Silica-Calcium-Alginate Hydrogels for the Co-Immobilization of Glucose Oxidase and Catalase to Reduce the Glucose in Grape Must
Abstract
1. Introduction
2. Results and Discussion
2.1. Optimization of the Co-Immobilization of GOX and CAT
2.2. Morphological Observations and Chemical Characterization of the Capsules
2.3. Kinetic Analysis
2.4. Effect of pH and Temperature under Oenological Conditions
2.5. Operational Stability of the Immobilized GOX and CAT
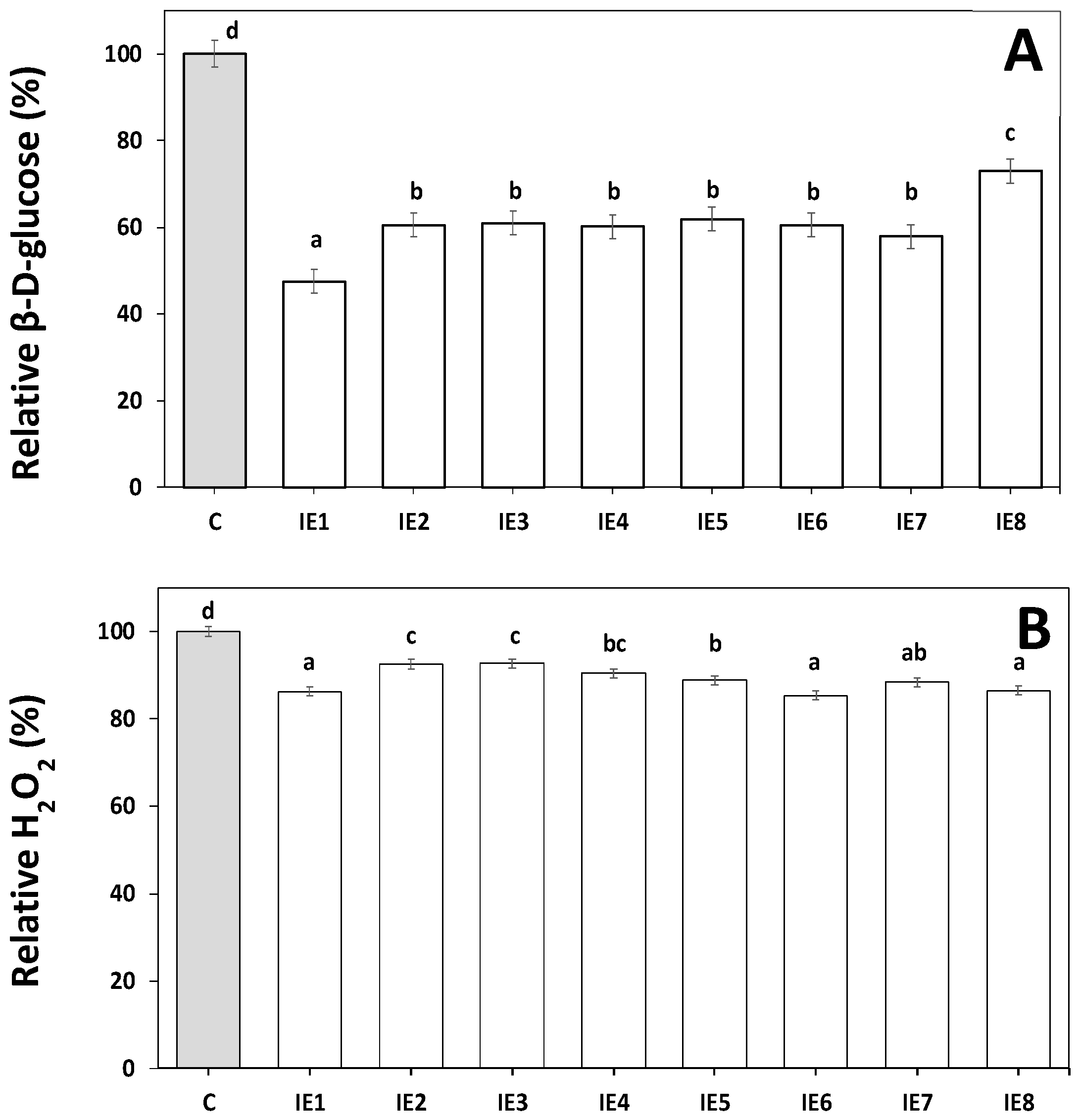
2.6. Reduction of Glucose in Must with the Co-Immobilized GOX and CAT
3. Conclusions
4. Materials and Methods
4.1. Enzymes and Chemical Reagents
4.2. Optimization of the Co-Immobilization of GOX and CAT in Mixed Silica-Calcium-Alginate Capsules
4.3. Structural and Compositional Analysis of the Capsules
4.4. Determination of the Kinetic Parameters of the Immobilized and Free GOX and CAT
4.5. Effects of pH and Temperature in the Immobilized and Free GOX and CAT
4.6. Operational Stability of the Capsules
4.7. Treatment of Must with the Co-Immobilized GOX and CAT
4.8. Statistical Analysis
Author Contributions
Funding
Institutional Review Board Statement
Informed Consent Statement
Data Availability Statement
Acknowledgments
Conflicts of Interest
References
- Tronchoni, J. What Is the Expected Impact of Climate Change on Wine Aroma Compounds and Their Precursors in Grape? OENO One 2019, 51, 141–146. [Google Scholar] [CrossRef]
- Lorenzo, M.N.; Ramos, A.M.; Brands, S. Present and Future Climate Conditions for Winegrowing in Spain. Reg. Environ. Chang. 2016, 16, 617–627. [Google Scholar] [CrossRef]
- Mira, R. Climate Change Associated Effects on Grape and Wine Quality and Production. Food Res. Int. 2010, 43, 1844–1855. [Google Scholar] [CrossRef]
- Van Leeuwen, C.; Destrac-Irvine, A.; Dubernet, M.; Duchêne, E.; Gowdy, M.; Marguerit, E.; Pieri, P.; Parker, A.; de Rességuier, L.; Ollat, N. An Update on the Impact of Climate Change in Viticulture and Potential Adaptations. Agronomy 2019, 9, 514. [Google Scholar] [CrossRef]
