Next Article in Journal
Diverse Flowering Response to Blue Light Manipulation: Application of Electric Lighting in Controlled-Environment Plant Production
Next Article in Special Issue
Variation in the Photosynthetic Leaf Pigments of Different Basil (Ocimum spp.) Genotypes under Varying Conditions at the Flowering Stage
Previous Article in Journal
Improving Water Use Efficiency, Yield, and Fruit Quality of Crimson Seedless Grapevines under Drought Stress
Previous Article in Special Issue
The First Study on Cultivating Roman Chamomile (Chamaemelum nobile (L.) All.) for Its Flower and Essential Oil in Southeast Serbia
 
 
Font Type:
Arial Georgia Verdana
Font Size:
Aa Aa Aa
Line Spacing:
Column Width:
Background:
Article

Do Climate Conditions Affect the Quality of the Apiaceae Fruits’ Essential Oils?

1
Faculty of Technology Novi Sad, University of Novi Sad, Bulevar cara Lazara, 1, 21000 Novi Sad, Serbia
2
Institute of General and Physical Chemistry, University of Belgrade, Studentski trg, 12, 11000 Belgrade, Serbia
3
Department of Thermal Engineering and Energy, “Vinča” Institute of Nuclear Sciences—National Institute of the Republic of Serbia, University of Belgrade, Mike Petrovića Alasa 12–14, 11001 Belgrade, Serbia
4
Institute of Field and Vegetable Crops Novi Sad, Maksima Gorkog, 30, 21000 Novi Sad, Serbia
*
Author to whom correspondence should be addressed.
Horticulturae 2024, 10(6), 577; https://doi.org/10.3390/horticulturae10060577
Submission received: 8 April 2024 / Revised: 14 May 2024 / Accepted: 29 May 2024 / Published: 1 June 2024
(This article belongs to the Special Issue Novel Insights into the Phenology of Medicinal and Aromatic Plants)

Abstract

This study investigated the impact of climate conditions on the quality of essential oils extracted from Apiaceae fruits, specifically coriander (Coriandrum sativum var. microcarpum), aniseed (Pimpinella anisum), and annual caraway (Carum carvi var. annuum) grown at three distinct locations in Serbia over three consecutive years. Field experiments were conducted, and essential oils were extracted using a Clevenger-type apparatus followed by gas chromatographic–mass spectrometric analysis for compound identification. Weather conditions during the vegetation periods were recorded, and statistical analyses, including principal component analysis (PCA) and correlation analysis, were performed to assess the volatile compound compositions. Results indicate significant correlations among various compounds within each fruit type, with distinct patterns observed across different years. PCA further elucidates the influence of both year and sampling location on the chemical profiles of essential oils. Cluster analysis reveals clustering primarily based on the year of cultivation rather than geographical location, emphasizing the dominant role of weather conditions in shaping essential oil compositions. This study highlights the intricate relationship between climate conditions and the quality of essential oils in Apiaceae fruits, providing valuable insights for optimizing cultivation practices and enhancing essential oil production. In general, climate conditions strongly influence the coriander, anise, and annual caraway cultivation, and also essential oil quality.

1. Introduction

Apiaceae (formerly Umbelliferae) is a diverse family with a large number of species widely used as vegetables and spices [1]. Apart from having aromatic properties, they are rich in nutraceutical compounds. Therefore, they are very popular in self-medication and culinary practice, as well as in the food and pharmaceutical industries [2,3,4]. The essential oil, which gives the characteristic aroma to plants from the Apiaceae family, is in some species localized primarily in the root or aerial parts (i.e., stems, leaves, flowers), and in some species in the fruits (actually seeds) [5]. Essential oil extraction mainly uses steam distillation, hydro distillation, and solvent extraction, as well as modern techniques such as supercritical fluid extraction, headspace solvent micro-extraction, solid phase micro-extraction, and microwave-assisted hydro distillation [6,7,8,9].
Coriander, aniseed, and caraway are the most common plants from the Apiaceae family for growing seeds as essential-oil-bearing crops in Serbia [10]. As raw materials, they are mainly used in the food and pharmaceutical industry. Due to high nutraceutical potential, they are also used in everyday nutrition as favorite spices and supplements [1,4]. Apart from this, they have a long practice of application in traditional medicine [11,12,13]
Coriander seed essential oil possesses a distinctive odor and a warm, sweet, mild aromatic flavor [14]. It is used for flavoring fish, beef, baked goods, and confectionery [15]. Antioxidant [16,17], antimicrobial [18,19], antidiabetic [20], and hepatoprotective [21,22] activities of coriander are mentioned in the literature. Coriander has been used as an analgesic, carminative, digestive, anti-rheumatic, and antispasmodic agent in many pharmaceutical formulations [11,23].
Aniseed essential oil has a sweet herbaceous odor and sweet taste [24]. Aniseed is used as a flavoring agent for bread, biscuits, cookies, sweets, and ice cream [25,26]. Aniseed essential oil possesses antioxidant [27,28], antimicrobial [29,30], anti-inflammatory [31], and hepatoprotective properties [32]. According to the European Medicine Agency (EMA) [33], aniseed is recommended for the treatment of a variety of symptoms of the digestive tract, such as dyspepsia, Helicobacter infections, and spasmodic gastro-intestinal complaints including bloating and flatulence, as well as respiratory tract discomforts including catarrh, and as an expectorant in cough and cold.
Caraway essential oil has a characteristic sweet–spicy odor with a slight peppery smell [34]. Caraway is a favorite spice for dry-fermented sausages and other meat products [35], and a flavoring agent for bread and other bakery products [36], as well as for dairy products [37]. The medicinal potential of caraway is huge and diverse, and it has antioxidant [9,38], antimicrobial [18,39], anticancer [40,41], hepatoprotective [21,32], and hypoglycemic properties [42,43]. EMA [44] recommended caraway for usage as a safe remedy for the relief of problems of the digestive system such as bloating and flatulence.
In the known literature, the impact of climate conditions on the quality of several other plant essential oils was investigated, such as Salvia sp. [45], Mentha × piperita L. [46], Thymus migricus Klokov & Desj.-Shost. [47], Lavandula × intermedia Emeric ex Loisel [48], Chamomilla recutita (L.) Rausch. [49] and Artemisia persica Boiss [50].
Bearing in mind that there are standards prescribed by the European Pharmacopoeia [51] and the International Standard Organization (ISO 3516:1997, ISO 3475:2020, ISO 8896:2016) [52,53,54] for coriander, anise, and caraway essential oils, this investigation aimed to examine the influence of climate conditions on changes in the chemical composition of the aforementioned essential oils. In this regard, experiments were set up at three locations in Serbia for three consecutive years, and the obtained fruits of plants from the Apiaceae family were distilled in a Clevenger apparatus and analyzed by the GC-MS method. The obtained results were statistically processed using the appropriate models (principal component analysis (PCA) and correlation analysis) to understand better the relationship between the climate and the quality of essential oils.

2. Materials and Methods

2.1. Plant Material

Three annual plants from the Apiaceae family were used in this study. Coriander (Coriandrum sativum var. microcarpum), aniseed (Pimpinella anisum), and caraway (Carum carvi var. annuum) were grown at three different locations in Serbia for three successive years (2021–2023). Plant materials were determined and deposited at the herbarium of the University of Novi Sad (herbarium acronym BUNS), under Voucher numbers 2-0023, 2-0022, and 2-0021, respectively.
Coriander, aniseed, and annual caraway field experiments were established by direct sowing in the optimal time for Serbian agroecological conditions, in the first ten days of April. Sowing was performed manually, in continual rows with row spacing of 0.35 m, respecting a density of 200 plants/m2. The size of the experimental plots was 5 m2. Weeds were controlled via hoeing and weeding when needed. Measures of protection from diseases and insects were not used. Harvesting was carried out by hand in the phase of full maturity.

