A Monolithic Finite Element Formulation for Magnetohydrodynamics Involving a Compressible Fluid
Abstract
:1. Introduction
- Most of the MHD strategies treat the fluid as incompressible [28,29]. Since compressibility effects play a key role in applications such as magneto-gas dynamics, in this work, we focus on developing a MHD strategy for compressible fluids. Moreover, we show that the strategy works very well, even when the fluid is almost incompressible (with a stiff equation of state); thus, the same strategy can be used even when the fluid is almost incompressible;
- We develop a monolithic strategy based on the fully coupled equations for the fluid and the magnetic fields. The inclusion of the coupling terms yields a faster rate of convergence compared to a staggered strategy, where the fluid and the magnetic field variables are solved for in a sequential manner;
- The formulation is based on primitive flow variables, such as velocity, density, temperature, pressure, and the magnetic field, which makes the implementation simple. The treatment of the boundary conditions is also very straightforward, as these are generally specified in terms of the primitive variables or their duals;
- In contrast to the work in references [1,2,4,5,6,7,8] that use a stabilized formulation, we use a stable formulation based on an appropriate choice of interpolations for the various field variables. We use higher order interpolation functions for the velocity and magnetic fields, as compared to the pressure, density, and temperature field variables. This ensures the satisfaction of the inf-sup stability conditions. No stabilizing terms need to be used, and no parameters need to be adjusted in the proposed formulation;
- The governing equations for the fluid, namely the continuity, Navier–Stokes, energy, and state equations are considered in their entirety without any approximations, such as the Boussinesq approximation;
- Joule heating effects have been included in the formulation.
2. Mathematical Formulation
2.1. Governing Equations for MHD Involving a Compressible Fluid
2.1.1. Magnetic Field Equations
2.1.2. Coupled Equations for Compressible MHD
2.2. Variational Formulation
2.3. Time Stepping Strategy
2.4. Linearization
2.5. Finite Element Formulation
2.6. Two-Dimensional Formulation
3. Numerical Examples
3.1. 2D Lid-Driven Cavity Problem in the Presence of a Magnetic Field
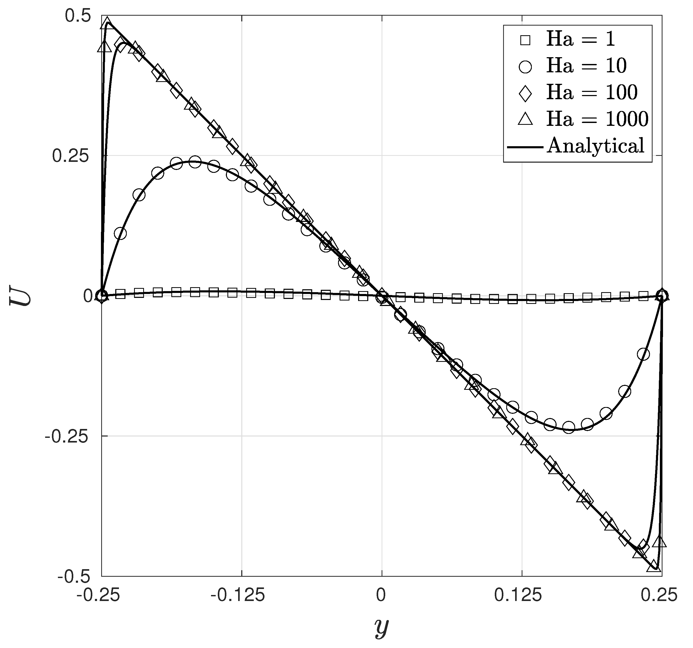
3.2. Hartman–Poiseuille Flow
3.3. Two-Dimensional Buoyancy-Driven Flow Problem
3.4. 3D Natural Convection Problem in the Presence of a Magnetic Field
4. Discussion
Author Contributions
Funding
Data Availability Statement
Conflicts of Interest
References
- Shadid, J.N.; Pawlowski, R.P.; Banks, J.W.; Chacón, L.; Lin, P.T.; Tuminaro, R.S. Towards a scalable fully implicit fully coupled resistive MHD formulation with stabilized FE methods. J. Comput. Phys. 2010, 229, 7649–7671. [Google Scholar] [CrossRef] [Green Version]
