Determination of Physicochemical, Textural, and Sensory Properties of Date-Based Sports Energy Gel
Abstract
1. Introduction
2. Results and Discussion
2.1. Physical Properties of Safawi, Sukkary, and Medjool Dates
2.2. Mechanical Properties of Different Date Cultivars
2.3. Physicochemical Properties of Date-Based Sports Energy Gel
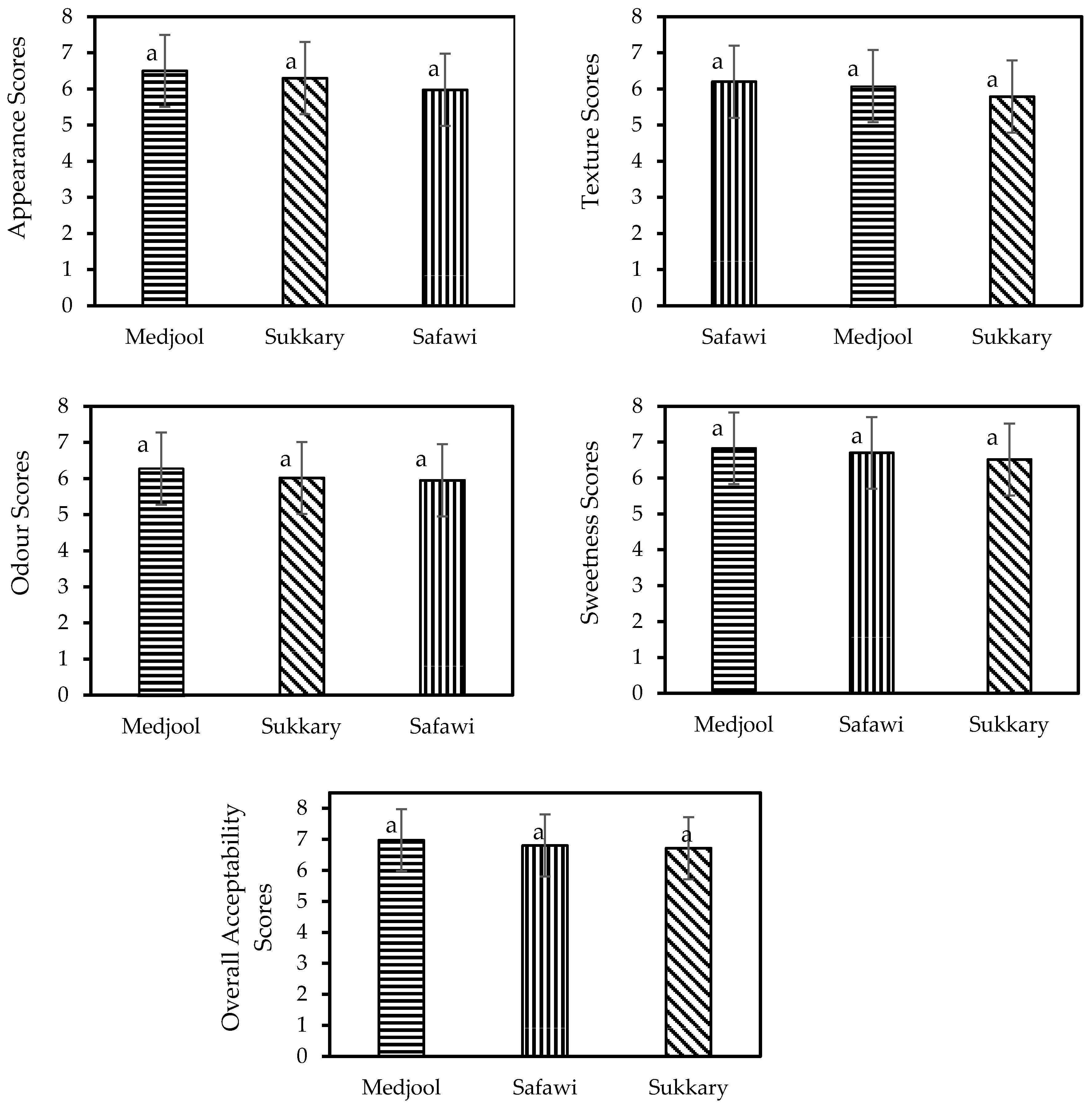
2.4. Sensory Properties of the Date-Based Sports Energy Gel
3. Conclusions
4. Materials and Methods
4.1. Materials
4.2. Physical Properties of Dates
4.3. Texture Profile Analysis (TPA) of Dates
4.4. Preparation of Sports Energy Gels
4.5. Properties of the Developed Product
4.5.1. Proximate Analysis, pH, and Colour Analysis
4.5.2. Texture Profile Analysis (TPA)
4.5.3. Viscosity
4.6. Sensory Analysis
4.7. Statistical Analysis
Author Contributions
Funding
Institutional Review Board Statement
Informed Consent Statement
Data Availability Statement
Acknowledgments
Conflicts of Interest
References
- FAO. Data Base; Food and Agriculture Organization of the United Nations: Rome, Italy, 2020. [Google Scholar]
- Al-Redhaiman, K.N. Date palm cultivation in Saudi Arabia: Current status and future prospects for development. In Proceedings of the ASHS Annual Conference, Salon, Orlando, FL, USA, 27 July–1 August 2014. [Google Scholar]
- Maqsood, S.; Adiamo, O.; Ahmad, M.; Mudgil, P. Bioactive compounds from date fruit and seed as potential nutraceutical and functional food ingredients. Food Chem. 2019, 308, 125522. [Google Scholar] [CrossRef] [PubMed]
- Al-Farsi, M.A.; Lee, C.Y. Nutritional and Functional Properties of Dates: A Review. Crit. Rev. Food Sci. Nutr. 2008, 48, 877–887. [Google Scholar] [CrossRef] [PubMed]
- Al-Shahib, W.; Marshall, R.J. The fruit of date palm: Its possible use as the best food for future? Int. Food Sci. Nutr. 2003, 54, 247–259. [Google Scholar] [CrossRef] [PubMed]
- Yimer, E.M.; Tuem, K.B.; Karim, A.; Ur-Rehman, N.; Anwar, F. Nigella sativa L. (Black Cumin): A Promising Natural Remedy for Wide Range of Illnesses. Evid.-Based Complement. Altern. Med. 2019, 2019, 1528635. [Google Scholar] [CrossRef] [PubMed]
- Huchchannanavar, S.; Yogesh, L.N.; Prashant, S.M. The black seed Nigella sativa: A wonder seed. Int. J. Chem. Stud. 2019, 7, 1320–1324. [Google Scholar]
- Lu, W.; Nishinari, K.; Matsukawa, S.; Fang, Y. The future trends of food hydrocolloids. Food Hydrocoll. 2020, 103, 105713. [Google Scholar] [CrossRef]