2.2. Experiment Locations and Main Environmental Characteristics

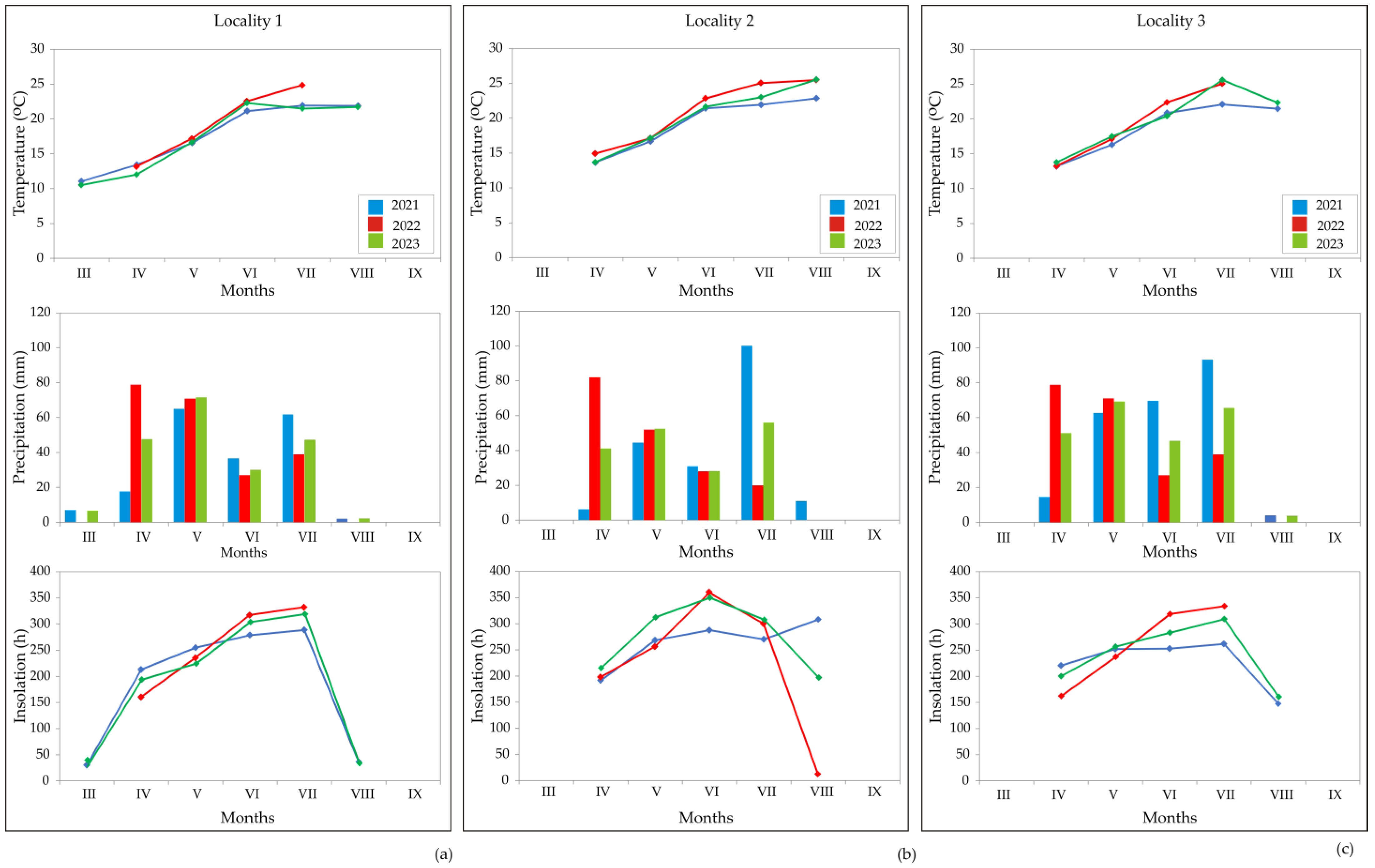
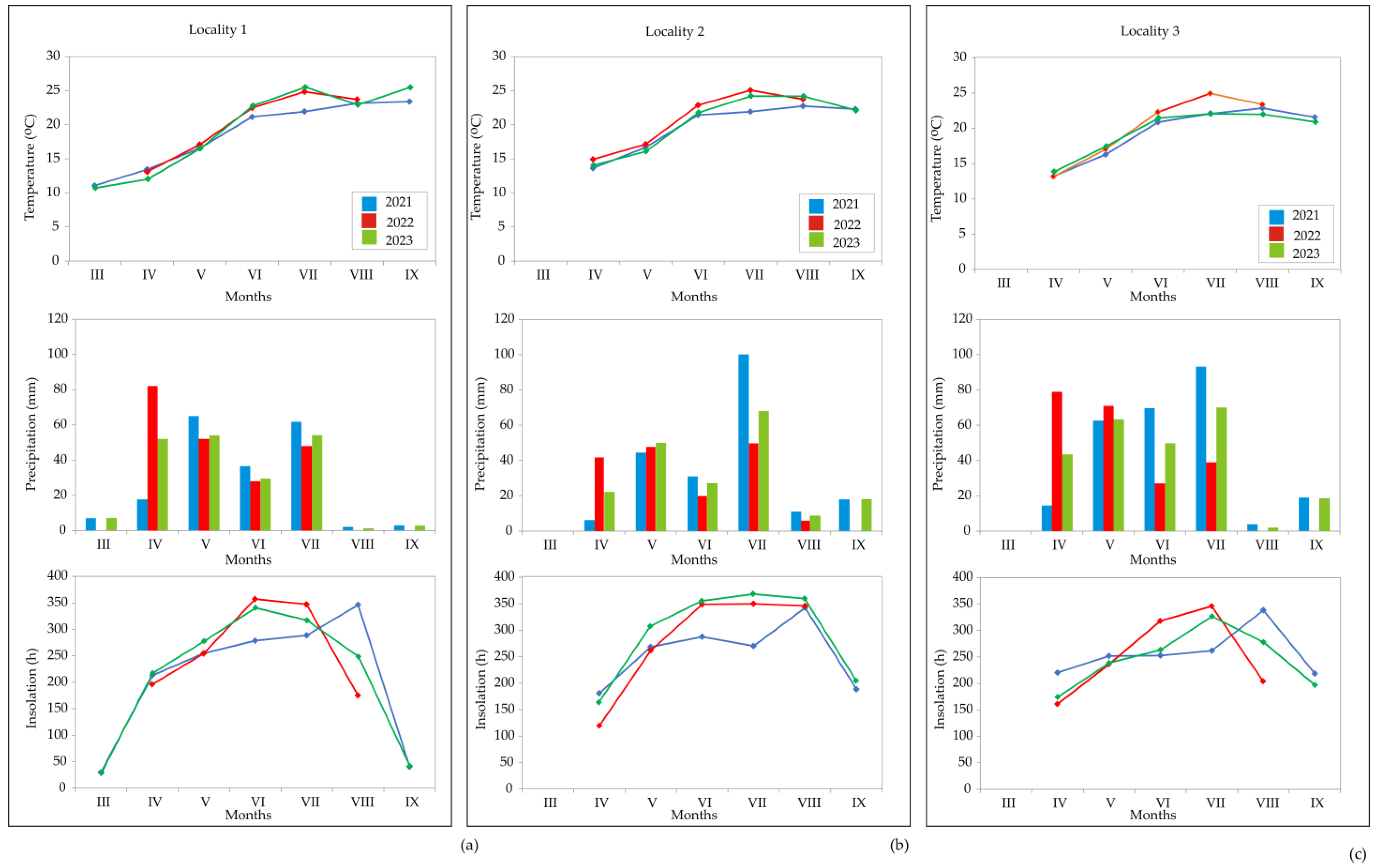
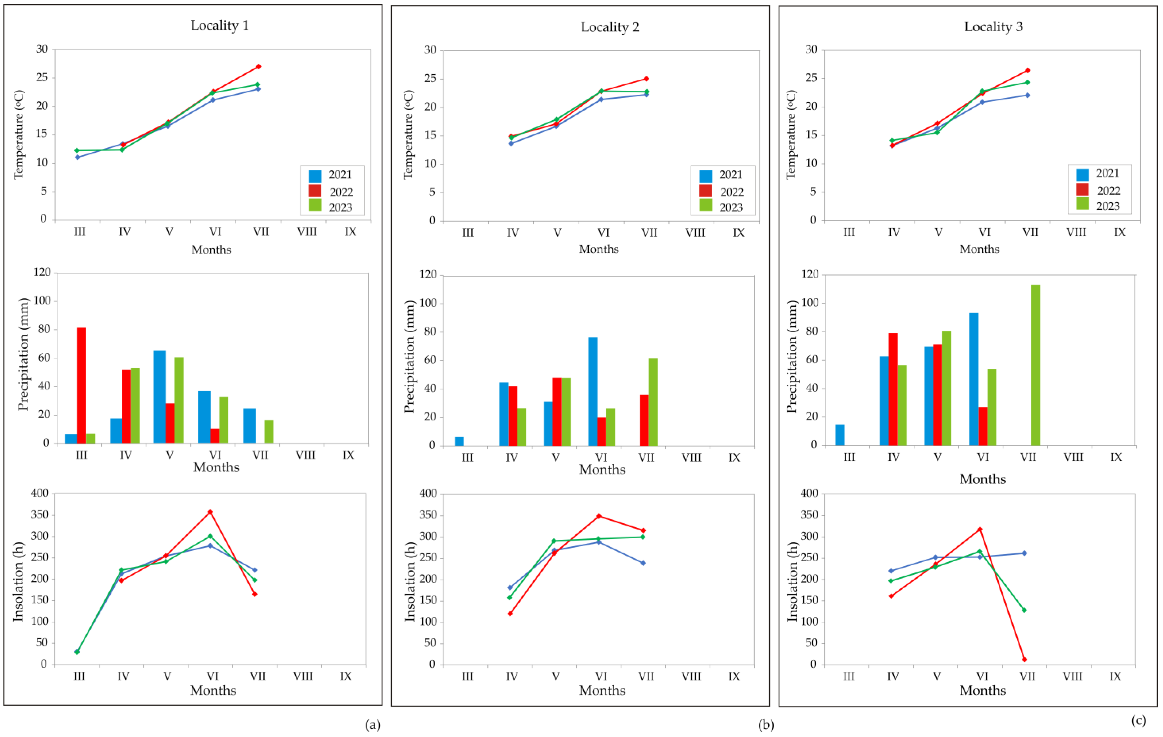
Field experiments were carried out at three localities in the northern part of Serbia (Pannonian plain), and their main characteristics are given in Figure 1. Bearing in mind that all three investigated localities are in the lowland part of Serbia, they were characterized by a similar microclimate, with small deviations in the temperature, precipitation, and insolation. A detailed analysis of the weather conditions for each plant during the vegetation period for all localities and years is given in Figure 2, Figure 3 and Figure 4.
Soil samples for analysis were taken from the top layer (0–30 cm) in the first year of investigation, in spring before the experiment setup. The content of CaCO3 in soil was determined by a volumetric method using a Scheibler calcimeter (Gabbrielli Technology srl, Calenzano (FI)—Italy) [55]. The northern location (L2) belongs to the group of low-carbonate soil (2.0% CaCO3), while the other two locations (L1 and L3) belong to the medium carbonate soil type (8.4% and 8.8%, respectively). Soil pH value was determined potentiometrically in KCl suspensions using an electronic pH meter (Cole-Parmer Instrument Co Ltd, Saint Neots, UK) [56]. All soils were neutral to slightly alkaline (pH between 7.1 and 7.3). Humus content was determined by the Tjurin method [57]. In all three locations, the humus content varied from 2.2 to 2.7%. The total nitrogen content was determined according to the Kjeldahl method [58], and varied between 0.14 and 0.18%. Available phosphorous and potassium were determined by the Al method [59]. Locations L2 and L3 were optimally provided with these two macro-elements, while at location L1, the provision was very high. These differences can be related to the previous crops: L1 alfalfa, L2 soybeans, and L3 corn. In addition, organic fertilizers (cow manure) were applied to L1 and L2, while location L3 was fertilized with chemical NPK fertilizers.

2.2.1. Weather Conditions during the Coriander Vegetation Period

The coriander vegetation period was the shortest, lasting between 103 and 121 days, depending on the weather conditions of the year and locality (Supplementary Table S1), as well as temperature distribution, precipitation, and insolation during the vegetation period (Figure 2).

