Functional Hydrogels for Agricultural Application
Abstract
1. Introduction
2. Results and Discussion
2.1. FT-IR Spectrometry
2.2. SEM Analysis
2.3. Water Absorbency
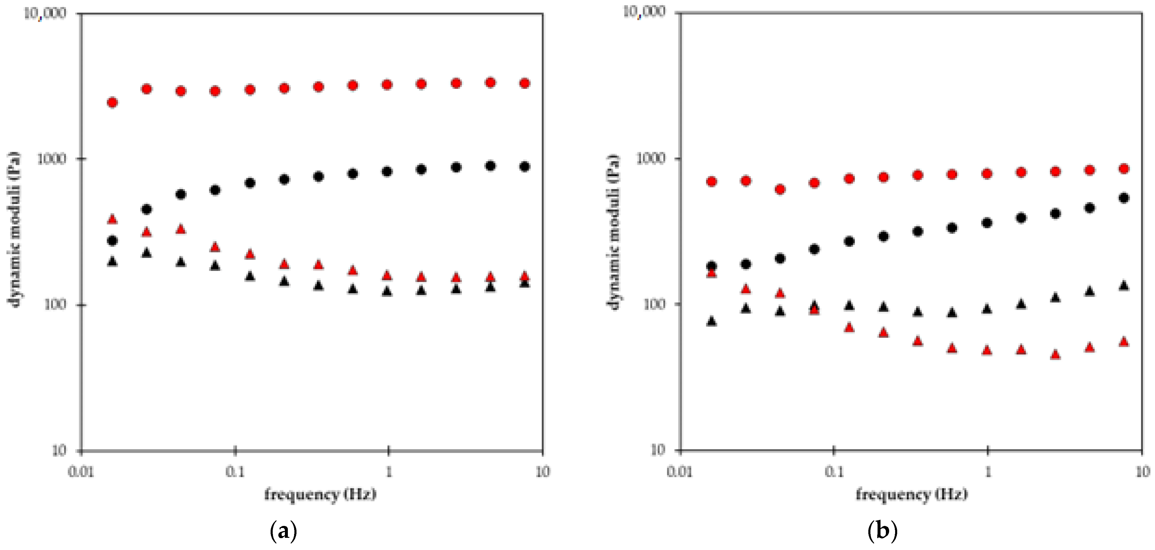
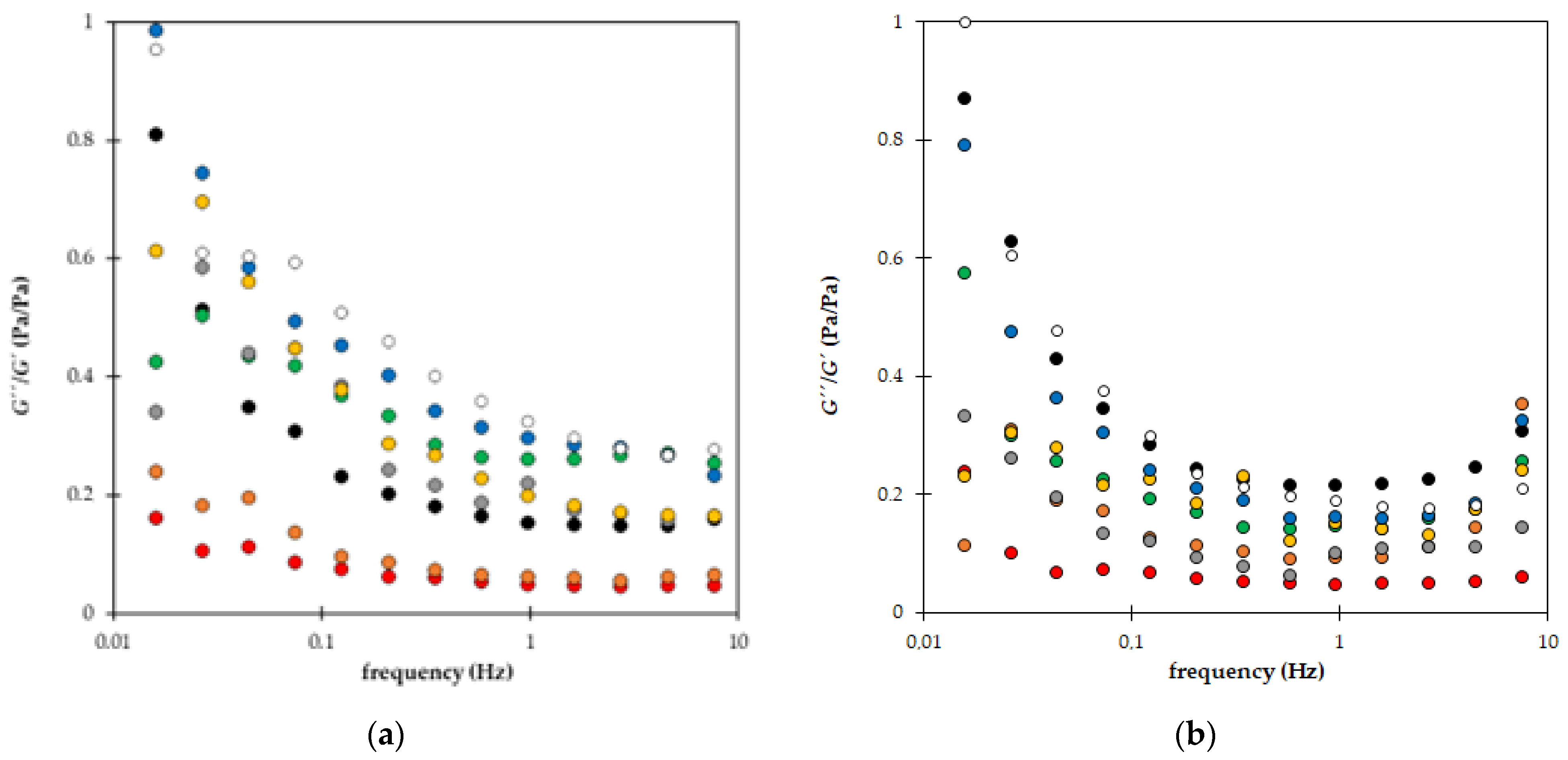
2.4. Rheological Properties of Prepared Superabsorbent Polymers
2.5. Stability of Prepared Superabsorbent Polymers
3. Conclusions
4. Materials and Methods
4.1. Chemicals
4.2. Preparation of Superabsorbent Polymers
4.3. Characterization of Superabsorbent Polymers
4.4. Rheological Properties of Prepared Superabsorbent Polymers
4.5. Stability of Prepared Superabsorbent Polymers
Author Contributions
Funding
Institutional Review Board Statement
Informed Consent Statement
Data Availability Statement
Conflicts of Interest
References
- Kiatkamjornwong, S. Superabsorbent polymers and superabsorbent polymer composites. Sci. Asia 2007, 33, 39–40. [Google Scholar] [CrossRef]
- Raju, M.P.; Raju, K.M. Design and synthesis of superabsorbent polymers. J. Appl. Polym. Sci. 2001, 80, 2635–2639. [Google Scholar] [CrossRef]
- Raju, M.P.; Raju, K.M.; Mohan, Y.M. Synthesis and water absorbency of crosslinked superabsorbent polymers. J. Appl. Polym. Sci. 2002, 85, 1795–1801. [Google Scholar] [CrossRef]
- Li, A.; Wang, A.; Chen, J. Studies on poly(acrylic acid)/attapulgite superabsorbent composites. II. Swelling behaviors of superabsorbent composites in saline solutions and hydrophilic solvent–water mixtures. J. Appl. Polym. Sci. 2004, 94, 1869–1876. [Google Scholar] [CrossRef]
- Dadhaniya, P.V.; Patel, M.P.; Patel, R.G. Swelling and dye adsorption study of novel superswelling [Acrylamide/N-vinylpyrrolidone/3(2-hydroxyethyl carbamoyl) acrylic acid] hydrogels. Polym. Bull. 2006, 57, 21–31. [Google Scholar] [CrossRef]
- Nnadi, F.; Brave, C. Environmentally friendly superabsorbent polymers for water conservation in agricultural lands. J. Soil Sci. Environ. Manag. 2011, 2, 206–211. [Google Scholar]
- Pó, R. Water-absorbent polymers: A patent survey. J. Macromol. Sci. Polymer. Rev. 1994, 34, 607–662. [Google Scholar] [CrossRef]
- Li, A.; Zhang, J.; Wang, A. Synthesis, characterization and water absorbency properties of poly(acrylic acid)/sodium humate superabsorbent composite. Polym. Adv. Technol. 2005, 16, 675–680. [Google Scholar] [CrossRef]
- Chu, M.; Zhu, S.Q.; Li, H.M.; Huang, Z.B.; Li, S.Q. Synthesis of poly(acrylic acid)/sodium humate superabsorbent composite for agricultural use. J. Appl. Polym. Sci. 2006, 102, 5137–5143. [Google Scholar] [CrossRef]