- Manzoor, M.; Singh, J.; Bandral, J.D.; Gani, A.; Shams, R. Food hydrocolloids: Functional, nutraceutical and novel applications for delivery of bioactive compounds. Int. J. Biol. Macromol. 2020, 165, 554–567. [Google Scholar] [CrossRef]
- Alves, J.P.; Macalossi, A.L.; Navarro, F.; Nunes, R.B. Physical performance and glycemic responses in 12-minutes swimming test: Effects of carbohydrate gel supplementation. Braz. J. Phys. Ther. 2012, 11, 26–29. [Google Scholar]
- Habib, H.M.; Ibrahim, W.H. Nutritional quality of 18 date fruit varieties. Int. J. Food Sci. Nutr. 2011, 62, 544–551. [Google Scholar] [CrossRef]
- Sarraf, M.; Jemni, M.; Kahramanoğlu, I.; Artés, F.; Shahkoomahally, S.; Namsi, A.; Ihtisham, M.; Brestic, M.; Mohammadi, M.; Rastogi, A. Commercial techniques for preserving date palm (Phoenix dactylifera) fruit quality and safety: A review. Saudi J. Biol. Sci. 2021, 28, 4408–4420. [Google Scholar] [CrossRef]
- Abdul-Hamid, N.A.; Mustaffer, N.H.; Maulidiani, M.; Mediani, A.; Ismail, I.S.; Tham, C.L.; Shadid, K.; Abas, F. Quality evaluation of the physical properties, phytochemicals, biological activities and proximate analysis of nine Saudi date palm fruit varieties. J. Saudi Soc. Agric. Sci. 2020, 19, 151–160. [Google Scholar] [CrossRef]
- Desai, N.; Modi, V.; Saxena, G.; Chaudhari, R.H.; Jaipal, M.K.; Gohil, K.; Gora, A. Physical Properties of Dates Fruits. Int. J. Curr. Microbiol. Appl. Sci. 2019, 8, 1243–1249. [Google Scholar] [CrossRef]
- Siddiqi, S.A.; Rahman, S.; Khan, M.M.; Rafiq, S.; Inayat, A.; Khurram, M.S.; Seerangurayar, T.; Jamil, F. Potential of dates (Phoenix dactylifera L.) as natural antioxidant source and functional food for healthy diet. Sci. Total. Environ. 2020, 748, 141234. [Google Scholar] [CrossRef] [PubMed]
- Al-Awwadh, A.M.; Hassan, B.H.; Ahmed, K.M. Hot air-drying characteristics of Sukkari Date (Phoenix dactylifera L.). An effect of drying condition on fruit color and texture. Int. J. Food Eng. 2015, 11, 421–434. [Google Scholar] [CrossRef]
- Selim, M.; Nagy, K.; Hamed, M. Influence of Packaging and Cold Storage Conditions on the Physio-chemical Properties of Barhi Date Fruits. Assiut. J. Agric. Sci. 2020, 51, 79–91. [Google Scholar]