- Van Leeuwen, C.; Destrac-Irvine, A. Modified Grape Composition under Climate Change Conditions Requires Adaptations in the Vineyard. OENO One 2017, 51, 147–154. [Google Scholar] [CrossRef]
- Ribéreau-Gayon, P.; Darriet, P.; Towey, J. Handbook of Enology. Volume 1, The Microbiology of Wine and Vinifications, 3rd ed.; John Wiley & Sons, Inc.: Chichester, UK, 2021; ISBN 9781119584681. [Google Scholar]
- Ozturk, B.; Anli, E. Different Techniques for Reducing Alcohol Levels in Wine: A Review. BIO Web Conf. 2014, 3, 02012. [Google Scholar] [CrossRef]
- Schmidtke, L.M.; Blackman, J.W.; Agboola, S.O. Production Technologies for Reduced Alcoholic Wines. J. Food Sci. 2012, 77, R25–R41. [Google Scholar] [CrossRef]
- Longo, R.; Blackman, J.W.; Torley, P.J.; Rogiers, S.Y.; Schmidtke, L.M. Changes in Volatile Composition and Sensory Attributes of Wines during Alcohol Content Reduction. J. Sci. Food Agric. 2017, 97, 8–16. [Google Scholar] [CrossRef]
- Sam, F.E.; Ma, T.Z.; Salifu, R.; Wang, J.; Jiang, Y.M.; Zhang, B.; Han, S.Y. Techniques for Dealcoholization of Wines: Their Impact on Wine Phenolic Composition, Volatile Composition, and Sensory Characteristics. Foods 2021, 10, 2498. [Google Scholar] [CrossRef]
- Gonzalez, R.; Guindal, A.M.; Tronchoni, J.; Morales, P. Biotechnological Approaches to Lowering the Ethanol Yield during Wine Fermentation. Biomolecules 2021, 11, 1569. [Google Scholar] [CrossRef] [PubMed]
- Botezatu, A.; Elizondo, C.; Bajec, M.; Miller, R. Enzymatic Management of pH in White Wines. Molecules 2021, 26, 2730. [Google Scholar] [CrossRef] [PubMed]
- Grigoras, A.G. Catalase Immobilization-A Review. Biochem. Eng. J. 2017, 117, 1–20. [Google Scholar] [CrossRef]
- Röcker, J.; Schmitt, M.; Pasch, L.; Ebert, K.; Grossmann, M. The Use of Glucose Oxidase and Catalase for the Enzymatic Reduction of the Potential Ethanol Content in Wine. Food Chem. 2016, 210, 660–670. [Google Scholar] [CrossRef] [PubMed]
- Novozymes Information Sheet: pH/Temperature Curves Gluzyme. Inf. S2007-49703-01, 2007; Novozymes Switzerland AG.