2.2.2. Weather Conditions during the Aniseed Vegetation Period

The aniseed vegetation period lasted between 111 and 144 days, depending on the weather conditions of the year and locality (Supplementary Table S2), as well as the distribution of temperature, precipitation, and insolation during the vegetation period (Figure 3).

2.2.3. Weather Conditions during the Annual Caraway Vegetation Period

The annual caraway vegetation period was the longest; it lasted between 136 and 176 days, depending on the weather conditions of the year and locality (Supplementary Table S3), as well as the distribution of temperature, precipitation, and insolation during the vegetation period (Figure 4). It was noted that the vegetation period was longer in 2021, when lower mean daily temperatures were recorded. As the vegetation period is longer, the sum of sunny hours (insolation) is also greater.
The analysis of variance (ANOVA) was performed for the weather conditions of the year and locality (Supplementary Table S4) during the vegetation period for Apiaceae fruits’ essential oils (Figure 2, Figure 3 and Figure 4). According to the results presented in Supplementary Table S4, temperature, precipitation, and insolation parameters significantly influence plant responses, as indicated by low p-values (p < 0.05) in the F-tests. There was no statistical difference between Apiaceae family members in plant responses to weather variables (p > 0.05). However, the geographic location has a significant impact, with low p-values (p < 0.05). Both year and month significantly influence plant responses to weather, as shown by significant F-tests and low p-values (p < 0.05).

2.3. Essential Oil Extraction

After harvesting, coriander, aniseed, and caraway fruits were additionally dried in a thin layer in a ventilated place for several days. After that, dried fruits were ground in a mill, and a total of 100 g was used for distillation in an all-glass Clevenger-type apparatus with the addition of 500 mL of distilled water. According to the European Pharmacopoeia [51], coriander (Coriandri aetheroleum), aniseed (Anisi aetheroleum), and caraway (Carvi aetheroleum) essential oils were obtained by hydro distillation for 2 h. During the distillation, standards were added, for anise–camphor, and for coriander and caraway–fenchone. After filtration over anhydrous sodium sulfate, essential oils were further processed.

2.4. Gas Chromatographic–Mass Spectrometric Analysis

GC-MS analysis was performed using the following instruments: an Agilent 6890 gas GC, coupled with Agilent 5973 Network MSD in the positive EI regime, and an Agilent 19091S-433 HP-5MS silica capillary column. The terms and conditions were previously described in detail by Aćimović et al. [60]. In brief, helium was used as carrier gas with a flow rate of 0.1 mL min−1 measured at 210 °C. The column temperature was linearly programmed from 60 °C to 285 °C, with a temperature rise rate of 4.3 °C min−1. The temperature of the injector was 250 °C; the source temperature was 200 °C; the interface temperature was 250 °C; the ion source energy was 70 eV. Mass measurement was performed in the range of 40–350 Daltons with 11.47 scans per minute. The identification of the components was performed based on retention indices and by comparing the mass spectra with the spectra of the “Wiley” and “NIST” libraries. The percentages of the individual compounds were obtained from the percentages of the areas obtained by GC-FID analysis.

2.5. Statistical Analysis

Cluster analysis (CA) and principal component analysis (PCA) were employed to explore the chemical compositions of volatile compounds in various Apiaceae fruits’ essential oils. Embracing the CA and PCA plots of grouped samples offers a trend perspective for a deeper understanding of the essential oils’ feature profile. Color correlation analysis (CCA) was utilized to assess the similarity in the content of active compounds among the different samples. The trends of weather conditions were recorded in terms of temperature, precipitation, and insolation coefficients across the sampling period in the observed locations. The statistical analysis of the data was conducted using Statistica 10 software. Visual examination of the similarity among various samples was achieved through correlation analysis using R software version 4.0.3 (64-bit).

3. Results

3.1. Essential Oil Quality

The dominant compound in coriander essential oil was linalool, which ranged between 65.3 and 80.5% (on average 72.6%), followed by α-pinene (6.6–10.5%) and γ-terpinene (6.1–8.5%) (Table 1). Positive coefficients across all locations and environmental factors indicate that higher temperature, precipitation, and insolation lead to higher levels of linalool. The effect is particularly pronounced, with high KT, Kp, and Ki coefficients in all locations. Negative coefficients across all locations and environmental factors for α-pinene suggest that higher temperature, precipitation, and insolation are associated with lower levels of α-pinene. The effect is particularly pronounced for Kp and Ki in L2 and L3. Negative coefficients for γ-terpinene across all locations and environmental factors suggest that higher temperature, precipitation, and insolation are associated with lower levels of this compound.
The dominant compound in aniseed essential oil quality was trans-anethole, with a range between 92.4 and 96.8% (on average 94.9%) (Table 2). Positive values across all coefficients for trans-anethole content, except for Ki in L2, suggest that higher temperature and precipitation are associated with higher levels of trans-anethole. However, insolation seems to have a negative influence on trans-anethole levels, especially in L3.
In the caraway essential oil, the main compound was limonene (54.0–70.3%; on average 36.8%) and carvone (27.4–44.5%; on average 61.0%) (Table 3). The variability in limonene values across locations indicates the positive influence of temperature, precipitation, and insolation. The complex interactions between locations and the year of sampling for carvone were noticed across all coefficients (KT, Kp, and Ki).

3.2. Color Correlation Analysis

Correlation analysis was conducted to explore the resemblances in the active compound content among various essential oils from Apiaceae fruits. The findings are illustrated graphically in Figure 5, Figure 6 and Figure 7.
Taking into account that the main compound in coriander essential oil was linalool, from Figure 5 it can be noticed that it is negatively correlated with the rest of the observed compounds in coriander seeds. The highest negative correlations are between the contents of linalool and myrcene (r = −0.866), as well as the contents of linalool and limonene (r = −0.829). Furthermore, the content of linalool is negatively correlated with that of geranyl acetate and camphor (r = −0.859 and r = −0.809, respectively, statistically significant at the p < 0.001 level). On the other hand, the highest positive correlations are noticed between the contents of limonene and myrcene (r = 0.982), and myrcene and camphor (r = 0.949), which were statistically significant at the p = 0.001 level. The content of α-pinene is the most positively correlated with that of γ-terpinene (r = 0.828), camphor (r = 0.822), and camphene (r = 0.804), which were statistically significant at the p < 0.001 level. A high positive correlation is also observed between the contents of camphene and limonene, myrcene, and camphor (r = 0.953, r = 0.942, r = 0.915, respectively; p < 0.001).
The dominant compound in aniseed essential oil was trans-anethole. Observing Figure 6, it can be seen that it, as the most represented component, does not have statistically significant correlations with the other components of the essential oil.
It can be observed that most of the aniseed compounds have positive correlations except cis-dihydro carvone and trans-anethole, which have negative correlations with other observed compounds; Figure 6.
The highest negative correlations are between the contents of cis-dihydro carvone and β-himachalene (r = −0.956), α-himachalene (r = −0.955), methyl chavicol (r = −0.935), γ-himachalene (r = −0.933), trans-muurola-4(14),5-diene (r = −0.933), and β-bisabolene (r = −0.907), which were statistically significant at the p < 0.001 level. On the other hand, high positive correlations are observed between the content of methyl chavicol, which is positively correlated with that of β-himachalene and α-himachalene (r = 0.959 and r = 0.904, respectively), and were statistically significant at the p < 0.001 level. It can be also noticed that the content of α-himachalene is positively correlated with that of β-bisabolene (r = 0.969), β-himachalene (r = 0.966), γ-himachalene (r = 0.955), trans-muurola-4(14),5-diene (r = 0.951), and α-zingiberene (r = 0.918), which were statistically significant at the p < 0.001 level. Similarly, the content of γ-himachalene is positively correlated with that of β-bisabolene (r = 0.962), β-himachalene (r = 0.936), trans-muurola-4(14), 5-diene (r = 0.921), and α-zingiberene (r = 0.905), which were statistically significant at the p < 0.001 level. The content of α-zingiberene is positively correlated with the contents of β-bisabolene and β-himachalene (r = 0.956, r = 0.935, respectively), while the content of β-himachalene is positively correlated with that of β-bisabolene (r = 0.938, p < 0.001).
Figure 7 shows that, unlike coriander and aniseed, the correlations between compounds observed in annual caraway samples exhibit diverse correlations.
There is a negative correlation between the contents of myrcene and neo iso-dihydro carveol (r = −0.869; p < 0.001), limonene (r = −0.700; p < 0.001), and p-cymene (r = −0.669; p < 0.001), with that of cis-limonene oxide and carvone (r = 0.759 and r = 0.712, respectively, which were statistically significant at the p < 0.001 level). On the other hand, the content of p-cymene is the most positively correlated with that of neo iso-dihydro carveol (r = 0.869) and limonene (r = 0.722), and the most negatively correlated with that of carvone (r = −0.864), which were statistically significant at the p < 0.001 level. There is also a high positive correlation between the contents of limonene and neo iso-dihydro carveol and trans-carveol (r = 0.887 and r = 0.743, respectively, and statistically significant at p < 0.001), while a negative correlation exists between the contents of limonene and carvone (r = −0.941). Furthermore, the content of carvone is also negatively correlated with the contents of neo iso-dihydro carveol and trans-carveol (r = −0.935, r = −0.774, respectively; p < 0.001).

3.3. Cluster Analysis

The cluster analysis conducted on coriander samples revealed two main clusters; Figure 8. In the first cluster were samples L1/2021, L3/2021, L3/2023, and L2/2021. The second cluster comprised samples L1/2022, L3/2022, L1/2023-3, L2/2023, and L2/2022. The linkage distance between these clusters was close to 28.
Figure 9 illustrates the cluster analysis of aniseed samples and highlights three primary clusters. The first cluster comprised samples L1/2021, L2/2021, L3/2021, and L1/2023. The second cluster included samples L1/2022, L2/2022, and L3/2022, while the third cluster encompassed samples L2/2023 and L3/2023. The linkage distance between the observed clusters was nearly 13.
The dendrogram from the cluster analysis for the observed annual caraway samples, shown in Figure 10, revealed three primary clusters. The first cluster comprised samples L1/2021, L3/2021, L3/2023, and L2/2021. The second cluster encompassed samples L1/2023, L2/2023, and L3/2022. Lastly, the third cluster consisted solely of samples L1/2022 and L2/2022. Notably, the linkage distance between the main clusters, depicted on the abscissa axis, was approximately 35.
The cluster analysis revealed a distinct organization of the samples based on their respective years rather than their geographical locations in most cases. This underscores the significant influence of the year and, consequently, the prevailing weather conditions, as a more prominent factor shaping the composition of the samples, rather than the sampling locations.

