On the Comparison of Flow Physics between Minimal and Extended Flow Units in Turbulent Channels
Abstract
1. Introduction
2. Problem Formulation
3. Results
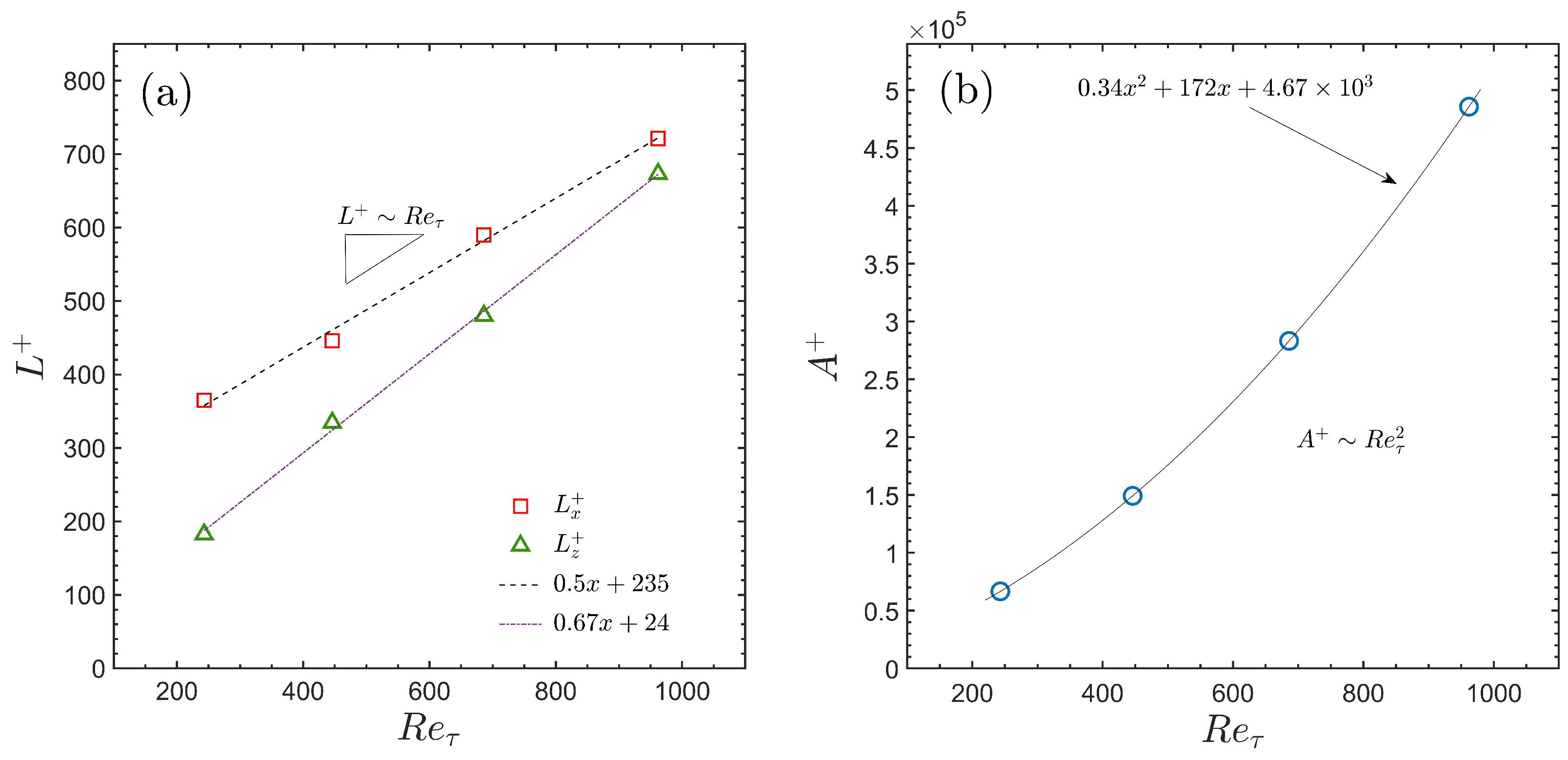
3.1. Minimal Flow Units up to = 1000
3.2. Healthiness of Minimal Flow Units
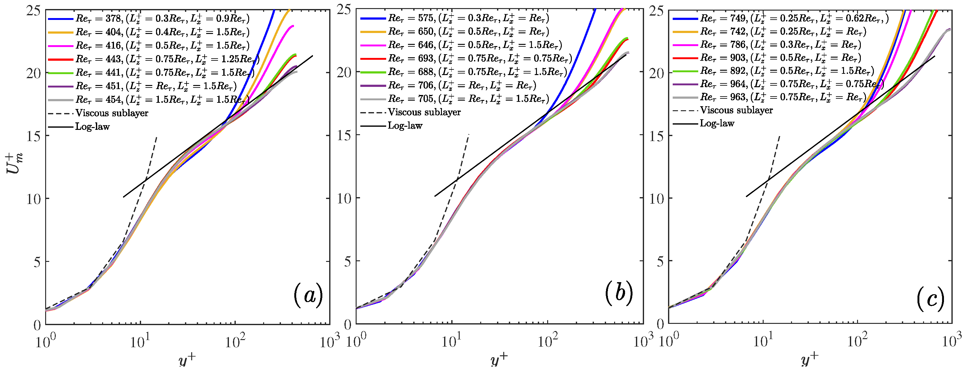
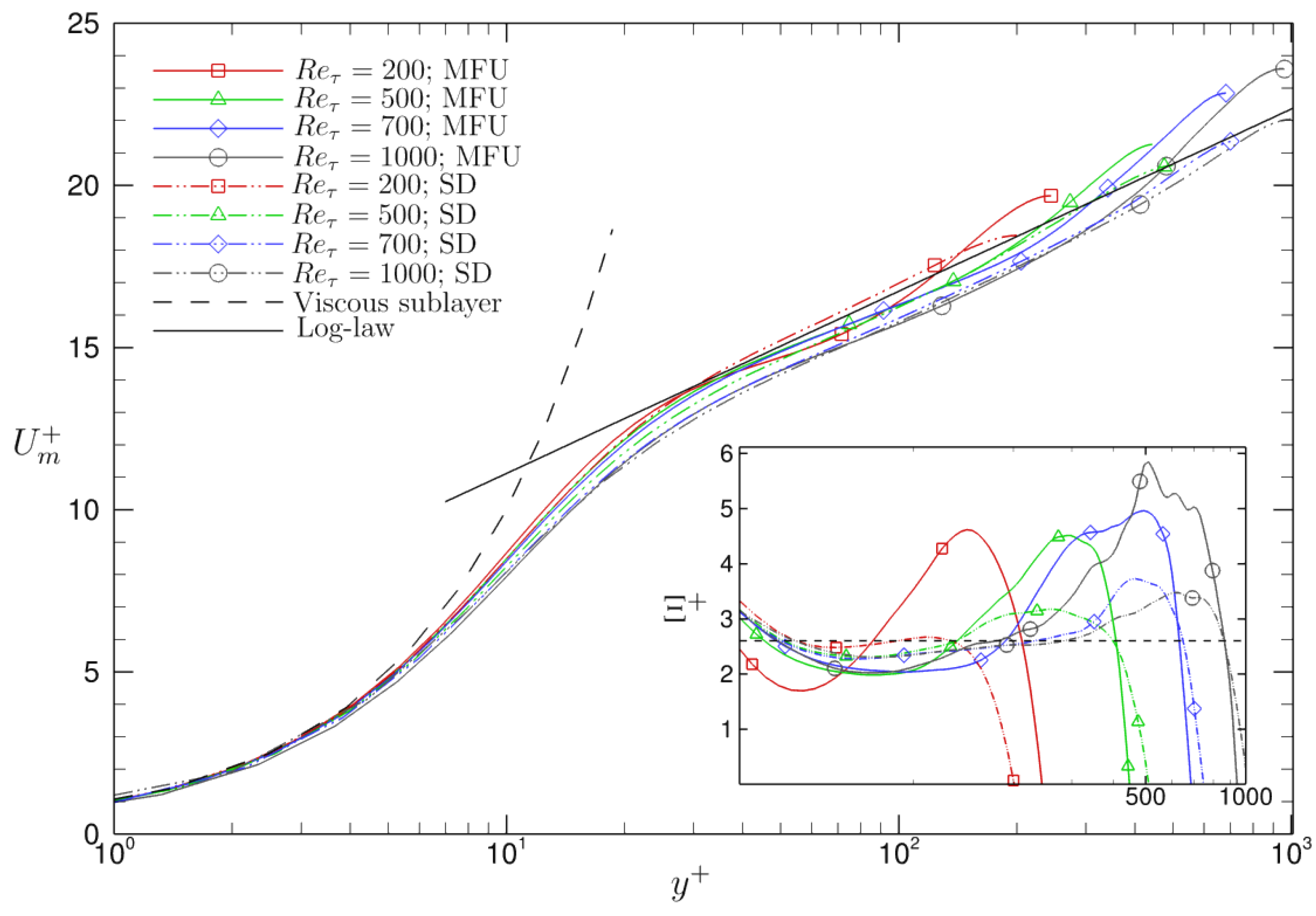
3.3. Mean Flow Properties
3.4. Quadrant Analysis
4. Discussion
Author Contributions
Funding
Institutional Review Board Statement
Informed Consent Statement
Data Availability Statement
Acknowledgments
Conflicts of Interest
Abbreviations
| MFU | Minimal Fluid Unit |
| DNS | Direct Numerical Simulation |
| SD | Sub-Domain |
| JPDF | Joint Probability Density Function |
References
- Xi, L.; Graham, M.D. Active and hibernating turbulence in minimal channel flow of newtonian and polymeric fluids. Phys. Rev. Lett. 2010, 104. [Google Scholar] [CrossRef]
- Hamilton, J.M.; Kim, J.; Waleffe, F. Regeneration mechanisms of near-wall turbulence structures. J. Fluid Mech. 1995, 287, 317–348. [Google Scholar] [CrossRef]
- Waleffe, F. On a self-sustaining process in shear flows. Phys. Fluids 1997, 9, 883–900. [Google Scholar] [CrossRef]
- Agrawal, R.; Ng, H.C.H.; Davis, E.A.; Park, J.S.; Graham, M.D.; Dennis, D.J.; Poole, R.J. Low-and high-drag intermittencies in turbulent channel flows. Entropy 2020, 22, 1126. [Google Scholar] [CrossRef]
