- Abdeltawab, H.; Svirskis, D.; Hill, A.G.; Sharma, M. Increasing the Hydrophobic Component of Poloxamers and the Inclusion of Salt Extend the Release of Bupivacaine from Injectable In Situ Gels, While Common Polymer Additives Have Little Effect. Gels 2022, 8, 484. [Google Scholar] [CrossRef]
- Jaquilin, P.J.R.; Oluwafemi, O.S.; Thomas, S.; Oyedeji, A.O. Recent advances in drug delivery nanocarriers incorporated in temperature-sensitive Pluronic F-127–A critical review. J. Drug Deliv. Sci. Technol. 2022, 72, 103390. [Google Scholar] [CrossRef]
- Cui, N.; Dai, C.-Y.; Mao, X.; Lv, X.; Gu, Y.; Lee, E.-S.; Jiang, H.-B.; Sun, Y. Poloxamer-Based Scaffolds for Tissue Engineering Applications: A Review. Gels 2022, 8, 360. [Google Scholar] [CrossRef]
- Yao, H.; Lu, H.; Zou, R.; Chen, X.; Xu, H. Preparation of Encapsulated Resveratrol Liposome Thermosensitive Gel and Evaluation of Its Capability to Repair Sciatic Nerve Injury in Rats. J. Nanomater. 2020, 2020, 2840162. [Google Scholar] [CrossRef]
- Lin, Y.-C.; Gao, M.-Y.; Wu, Y.-J.; Fang, Y.-P. Lipid-enveloped PLGA as a hybrid carrier for sustained delivering camptothecin in ovarian cancer. IET Nanobiotechnol. 2017, 11, 797–802. [Google Scholar] [CrossRef]
- Zhang, Q.; Yang, X.; Wu, Y.; Liu, C.; Xia, H.; Cheng, X.; Cheng, Y.; Xia, Y.; Wang, Y. In Vitro Evaluation of Kaempferol-Loaded Hydrogel as pH-Sensitive Drug Delivery Systems. Polymers 2022, 14, 3205. [Google Scholar] [CrossRef] [PubMed]
- Ding, W.; Li, Y.; Hou, X.; Li, G. Bleomycin A6-loaded anionic liposomes with in situ gel as a new antitumoral drug delivery system. Drug Deliv. 2016, 23, 88–94. [Google Scholar] [CrossRef] [PubMed]
- Nie, S.; Hsiao, W.L.; Pan, W.; Yang, Z. Thermoreversible Pluronic F127-based hydrogel containing liposomes for the controlled delivery of paclitaxel: In vitro drug release, cell cytotoxicity, and uptake studies. Int. J. Nanomed. 2011, 6, 151–166. [Google Scholar]
- Wang, W.; Hui, P.C.L.; Wat, E.; Ng, F.S.F.; Kan, C.W.; Wang, X.; Wong, E.C.W.; Hu, H.; Chan, B.; Lau, C.B.S.; et al. In vitro drug release and percutaneous behavior of poloxamer-based hydrogel formulation containing traditional Chinese medicine. Colloids Surf. B Biointerfaces 2016, 148, 526–532. [Google Scholar] [CrossRef] [PubMed]
- Okur, N.Ü.; Hökenek, N.; Okur, M.E.; Ayla, Ş.; Yoltaş, A.; Siafaka, P.I.; Cevher, E. An alternative approach to wound healing field; new composite films from natural polymers for mupirocin dermal delivery. Saudi Pharm. J. 2019, 27, 738–752. [Google Scholar] [CrossRef] [PubMed]
- Hornstein, O.P.; Boissevain, F.; Wittmann, H. Non-invasive Measurement of the Vascular Dynamics of Dermographism. J. Dermatol. 1991, 18, 79–85. [Google Scholar] [CrossRef]