3.4. Principal Component Analysis

Based on the measured concentration shown in Table 1, Table 2 and Table 3, PCA was also performed; Figure 11, Figure 12 and Figure 13.
The PCA biplot of the relationships among detected compounds in the coriander samples, and year and sampling location (Figure 11), revealed that the first two principal components explained 86.06% of the total variance in the observed parameters. According to the results of the PCA, the contents of camphene, myrcene, limonene, γ-terpinene, linalool, camphor, and geranyl acetate (which contributed 12.99%, 13.58%, 13.25%, 11.60%, 10.52%, 12.84%, and 8.25% of the total variance, based on correlations, respectively) showed a positive influence on PC1. On the other hand, the contents of α-pinene (18.66%), β-pinene (68.03%), and p-cymene (8.51%) positively influenced the calculation of PC2, (Figure 12). The same trend of the sample distribution as for Figure 10 and Figure 11 is noticed in Figure 12.
Furthermore, Figure 12 shows the PCA biplot of the relationships among detected compounds in the aniseed samples, and year and sampling location, and reveals that the first two principal components explained 89.38% of the total variance in the observed parameters. According to the results of the PCA, the contents of cis-dihydro carvone, methyl chavicol, α-himachalene, γ-himachalene, trans-muurola-4(14),5-diene, α-zingiberene, β-himachalene, and β-bisabolene (which contributed 11.25%, 10.84%, 11.99%, 11.89%, 10.19%, 11.43%, 11.92%, and 11.94% of the total variance, based on correlations, respectively) showed a positive influence on PC1. On the other hand, the contents of trans-anethole (51.65%), trans-muurola-4(14),5-diene (10.19%), and pseudoisoeugenyl 2-methylbutyrate (23.47%) positively influenced the calculation of PC2 (Figure 11). Similarly to Figure 10, the separation within samples is also noticed in the PCA diagram, where the samples from 2021 are grouped on the left side of the diagram, the samples from 2022 are organized on the right side, while the samples harvested from 2023 are positioned in the middle of Figure 12.
The PCA biplot of the relationships among detected compounds in the annual caraway samples, and year and sampling location, revealed that the first two principal components explained 78.99% of the total variance in the observed parameters. According to the results of the PCA, the contents of myrcene, p-cymene, limonene, neo iso-dihydro carveol, and carvone (which contributed 14.04%, 14.87%, 16.35%, 18.75% and 17.41% of the total variance, based on correlations, respectively) showed a positive influence on PC1. On the contrary, the contents of cis-limonene oxide (22.61%), trans-limonene oxide (32.67%), trans-carveol (17.87%), and trans-caryophyllene (21.13%) positively influenced the calculation of PC2 (Figure 10). The parting within samples could be seen from the PCA figure, where the samples from 2021 are grouped on the left side of the diagram, the samples from 2022 are organized on the right side, while the samples harvested from 2023 are grouped in the middle of Figure 13.
The organization of the samples in Figure 11, Figure 12 and Figure 13, highlights the considerable impact of the year, and thus, the weather conditions, as a more dominant factor in shaping the composition of the samples, rather than the locations where the samples were taken for all observed Apiaceae fruits.

4. Discussion

Coriander, anise, and caraway are plants from the Apiaceae family whose fruits are used as raw materials in the food and pharmaceutical industries, or for essential oil extraction. However, in both cases, essential oil composition is the main criterion for quality evaluation.
In the essential oil of coriander fruits, linalool is noted as the dominant compound in all the germplasm lines (its content ranged between 16.59 and 96.69%), while ten other compounds, namely α-pinene, camphene, β-pinene, myrcene, cymene, γ-terpinene, 4-allyl anisole, geraniol, anethole and geranyl acetate, were also detected in significant amounts [61]. Additionally, the ISO 3516 standard [52] for coriander essential oil recommends linalool content of between 65 and 78%. As can be seen, the linalool content varied from 65.3 to 80.5%, and it was noticed that higher temperature, precipitation, and insolation lead to higher levels of linalool. There are reports that climatic factors have an effect on the quantity of essential oil and dry matter yield of coriander [62], as well as development and morphological characteristics [63]. However, previous results showed that coriander has favorable growth conditions in Serbia [64]. Chandrakala et al. [65] investigated cluster analysis using Ward’s method based on the value of seed yield and essential oil composition of 48 coriander plants, resulting in six separate groups. Furthermore, Sawargaonkar et al. [66] examined the genotype–environment interaction and stability of indigenous coriander genotypes for seed yield across various agro-climatic zones in Chhattisgarh using PCA. The significance of the first two principal component axes was observed, explaining 67% of the total genotype–environment interaction. On the other hand, Talebi et al. [67] reported that linalool chemotypes, distinguished by a particular chemical compound, formed four primary clusters based on the composition of essential oil extracted from coriander seeds. Clustering analyses revealed a notable disparity between Iranian and Iraqi coriander populations. These results were confirmed by the PCA biplot, where the first two components explained over 91% of the total variances.
The correlation analysis for coriander samples reveals a significant negative correlation between linalool and other compounds in coriander essential oil, which is particularly notable with myrcene and limonene. There are strong positive correlations between certain compounds such as limonene and myrcene, and α-pinene with camphene, γ-terpinene, and camphor. These findings highlight the complex interplay of compounds within coriander essential oil, shedding light on their relationships and potential implications for its aromatic and therapeutic properties. Freires and colleagues [68] extracted the essential oil from coriander and found a strong synergistic effect among its anti-Candida compounds, as evidenced by decreased antifungal activity upon fractionation.
Aniseed essential oil is characterized by the high content of trans-anethole (92.4–96.8%), which is responsible for its sweet taste, and has broad application as a flavoring agent in foods and cosmetics [69]. The ISO 3475 standard prescribes the content of this compound in aniseed essential oil to be between 87 and 94% [53]. Results from this study indicate that temperature and precipitation are associated with higher levels of trans-anethole. This is in agreement with the statement that drought stress before harvesting can regulate the production of bioactive compounds in first-line trans-anethole [70,71]. Iannarelli et al. [72] revealed the relationship between different samples of aniseed and star anise based on essential oil and phenolic compositions using PCA, wherein a data matrix comprising 37 essential oils and 33 methanolic extracts was analyzed to identify key constituents influencing variability, and Pearson’s correlation coefficients were calculated to determine associations with climatic parameters across three cultivation seasons in Castignano. Results indicated that aniseed grown in Castignano contains more elevated essential oil and phenolic compounds than commercial samples.
Bettaieb Rebey et al. [73] evaluated aniseeds obtained from two geographic origins, Tunisia and Egypt, regarding their biochemical composition and the antioxidant potential of their extracts. Similarly to the presented results (trans-anethole 92.4 and 96.8%), trans-anethole was revealed as the dominant constituent, varying from 94.30 to 90.41%, which also suggests that aniseed could serve as a promising natural antioxidant source and a potential food additive.
Most compounds in aniseed exhibit positive correlations, except for cis-dihydro carvone and trans-anethole, which show negative correlations with other observed compounds. These findings underscore the intricate relationships among the compounds present in aniseed essential oil and provide insights into their potential synergistic effects and applications. Caraway essential oil quality is determined by the contents of carvone and limonene, as well as their ratio [9,60]. Although it is stated that caraway essential oil contains more than 30 compounds, carvone and limonene compromise over 90%, while other compounds are present in small percentages or in trace quantities [74,75,76]. Carvone and limonene are structurally very similar, but their fragrances are totally different; carvone possesses a warm–herbal–spicy–pungent odor characteristic for caraway, while limonene provides a lemon-like odor [77,78].
Practically, the biosynthetic pathway of carvone and limonene starts from the same precursor (geranyl diphosphate); this is cyclized into limonene under the action of the limonene synthase enzyme, which is then transformed into carvone via trans-carveol [79]. Therefore, during the ripening of caraway fruits, the percentage of limonene in the essential oil decreased while that of carvone increased [80]. Nevertheless, this study highlighted the higher content of limonene in comparison to that of carvone (54.0–70.3% and 27.4–44.5%, respectively). However, caraway cultivation is endangered by ongoing climatic changes [81], so new breeding projects are necessary to secure future cultivation of this plant. Moreover, climate change requires a change in the sowing date of caraway [82]. Solberg et al. [83] indicated that location significantly influenced the chemical composition of essential oils in annual caraway fruits, as evidenced by both PCA and ANOVA analyses. The study revealed the contents of major compounds, such as carvone and limonene, constituted approximately 14% and 70% of the total peak area, respectively, with additional compounds such as p-cymene, trans-β-ocimene, α-terpinolene, and myrcene detected at levels above or around 2%, totaling 47 compounds detected, of which 40 were identified. However, these minor compounds have no influence on the caraway essential oil quality.
A negative correlation is observed between myrcene and p-cymene, limonene, and neo iso-dihydro carveol in caraway samples. Conversely, myrcene demonstrates positive correlations with cis-limonene oxide and carvone. p-cymene exhibits the highest positive correlation with limonene and neo iso-dihydro carveol, and the most negative correlation with carvone. Additionally, limonene shows high positive correlations with trans-carveol and neo iso-dihydro carveol, but a negative correlation with carvone. Carvone is also negatively correlated with trans-carveol and neo iso-dihydro carveol. These correlations provide insights into the interplay among these compounds and their potential implications.
Bosko et al. [84] noted a negative correlation between the total oil content and the proportion of its individual constituents of caraway fruits’ essential oil from different cultivations and across multiple years. Notably, as the oil content increased, the concentration of limonene decreased in favor of carvone. Similarly, Seidler-Łożykowska et al. [85] revealed in various caraway cultivars a consistent negative correlation between these two compounds; higher carvone levels in the oil consistently coincided with lower limonene content.
Apart from these plants, there are reports that climate conditions influence essential oil quality in other plants from the Apiaceae family, such as Angelica glauca [86], Anethum graveolens [87], and Petroselinum crispum [88], as well as plants from Lamiaceae (lavandin, sage, peppermint, and wild mint) [45,46,48,89] and Asteraceae (immortelle, Mexican mint marigold, Yakut wormwood) [90,91,92]. Bearing in mind that climate change is inevitable, this issue should be given much more attention. This will certainly indicate a potential change in the area of cultivation, as is the case with Mediterranean species such as lavender and immortelle, which are now successfully cultivated in continental areas of Serbia [93,94].
Additionally, this study indicates the problem with caraway cultivation due to global warming, i.e., the obtained essential oil quality is significantly impaired. The fact that biennial caraway has a higher carvone to limonene ratio is known. However, it is also known that the accumulation of limonene and carvone in the fruits is a developmentally regulated process [79]. As high temperatures cause premature ripening of caraway fruits, they also change the activity levels of biosynthetic enzymes, and there is a disturbance in the accumulation of carvone. Moreover, an essential oil that does not meet the ISO 8896 standard criteria has a low market value [54]. However, the amount and composition of essential oil are genetically conditioned and depend on climatic conditions during fruit formation and ripening [74]. Moreover, pollination, as a key factor for yield, is negatively affected by cold or wet weather because pollinator activity and efficiency are low [94,95]. This causes many other consequences, such as the reduction in thousand seed weight and germination [96]. With all this in mind, annual caraway is indicated to be the species from the Apiaceae family that is the most sensitive to climate conditions (temperature, precipitation, and insolation).