- Jiménez, J.; Moin, P. The minimal flow unit in near-wall turbulence. J. Fluid Mech. 1991, 225, 213–240. [Google Scholar] [CrossRef]
- Flores, O.; Jiménez, J. Hierarchy of minimal flow units in the logarithmic layer. Phys. Fluids 2010, 22, 071704. [Google Scholar] [CrossRef]
- Marusic, I.; Mathis, R.; Hutchins, N. High Reynolds number effects in wall turbulence. Int. J. Heat Fluid Flow 2010, 31, 418–428. [Google Scholar] [CrossRef]
- Hwang, Y. Near-wall turbulent fluctuations in the absence of wide outer motions. J. Fluid Mech. 2013, 723, 264–288. [Google Scholar] [CrossRef]
- Hwang, Y.; Bengana, Y. Self-sustaining process of minimal attached eddies in turbulent channel flow. J. Fluid Mech. 2016, 795, 708–738. [Google Scholar] [CrossRef]
- McKeon, B.J. The engine behind (wall) turbulence: Perspectives on scale interactions. J. Fluid Mech. 2017, 817. [Google Scholar] [CrossRef]
- Lozano-Durán, A.; Jiménez, J. Effect of the computational domain on direct simulations of turbulent channels up to Reτ = 4200. Phys. Fluids 2014, 26. [Google Scholar] [CrossRef]
- Hoyas, S.; Jiménez, J. Scaling of the velocity fluctuations in turbulent channels up to Reτ = 2003. Phys. Fluids 2006, 18, 011702. [Google Scholar] [CrossRef]
- Lee, M.; Moser, R.D. Direct numerical simulation of turbulent channel flow up to Reτ ≈ 5200. J. Fluid Mech. 2015, 774, 395–415. [Google Scholar] [CrossRef]
- Lee, M.; Moser, R.D. Extreme-scale motions in turbulent plane Couette flows. J. Fluid Mech. 2018, 842, 128–145. [Google Scholar] [CrossRef]