- Bankar, S.B.; Bule, M.V.; Singhal, R.S.; Ananthanarayan, L. Glucose Oxidase—An Overview. Biotechnol. Adv. 2009, 27, 489–501. [Google Scholar] [CrossRef] [PubMed]
- Dubey, M.K.; Zehra, A.; Aamir, M.; Meena, M.; Ahirwal, L.; Singh, S.; Shukla, S.; Upadhyay, R.S.; Bueno-Mari, R.; Bajpai, V.K. Improvement Strategies, Cost Effective Production, and Potential Applications of Fungal Glucose Oxidase (GOD): Current Updates. Front. Microbiol. 2017, 8, 1032. [Google Scholar] [CrossRef] [PubMed]
- Mohamad, N.R.; Marzuki, N.H.C.; Buang, N.A.; Huyop, F.; Wahab, R.A. An Overview of Technologies for Immobilization of Enzymes and Surface Analysis Techniques for Immobilized Enzymes. Biotechnol. Biotechnol. Equip. 2015, 29, 205–220. [Google Scholar] [CrossRef]
- Richter, G.; Heinecker, H. Conversion of Glucose into Gluconic Acid by Means of Immobilized Glucose Oxidase. Starch-Stärke 1979, 31, 418–422. [Google Scholar] [CrossRef]
- Blandino, A.; Macías, M.; Cantero, D. Immobilization of Glucose Oxidase within Calcium Alginate Gel Capsules. Process Biochem. 2001, 36, 601–606. [Google Scholar] [CrossRef]
- Ozyilmaz, G.; Tukel, S.S. Simultaneous Co-Immobilization of Glucose Oxidase and Catalase in Their Substrates. Appl. Biochem. Microbiol. 2007, 43, 29–35. [Google Scholar] [CrossRef]
- Bankar, S.B.; Bule, M.V.; Singhal, R.S.; Ananthanarayan, L.A. Co-Immobilization of Glucose Oxidase-Catalase: Optimization of Immobilization Parameters to Improve the Immobilization Yield. Int. J. Food Eng. 2011, 7. [Google Scholar] [CrossRef]
- Ruiz, E.; Busto, M.D.; Ramos-Gómez, S.; Palacios, D.; Pilar-Izquierdo, M.C.; Ortega, N. Encapsulation of Glucose Oxidase in Alginate Hollow Beads to Reduce the Fermentable Sugars in Simulated Musts. Food Biosci. 2018, 24, 67–72. [Google Scholar] [CrossRef]
- Yushkova, E.D.; Nazarova, E.A.; Matyuhina, A.V.; Noskova, A.O.; Shavronskaya, D.O.; Vinogradov, V.V.; Skvortsova, N.N.; Krivoshapkina, E.F. Application of Immobilized Enzymes in Food Industry. J. Agric. Food Chem. 2019, 67, 11553–11567. [Google Scholar] [CrossRef]
- Garay-Flores, R.; Segura-Ceniceros, E.; De León-Gámez, R.; Balvantín-García, C.; Martínez-Hernández, J.; Betancourt-Galindo, R.; Paredes Ramírez, A.; Aguilar, C.; Ilyina, A. Production of Glucose Oxidase and Catalase by Aspergillus niger Free and Immobilized in Alginate-Polyvinyl Alcohol Beads. J. Gen. Appl. Microbiol. 2014, 60, 262–269. [Google Scholar] [CrossRef]
- Rodriguez-Nogales, J.M. Kinetic Behaviour and Stability of Glucose Oxidase Entrapped in Liposomes. J. Chem. Technol. Biotechnol. 2004, 79, 72–78. [Google Scholar] [CrossRef]