5. Conclusions

The presented study investigated the influence of climate conditions on the quality of essential oils extracted from three Apiaceae fruits—caraway, aniseed, and coriander—over three successive years across multiple locations in Serbia.
Significant variations in essential oil compositions were found to be attributed to both geographical and temporal factors. Statistical analyses revealed intricate patterns of com-pound correlations within each fruit type.
Linalool dominated coriander essential oil, ranging from 65.3% to 80.5%. Positive coefficients across locations and environmental factors indicate that higher temperature, precipitation, and insolation correlate with increased linalool levels, while the opposite effect was noticed for α-pinene levels. Correlation analysis confirms the negative correlation between the contents of linalool and α-pinene.
trans-anethole emerged as the dominant compound in aniseed essential oil, ranging from 92.4% to 96.8%. Positive coefficients indicate that higher temperatures and precipitation are linked to increased trans-anethole levels. However, insolation appears to negatively impact trans-anethole levels. According to correlation analysis, trans-anethole is negatively correlated with the rest of the observed compounds in aniseed essential oil.
Limonene (54.0–70.3%) and carvone (27.4–44.5%) were identified as the primary compounds in caraway essential oil. Variability in limonene values across locations suggests a positive correlation with temperature, precipitation, and insolation. However, complex interactions between locations and sampling years for carvone were observed across all coefficients. The correlation analysis revealed a high negative correlation between the contents of limonene and carvone.
PCA and cluster analysis emphasized the significant influence of the year and, consequently, the weather conditions on shaping the composition of the samples, as opposed to the specific locations where the samples were collected across all observed Apiaceae fruits.
Notably, the findings underscored the predominant influence of the year of cultivation on essential oil compositions, highlighting the crucial role of weather conditions in shaping chemical profiles. According to the presented results, it can be concluded that climate conditions affect the quality of the essential oils extracted from Apiaceae fruits.
These insights have implications for optimizing cultivation practices to enhance essential oil yield and quality, with potential applications in pharmaceuticals, cosmetics, and food processing. This study contributes to advancing the understanding of the complex relationship between climate conditions and essential oil quality, offering valuable insights for sustainable agricultural practices and downstream industries.

Supplementary Materials

The following supporting information can be downloaded at: https://www.mdpi.com/article/10.3390/horticulturae10060577/s1, Table S1: Length of coriander vegetation period, average temperature, sum of precipitation and insolation at three locations where the experiments were performed; Table S2: Length of aniseed vegetation period, average temperature, sum of precipitation and insolation at three locations where the experiments were performed; Table S3: Length of caraway vegetation period, average temperature, sum of precipitation and insolation at three locations where the experiments were performed; Table S4: ANOVA analysis for weather conditions for coriander, aniseed, and caraway.

Author Contributions

Conceptualization, B.L., L.P. and M.A.; methodology, M.P. and A.J.; software, L.P. and B.L.; validation, M.P. and A.J.; formal analysis, M.A.; investigation, M.A.; resources, M.A.; writing—original draft preparation, B.L., L.P. and M.A.; writing—review and editing, B.L., L.P., M.A., D.Š. and M.R.; visualization, D.Š. and M.R.; supervision, D.Š. and M.R.; project administration, M.A.; funding acquisition, B.L., L.P., M.A., M.P., A.J., D.Š. and M.R. All authors have read and agreed to the published version of the manuscript.

Funding

This research was supported by the Ministry of Science, Technological Development and Innovation of the Republic of Serbia, grant numbers: 451-03-66/2024-03/200134 (B.L., D.Š. and M.R.), 451-03-66/2024-03/200051 (L.P. and A.J.), 451-03-66/2024-03/200032 (M.A.).

Data Availability Statement

Data are contained within the article and Supplementary Materials.

Conflicts of Interest

The authors declare no conflicts of interest.