- Aljaloud, S.; Colleran, H.L.; Ibrahim, S.A. Nutritional Value of Date Fruits and Potential Use in Nutritional Bars for Athletes. Food Nutr. Sci. 2020, 11, 463–480. [Google Scholar] [CrossRef]
- Lestari, Y.N.; Farida, E.; Amin, N.; Afridah, W.; Fitriyah, F.K.; Sunanto, S. Chia Seeds (Salvia hispanica L.): Can They Be Used as Ingredients in Making Sports Energy Gel? Gels 2021, 7, 267. [Google Scholar] [CrossRef]
- Rao, M. Rheology of liquid foods—A review. J. Texture Stud. 1977, 8, 135–168. [Google Scholar] [CrossRef]
- Ben Tobin, A.; Mihnea, M.; Hildenbrand, M.; Miljkovic, A.; Bañuelos, G.G.; Xanthakis, E.; Lopez-Sanchez, P. Bolus rheology and ease of swallowing of particulated semi-solid foods as evaluated by an elderly panel. Food Funct. 2020, 11, 8648–8658. [Google Scholar] [CrossRef]
- Alhamdan, A.; Abdelkarim, D.; Atia, A. Textural properties of date pastes as influenced by date cultivars. Int. J. Res. Appl. Nat. Soc. Sci. 2016, 4, 99–106. [Google Scholar]
- Alqahtani, N.K.; Alnemr, T.M.; Ahmed, A.R.; Ali, S. Effect of Inclusion of Date Press Cake on Texture, Color, Sensory, Microstructure, and Functional Properties of Date Jam. Processes 2022, 10, 2442. [Google Scholar] [CrossRef]
- AOAC. Official Methods of Analysis, 18th ed.; Association of Official Analytical Chemists (AOAC): Washington, DC, USA, 2005. [Google Scholar]
- Kabas, O.; Ozmerzi, A.; Akinci, I. Physical properties of cactus pear (Opuntia ficus india L.) grown wild in Turkey. J. Food Eng. 2006, 73, 198–202. [Google Scholar] [CrossRef]
- Golmohammadi, A.; Afkari-Sayyah, A.H. Long-Term Storage Effects on the Physical Properties of the Potato. Int. J. Food Prop. 2012, 16, 104–113. [Google Scholar] [CrossRef]
- Mohsenin, N.N. Physical Properties of Plant and Animal Materials; Routledge: Abingdon-on-Thames, UK, 1986. [Google Scholar]
- Hazbavi, E.; Khoshtaghaza, M.H.; Mostaan, A.; Banakar, A. Effect of storage duration on some physical properties of date palm (cv. Stamaran). J. Saudi Soc. Agric. Sci. 2015, 14, 140–146. [Google Scholar] [CrossRef]
- Akelom, K.M.; Bisetegn, T.Y.; Bereka, T.Y. Development and optimization of cactus pear fruit jelly supplemented with Moringa oleifera leaf extract. Heliyon 2022, 8, e09587. [Google Scholar] [CrossRef]
- Da Silva Costa, R.A.; Bonomo, R.C.F.; Rodrigues, L.B.; Santos, L.S.; Veloso, C.M. Improvement of texture properties and syneresis of arrowroot (Maranta arundinacea) starch gels by using hydrocolloids (guar gum and xanthan gum). J. Sci. Food Agric. 2020, 100, 3204–3211. [Google Scholar] [CrossRef]