- Ching, S.H.; Bansal, N.; Bhandari, B. Alginate Gel Particles-a Review of Production Techniques and Physical Properties. Crit. Rev. Food Sci. Nutr. 2015, 57, 1133–1152. [Google Scholar] [CrossRef]
- Simó, G.; Fernández-Fernández, E.; Vila-Crespo, J.; Ruipérez, V.; Rodríguez-Nogales, J.M. Research Progress in Coating Techniques of Alginate Gel Polymer for Cell Encapsulation. Carbohydr. Polym. 2017, 170, 1–14. [Google Scholar] [CrossRef]
- Coradin, T.; Livage, J. Synthesis and Characterization of Alginate/Silica Biocomposites. J. Sol-Gel Sci. Technol. 2003, 26, 1165–1168. [Google Scholar] [CrossRef]
- Bhatia, R.B.; Brinker, C.J.; Gupta, A.K.; Singh, A.K. Aqueous Sol-Gel Process for Protein Encapsulation. Chem. Mater. 2000, 12, 2434–2441. [Google Scholar] [CrossRef]
- Sperling, L.H. Interpenetrating Polymer Networks. In Encyclopedia of Polymer Science and Technology; John Wiley & Sons, Inc.: Hoboken, NJ, USA, 2004; ISBN 9780471440260. [Google Scholar]
- Simó, G.; Fernández-Fernández, E.; Vila-Crespo, J.; Ruipérez, V.; Rodríguez-Nogales, J.M. Silica–Alginate-Encapsulated Bacteria to Enhance Malolactic Fermentation Performance in a Stressful Environment. Aust. J. Grape Wine Res. 2017, 23, 342–349. [Google Scholar] [CrossRef]
- Simó, G.; Fernández-Fernández, E.; Vila-Crespo, J.; Ruipérez, V.; Rodríguez-Nogales, J.M. Effect of Stressful Malolactic Fermentation Conditions on the Operational and Chemical Stability of Silica-Alginate Encapsulated Oenococcus Oeni. Food Chem. 2019, 276, 643–651. [Google Scholar] [CrossRef] [PubMed]
- Coradin, T.; Mercey, E.; Lisnard, L.; Livage, J. Design of Silica-Coated Microcapsules for Bioencapsulation. Chem. Commun. 2001, 2496–2497. [Google Scholar] [CrossRef]
- Simó, G.; Vila-Crespo, J.; Fernández-Fernández, E.; Ruipérez, V.; Rodríguez-Nogales, J.M. Highly Efficient Malolactic Fermentation of Red Wine Using Encapsulated Bacteria in a Robust Biocomposite of Silica-Alginate. J. Agric. Food Chem. 2017, 65, 5188–5197. [Google Scholar] [CrossRef] [PubMed]
- Liese, A.; Hilterhaus, L. Evaluation of Immobilized Enzymes for Industrial Applications. Chem. Soc. Rev. 2013, 42, 6236. [Google Scholar] [CrossRef] [PubMed]
- Gámiz-Gracia, L.; Cuadros-Rodríguez, L.; Almansa-López, E.; Soto-Chinchilla, J.J.; García-Campaña, A.M. Use of Highly Efficient Draper–Lin Small Composite Designs in the Formal Optimisation of Both Operational and Chemical Crucial Variables Affecting a FIA-Chemiluminescence Detection System. Talanta 2003, 60, 523–534. [Google Scholar] [CrossRef] [PubMed]