- Guermond, J.L.; Léorat, J.; Nore, C. A new finite element method for magneto-dynamical problems: Two-dimensional results. Eur. J. Mech. B Fluids 2003, 22, 555–579. [Google Scholar] [CrossRef]
- Boffi, D.; Brezzi, F.; Fortin, M. Mixed Finite Elements and Applications; Springer: Berlin/Heidelberg, Germany, 2013. [Google Scholar] [CrossRef]
- Nesliturk, A.I.; Tezer-Sezgin, M. Finite element method solution of electrically driven magnetohydrodynamic flow. J. Comput. Appl. Math. 2006, 192, 339–352. [Google Scholar] [CrossRef] [Green Version]
- Salah, N.B.; Soulaimani, A.; Habashi, W.G.; Fortin, M. A conservative stabilized finite element method for magneto-hydrodynamics. Int. J. Numer. Methods Fluids 1999, 29, 535–554. [Google Scholar] [CrossRef]
- Salah, N.B. A Finite Element Method for the Fully Coupled Magneto-Hydrodynamics. Ph.D. Thesis, Concordia University, Montreal, QC, Canada, 1999. [Google Scholar]
- Codina, R.; Silva, N.H. Stabilized finite element approximation of the stationary magneto-hydrodynamics equations. Comput. Mech. 2006, 38, 344–355. [Google Scholar] [CrossRef]
- Gerbeau, J.F. A stabilized finite element method for the incompressible magnetohydrodynamic equations. Numer. Math. 2000, 87, 83–111. [Google Scholar] [CrossRef]
- Schotzau, D. Mixed finite element methods for stationary incompressible magneto–hydrodynamics. Numer. Math 2004, 96, 771–800. [Google Scholar] [CrossRef]
- Zhang, G.; He, Y.; Yang, D. Analysis of coupling iterations based on the finite element method for stationary magnetohydrodynamics on a general domain. Comput. Math. Appl. 2014, 68, 770–788. [Google Scholar] [CrossRef]
- Greif, C.; Li, D.; Schötzau, D. Wei, X. A mixed finite element method with exactly divergence-free velocities for incompressible magnetohydrodynamics. Comput. Methods Appl. Mech. Eng. 2010, 199, 2840–2855. [Google Scholar] [CrossRef]
- Jin, D.; Ledger, P.D.; Gil, A.J. An hp-fem framework for the simulation of electrostrictive and magnetostrictive materials Comput. Struct. 2014, 133, 131–148. [Google Scholar] [CrossRef]
- Ali, M.M.; Alim, M.A.; Akhter, R.; Ahmed, S.S. MHD Natural Convection Flow of CuO/Water Nanofluid in a Differentially Heated Hexagonal Enclosure with a Tilted Square Block. Int. J. Appl. Comput. Math. 2017, 3, 1047–1069. [Google Scholar] [CrossRef]
- Sheikholeslami, M; Zeeshan, A. Analysis of flow and heat transfer in water based nanofluid due to magnetic field in a porous enclosure with constant heat flux using CVFEM. Comput. Methods Appl. Mech. Eng. 2017, 320, 68–81. [Google Scholar] [CrossRef]
- Sheikholeslami, M.; Bandpy, M.G.; Ellahi, R.; Hassan, M.; Soleimani, S. Effects of MHD on Cu–water nanofluid flow and heat transfer by means of CVFEM. J. Magn. Magn. Mater. 2014, 349, 188–200. [Google Scholar] [CrossRef]
- Ali, B.; Rasool, G.; Hussain, S.; Baleanu, D.; Bano, S. Finite Element Study of Magnetohydrodynamics (MHD) and Activation Energy in Darcy–Forchheimer Rotating Flow of Casson Carreau Nanofluid. Processes 2020, 8, 1185. [Google Scholar] [CrossRef]