- Kushwaha, A.; Park, J.S.; Graham, M.D. Temporal and spatial intermittencies within channel flow turbulence near transition. Phys. Rev. Fluids 2017, 2. [Google Scholar] [CrossRef]
- Wang, S.N.; Shekar, A.; Graham, M.D. Spatiotemporal dynamics of viscoelastic turbulence in transitional channel flow. J. Non-Newton. Fluid Mech. 2017, 244, 104–122. [Google Scholar] [CrossRef]
- Podvin, B.; Lumley, J. A low-dimensional approach for the minimal flow unit. J. Fluid Mech. 1998, 362, 121–155. [Google Scholar] [CrossRef]
- Orlandi, P.; Pirozzoli, S.; Bernardini, M.; Carnevale, G.F. A minimal flow unit for the study of turbulence with passive scalars. J. Turbul. 2014, 15, 731–751. [Google Scholar] [CrossRef]
- Park, J.S.; Graham, M.D. Exact coherent states and connections to turbulent dynamics in minimal channel flow. J. Fluid Mech. 2015, 782, 430–454. [Google Scholar] [CrossRef]
- Yin, G.; Huang, W.X.; Xu, C.X. Prediction of near-wall turbulence using minimal flow unit. J. Fluid Mech. 2018, 841, 654–673. [Google Scholar] [CrossRef]
- Carlson, H.A.; Lumley, J.L. Active control in the turbulent wall layer of a minimal flow unit. J. Fluid Mech. 1996, 329, 341–371. [Google Scholar] [CrossRef]
- Xi, L.; Graham, M.D. Intermittent dynamics of turbulence hibernation in Newtonian and viscoelastic minimal channel flows. J. Fluid Mech. 2012, 693, 433–472. [Google Scholar] [CrossRef]