- Betancor, L.; Luckarift, H.R. Bioinspired Enzyme Encapsulation for Biocatalysis. Trends Biotechnol. 2008, 26, 566–572. [Google Scholar] [CrossRef]
- Lee, C.-H.; Lin, T.-S.; Mou, C.-Y. Mesoporous Materials for Encapsulating Enzymes. Nano Today 2009, 4, 165–179. [Google Scholar] [CrossRef]
- Feng, Y.; Xu, Y.; Liu, S.; Wu, D.; Su, Z.; Chen, G.; Liu, J.; Li, G. Recent Advances in Enzyme Immobilization Based on Novel Porous Framework Materials and Its Applications in Biosensing. Coord. Chem. Rev. 2022, 459, 214414. [Google Scholar] [CrossRef]
- Voo, W.-P.; Ravindra, P.; Tey, B.-T.; Chan, E.-S. Comparison of Alginate and Pectin Based Beads for Production of Poultry Probiotic Cells. J. Biosci. Bioeng. 2011, 111, 294–299. [Google Scholar] [CrossRef]
- Singh, V.; Srivastava, P.; Singh, A.; Singh, D.; Malviya, T. Polysaccharide-Silica Hybrids: Design and Applications. Polym. Rev. 2016, 56, 113–136. [Google Scholar] [CrossRef]
- Shen, X.; Yang, M.; Cui, C.; Cao, H. In Situ Immobilization of Glucose Oxidase and Catalase in a Hybrid Interpenetrating Polymer Network by 3D Bioprinting and Its Application. Colloids Surfaces A Physicochem. Eng. Asp. 2019, 568, 411–418. [Google Scholar] [CrossRef]
- Jung, Y.K.; Narendra Kumar, A.V.; Jeon, B.H.; Kim, E.Y.; Yum, T.; Paeng, K.J. Exploration of Zero-Calent Iron Stabilized Calcium–Silicate–Alginate Beads’ Catalytica Activity and Stability for Perchlorate Degradation. Materials 2022, 15, 3340. [Google Scholar] [CrossRef]
- Keeling-Tucker, T.; Brennan, J.D. Fluorescent Probes as Reporters on the Local Structure and Dynamics in Sol−gel-Derived Nanocomposite Materials. Chem. Mater. 2001, 13, 3331–3350. [Google Scholar] [CrossRef]
- Blandino, A.; Macías, M.; Cantero, D. Glucose Oxidase Release from Calcium Alginate Gel Capsules. Enzyme Microb. Technol. 2000, 27, 319–324. [Google Scholar] [CrossRef] [PubMed]
- Godfrey, T.; Reichelt, J. Comparison of Key Characteristics of Industrial Enzymes by Type and Source. In Industrial Enzymology; Godfrey, T., West, S., Eds.; Stockton Press: New York, NY, USA, 1996; pp. 437–479. [Google Scholar]
- Bower, C.K.; Sananikone, S.; Bothwell, M.K.; McGuire, J. Activity Losses among T4 Lysozyme Charge Variants after Adsorption to Colloidal Silica. Biotechnol. Bioeng. 1999, 64, 373–376. [Google Scholar] [CrossRef]
- Macario, A.; Moliner, M.; Corma, A.; Giordano, G. Increasing Stability and Productivity of Lipase Enzyme by Encapsulation in a Porous Organic–Inorganic System. Microporous Mesoporous Mater. 2009, 118, 334–340. [Google Scholar] [CrossRef]