References

  1. Aćimović, M.G. Nutraceutical potential of Apiaceae. In Bioactive Molecules in Food. Reference Series in Phytochemistry; Mérillon, J.M., Ramawat, K., Eds.; Springer: Cham, Switzerland, 2019; pp. 1311–1341. [Google Scholar] [CrossRef]
  2. Nouioura, G.; Lyoussi, B.; Derwich, E. Rekindling desire: Unveiling the Aphrodisiac potential of Apiaceae Elixirs. Phytomed. Plus 2024, 4, 100530. [Google Scholar] [CrossRef]
  3. Sharma, N.; Tan, M.A.; An, S.S.A. Mechanistic aspects of Apiaceae family spices in ameliorating Alzheimer’s disease. Antioxidants 2021, 10, 1571. [Google Scholar] [CrossRef]
  4. Aćimović, M.; Kostadinović, L.M.; Popović, S.; Dojčinović, N. Apiaceae seeds as functional food. J. Agric. Sci. 2015, 60, 237–246. [Google Scholar] [CrossRef]
  5. Sayed-Ahmad, B.; Talou, T.; Saad, Z.; Hijazi, A.; Merah, O. The Apiaceae: Ethnomedicinal family as source for industrial uses. Ind. Crops Prod. 2017, 109, 661–671. [Google Scholar] [CrossRef]
  6. Li, X.M.; Tian, S.L.; Pang, Z.C.; Shi, J.Y.; Feng, Z.S.; Zhang, Y.M. Extraction of Cuminum cyminum essential oil by combination technology of organic solvent with low boiling point and steam distillation. Food Chem. 2009, 115, 1114–1119. [Google Scholar] [CrossRef]
  7. Boudraa, H.; Kadri, N.; Mouni, L.; Madani, K. Microwave-assisted hydrodistillation of essential oil from fennel seeds: Optimization using Plackett–Burman design and response surface methodology. J. Appl. Res. Med. Aromat. Plants 2021, 23, 100307. [Google Scholar] [CrossRef]
  8. Jayakodi, Y.; Thiviya, P.; Gamage, A.; Evon, P.; Madhujith, T.; Merah, O. Antioxidant activity of essential oils extracted from Apiaceae family plants. Agrochemicals 2024, 3, 57–69. [Google Scholar] [CrossRef]
  9. Gajić, I.; Stanojević, L.; Dinić, A.; Stanojević, J.; Nikolić, L.; Nikolić, V.; Savić, V. The chemical composition of the essential oil and volatile compounds from caraway fruit (Carum carvi L.) extracted by headspace-solid phase microextraction and the antioxidant activity. Adv. Technol. 2020, 9, 37–43. [Google Scholar] [CrossRef]
  10. Gladikostić, N.; Ikonić, B.; Teslić, N.; Zeković, Z.; Božović, D.; Putnik, P.; Bursać Kovačević, D.; Pavlić, B. Essential oils from Apiaceae, Asteraceae, Cupressaceae and Lamiaceae families grown in Serbia: Comparative chemical profiling with in vitro antioxidant activity. Plants 2023, 12, 745. [Google Scholar] [CrossRef]
  11. Mahendra, P.; Bisht, S. Coriandrum sativum: A daily use spice with great medicinal effect. Pharmacogn. J. 2011, 3, 84–88. [Google Scholar] [CrossRef]
  12. Mohammed, F.S.; Uysal, I.; Sevindik, E.; Dogan, M.; Sevindik, M. Pimpinella Species (Anise): Traditional use, mineral, nutrient and chemical contents, biological activities. Int. J. Tradit. Complement. Med. Res. 2023, 4, 97–105. [Google Scholar] [CrossRef]
  13. Naquibuddin, M.; Hamiduddin, S.M.; Kowser, T. Zeera siyah (Carum carvi Linn.): A culinary spice and an important drug of unani medicine. Int. J. Herb. Med. 2021, 9, 101–105. [Google Scholar]
  14. Al-Khayri, J.M.; Banadka, A.; Nandhini, M.; Nagella, P.; Al-Mssallem, M.Q.; Alessa, F.M. Essential oil from Coriandrum sativum: A review on its phytochemistry and biological activity. Molecules 2023, 28, 696. [Google Scholar] [CrossRef] [PubMed]
  15. Sobhani, Z.; Mohtashami, L.; Amiri, M.S.; Ramezani, M.; Emami, S.A.; Simal-Gandara, J. Ethnobotanical and phytochemical aspects of the edible herb Coriandrum sativum L. J. Food Sci. 2022, 87, 1386–1422. [Google Scholar] [CrossRef]
  16. Jeya, K.R.; Veerapagu, M.; Sangeetha, V. Antimicrobial and antioxidant properties of Coriandrum sativum L. seed essential oil. Am. J. Essent. Oils Nat. Prod. 2019, 7, 06–10. [Google Scholar]
  17. Sriti, J.; Bettaieb, I.; Bachrouch, O.; Talou, T.; Marzouk, B. Chemical composition and antioxidant activity of the coriander cake obtained by extrusion. Arab. J. Chem. 2019, 12, 1765–1773. [Google Scholar] [CrossRef]
  18. Hajlaoui, H.; Arraouadi, S.; Noumi, E.; Aouadi, K.; Adnan, M.; Khan, M.A.; Kadri, A.; Snoussi, M. Antimicrobial, antioxidant, anti-acetylcholinesterase, antidiabetic, and pharmacokinetic properties of Carum carvi L. and Coriandrum sativum L. essential oils alone and in combination. Molecules 2021, 26, 3625. [Google Scholar] [CrossRef] [PubMed]
  19. Aouini, J.; Bachrouch, O.; Msaada, K.; Fares, N.; Jallouli, S.; Médiouni Ben Jemâa, J.; Soliman, T.M.A.; Sriti, J. Screening of antimicrobial and insecticidal properties of essential oils extracted from three Tunisian aromatic and medicinal plants. Int. J. Environ. Health Res. 2024, 34, 923–933. [Google Scholar] [CrossRef]
  20. Kajal, A.; Singh, R. Coriandrum sativum seeds extract mitigate progression of diabetic nephropathy in experimental rats via AGEs inhibition. PLoS ONE 2019, 14, e0213147. [Google Scholar] [CrossRef]
  21. Samojlik, I.; Lakić, N.; Mimica-Dukić, N.; Đaković-Švajcer, K.; Božin, B. Antioxidant and hepatoprotective potential of essential oils of coriander (Coriandrum sativum L.) and caraway (Carum carvi L.) (Apiaceae). J. Agric. Food Chem. 2010, 58, 8848–8853. [Google Scholar] [CrossRef]
  22. Özbek, H.; Kırmızı, N.İ.; Cengiz, N.; Erdoğan, E. Hepatoprotective effects of Coriandrum sativum essential oil against acute hepatotoxicity induced by carbon tetrachloride on rats. Acta Pharm. Sci. 2016, 54, 35–40. [Google Scholar] [CrossRef]
  23. Mandal, S.; Mandal, M. Coriander (Coriandrum sativum L.) essential oil: Chemistry and biological activity. Asian Pac. J. Trop. Biomed. 2015, 5, 421–428. [Google Scholar] [CrossRef]
  24. Acimovic, M.; Tesevic, V.; Todosijevic, M.; Djisalov, J.; Oljaca, S. Compositional characteristics of the essential oil of Pimpinella anisum and Foeniculum vulgare grown in Serbia. Bot. Serb. 2015, 39, 4–19. [Google Scholar]
  25. Shojaii, A.; Fard, M.A. Review of pharmacological properties and chemical constituents of Pimpinella anisum. Int. Sch. Res. Netw. 2012, 2012, 510795. [Google Scholar] [CrossRef] [PubMed]
  26. Sun, W.; Shahrajabian, M.H.; Cheng, Q. Anise (Pimpinella anisum L.), a dominant spice and traditional medicinal herb for both food and medicinal purposes. Cogent Biol. 2019, 5, 1673688. [Google Scholar] [CrossRef]
  27. Bettaieb Rebey, I.; Aidi Wannes, W.; Ben Kaab, S.; Bourgou, S.; Saidani Tounsi, M.; Ksouri, R.; Laure Fauconnier, M. Bioactive compounds and antioxidant activity of Pimpinella anisum L. accessions at different ripening stages. Sci. Hortic. 2019, 246, 453–461. [Google Scholar] [CrossRef]
  28. El-Sayed, S.M.; Ahmed, N.; Selim, S.; Al-Khalaf, A.A.; El Nahhas, N.; Abdel-Hafez, S.H.; Sayed, S.; Emam, H.M.; Ibrahim, M.A.R. Acaricidal and antioxidant activities of anise oil (Pimpinella anisum) and the oil’s effect on protease and acetylcholinesterase in the two-spotted spider mite (Tetranychus urticae Koch). Agriculture 2022, 12, 224. [Google Scholar] [CrossRef]
  29. Bakhshi, M.; Kamalinejad, M.; Shokri, M.; Forouzani, G.; Heidari, F.; Tofangchiha, M. In vitro antibacterial effect of Pimpinella anisum essential oil on Enterococcus faecalis, Lactobacillus casei, Actinomyces naeslundii, and Aggregatibacter actinomycetemcomitans. Folia Medica 2022, 64, 799–806. [Google Scholar] [CrossRef] [PubMed]
  30. Dumitrescu, E.; Muselin, F.; Tîrziu, E.; Folescu, M.; Dumitrescu, C.S.; Orboi, D.M.; Cristina, R.T. Pimpinella anisum L. essential oil a valuable antibacterial and antifungal alternative. Plants 2023, 12, 2428. [Google Scholar] [CrossRef]
  31. Iannarelli, R.; Marinelli, O.; Morelli, M.B.; Santoni, G.; Amantini, C.; Nabissi, M.; Maggi, F. Aniseed (Pimpinella anisum L.) essential oil reduces pro-inflammatory cytokines and stimulates mucus secretion in primary airway bronchial and tracheal epithelial cell lines. Ind. Crops Prod. 2018, 114, 81–86. [Google Scholar] [CrossRef]
  32. Aćimović, M.; Milić, N. Perspectives of the Apiaceae hepatoprotective effects—A review. Nat. Prod. Commun. 2017, 12, 309–317. [Google Scholar] [CrossRef] [PubMed]
  33. European Medicines Agency. Assessment report on Pimpinella anisum L., fructus and Pimpinella anisum L., aetheroleum. Committee on Herbal Medicinal Products (HMPC), EMEA/HMPC/321181/2012. Available online: https://www.ema.europa.eu/en/documents/herbal-report/final-assessment-report-pimpinella-anisum-l-fructus-and-pimpinella-anisum-l-aetheroleum_en.pdf (accessed on 24 March 2024).
  34. Assami, K.; Chemat, S.; Meklati, B.Y.; Chemat, F. Ultrasound-assisted aromatisation with condiments as an enabling technique for olive oil flavouring and shelf life enhancement. Food Anal. Methods 2016, 9, 982–990. [Google Scholar] [CrossRef]
  35. Tomović, V.; Šojić, B.; Savanović, J.; Kocić-Tanackov, S.; Pavlić, B.; Jokanović, M.; Đorđević, V.; Parunović, N.; Martinović, A.; Vujadinović, D. Caraway (Carum carvi L.) essential oil improves quality of dry-fermented sausages produced with different levels of sodium nitrite. J. Food Process. Preserv. 2021, 46, e15786. [Google Scholar] [CrossRef]
  36. Ahmad, B.S.; Talou, T.; Straumite, E.; Sabovics, M.; Kruma, Z.; Saad, Z.; Hijazi, A.; Merah, O. Protein bread fortification with cumin and caraway seeds and by-product flour. Foods 2018, 7, 28. [Google Scholar] [CrossRef] [PubMed]
  37. Kostova, I.; Vlaseva, R.; Ivanova, M.; Damyanova, S.; Ivanova, N.; Stoyanova, A. Studying the possibilities of using of essential oils in dairy products. 2. Caraway (Carum carvi L.). Indian J. Appl. Res. 2015, 5, 83–85. [Google Scholar]
  38. Trifan, A.; Aprotosoaie, A.C.; Cioancă, O.; Hăncianu, M.; Jităreanu, A.; Gille, E.; Miron, A. Antioxidant activity of essential oil from Carum carvi L. cultivated in north-eastern Romania. Rev. Med. Chir. Soc. Med. Nat. 2016, 120, 732–736. [Google Scholar]