- Kefayati, G.H.R. Simulation of heat transfer and entropy generation of MHD natural convection of non-Newtonian nanofluid in an enclosure. Int. J. Heat Mass Transf. 2016, 92, 1066–1089. [Google Scholar] [CrossRef]
- Koriko, O.K.; Shah, N.A.; Saleem, S.; Chung, J.D.; Omowaye, A.J.; Oreyeni, T. Exploration of bioconvection flow of MHD thixotropic nanofluid past a vertical surface coexisting with both nanoparticles and gyrotactic microorganisms. Sci. Rep. 2021, 11, 16627. [Google Scholar] [CrossRef]
- Tang, H.; Kefayati, G.H.R. MHD mixed convection of viscoplastic fluids in different aspect ratios of a lid-driven cavity using LBM. Int. J. Heat Mass Transf. 2018, 124, 344–367. [Google Scholar] [CrossRef]
- Kefayati, G.H.R. Mesoscopic simulation of magnetic field effect on natural convection of power-law fluids in a partially heated cavity. Chem. Eng. Res. Des. 2015, 94, 337–354. [Google Scholar] [CrossRef]
- Kefayati, G.H.R. Simulation of vertical and horizontal magnetic fields effects on non-Newtonian power-law fluids in an internal flow using FDLBM. Comput Fluids 2015, 114, 12–25. [Google Scholar] [CrossRef]
- Kefayati, G.H.R. Mesoscopic simulation of magnetic field effect on Bingham fluid in an internal flow. J. Taiwan Inst. Chem. Eng. 2015, 54, 1–10. [Google Scholar] [CrossRef]
- Ali, A.; Awais, M.; Al-Zubaidi, A.; Saleem, S.; Khan Marwat, D.N. Hartmann boundary layer in peristaltic flow for viscoelastic fluid: Existence. Ain. Shams. Eng. J. 2021, 2090–4479. [Google Scholar] [CrossRef]
- Zhang, W.; Habashi, W.G.; Baruzzi, G.S.; Salah, N.B. Edge-Based Finite Element Formulation of Magnetohydrodynamics at High Mach Numbers. Int. J. Comut. Fluid Dyn. 2021, 35, 349–372. [Google Scholar] [CrossRef]
- Kirk, B.S.; Stogner, R.; Oliver, T.A.; Bauman, B.T. Modeling Hypersonic Entry with the Fully-Implicit Navier–Stokes (FIN-S) Stabilized Finite Element Flow Solver. Comput. Fluids 2014, 92, 281–292. [Google Scholar] [CrossRef]
- Ciucă, C.; Fernandez, P.; Christophe, A.L.; Nguyen, N.C.; Peraire, J.A. Implicit Hybridized Discontinuous Galerkin Methods for Compressible Magnetohydrodynamics. J. Comput. Phys. 2020, 5, 100042. [Google Scholar] [CrossRef]
- Llambay, P.B.; Masset, F.S. FARGO3D: A new GPU-oriented MHD code. AAS 2016, 223, 1–11. [Google Scholar]
- Gajbhiye, N.; Throvagunta, P.; Eswaran, V. Validation and verification of a robust 3-D MHD code. Fusion Eng. Des. 2018, 128, 7–22. [Google Scholar] [CrossRef]
- Nandy, A.; Jog, C.S. A monolithic finite element formulation for magnetohydrodynamics. Sadhana Indian Acad. Sci. 2018, 43, 151. [Google Scholar] [CrossRef] [Green Version]
- Griffiths, D.J. Introduction to Electrodynamics, 4th ed.; Cambridge University Press: Cambridge, UK, 2017; pp. 154–196. [Google Scholar]
- Jog, C.S. Fluid Mechanics: Foundations and Applications of Mechanics, 3rd ed.; Cambridge University Press: Cambridge, UK, 2015. [Google Scholar] [CrossRef]