- Zhao, X.S.; Bao, X.Y.; Guo, W.; Lee, F.Y. Immobilizing Catalysts on Porous Materials. Mater. Today 2006, 9, 32–39. [Google Scholar] [CrossRef]
- Sun, C.-C.; Dong, W.-R.; Shao, T.; Li, J.-Y.; Zhao, J.; Nie, L.; Xiang, L.-X.; Zhu, G.; Shao, J.-Z. Peroxiredoxin 1 (Prx1) Is a Dual-Function Enzyme by Possessing Cys-Independent Catalase-like Activity. Biochem. J. 2017, 474, 1373–1394. [Google Scholar] [CrossRef] [PubMed]
- Nezamdoost-Sani, N.; Khaledabad, M.A.; Amiri, S.; Mousavi Khaneghah, A. Alginate and Derivatives Hydrogels in Encapsulation of Probiotic Bacteria: An Updated Review. Food Biosci. 2023, 52, 102433. [Google Scholar] [CrossRef]
- Guo, Y.; Liu, J.; Zhang, K.; Zhang, H.; Li, Y.; Lei, Z. Synthesis of Stimuli-Responsive Support Material for Pectinase Immobilization and Investigation of Its Controllable Tailoring of Enzymatic Activity. Biochem. Eng. J. 2017, 121, 188–195. [Google Scholar] [CrossRef]
- Ateş, S.; İçli, N. Properties of Immobilized Glucose Oxidase and Enhancement of Enzyme Activity. Artif. Cells Nanomed. Biotechnol. 2013, 41, 264–268. [Google Scholar] [CrossRef]
- Xing, W.; Yin, M.; Lv, Q.; Hu, Y.; Liu, C.; Zhang, J. Oxygen Solubility, Diffusion Coefficient, and Solution Viscosity. In Rotating Electrode Methods and Oxygen Reduction Electrocatalysts; Xing, W., Yin, G., Zhang, J., Eds.; Elsevier: Amsterdam, The Netherlands, 2014; pp. 1–31. ISBN 978-0-444-63278-4. [Google Scholar]
- Vikartovska, A.; Bucko, M.; Mislovicova, D.; Paetoprsty, V.; Lacik, I.; Gemeiner, P. Improvement of the Stability of Glucose Oxidase via Encapsulation in Sodium Alginate-Cellulose Sulfate-Poly(Methylene-Co-Guanidine) Capsules. Enzyme Microb. Technol. 2007, 41, 748–755. [Google Scholar] [CrossRef]
- Eş, I.; Vieira, J.D.G.; Amaral, A.C. Principles, Techniques, and Applications of Biocatalyst Immobilization for Industrial Application. Appl. Microbiol. Biotechnol. 2015, 99, 2065–2082. [Google Scholar] [CrossRef] [PubMed]
- Onbas, R.; Yesil-Celiktas, O. Synthesis of Alginate-Silica Hybrid Hydrogel for Biocatalytic Conversion by β-Glucosidase in Microreactor. Eng. Life Sci. 2019, 19, 37–46. [Google Scholar] [CrossRef]
- Czyzewska, K.; Trusek, A. Critical Parameters in an Enzymatic Way to Obtain the Unsweet Lactose-Free Milk Using Catalase and Glucose Oxidase Co-Encapsulated into Hydrogel with Chemical Cross-Linking. Foods 2023, 12, 113. [Google Scholar] [CrossRef]
- OIV Resolution OIV-OENO 394B-2012. Correction of the Alcohol Content in Wines; International Organization of Vine and Wine: Dijon, France, 2012. [Google Scholar]