- Xi, Z.; Liu, W.; McClements, D.J.; Zou, L. Rheological, structural, and microstructural properties of ethanol induced cold-set whey protein emulsion gels: Effect of oil content. Food Chem. 2019, 291, 22–29. [Google Scholar] [CrossRef]
- Sangha, O.; Stucki, G.; Liang, M.H.; Fossel, A.H.; Katz, J.N. The self-administered comorbidity questionnaire: A new method to assess comorbidity for clinical and health services research. Arthritis Rheum. 2003, 49, 156–163. [Google Scholar] [CrossRef]


| Variables | Safawi | Sukkary | Medjool |
|---|---|---|---|
| Moisture content (%) | 23.8 c ± 0.2 | 28.8 a ± 0.6 | 25.2 b ± 0.4 |
| Total soluble solids (ºBrix) | 36.3 b ± 0.1 | 35.1 c ± 0.1 | 37.9 a ± 0.1 |
| Length (mm) | 38.3 b ± 2.2 | 33.5 c ± 1.5 | 43.0 a ± 3.4 |
| Width (mm) | 21.1 b ± 0.9 | 25.9 a ± 1.8 | 26 a ± 2.6 |
| Thickness (mm) | 17.9 b ± 1.8 | 23.3 a ± 2.7 | 22.3 a ± 2 |
| Geometric mean diameter (mm) | 24.4 a ± 1.1 | 27.2 a ± 1.4 | 29.2 a ± 1.8 |
| Fruit weight (g) | 8.8 c ± 1.7 | 12.2 b ± 1.5 | 17 a ± 1.7 |
| Flesh weight (g) | 7.9 c ± 1.6 | 10.9 b ± 1.3 | 15.8 a ± 1.7 |
| Pit weight (g) | 0.9 b ± 0.1 | 1.2 a ± 0.3 | 1.2 a ± 0.1 |
| Bulk density (g/cm3) | 0.388 b ± 0.021 | 0.380 b ± 0.001 | 0.454 a ± 0.02 |
| Sphericity | 0.64 a ± 0.03 | 0.81 a ± 0.05 | 0.68 a ± 0.05 |
| Properties | Sukkary | Medjool | Safawi |
|---|---|---|---|
| Hardness (g) | 483.3 c ± 93.4 | 804.2 b ± 84.4 | 1064.7 a ± 68.3 |
| Adhesiveness (g.s) | −0.596 a ± 0.24 | −4.258 b ± 0.65 | −2.497 c ± 0.143 |
| Springiness | 0.850 a ± 0.06 | 0.843 a ± 0.05 | 0.900 a ± 0.003 |
| Cohesiveness | 0.724 a ± 0.055 | 0.700 a ± 0.016 | 0.689 a ± 0.027 |
| Gumminess | 346.4 c ± 41.6 | 569.6 b ± 56.7 | 747.8 a ± 64.5 |
| Chewiness | 357.6 b ± 118.7 | 497.3 ab ± 52.2 | 674.5 a ± 58.2 |
| Resilience | 0.218 a ± 0.034 | 0.198 a ± 0.011 | 0.212 a ± 0.015 |
| Composition | Sukkary | Medjool | Safawi |
|---|---|---|---|
| Total Ash (g/100 g) | 0.40 c ± 0.00 | 0.6 a ± 0.00 | 0.45 b ± 0.06 |
| Moisture (g/100 g) | 58.33 a ± 0.42 | 55.75 b ± 0.59 | 55.85 b ± 0.65 |
| Protein (g/100 g) | 0.77 a ± 0.05 | 0.80 a ± 0.14 | 0.63 b ± 0.05 |
| Total Fat (g/100 g) | 0.16 a ± 0.05 | 0.20 a ± 0.00 | 0.18 a ± 0.05 |
| Carbohydrate (g/100 g) | 40.34 b ± 0.39 | 42.65 a ± 0.68 | 42.9 a ± 0.61 |