  39. Seidler-Łożykowska, K.; Kędzia, B.; Karpińska, E.; Bocianowski, J. Microbiological activity of caraway (Carum carvi L.) essential oil obtained from different origin. Acta Sci. Agron. 2013, 35, 495–500. [Google Scholar] [CrossRef]
  40. Kamaleeswari, M.; Nalini, N. Dose–response efficacy of caraway (Carum carvi L.) on tissue lipid peroxidation and antioxidant profile in rat colon carcinogenesis. J. Pharm. Pharmacol. 2006, 58, 1121–1130. [Google Scholar] [CrossRef] [PubMed]
  41. Alasmari, E.A.; Mehanna, A.S. Cytotoxic effects of S-(+)-carvone on selected human cancer cell lines. J. Anal. Pharm. Res. 2019, 8, 149–158. [Google Scholar]
  42. Eidi, A.; Eidi, M.; Haeri Rohani, A.; Basati, F. Hypoglycemic effect of ethanolic extract of Carum carvi L. seeds in normal and streptozotocin-induced diabetic rats. J. Med. Plants 2010, 9, 106–113. [Google Scholar]
  43. Haidari, F.; Seyed-Sadjadi, N.; Taha-Jalali, M.; Mohammed-Shahi, M. The effect of oral administration of Carum carvi on weight, serum glucose, and lipid profile in streptozotocininduced diabetic rats. Saudi Med. J. 2011, 32, 695–700. [Google Scholar] [PubMed]
  44. European Medicines Agency. Herbal Medicine: Summary for the Public—Caraway Fruit Carum carvi L., Fructus. Available online: https://www.ema.europa.eu/en/documents/herbal-summary/caraway-fruit-summary-public_en.pdf (accessed on 23 March 2024).
  45. Karalija, E.; Dahija, S.; Tarkowski, P.; Zeljković, S.Ć. Influence of climate-related environmental stresses on economically important essential oils of Mediterranean Salvia sp. Front. Plant Sci. 2022, 13, 864807. [Google Scholar] [CrossRef] [PubMed]
  46. Grulova, D.; De Martino, L.; Mancini, E.; Salamon, I.; De Feo, V. Seasonal variability of the main components in essential oil of Mentha× piperita L. J. Sci. Food Agr. 2015, 95, 621–627. [Google Scholar] [CrossRef] [PubMed]
  47. Yavari, A.; Nazeri, V.; Sefidkon, F.; Hassani, M.E. Influence of some environmental factors on the essential oil variability of Thymus migricus. Nat. Prod. Commun. 2010, 5, 943–948. [Google Scholar] [CrossRef] [PubMed]
  48. Aćimović, M.; Lončar, B.; Stanković Jeremić, J.; Cvetković, M.; Pezo, L.; Pezo, M.; Todosijević, M.; Tešević, V. Weather conditions influence on lavandin essential oil and hydrolate quality. Horticulturae 2022, 8, 281. [Google Scholar] [CrossRef]
  49. Seidler-Lozykowska, K. Effect of the selected weather conditions on essential oil, α-bisabolol and chamazulene content in flower heads of chamomile [Chamomilla recutita (L.) Rausch.]. J. Essent. Oil Res. 2010, 22, 45–48. [Google Scholar] [CrossRef]
  50. Mohamadi, N.; Rajaei, P. Effects of different ecological condition on the quality and quantity of essential oils of Artemisia persica Boiss. Populations from Kerman, Iran. J. Essent. Oil Bear. Plants 2016, 19, 200–207. [Google Scholar] [CrossRef]
  51. Council of Europe and European Pharmacopeia Commission. European Pharmacopoeia; Version 7.0; Council of Europe: Strasbourg, France, 2010. [Google Scholar]
  52. ISO 3516:1997; Oil of Coriander Fruits (Coriandrum sativum L.), 2nd ed. International Standards: Geneva, Switzerland, 1997.
  53. ISO 3475:2020; Essential Oil of Aniseed (Pimpinella anisum L.), 3rd ed. International Standards: Geneva, Switzerland, 2020.
  54. ISO 8896:2016; Essential Oil of Caraway (Carum carvi L.), 2nd ed. International Standards: Geneva, Switzerland, 2016.
  55. ISO 10693; Soil Quality—Determination of Carbonate Content—Volumetric Method. International Standards: Geneva, Switzerland, 1995.
  56. ISO 10390; Soil Quality—Determination of pH. International Standards: Geneva, Switzerland, 1994.
  57. ISO 14235; Soil Quality—Determination of Organic Carbon by Sulfochromic Oxidation. International Standards: Geneva, Switzerland, 1998.
  58. Bremner, J.M. Determination of nitrogen in soil by Kjeldahl method. J. Agric. Sci. 1960, 55, 11–33. [Google Scholar] [CrossRef]
  59. Egner, H.; Riehm, H.; Domingo, W.R. Untersuchungen über die chemische Bodenanalyse als Grundlage für die Beurteilung des Nahrstoffzustandes der Boden, II: Chemische Extractionsmetoden zu Phosphor-und Kaliumbestimmung. K. Lantbrukshügskolans Ann. 1960, 26, 199–215. [Google Scholar]
  60. Aćimović, M.; Oljača, S.; Tešević, V.; Todosijević, M.; Djisalov, J. Evaluation of caraway essential oil from different production areas of Serbia. Hort. Sci. 2014, 41, 122–130. [Google Scholar] [CrossRef]
  61. Saxena, S.N.; Swarup Meena, R.; Vishal, M.K.; John, S.; Kumar Sharma, L.; Mishra, B.K.; Agarwal, D. Variation in essential oil constituents of coriander (Coriandrum sativum L.) germplasm across coriander growing regions in India. J. Essent. Oil Res. 2022, 34, 173–180. [Google Scholar] [CrossRef]
  62. Shams, M.; Esfahan, S.Z.; Esfahan, E.Z.; Dashtaki, H.N.; Dursun, A.; Yildirim, E. Effects of climatic factors on the quantity of essential oil and dry matter yield of coriander (Coriandrum sativum L.). Indian J. Sci. Technol. 2016, 9, 1–4. [Google Scholar] [CrossRef]
  63. Wang, F.; Gao, Q.; Ji, G.; Wang, J.; Ding, Y.; Wang, S. Effects of light intensity and photoperiod on morphological development and photosynthetic characteristics of coriander. Horticulturae 2024, 10, 215. [Google Scholar] [CrossRef]
  64. Aćimović, M.; Oljača, S.; Jaćimović, G.; Dražić, S.; Tasić, S. Benefits of environmental conditions for growing coriander in Banat Region, Serbia. Nat. Prod. Commun. 2011, 6, 1465–1468. [Google Scholar] [PubMed]
  65. Chandrakala, R.; Venkatesan, K.; Senthamizh Selvi, B.; Senthil, N.; Karthikeyan, G.; Vellai Kumar, S. Variation in seed yield and essential oil composition of coriander (Coriandrum sativum L.). J. Essent. Oil Res. 2024, 36, 222–233. [Google Scholar] [CrossRef]
  66. Sawargaonkar, S.L.; Singh, A.K.; Tiwari, J.; Singh, K.P.; Sao, A.; Paraye, P.M.; Painkra, S.K.; Rathia, G.R.; Sahu, S.; Rao, S.S.; et al. Genotype × environment interaction and stability of indigenous coriander (Coriandrum sativum L.) genotypes for seed yield in different agro-climatic zones of Chhattisgarh. J. Spices Aromat. Crops 2019, 28, 122–130. [Google Scholar] [CrossRef]
  67. Talebi, S.M.; Naser, A.; Ghorbanpour, M. Chemical composition and antimicrobial activity of the essential oils in different populations of Coriandrum sativum L. (coriander) from Iran and Iraq. Food Sci. Nutr. 2024, 1–11. [Google Scholar] [CrossRef]
  68. Freires, I.D.A.; Murata, R.M.; Furletti, V.F.; Sartoratto, A.; Alencar, S.M.D.; Figueira, G.M.; de Oliveira Rodrigues, J.A.; Duarte, M.C.T.; Rosalen, P.L. Coriandrum sativum L. (coriander) essential oil: Antifungal activity and mode of action on Candida spp., and molecular targets affected in human whole-genome expression. PLoS ONE 2014, 9, e99086. [Google Scholar] [CrossRef] [PubMed]
  69. Shojaiefar, S.; Sabzalian, M.R.; Mirlohi, A.; Mirjalili, M.H. Seed yield stability with modified essential oil content and composition in self-compatible progenies of bitter fennel (Foeniculum vulgare Mill.). Ind. Crops Prod. 2022, 182, 114821. [Google Scholar] [CrossRef]
  70. Mehravi, S.; Hanifei, M.; Gholizadeh, A.; Khodadadi, M. Water deficit stress changes in physiological, biochemical and antioxidant characteristics of anise (Pimpinella anisum L.). Plant Physiol. Biochem. 2023, 201, 107806. [Google Scholar] [CrossRef]
  71. Aćimović, M.; Korać, J.; Jacimović, G.; Oljača, S.; Djukanović, L.; Vuga-Janjatov, V. Influence of ecological conditions on seeds traits and essential oil contents in anise (Pimpinella anisum L.). Not. Bot. Horti. Agrobot. 2014, 42, 232–238. [Google Scholar]
  72. Iannarelli, R.; Caprioli, G.; Sut, S.; Dall’Acqua, S.; Fiorini, D.; Vittori, S.; Maggi, F. Valorizing overlooked local crops in the era of globalization: The case of aniseed (Pimpinella anisum L.) from Castignano (central Italy). Ind. Crops Prod. 2017, 104, 99–110. [Google Scholar] [CrossRef]
  73. Bettaieb Rebey, I.; Bourgou, S.; Aidi Wannes, W.; Hamrouni Selami, I.; Saidani Tounsi, M.; Marzouk, B.; Fauconnier, M.L.; Ksouri, R. Comparative assessment of phytochemical profiles and antioxidant properties of Tunisian and Egyptian anise (Pimpinella anisum L.) seeds. Plant Biosyst. Int. J. Deal. Asp. Plant Biol. 2018, 152, 971–978. [Google Scholar] [CrossRef]
  74. Sedláková, J.; Kocourková, B.; Lojková, L.; Kubá?, V. The essential oil content in caraway species (Carum carvi L.). Hort. Sci. 2003, 30, 73–79. [Google Scholar] [CrossRef]
  75. Fang, R.; Jiang, C.H.; Wang, X.Y.; Zhang, H.M.; Liu, Z.L.; Zhou, L.; Du, S.S.; Deng, Z.W. Insecticidal activity of essential oil of Carum Carvi fruits from China and its main components against two grain storage insects. Molecules 2010, 15, 9391–9402. [Google Scholar] [CrossRef] [PubMed]
  76. Kallio, H.; Kerrola, K.; Alhonmaki, P. Carvone and limonene in caraway fruits (Carum carvi L.) analyzed by supercritical carbon dioxide extraction-gas chromatography. J. Agric. Food Chem. 1994, 42, 2478–2485. [Google Scholar] [CrossRef]
  77. Clark, G. A profile: An aroma chemical—Carvone. Perfum. Flavorist 1989, 14, 35–40. [Google Scholar]
  78. Erasto, P.; Viljoen, A.M. Limonene—A review: Biosynthetic, ecological and pharmacological relevance. Nat. Prod. Commun. 2008, 3, 1193–1202. [Google Scholar] [CrossRef]
  79. Bouwmeester, H.J.; Gershenzon, J.; Konings, M.C.; Croteau, R. Biosynthesis of the monoterpenes limonene and carvone in the fruit of caraway. I. Demonstration of enzyme activities and their changes with development. Plant Physiol. 1998, 117, 901–912. [Google Scholar] [CrossRef]