- Chu, M.; Zhu, S.Q.; Huang, Z.B.; Li, H.M. Influence of potassium humate on the swelling properties of a poly(acrylic acid-co-acrylamide)/potassium humate superabsorbent composite. J. Appl. Polym. Sci. 2008, 107, 3727–3733. [Google Scholar] [CrossRef]
- Liu, J.; Wang, Q.; Wang, A. Synthesis and characterization of chitosan-g-poly(acrylic acid)/sodium humate superabsorbent. Carbohydr. Polym. 2007, 70, 166–173. [Google Scholar] [CrossRef]
- Gao, L.; Wang, S.; Zhao, X. Synthesis and characterization of agricultural controllable humic acid superabsorbent. J. Environ. Sci. 2013, 25, S69–S76. [Google Scholar] [CrossRef] [PubMed]
- Kratochvílová, R.; Sedláček, P.; Pořízka, J.; Klučáková, M. Composite materials for controlled release of mineral nutrients and humic substances for agricultural application. Soil Use Manag. 2021, 37, 460–467. [Google Scholar] [CrossRef]
- Zhang, D.; Tang, Y.; Zhang, C.; Huhe, F.N.U.; Wu, B.; Gong, X.; Chuang, S.S.C. Formulating zwitterionic, responsive polymers for designing smart soils. Nano Micro Small 2022, 18, 2203899. [Google Scholar] [CrossRef]
- Pushpamalar, J.; Langford, S.J.; Ahmad, M.B.; Lim, Y.Y.; Hashim, K. Eco-friendly smart hydrogels for soil conditioning and sustain release fertilizer. Int. J. Environ. Sci. Technol. 2018, 15, 2059–2074. [Google Scholar] [CrossRef]
- Kabir, S.M.F.; Sikdar, P.P.; Haque, B.; Bhuiyan, M.A.R.; Ali, A.; Islam, M.N. Cellulose-based hydrogel materials: Chemistry, properties and their prospective applications. Prog. Biomater. 2018, 7, 153–174. [Google Scholar] [CrossRef]
- Sikdar, P.; Uddin, M.M.; Dip, T.M.; Islam, S.; Hoque, M.S.; Dhar, A.K.; Wu, S. Recent advances in the synthesis of smart hydrogels. Mater. Adv. 2021, 2, 4532–4573. [Google Scholar] [CrossRef]
- Azeem, M.K.; Islam, A.; Khan, R.U.; Rasool, A.; Qureshi, M.A.R.; Rizwan, M.; Sher, F.; Rasheed, T. Eco-friendly three-dimensional hydrogels for sustainable agricultural applications: Current and future scenarios. Polym. Adv. Technol. 2023. (first published). [Google Scholar] [CrossRef]
- Chakraborty, R.; Mukhopadhyay, A.; Paul, S.; Sarkar, S.; Mukhopadhyay, R. Nanocomposite-based smart fertilizers: A boon to agricultural and environmental sustainability. Sci. Total Environ. 2023, 863, 160859. [Google Scholar] [CrossRef] [PubMed]