- Davis, E.A.; Park, J.S. Dynamics of laminar and transitional flows over slip surfaces: Effects on the laminar-turbulent separatrix. J. Fluid Mech. 2020, 894. [Google Scholar] [CrossRef]
- Wei, T.; Willmarth, W.W. Reynolds-number effects on the structure of a turbulent channel flow. J. Fluid Mech. 1989, 204, 57–95. [Google Scholar] [CrossRef]
- Jiménez, J.; Pinelli, A. The autonomous cycle of near-wall turbulence. J. Fluid Mech. 1999, 389, 335–359. [Google Scholar] [CrossRef]
- Willmarth, W.W.; Lu, S.S. Structure of the reynolds stress near the wall. J. Fluid Mech. 1972, 55, 65–92. [Google Scholar] [CrossRef]
- Lu, S.S.; Willmarth, W.W. Measurements of the structure of the Reynolds stress in a turbulent boundary layer. J. Fluid Mech. 1973, 60, 481–511. [Google Scholar] [CrossRef]
- Lu, S.S.; Willmarth, W.W. Measurement of the mean period between bursts. Phys. Fluids 1973, 16, 2012–2013. [Google Scholar] [CrossRef][Green Version]
- Willmarth, W.; Lu, S. Structure of the Reynolds Stress and the Occurrence of Bursts in the Turbulent Boundary Layer. In Turbulent Diffusion in Environmental Pollution; Frenkiel, F., Munn, R., Eds.; Academic Press: Cambridge, MA, USA, 1975; Volume 18, pp. 287–314. [Google Scholar] [CrossRef]
- Gibson, J.F. Channelflow: A Spectral Navier-Stokes Simulator in C++. Technical Report, U. New Hampshire. 2012. Available online: Channelflow.org (accessed on 19 April 2021).