- Chaudhary, B.; Verma, S. Preparation and evaluation of novel in situ gels containing acyclovir for the treatment of oral herpes simplex virus infections. Sci. World J. 2014, 2014, 280928. [Google Scholar] [CrossRef]
- Wei, Y.; Li, C.; Zhu, Q.; Zhang, X.; Guan, J.; Mao, S. Comparison of thermosensitive in situ gels and drug-resin complex for ocular drug delivery: In vitro drug release and in vivo tissue distribution. Int. J. Pharm. 2020, 578, 119184. [Google Scholar] [CrossRef] [PubMed]
- Heuss, E. Die Reaktion des Schweisses beim gesunden Menschen. Monatschr. Prakt. Dermatol. 1892, 14, 341–343. [Google Scholar]
- Rizi, K.; Green, R.J.; Donaldson, M.X.; Williams, A.C. Using pH abnormalities in diseased skin to trigger and target topical therapy. Pharm. Res. 2011, 28, 2589–2598. [Google Scholar] [CrossRef]
- Erol, İ.; Üstündağ Okur, N.; Orak, D.; Sipahi, H.; Aydin, A.; Özer, Ö. Tazarotene-loaded in situ gels for potential management of psoriasis: Biocompatibility, anti-inflammatory and analgesic effect. Pharm. Dev. Technol. 2020, 25, 909–918. [Google Scholar] [CrossRef]
- Schmid-Wendtner, M.H.; Korting, H.C. The pH of the skin surface and its impact on the barrier function. Skin Pharmacol. Physiol. 2006, 19, 296–302. [Google Scholar] [CrossRef]
- Yang, B.; Chen, Y.; Shi, J. Reactive Oxygen Species (ROS)-Based Nanomedicine. Chem. Rev. 2019, 119, 4881–4985. [Google Scholar] [CrossRef]
- Paprikar, A.; Soni, A.; Kaushal, N.; Lin, S. Sublingual insulin administration: Application of hydroxypropyl beta-cyclodextrin and poloxamer188 as permeation enhancers. Pharm. Dev. Technol. 2021, 26, 233–242. [Google Scholar] [CrossRef]
- Li, X. Comparative Study of 1,1-Diphenyl-2-picryl-hydrazyl Radical (DPPH•) Scavenging Capacity of the Antioxidant Xanthones Family. Chem. Sel. 2018, 3, 13081–13086. [Google Scholar] [CrossRef]
- Sirivibulkovit, K.; Nouanthavong, S.; Sameenoi, Y. Paper-based DPPH Assay for Antioxidant Activity Analysis. Anal. Sci. July 2018, 34, 795–800. [Google Scholar] [CrossRef]
- Nam, J.H.; Choi, J.; Monmai, C.; Rod-In, W.; Jang, A.Y.; You, S.; Park, W.J. Immune-Enhancing Effects of Crude Polysaccharides from Korean Ginseng Berries on Spleens of Mice with CyclophosphamideInduced Immunosuppression. J. Microbiol. Biotechnol. 2022, 32, 256–262. [Google Scholar] [CrossRef]
- Liu, C.; Xia, Y.; Li, Y.; Cheng, Y.; Xia, H.; Wang, Y.; Yue, Y.; Wu, Y.; Cheng, X.; Xu, Y.; et al. Ligustrazine as an Extract from Medicinal and Edible Plant Chuanxiong Encapsulated in Liposome-Hydrogel Exerting Antioxidant Effect on Preventing Skin Photoaging. Polymers 2022, 14, 4778. [Google Scholar] [CrossRef] [PubMed]