- Ramazani-Harandi, M.J.; Zohuriaan-Mehr, M.J.; Yousefi, A.A.; Ershad-Langroudi, A.; Kabiri, K. Effects of structural variables on AUL and rheological behavior of SAP gels. J. Appl. Polym. Sci. 2009, 113, 3676–3686. [Google Scholar] [CrossRef]
- Zaharia, A.; Radu, A.L.; Iancu, S.; Florea, A.M.; Sandu, T.; Minca, I.; Fruth-Oprisan, V.; Teodorescu, M.; Sarbu, A.; Iordache, T.V. Bacterial cellulose-poly(acrylic acid-co-N,N’-methylene-bis-acrylamide) interpenetrated networks for the controlled release of fertilizers. RSC Adv. 2018, 8, 17635. [Google Scholar] [CrossRef] [PubMed]
- Rehman, T.U.; Shah, L.A. Rheological investigation of polymer hydrogels for industrial application: A review. Int. J. Polym. Anal. Charact. 2022, 27, 430–445. [Google Scholar] [CrossRef]
- Zhang, Q.; Zhou, W.; Liang, G.; Wang, X.; Sun, J.; He, P.; Li, L. Effects of different organic manures on the biochemical and microbial characteristics of albic paddy soil in a short-term experiment. PLoS ONE 2015, 10, 0124096. [Google Scholar] [CrossRef] [PubMed]
- Vishwanath, V.; Kumar, S.; Purakayastha, T.J.; Datta, S.P.; Rosin, K.G.; Mahapatra, P.; Sinha, S.K.; Yadav, S.P. Impact of forty-seven years of long-term fertilization and liming on soil health, yield of soybean and wheat in an acidic Alfisol. Arch. Agron. Soil Sci. 2022, 68, 531–546. [Google Scholar] [CrossRef]
- Mi, W.H.; Sun, Y.; Xia, S.; Zhao, H.T.; Mi, W.T.; Brookes, P.C.; Liu, Y.; Wu, L. Effect of inorganic fertilizers with organic amendments on soil chemical properties and rice yield in a low-productivity paddy soil. Geoderma 2018, 320, 23–29. [Google Scholar] [CrossRef]
- Novák, F.; Šestauberová, M.; Hrabal, R. Structural features of lignohumic acids. J. Mol. Struct. 2015, 1093, 179–185. [Google Scholar] [CrossRef]
- Holub, P.; Klema, K.; Tuma, I.; Vavríková, J.; Surá, K.; Veselá, B.; Urban, O.; Záhora, J. Application of organic carbon affects mineral nitrogen uptake by winter wheat and leaching in subsoil: Proximal sensing as a tool for agronomic practice. Sci. Total Environ. 2020, 717, 137058. [Google Scholar] [CrossRef]
- Klučáková, M.; Kalina, M.; Enev, V. How the supramolecular nature of lignohumate affects its diffusion in agarose hydrogel. Molecules 2020, 25, 5831. [Google Scholar] [CrossRef]
- Klučáková, M. Complexation of metal ions with solid humic acids, humic colloidal solutions, and humic hydrogel. Environ. Eng. Sci. 2014, 31, 612–620. [Google Scholar] [CrossRef]