- Bittencourt, J.A. Fundamentals of Plasma Physics, 3rd ed.; Springer: New York, NY, USA, 2004; pp. 224–226. [Google Scholar]
- Moreau, R. Magnetohydrodynamics; Springer: Dordrecht, The Netherlands, 1990. [Google Scholar]
- Dutta, S.; Jog, C.S. A monolithic arbitrary Lagrangian–Eulerian-based finite element strategy for fluid–structure interaction problems involving a compressible fluid. Int. J. Numer. Methods Eng. 2021, 122, 6037–6102. [Google Scholar] [CrossRef]
- Garandet, J.P.; Alboussiere, T.; Moreau, R. Buoyancy driven convection in a rectangular enclosure with a transverse magnetic field. Int. J. Heat Mass Transf. 1992, 35, 741–896. [Google Scholar] [CrossRef]
- Sarkar, S.; Ganguly, S.; Biswas, G. Buoyancy driven convection of nanofluids in an infinitely long channel under the effect of a magnetic field. Int. J. Heat Mass Transf. 2014, 71, 328–340. [Google Scholar] [CrossRef]
- Okada, K.; Ozoe, H. Experimental Heat Transfer Rates of Natural Convection of Molten Gallium Suppressed Under an External Magnetic Field in Either the X, Y, or Z Direction. J. Heat Transfer. 1992, 114, 107–114. [Google Scholar] [CrossRef]
- Meng, Z.; Ni, M.; Jiang, J.; Zhu, Z.; Zhou, T. Code Validation for Magnetohydrodynamic Buoyant Flow at High Hartmann Number. J. Fusion Energy 2016, 35, 148–153. [Google Scholar] [CrossRef]











| Mesh Level | Elements | |||
|---|---|---|---|---|
| i | 1 s | 0.1478 | 0.1276 | |
| ii | 0.5 s | 0.0668 | 0.0561 | |
| iii | 0.25 s | 0.0224 | 0.0284 |
| Ha | No. of Elements | No. of Nodes | No. of Degrees of Freedom |
|---|---|---|---|
| 1 | 3321 | 15,101 | |
| 10 | 3321 | 15,101 | |
| 100 | 30,351 | 142,176 | |
| 1000 | 160,801 | 759,201 |
| Ha | (Tesla) | |
|---|---|---|
| 0 | 0 | 9.81 |
| 92 | 0.049423808 | 20 |
| 134 | 0.074135713 | 20 |
| 460 | 0.247119042 | 20 |
Publisher’s Note: MDPI stays neutral with regard to jurisdictional claims in published maps and institutional affiliations. |
© 2022 by the authors. Licensee MDPI, Basel, Switzerland. This article is an open access article distributed under the terms and conditions of the Creative Commons Attribution (CC BY) license (https://creativecommons.org/licenses/by/4.0/).
Share and Cite
Gupta, A.; Jog, C.S. A Monolithic Finite Element Formulation for Magnetohydrodynamics Involving a Compressible Fluid. Fluids 2022, 7, 27. https://doi.org/10.3390/fluids7010027
Gupta A, Jog CS. A Monolithic Finite Element Formulation for Magnetohydrodynamics Involving a Compressible Fluid. Fluids. 2022; 7(1):27. https://doi.org/10.3390/fluids7010027
Chicago/Turabian StyleGupta, Adhip, and C. S. Jog. 2022. "A Monolithic Finite Element Formulation for Magnetohydrodynamics Involving a Compressible Fluid" Fluids 7, no. 1: 27. https://doi.org/10.3390/fluids7010027
APA StyleGupta, A., & Jog, C. S. (2022). A Monolithic Finite Element Formulation for Magnetohydrodynamics Involving a Compressible Fluid. Fluids, 7(1), 27. https://doi.org/10.3390/fluids7010027