- Nosratabadi, R.; Khajepour, F.; Zangouyee, M.R.; Khosravimashizi, A.; Afgar, A.; Abdollahi, V.; Dabiri, S. Caraway extract alleviates atopic dermatitis by regulating oxidative stress, suppressing Th2 cells, and upregulating Th1 cells in mice. Asian Pac. J. Trop. Biomed. 2022, 12, 421–429. [Google Scholar] [CrossRef]
- Pyeon, S.; Kim, O.-K.; Yoon, H.-G.; Kim, S.; Choi, K.-C.; Lee, Y.-H.; Lee, J.; Park, J.; Jun, W. Water Extract of Rubus coreanus Prevents Inflammatory Skin Diseases In Vitro Models. Plants 2021, 10, 1230. [Google Scholar] [CrossRef] [PubMed]
- Khan, A.Q.; Agha, M.V.; Sheikhan, K.S.A.M.; Younis, S.M.; Tamimi, M.A.; Alam, M.; Ahmad, A.; Uddin, S.; Buddenkotte, J.; Steinhoff, M. Targeting deregulated oxidative stress in skin inflammatory diseases: An update on clinical importance. Biomed. Pharmacother. 2022, 154, 113601. [Google Scholar] [CrossRef]
- Nguyen, C.T.; Sah, S.K.; Zouboulis, C.C.; Kim, T.-Y. Inhibitory effects of superoxide dismutase 3 on Propionibacterium acnes-induced skin inflammation. Sci. Rep. 2018, 8, 4024. [Google Scholar] [CrossRef] [PubMed]
- Adki, K.M.; Kulkarni, Y.A. Chemistry, pharmacokinetics, pharmacology and recent novel drug delivery systems of paeonol. Life Sci. 2020, 250, 117544. [Google Scholar] [CrossRef]
- Guo, Y.; Du, Y.; Xie, L.; Pu, Y.; Yuan, J.; Wang, Z.; Zhang, T.; Wang, B. Effects of Paeonol and Gastroretention Tablets of Paeonol on Experimental Gastric Ulcers and Intestinal Flora in Rats. Inflammation 2020, 43, 2178–2190. [Google Scholar] [CrossRef]
- Chen, Z.X.; Li, B.; Liu, T.; Wang, X.; Zhu, Y.; Wang, L.; Wang, X.H.; Niu, X.; Xiao, Y.; Sun, Q. Evaluation of paeonol-loaded transethosomes as transdermal delivery carriers. Eur. J. Pharm. Sci. 2017, 99, 240–245. [Google Scholar] [CrossRef]
- Wang, M.; Xia, H.; Yang, X.; Zhang, Q.; Li, Y.; Wang, Y.; Xia, Y.; Xie, Z. Berberine Hydrochloride-loaded Liposomes Gel: Preparation, Characterization and Antioxidant Activity. Indian J. Pharm. Educ. Res. 2023, 57, 74–82. [Google Scholar] [CrossRef]
- Arslan, A.; Kose Ozkan, C.; Sig, A.K.; Dogan, E.; Esim, O.; Cetinkaya, S.; Atalay, F.; Tas, C.; Savaser, A.; Ozkan, Y. Evaluation of a novel oxiconazole nitrate formulation: The thermosensitive gel. Saudi Pharm. J. 2018, 26, 665–672. [Google Scholar] [CrossRef] [PubMed]
- Xia, H.; Jin, H.; Cheng, Y.; Cheng, Z.; Xu, Y. The Controlled Release and Anti-Inflammatory Activity of a Tetramethylpyrazine-Loaded Thermosensitive Poloxamer Hydrogel. Pharm. Res. 2019, 36, 52. [Google Scholar] [CrossRef] [PubMed]
- Praveen, C.; Ujwala, D. Synthesis and Evaluation of Water Insoluble but Swellable Bioadhesive Polymer for Ocular Drug Delivery. Indian J. Pharm. Educ. Res. 2019, 53, 225–235. [Google Scholar] [CrossRef]