- Klučáková, M.; Kalina, M. Composition, particle size, charge and colloidal stability of pH-fractionated humic acids. J. Soil. Sediment. 2015, 15, 1900–1908. [Google Scholar] [CrossRef]
- Klučáková, M. Dissociation properties and behavior of active humic fractions dissolved in aqueous systems. React. Funct. Polym. 2016, 109, 9–14. [Google Scholar] [CrossRef]
- Klučáková, M. Characterization of pH-fractionated humic acids with respect to their dissociation behaviour. Environ. Sci. Pollut. Res. 2016, 23, 7722–7731. [Google Scholar] [CrossRef] [PubMed]
- Klučáková, M. Conductometric study of the dissociation behavior of humic and fulvic acids. React. Funct. Polym. 2018, 128, 24–28. [Google Scholar] [CrossRef]
- Enev, V.; Pospíšilová, L.; Klučáková, M.; Liptaj, T.; Doskočil, L. Spectral characterization of selected natural humic substances. Soil Water Res. 2014, 9, 9–17. [Google Scholar] [CrossRef]
- Vuorinen, I.; Hamberg, L.; Müller, M.; Seiskari, P.; Pennanen, T. Development of growth media for solid substrate propagation of ectomycorrhiza fungi for inoculation of Norway spruce (Picea abies) seedlings. Mycorrhiza 2015, 25, 311–324. [Google Scholar] [CrossRef] [PubMed]
- Adani, F.; Genevini, P.; Zaccheo, P.; Zocchi, G. The effect of commercial humic acid on tomato plant growth and mineral nutrition. J. Plant Nutr. 1998, 21, 561–575. [Google Scholar] [CrossRef]
- Arancon, N.Q.; Edwards, C.A.; Bierman, P.; Welch, C.; Metzger, J.D. Influences of vermicomposts on field strawberries: 1. Effects on growth and yields. Bioresour. Technol. 2004, 93, 145–153. [Google Scholar] [CrossRef]
- Arancon, N.Q.; Edwards, C.A.; Bierman, P.; Metzger, J.D.; Lucht, C. Effects of vermicomposts produced from cattle manure, food waste and paper waste on the growth and yield of peppers in the field. Pedobiologia 2005, 49, 297–306. [Google Scholar] [CrossRef]
- Arancon, N.Q.; Edwards, C.A.; Bierman, P. Influences of vermicomposts on field strawberries: 2. Effects on soil microbiological and chemical properties. Bioresour. Technol. 2006, 97, 831–840. [Google Scholar] [CrossRef]
- Smilková, M.; Smilek, J.; Kalina, M.; Sedláček, P.; Pekař, M.; Klučáková, M. A simple technique for assessing of the cuticular diffusion of humic acid biostimulants. Plant Methods 2019, 15, 83. [Google Scholar] [CrossRef]
- Spencer, P.; Schaumburg, H. A review of acrylamide neurotoxicity part I. Properties, uses, and human exposure. Can. J. Neurol. Sci. 1974, 1, 143–150. [Google Scholar] [CrossRef]