- Coradin, T.; Nassif, N.; Livage, J. Silica-Alginate Composites for Microencapsulation. Appl. Microbiol. Biotechnol. 2003, 61, 429–434. [Google Scholar] [CrossRef] [PubMed]
- Trivedi, U.J.; Bassi, A.S.; Zhu, J.J. Investigation of Phenol Removal Using Sol-Gel/Alginate Immobilized Soybean Seed Hull Peroxidase. Can. J. Chem. Eng. 2006, 84, 239–247. [Google Scholar] [CrossRef]
- Beers, R.F.; Sizer, I.W. A Spectrophotometric Method for Measuring the Breakdown of Hydrogen Peroxide by Catalase. J. Biol. Chem. 1952, 195, 133–140. [Google Scholar] [CrossRef] [PubMed]
- Montgomery, D.C. Diseño y Análisis de Experimentos; Editorial Limusa S.A. De C.V.: Mexico City, Mexico, 2004; ISBN 968-18-6156-6. [Google Scholar]
- Lineweaver, H.; Burk, D. The Determination of Enzyme Dissociation Constants. J. Am. Chem. Soc. 1934, 56, 658–666. [Google Scholar] [CrossRef]






| Factors | Responses 1 | |||||
|---|---|---|---|---|---|---|
| Assay | Sodium Silicate (%) | Colloidal Silica (%) | Immobilization pH | Sodium Alginate (%) | GC/Cap (g/g) | HP/Cap (g/g) |
| 1 | 0.6 | 7.5 | 8.01 | 1.5 | 1.74 ± 0.15 | 0.15 ± 0.00 |
| 2 | 0.6 | 7.5 | 4.99 | 1.5 | 1.95 ± 0.21 | 0.16 ± 0.01 |
| 3 | 0.3 | 3.1 | 7.40 | 1.2 | 1.98 ± 0.17 | 0.17 ± 0.00 |
| 4 | 0.6 | 15.1 | 6.50 | 1.5 | 2.19 ± 0.19 | 0.14 ± 0.01 |
| 5 | 1.0 | 3.1 | 5.60 | 1.9 | 1.89 ± 0.27 | 0.17 ± 0.00 |
| 6 | 0.6 | 7.5 | 6.50 | 2.1 | 1.56 ± 0.19 | 0.15 ± 0.00 |
| 7 | 0.6 | 0.0 | 6.50 | 1.5 | 2.11 ± 0.21 | 0.18 ± 0.00 |
| 8 | 0.0 | 7.5 | 6.50 | 1.5 | 2.38 ± 0.21 | 0.17 ± 0.00 |
| 9 | 1.0 | 3.1 | 7.40 | 1.9 | 1.38 ± 0.26 | 0.18 ± 0.01 |
| 10 | 0.3 | 12.0 | 7.40 | 1.9 | 1.54 ± 0.31 | 0.13 ± 0.01 |
| 11 | 1.0 | 12.0 | 5.60 | 1.2 | 1.33 ± 0.24 | 0.11 ± 0.01 |
| 12 | 0.3 | 3.1 | 5.60 | 1.2 | 1.97 ± 0.33 | 0.20 ± 0.01 |
| 13 | 0.6 | 7.5 | 6.50 | 1.0 | 1.38 ± 0.22 | 0.17 ± 0.01 |
| 14 | 1.3 | 7.5 | 6.50 | 1.5 | 1.36 ± 0.21 | 0.16 ± 0.01 |
| 15 | 0.3 | 12.0 | 5.60 | 1.9 | 0.55 ± 0.25 | 0.13 ± 0.01 |
| 16 | 1.0 | 12.0 | 7.40 | 1.2 | 1.29 ± 0.21 | 0.14 ± 0.01 |
| 17 | 0.6 | 7.5 | 6.50 | 1.5 | 3.66 ± 0.35 | 0.18 ± 0.00 |
| 18 | 0.6 | 7.5 | 6.50 | 1.5 | 3.07 ± 0.26 | 0.17 ± 0.00 |
| 19 | 0.6 | 7.5 | 6.50 | 1.5 | 3.23 ± 0.29 | 0.18 ± 0.00 |
| 20 | 0.6 | 7.5 | 6.50 | 1.5 | 3.08 ± 0.26 | 0.18 ± 0.00 |
| 21 | 0.6 | 7.5 | 6.50 | 1.5 | 3.31 ± 0.15 | 0.15 ± 0.09 |
| 22 | 0.6 | 7.5 | 6.50 | 1.5 | 3.78 ± 0.16 | 0.16 ± 0.10 |
| 23 | 0.6 | 7.5 | 6.50 | 1.5 | 3.53 ± 0.16 | 0.15 ± 0.10 |
| Relative GOX Activity (%) | Relative CAT Activity (%) | ||||
|---|---|---|---|---|---|
| Free GOX | Immobilized GOX | Free CAT | Immobilized CAT | ||
| pH | 3.0 | 69.47 ± 3.28 a | 71.72 ± 7.87 a | 86.23 ± 0.88 a | 38.41 ± 9.22 a |