| Energy (kcal/100 g) | 166 b ± 1.63 | 175.5 a ± 2.38 | 175.5 a ± 2.52 |
| pH | 5.35 a ± 0.04 | 5.11 b ± 0.07 | 5.10 b ± 0.02 |
| L* | 32.42 a ± 0.19 | 31.07 b ± 0.41 | 30.38 c ± 0.08 |
| a* | 4.30 b ± 0.15 | 5.05 a ± 0.34 | 3.72 c ± 0.07 |
| b* | 6.72 a ± 0.41 | 6.93 a ± 0.63 | 6.29 a ± 0.15 |
| Viscosity (mPa·s) | 11,417 a ± 587 | 10,539 a ± 1323 | 8371 a ± 972 |
| Hardness (g) | 1.27 a ± 0.47 | 1.14 a ± 0.57 | 1.11 a ± 0.59 |
| Gumminess | 11.23 a ± 5.33 | 12.45 a ± 6.37 | 13.17 a ± 7.19 |
Disclaimer/Publisher’s Note: The statements, opinions and data contained in all publications are solely those of the individual author(s) and contributor(s) and not of MDPI and/or the editor(s). MDPI and/or the editor(s) disclaim responsibility for any injury to people or property resulting from any ideas, methods, instructions or products referred to in the content. |
© 2023 by the authors. Licensee MDPI, Basel, Switzerland. This article is an open access article distributed under the terms and conditions of the Creative Commons Attribution (CC BY) license (https://creativecommons.org/licenses/by/4.0/).
Share and Cite
Baroyi, S.A.H.M.; Yusof, Y.A.; Ghazali, N.S.M.; Al-Awaadh, A.M.; Kadota, K.; Mustafa, S.; Abu Saad, H.; Shah, N.N.A.K.; Fikry, M. Determination of Physicochemical, Textural, and Sensory Properties of Date-Based Sports Energy Gel. Gels 2023, 9, 487. https://doi.org/10.3390/gels9060487
Baroyi SAHM, Yusof YA, Ghazali NSM, Al-Awaadh AM, Kadota K, Mustafa S, Abu Saad H, Shah NNAK, Fikry M. Determination of Physicochemical, Textural, and Sensory Properties of Date-Based Sports Energy Gel. Gels. 2023; 9(6):487. https://doi.org/10.3390/gels9060487
Chicago/Turabian StyleBaroyi, Syahrul Anis Hazwani Mohd, Yus Aniza Yusof, Nashratul Shera Mohamad Ghazali, Alhussein M. Al-Awaadh, Kazunori Kadota, Shuhaimi Mustafa, Hazizi Abu Saad, Nor Nadiah Abdul Karim Shah, and Mohammad Fikry. 2023. "Determination of Physicochemical, Textural, and Sensory Properties of Date-Based Sports Energy Gel" Gels 9, no. 6: 487. https://doi.org/10.3390/gels9060487
APA StyleBaroyi, S. A. H. M., Yusof, Y. A., Ghazali, N. S. M., Al-Awaadh, A. M., Kadota, K., Mustafa, S., Abu Saad, H., Shah, N. N. A. K., & Fikry, M. (2023). Determination of Physicochemical, Textural, and Sensory Properties of Date-Based Sports Energy Gel. Gels, 9(6), 487. https://doi.org/10.3390/gels9060487