- Spencer, P.; Schaumburg, H. A review of acrylamide neurotoxicity part II. Experimental animal neurotoxicity and pathologic mechanisms. Can. J. Neurol. Sci. 1974, 1, 152–169. [Google Scholar] [CrossRef]
- Spencer, H.; Wahome, J.; Haasch, M. Toxicity evaluation of acrylamide on the early life stages of the zebrafish embryos (Danio rerio). J. Environ. Prot. 2018, 9, 1082–1091. [Google Scholar] [CrossRef]
- Matoso, V.; Bargi-Souza, P.; Ivanski, F.; Romano, M.A.; Romano, R.M. Acrylamide: A review about its toxic effects in the light of Developmental Origin of Health and Disease (DOHaD) concept. Food Chem. 2019, 283, 422–430. [Google Scholar] [CrossRef]
- Rashidzadeh, A.; Olad, A. Slow-released NPK fertilizer encapsulated by NaAlg-g-poly(AA-co-AAm)/MMT superabsorbent nanocomposite. Carbohydr. Polym. 2014, 114, 269–278. [Google Scholar] [CrossRef] [PubMed]
- Olad, A.; Zebhi, H.; Salari, D.; Mirmohseni, A.; Tabar, A.R. Slow-release NPK fertilizer encapsulated by carboxymethyl cellulose-based nanocomposite with the function of water retention in soil. Mater. Sci. Eng. C 2018, 90, 333–340. [Google Scholar] [CrossRef] [PubMed]
- Lee, Y.N.; Ahmed, O.H.; Wahid, S.A.; Jalloh, M.B.; Muzah, A.A. Nutrient release and ammonia volatilization from biochar-blended fertilizer with and without densification. Agronomy 2021, 11, 2082. [Google Scholar] [CrossRef]
- Senesi, N.; D’Orazio, V.; Ricca, G. Humic acids in the first generation of Eurosoils. Geoderma 2003, 116, 325–344. [Google Scholar] [CrossRef]
- Feng, L.; Yang, H.; Dong, X.; Lei, H.; Chen, D. pH-sensitive polymeric particles as smart carriers for rebar inhibitors delivery in alkaline condition. J. Appl. Polym. Sci. 2018, 135, 45886. [Google Scholar] [CrossRef]
- Zhang, W.; Liu, Q.; Xu, Y.; Mu, X.; Zhang, H.; Lei, Z. Waste cabbage-integrated nutritional superabsorbent polymers for water retention and absorption applications. Langmuir 2022, 38, 14869–14878. [Google Scholar] [CrossRef]
- Ramli, R.A.; Lian, Y.M.; Nor, N.M.; Azman, N.I.Z. Synthesis, characterization, and morphology study of coco peat-grafted-poly(acrylic acid)/NPK slow release fertilizer hydrogel. J. Polym. Res. 2019, 26, 266. [Google Scholar] [CrossRef]
- Singh, T.; Singhal, R. Poly(acrylic acid/acrylamide/sodium humate) superabsorbent hydrogels for metal ion/dye adsorption: Effect of sodium humate concentration. J. Appl. Polym. Sci. 2012, 125, 1267–1283. [Google Scholar] [CrossRef]