- Xi, L.; Graham, D.M. Turbulent drag reduction and multistage transitions in viscoelastic minimal flow units. J. Fluid Mech. 2010, 647, 421. [Google Scholar] [CrossRef]
- Wang, S.N.; Graham, M.D.; Hahn, F.J.; Xi, L. Time-series and extended Karhunen—Loève analysis of turbulent drag reduction in polymer solutions. AIChE J. 2014, 60, 1460–1475. [Google Scholar] [CrossRef]
- Jiménez, J. How linear is wall-bounded turbulence? Phys. Fluids 2013, 25, 110814. [Google Scholar] [CrossRef]
- Smits, A.J.; McKeon, B.J.; Marusic, I. High-Reynolds number wall turbulence. Annu. Rev. Fluid Mech. 2011, 43, 353–375. [Google Scholar] [CrossRef]
- Antonia, R. Conditional sampling in turbulence measurement. Annu. Rev. Fluid Mech. 1981, 13, 131–156. [Google Scholar] [CrossRef]
- Wallace, J.M. Quadrant analysis in turbulence research: History and evolution. Annu. Rev. Fluid Mech. 2016, 48, 131–158. [Google Scholar] [CrossRef]
- Lee, M.; Moser, R.D. Spectral analysis of the budget equation in turbulent channel flows at high Reynolds number. J. Fluid Mech. 2019, 860, 886–938. [Google Scholar] [CrossRef]






| 200 (MFU) | 256 (64) | 81 (121) | 256 (84) | 7.8 (6.2) | 0.33 (0.13) | 7.8 (6.4) | 4.7 (2.2) |
| 500 (MFU) | 256 (86) | 125 (161) | 256 (84) | 7.8 (5.2) | 0.32 (0.17) | 12.6 (8.8) | 4.7 (4.0) |
| 700 (MFU) | 256 (86) | 151 (181) | 256 (102) | 7.8 (6.9) | 0.15 (0.24) | 14.7 (12.0) | 4.7 (4.7) |
| 1000 (MFU) | 256 (96) | 191 (181) | 256 (140) | 7.8 (7.5) | 0.14 (0.33) | 16.5 (16.9) | 6.3 (4.8) |
Publisher’s Note: MDPI stays neutral with regard to jurisdictional claims in published maps and institutional affiliations. |
© 2021 by the authors. Licensee MDPI, Basel, Switzerland. This article is an open access article distributed under the terms and conditions of the Creative Commons Attribution (CC BY) license (https://creativecommons.org/licenses/by/4.0/).
Share and Cite
Davis, E.A.; Mirfendereski, S.; Park, J.S. On the Comparison of Flow Physics between Minimal and Extended Flow Units in Turbulent Channels. Fluids 2021, 6, 192. https://doi.org/10.3390/fluids6050192
Davis EA, Mirfendereski S, Park JS. On the Comparison of Flow Physics between Minimal and Extended Flow Units in Turbulent Channels. Fluids. 2021; 6(5):192. https://doi.org/10.3390/fluids6050192
Chicago/Turabian StyleDavis, Ethan A., Siamak Mirfendereski, and Jae Sung Park. 2021. "On the Comparison of Flow Physics between Minimal and Extended Flow Units in Turbulent Channels" Fluids 6, no. 5: 192. https://doi.org/10.3390/fluids6050192
APA StyleDavis, E. A., Mirfendereski, S., & Park, J. S. (2021). On the Comparison of Flow Physics between Minimal and Extended Flow Units in Turbulent Channels. Fluids, 6(5), 192. https://doi.org/10.3390/fluids6050192