| 3.2 | 69.79 ± 3.41 a | 89.28 ± 8.16 b | 87.38 ± 0.89 ab | 56.81 ± 9.40 ab | |
| 3.4 | 72.14 ± 3.42 a | 98.67 ± 8.21 b | 87.06 ± 0.90 a | 60.71 ± 9.60 b | |
| 3.6 | 87.88 ± 3.52 b | 100.00 ± 8.40 b | 87.37 ± 0.93 ab | 73.19 ± 10.04 bc | |
| 3.8 | 92.82 ± 3.58 bc | 92.65 ± 8.59 b | 89.08 ± 0.97 b | 86.06 ± 10.52 c | |
| 4.0 | 100.00 ± 3.66 c | 71.11 ± 8.63 a | 100.00 ± 1.02 c | 100.00 ± 11.21 cd | |
| T (°C) | 10 | 88.28 ± 2.31 a | 100.00 ± 4.77 a | 91.86 ± 1.12 b | 72.24 ± 5.20 a |
| 15 | 87.95 ± 2.41 a | 83.29 ± 4.82 b | 100.00 ± 1.14 a | 81.39 ± 5.24 ab | |
| 20 | 99.07 ± 2.29 b | 78.95 ± 4.66 b | 88.77 ± 1.16 c | 100.00 ± 5.35 bc | |
| 25 | 100.00 ± 2.42 b | 49.86 ± 4.90 c | 97.94 ± 1.16 b | 90.69 ± 5.38 b | |
Disclaimer/Publisher’s Note: The statements, opinions and data contained in all publications are solely those of the individual author(s) and contributor(s) and not of MDPI and/or the editor(s). MDPI and/or the editor(s) disclaim responsibility for any injury to people or property resulting from any ideas, methods, instructions or products referred to in the content. |
© 2023 by the authors. Licensee MDPI, Basel, Switzerland. This article is an open access article distributed under the terms and conditions of the Creative Commons Attribution (CC BY) license (https://creativecommons.org/licenses/by/4.0/).
Share and Cite
del-Bosque, D.; Vila-Crespo, J.; Ruipérez, V.; Fernández-Fernández, E.; Rodríguez-Nogales, J.M. Silica-Calcium-Alginate Hydrogels for the Co-Immobilization of Glucose Oxidase and Catalase to Reduce the Glucose in Grape Must. Gels 2023, 9, 320. https://doi.org/10.3390/gels9040320
del-Bosque D, Vila-Crespo J, Ruipérez V, Fernández-Fernández E, Rodríguez-Nogales JM. Silica-Calcium-Alginate Hydrogels for the Co-Immobilization of Glucose Oxidase and Catalase to Reduce the Glucose in Grape Must. Gels. 2023; 9(4):320. https://doi.org/10.3390/gels9040320
Chicago/Turabian Styledel-Bosque, David, Josefina Vila-Crespo, Violeta Ruipérez, Encarnación Fernández-Fernández, and José Manuel Rodríguez-Nogales. 2023. "Silica-Calcium-Alginate Hydrogels for the Co-Immobilization of Glucose Oxidase and Catalase to Reduce the Glucose in Grape Must" Gels 9, no. 4: 320. https://doi.org/10.3390/gels9040320
APA Styledel-Bosque, D., Vila-Crespo, J., Ruipérez, V., Fernández-Fernández, E., & Rodríguez-Nogales, J. M. (2023). Silica-Calcium-Alginate Hydrogels for the Co-Immobilization of Glucose Oxidase and Catalase to Reduce the Glucose in Grape Must. Gels, 9(4), 320. https://doi.org/10.3390/gels9040320