- Tomar, R.S.; Gupta, I.; Singhal, R.; Nagpal, A.K. Synthesis of poly (acrylamide-co-acrylic acid) based superabsorbent hydrogels: Study of network parameters and swelling behaviour. Polym. Plast. Technol. Eng. 2007, 46, 481–488. [Google Scholar] [CrossRef]
- Wu, J.; Lin, J.; Zhou, M.; Wei, C. Synthesis and properties of starch-graft-polyacrylamide/clay superabsorbent composite. Macromol. Rapid Commun. 2000, 21, 1032–1034. [Google Scholar] [CrossRef]
- Seetapan, N.; Wongsawaeng, J.; Kiatkamjornwong, S. Gel strength and swelling of acrylamide-protic acid superabsorbent copolymers. Polym. Advan. Technol. 2011, 22, 1685–1695. [Google Scholar] [CrossRef]
- Pourjavadi, A.; Hosseinzadeh, H. Synthesis and properties of partially hydrolyzed acrylonitrile-co-acrylamide superabsorbent hydrogel. Bull. Korean Chem. Soc. 2010, 31, 3136–3172. [Google Scholar] [CrossRef]
- Kabiri, K.; Omidian, H.; Hashemi, S.A.; Zohuriaan-Mehr, M.J. Synthesis of fast-swelling superabsorbent hydrogels: Effect of crosslinker type and concentration on porosity and absorption rate. Eur. Polym. J. 2003, 39, 1341–1348. [Google Scholar] [CrossRef]
- Kabiri, K.; Zohuriaan-Mehr, M.J. Superabsorbent hydrogel composites. Polym. Adv. Technol. 2003, 14, 438–444. [Google Scholar] [CrossRef]
- Shahid, S.; Qidwai, A.; Anwar, F.; Ullah, I.; Rashid, U. Effects of a novel poly (AA-co-AAm)/AlZnFe2O4/potassium humate superabsorbent hydrogel nanocomposite on water retention of sandy loam soil and wheat seedling growth. Molecules 2012, 17, 12587–12602. [Google Scholar] [CrossRef]
- Nada, W.M.; Blumenstei, O. Characterization and impact of newly synthesized superabsorbent hydrogel nanocomposite on water retention characteristics of sandy soil and grass seedling growth. J. Soil Sci. 2015, 10, 153–165. [Google Scholar] [CrossRef]
- Bai, W.; Zhang, H.; Liu, B.; Wu, Y.; Song, J. Effects of super-absorbent polymers on the physical and chemical properties of soil following different wetting and drying cycles. Soil Use Manag. 2010, 26, 253–260. [Google Scholar] [CrossRef]
- Zhang, X.; Wang, X.; Li, L.; Zhang, S.; Wu, R. Preparation and swelling behaviors of a high temperature resistant superabsorbent using tetraallylammonium chloride as crosslinking agent. React. Funct. Polym. 2015, 87, 15–21. [Google Scholar] [CrossRef]
- Pourjavadi, A.; Bardajee, G.R.; Soleyman, R. Synthesis and swelling behavior of a new superabsorbent hydrogel network based on polyacrylamide grafted onto salep. J. Appl. Polym. Sci. 2009, 112, 2625–2633. [Google Scholar] [CrossRef]