- Wu, Y.; Wang, M.; Li, Y.; Xia, H.; Cheng, Y.; Liu, C.; Xia, Y.; Wang, Y.; Yue, Y.; Cheng, X.; et al. The Fabrication of Docetaxel-Containing Emulsion for Drug Release Kinetics and Lipid Peroxidation. Pharmaceutics 2022, 14, 1993. [Google Scholar] [CrossRef]







| Group | Gelation Temperature (°C) | Gelation Capacity (s) | Viscosity 4 °C (MPa·S) | Viscosity 32–37 °C (MPa·S) | pH 4 °C | pH 32–37 °C | |
|---|---|---|---|---|---|---|---|
| 32 °C | G | 31.25 ± 0.78 | 44.51 ± 2.60 | 19.32 ± 1.44 | 91.99 ± 0.65 | 7.25 ± 0.03 | 7.04 ± 0.02 |
| PAE-G | 31.80 ± 0.42 | 44.79 ± 2.46 | 19.06 ± 0.55 | 92.80 ± 0.09 | 7.38 ± 0.01 | 7.16 ± 0.05 | |
| PAE-L-G | 31.70 ± 0.42 | 51.80 ± 5.05 | 30.34 ± 0.06 | 136.98 ± 0.78 | 7.33 ± 0.04 | 7.18 ± 0.03 | |
| 35 °C | G | 34.45 ± 0.49 | 58.29 ± 5.85 | 28.73 ± 0.39 | 94.44 ± 0.13 | 7.27 ± 0.02 | 7.11 ± 0.12 |
| PAE-G | 34.70 ± 0.14 | 59.61 ± 0.86 | 29.58 ± 0.02 | 94.38 ± 0.51 | 7.48 ± 0.02 | 7.23 ± 0.27 | |
| PAE-L-G | 34.60 ± 0.57 | 62.92 ± 7.67 | 36.36 ± 6.32 | 149.28 ± 0.22 | 7.47 ± 0.01 | 7.23 ± 0.01 | |
| 37 °C | G | 36.90 ± 0.14 | 73.41 ± 1.35 | 50.07 ± 0.22 | 120.94 ± 1.41 | 7.47 ± 0.05 | 7.27 ± 0.17 |
| PAE-G | 36.70 ± 0.28 | 69.66 ± 0.95 | 46.22 ± 7.13 | 123.43 ± 1.69 | 7.55 ± 0.06 | 7.34 ± 0.03 | |
| PAE-L-G | 36.70 ± 0.71 | 82.58 ± 2.34 | 56.39 ± 5.76 | 197.80 ± 7.14 | 7.52 ± 0.03 | 7.38 ± 0.14 |
| Group | Relevant Data | First-Order | WeibullCDF | Hixson–Crowell | |
|---|---|---|---|---|---|
| PAE | Equation | Q = 74.1414 [1 – exp (−0.0152t)] | Q = 10.3580 + 63.8181 [1 − e−(t/94.2344)^1.3040] | Q = 100 [1 − (1 − 2.7546t)3] | |
| R² | 0.9931 | 0.9984 | −3.9777 | ||
| PAE-L | Equation | Q = 55.2900 [1 – exp (−0.0017t)] | Q = −1.1750 + 5.2263 [1 − e−(t/881.6552)^0.9298] | Q = 100 [1 − (1 − 8.7042t)3] | |
| R² | 0.9983 | 0.9988 | 0.6961 | ||
| PAE-G | 32 °C | Equation | Q = 57.0866 [1 – exp (−0.0020t)] | Q = 0.7776 + 56.4113 [1 − e−(t/515.9190)^0.9777] | Q = 100 [1 − (1 − 1.9744t)3] |
| R² | 0.9957 | 0.9961 | −0.1147 | ||
| 35 °C | Equation | Q = 49.7029 [1 – exp (−0.0013t)] | Q = 0.0281 + 50.8791 [1 − e−(t/864.5301)^0.8868] | Q = 100 [1 − (1 − 6.6639t)3] | |
| R² | 0.9978 | 0.9995 | 0.6268 | ||
| 37 °C | Equation | Q = 48.6397 [1 – exp (−0.0014t)] | Q = −0.6052 + 48.9826 [1 − e(t/646.9570)^1.0363] | Q = 100 [1 − (1 − 5.6325t)3] | |
| R² | 0.9973 | 0.9996 | 0.6506 | ||
| PAE-L-G | 32 °C | Equation | Q = 40.6142 [1 – exp (−8.0875t)] | Q = −1.0828 + 41.8662 [1 − e(t/1209.4106)^0.9575] | Q = 100 [1 − (1 − 4.1847t)3] |
| R² | 0.9962 | 0.9971 | 0.6384 | ||
| 35 °C | Equation | Q = 43.0370 [1 – exp (−0.0016t)] | Q = 1.3481 + 39.6793 [1 − e−(t/565.3188)^2.0324] | Q = 100 [1 − (1 − 5.6873t)3] | |