- He, G.; Ke, W.; Chen, X.; Kong, Y.; Zheng, H.; Yin, Y.; Cai, W. Preparation and properties of quaternary ammonium chitosan-g-poly(acrylic acid-co-acrylamide) superabsorbent hydrogels. React. Funct. Polym. 2017, 111, 14–21. [Google Scholar] [CrossRef]
- Zheng, Y.; Gao, T.; Wang, A. Preparation, swelling, and slow-release characteristics of superabsorbent composite containings humate. Ind. Eng. Chem. Res. 2008, 47, 1766–1773. [Google Scholar] [CrossRef]














| Sample | A | B | C | D | E | F | G | H | I | J |
|---|---|---|---|---|---|---|---|---|---|---|
| AM (g) | 0 | 0 | 0 | 0 | 0.75 | 0.75 | 0.75 | 0 | 0 | 0.75 |
| NPK (g) | 0.660 | 6.602 | 0.660 | 6.602 | 0.660 | 6.602 | 0 | 0 | 0 | 0 |
| LH (g) | 0 | 0 | 1 | 1 | 1 | 1 | 1 | 1 | 0 | 0 |
Disclaimer/Publisher’s Note: The statements, opinions and data contained in all publications are solely those of the individual author(s) and contributor(s) and not of MDPI and/or the editor(s). MDPI and/or the editor(s) disclaim responsibility for any injury to people or property resulting from any ideas, methods, instructions or products referred to in the content. |
© 2023 by the authors. Licensee MDPI, Basel, Switzerland. This article is an open access article distributed under the terms and conditions of the Creative Commons Attribution (CC BY) license (https://creativecommons.org/licenses/by/4.0/).
Share and Cite
Kratochvílová, R.; Kráčalík, M.; Smilková, M.; Sedláček, P.; Pekař, M.; Bradt, E.; Smilek, J.; Závodská, P.; Klučáková, M. Functional Hydrogels for Agricultural Application. Gels 2023, 9, 590. https://doi.org/10.3390/gels9070590
Kratochvílová R, Kráčalík M, Smilková M, Sedláček P, Pekař M, Bradt E, Smilek J, Závodská P, Klučáková M. Functional Hydrogels for Agricultural Application. Gels. 2023; 9(7):590. https://doi.org/10.3390/gels9070590
Chicago/Turabian StyleKratochvílová, Romana, Milan Kráčalík, Marcela Smilková, Petr Sedláček, Miloslav Pekař, Elke Bradt, Jiří Smilek, Petra Závodská, and Martina Klučáková. 2023. "Functional Hydrogels for Agricultural Application" Gels 9, no. 7: 590. https://doi.org/10.3390/gels9070590
APA StyleKratochvílová, R., Kráčalík, M., Smilková, M., Sedláček, P., Pekař, M., Bradt, E., Smilek, J., Závodská, P., & Klučáková, M. (2023). Functional Hydrogels for Agricultural Application. Gels, 9(7), 590. https://doi.org/10.3390/gels9070590