| R² | 0.9574 | 0.9791 | −0.0549 | ||
| 37 °C | Equation | Q = 42.4447 [1 – exp (−0.0015t)] | Q = −1.7778 + 44.5795 [1 − e−(t/662.4938)^0.9005] | Q = 100 [1 − (1 − 5.4228t)3] | |
| R² | 0.9930 | 0.9946 | 0.0349 | ||
| Group | Weight (g) | Splenic Weight (g) | Spleen Index (%) | Swelling Degree (mg) | Swelling Inhibition Rate (%) |
|---|---|---|---|---|---|
| Blank | 28.14 ± 1.50 | 0.1077 ± 0.0187 | 0.38 ± 0.05 | 0.57 ± 0.64 b | 83.17 |
| Model | 21.31 ± 5.55 | 0.0921 ± 0.0096 | 0.46 ± 0.18 | 3.37 ± 0.70 a | - |
| Positive | 22.85 ± 1.57 | 0.0852 ± 0.0694 | 0.34 ± 0.07 | 1.25 ± 1.63 ab | 62.87 |
| PAE | 30.29 ± 2.82 | 0.1161 ± 0.0034 | 0.39 ± 0.05 | 2.50 ± 2.12 ab | 25.74 |
| PAE-L | 27.69 ± 0.97 | 0.1184 ± 0.0430 | 0.43 ± 0.17 | 2.90 ± 0.95 ab | 13.86 |
| PAE-G | 27.82 ± 2.18 | 0.1034 ± 0.0325 | 0.37 ± 0.09 | 2.47 ± 1.25 ab | 26.73 |
| PAE-L-G | 31.52 ± 1.17 | 0.1151 ± 0.0009 | 0.37 ± 0.01 | 1.23 ± 1.23 ab | 63.37 |
| Group | Drug Concentration (μg/mL) |
| PAE | 1.89 ± 0.59 |
| PAE-L | 1.11 ± 0.33 |
| PAE-G | 1.15 ± 0.36 |
| PAE-L-G | 1.50 ± 0.41 |
Disclaimer/Publisher’s Note: The statements, opinions and data contained in all publications are solely those of the individual author(s) and contributor(s) and not of MDPI and/or the editor(s). MDPI and/or the editor(s) disclaim responsibility for any injury to people or property resulting from any ideas, methods, instructions or products referred to in the content. |
© 2023 by the authors. Licensee MDPI, Basel, Switzerland. This article is an open access article distributed under the terms and conditions of the Creative Commons Attribution (CC BY) license (https://creativecommons.org/licenses/by/4.0/).
Share and Cite
Wang, Y.; Yue, Y.; Jia, R.; Liu, X.; Cheng, Z.; Cheng, Y.; Xu, Y.; Xie, Z.; Xia, H. Design and Evaluation of Paeonol-Loaded Liposomes in Thermoreversible Gels for Atopic Dermatitis. Gels 2023, 9, 198. https://doi.org/10.3390/gels9030198
Wang Y, Yue Y, Jia R, Liu X, Cheng Z, Cheng Y, Xu Y, Xie Z, Xia H. Design and Evaluation of Paeonol-Loaded Liposomes in Thermoreversible Gels for Atopic Dermatitis. Gels. 2023; 9(3):198. https://doi.org/10.3390/gels9030198
Chicago/Turabian StyleWang, Yu, Yan Yue, Ruoyang Jia, Xinyi Liu, Zhiqing Cheng, Yongfeng Cheng, Yinxiang Xu, Zili Xie, and Hongmei Xia. 2023. "Design and Evaluation of Paeonol-Loaded Liposomes in Thermoreversible Gels for Atopic Dermatitis" Gels 9, no. 3: 198. https://doi.org/10.3390/gels9030198
APA StyleWang, Y., Yue, Y., Jia, R., Liu, X., Cheng, Z., Cheng, Y., Xu, Y., Xie, Z., & Xia, H. (2023). Design and Evaluation of Paeonol-Loaded Liposomes in Thermoreversible Gels for Atopic Dermatitis. Gels, 9(3), 198. https://doi.org/10.3390/gels9030198