  80. Chizzola, R. Composition of the essential oil of wild grown caraway in meadows of the Vienna region (Austria). Nat. Prod. Commun. 2014, 9, 581–582. [Google Scholar] [CrossRef]
  81. von Maydell, D.; Beleites, C.; Stache, A.M.; Riewe, D.; Krahmerc, A.; Marthe, F. Genetic variation of annual and biennial caraway (Carum carvi) germplasm offers diverse opportunities for breeding. Ind. Crops Prod. 2024, 208, 117798. [Google Scholar] [CrossRef]
  82. Ibrahim, M.F.; Ali, M.M.; Lamlom, S.; Kalaji, H.M.; Yousef, A.F. Climate change necessitates a change in the cultivation date of caraway (Carum carvi L.). J. Water Land Dev. 2022, 54, 39–49. [Google Scholar] [CrossRef]
  83. Solberg, S.O.; Göransson, M.; Petersen, M.A.; Yndgaard, F.; Jeppson, S. Caraway essential oil composition and morphology: The role of location and genotype. Biochem. Syst. Ecol. 2016, 66, 351–357. [Google Scholar] [CrossRef]
  84. Bosko, R.; Vagnerova, L.; Pluhackova, H.; Sofrova, J.; Smirous, P. The variability of caraway (Carum carvi L.) essential oils. MendelNet 2016, 23, 30–34. [Google Scholar]
  85. Seidler-Łożykowska, K.; Baranska, M.; Baranski, R.; Krol, D. Raman analysis of caraway (Carum carvi L.) single fruits. Evaluation of essential oil content and its composition. J. Agric. Food Chem. 2010, 58, 5271–5275. [Google Scholar] [CrossRef]
  86. Dobhal, P.; Purohit, V.K.; Chandra, S.; Rawat, S.; Prasad, P.; Bhandari, U.; Trivedi, V.L.; Nautiyal, M.C. Climate-induced changes in essential oil production and terpene composition in Alpine aromatic plants. Plant Stress 2024, 12, 100445. [Google Scholar] [CrossRef]
  87. Hälvä, S.; Craker, L.E.; Simon, J.E.; Charles, D.J. Growth and essential oil in dill, Anethum graveolens L., in response to temperature and photoperiod. J. Herbs Spices Med. Plants 1993, 1, 47–56. [Google Scholar] [CrossRef]
  88. Mirmohammadmakki, F.; Gharachorloo, M.; Ghavami, M.; Abdossi, V.; Azizinezhad, R. Quantitative changes in essential oils contents of parsley (Petroselinum crispum) harvested in three consecutive months of spring. J. Food Bioprocess Eng. 2023, 6, 48–55. [Google Scholar]
  89. Pirmohammadi, M.; Abai, M.R.; Shayeghi, M.; Vatandoost, H.; Rahimi, S.; Pirmohammadi, M. Influence of agro-climatic conditions on chemical compositions and repellency effect of Mentha longifolia plant against malaria vector, Anopheles stephensi. Toxin Rev. 2023, 42, 115–121. [Google Scholar] [CrossRef]
  90. Aćimović, M.; Zeremski, T.; Šovljanski, O.; Lončar, B.; Pezo, L.; Zheljazkov, V.D.; Pezo, M.; Šuput, D.; Kurunci, Z. Seasonal variations in essential oil composition of immortelle cultivated in Serbia. Horticulturae 2022, 8, 1183. [Google Scholar] [CrossRef]
  91. Kurpis, J.; Serrato-Cruz, M.A.; Arroyo, T.P.F. Modeling the effects of climate change on the distribution of Tagetes lucida Cav. (Asteraceae). Glob. Ecol. Conserv. 2019, 20, e00747. [Google Scholar] [CrossRef]
  92. Aćimović, M.; Ljujić, J.; Vulić, J.; Zheljazkov, V.D.; Pezo, L.; Varga, A.; Tumbas Šaponjac, V. Helichrysum italicum (Roth) G. Don essential oil from Serbia: Chemical composition, classification and biological activity—May it be a suitable new crop for Serbia? Agronomy 2021, 11, 1282. [Google Scholar] [CrossRef]
  93. Kiprovski, B.; Zeremski, T.; Varga, A.; Cabarkapa, I.; Filipović, J.; Lončar, B.; Aćimović, M. Essential oil quality of lavender grown outside its native distribution range: A study from Serbia. Horticulturae 2023, 9, 816. [Google Scholar] [CrossRef]
  94. Aćimović, M.; Filipović, V.; Stanković, J.; Cvetković, M.; Đukanović, L. The influence of environmental conditions on Carum carvi L. var. annum seed quality. Ratar. Povrt. 2015, 52, 91–96. [Google Scholar] [CrossRef]
  95. Bouwmeester, H.J.; Smid, H.G. Seed yield in caraway (Carum carvi). 1. Role of pollination. J. Agric. Sci. 1995, 124, 235–244. [Google Scholar] [CrossRef]
  96. Malhotra, S.K. Caraway. In Handbook of Herbs and Spicesm, 2nd ed.; Peter, K.V., Ed.; Woodhead Publishing Series in Food Science, Technology and Nutrition; Woodhead Publishing: Sawston, UK, 2012; pp. 225–248. [Google Scholar]
Figure 1. Locations of field experiments on the map of Serbia.
Figure 1. Locations of field experiments on the map of Serbia.
Horticulturae 10 00577 g001
Figure 2. The weather conditions over the course of three consecutive growing periods for coriander cultivated at three locations in Serbia: (a) locality 1, (b) locality 2, and (c) locality 3.
Figure 2. The weather conditions over the course of three consecutive growing periods for coriander cultivated at three locations in Serbia: (a) locality 1, (b) locality 2, and (c) locality 3.
Horticulturae 10 00577 g002
Figure 3. The weather conditions over the course of three consecutive growing periods for aniseed cultivated at three locations in Serbia: (a) locality 1, (b) locality 2, and (c) locality 3.
Figure 3. The weather conditions over the course of three consecutive growing periods for aniseed cultivated at three locations in Serbia: (a) locality 1, (b) locality 2, and (c) locality 3.
Horticulturae 10 00577 g003
Figure 4. Display of monthly values of main weather parameters over the course of three consecutive growing periods for annual caraway cultivated at three locations in Serbia: (a) locality 1, (b) locality 2, and (c) locality 3.
Figure 4. Display of monthly values of main weather parameters over the course of three consecutive growing periods for annual caraway cultivated at three locations in Serbia: (a) locality 1, (b) locality 2, and (c) locality 3.
Horticulturae 10 00577 g004
Figure 5. Color correlation diagram between all observed compounds for coriander samples.
Figure 5. Color correlation diagram between all observed compounds for coriander samples.
Horticulturae 10 00577 g005
Figure 6. Color correlation diagram between all observed compounds for aniseed samples.
Figure 6. Color correlation diagram between all observed compounds for aniseed samples.
Horticulturae 10 00577 g006
Figure 7. Color correlation diagram between all observed compounds for annual caraway samples.
Figure 7. Color correlation diagram between all observed compounds for annual caraway samples.
Horticulturae 10 00577 g007
Figure 8. Cluster analysis of the observed coriander samples L1/2021—Location 1 for 2021, L1/2022—Location 1 for 2022, L1/2023—Location 1 for 2023, L2/2021—Location 2 for 2021, L2/2022—Location 2 for 2022, L2/2023—Location 2 for 2023, L3/2021—Location 3 for 2021, L3/2022—Location 3 for 2022, and L3/2021—Location 3 for 2023.
Figure 8. Cluster analysis of the observed coriander samples L1/2021—Location 1 for 2021, L1/2022—Location 1 for 2022, L1/2023—Location 1 for 2023, L2/2021—Location 2 for 2021, L2/2022—Location 2 for 2022, L2/2023—Location 2 for 2023, L3/2021—Location 3 for 2021, L3/2022—Location 3 for 2022, and L3/2021—Location 3 for 2023.
Horticulturae 10 00577 g008
Figure 9. Cluster analysis of the observed aniseed samples L1/2021—Location 1 for 2021, L1/2022—Location 1 for 2022, L1/2023—Location 1 for 2023, L2/2021—Location 2 for 2021, L2/2022—Location 2 for 2022, L2/2023—Location 2 for 2023, L3/2021—Location 3 for 2021, L3/2022—Location 3 for 2022, and L3/2021—Location 3 for 2023.
Figure 9. Cluster analysis of the observed aniseed samples L1/2021—Location 1 for 2021, L1/2022—Location 1 for 2022, L1/2023—Location 1 for 2023, L2/2021—Location 2 for 2021, L2/2022—Location 2 for 2022, L2/2023—Location 2 for 2023, L3/2021—Location 3 for 2021, L3/2022—Location 3 for 2022, and L3/2021—Location 3 for 2023.
Horticulturae 10 00577 g009
Figure 10. Cluster analysis of the observed annual caraway samples L1/2021—Location 1 for 2021, L1/2022—Location 1 for 2022, L1/2023—Location 1 for 2023, L2/2021—Location 2 for 2021, L2/2022—Location 2 for 2022, L2/2023—Location 2 for 2023, L3/2021—Location 3 for 2021, L3/2022—Location 3 for 2022, and L3/2021—Location 3 for 2023.
Figure 10. Cluster analysis of the observed annual caraway samples L1/2021—Location 1 for 2021, L1/2022—Location 1 for 2022, L1/2023—Location 1 for 2023, L2/2021—Location 2 for 2021, L2/2022—Location 2 for 2022, L2/2023—Location 2 for 2023, L3/2021—Location 3 for 2021, L3/2022—Location 3 for 2022, and L3/2021—Location 3 for 2023.
Horticulturae 10 00577 g010
Figure 11. The PCA biplot diagram of the relationships among detected compounds in coriander samples; L1/2021—Location 1 for 2021, L1/2022—Location 1 for 2022, L1/2023—Location 1 for 2023, L2/2021—Location 2 for 2021, L2/2022—Location 2 for 2022, L2/2023—Location 2 for 2023, L3/2021—Location 3 for 2021, L3/2022—Location 3 for 2022, and L3/2021—Location 3 for 2023.
Figure 11. The PCA biplot diagram of the relationships among detected compounds in coriander samples; L1/2021—Location 1 for 2021, L1/2022—Location 1 for 2022, L1/2023—Location 1 for 2023, L2/2021—Location 2 for 2021, L2/2022—Location 2 for 2022, L2/2023—Location 2 for 2023, L3/2021—Location 3 for 2021, L3/2022—Location 3 for 2022, and L3/2021—Location 3 for 2023.
Horticulturae 10 00577 g011
Figure 12. The PCA biplot diagram of the relationships among detected compounds in aniseed samples; L1/2021—Location 1 for 2021, L1/2022—Location 1 for 2022, L1/2023—Location 1 for 2023, L2/2021—Location 2 for 2021, L2/2022—Location 2 for 2022, L2/2023—Location 2 for 2023, L3/2021—Location 3 for 2021, L3/2022—Location 3 for 2022, and L3/2021—Location 3 for 2023.
Figure 12. The PCA biplot diagram of the relationships among detected compounds in aniseed samples; L1/2021—Location 1 for 2021, L1/2022—Location 1 for 2022, L1/2023—Location 1 for 2023, L2/2021—Location 2 for 2021, L2/2022—Location 2 for 2022, L2/2023—Location 2 for 2023, L3/2021—Location 3 for 2021, L3/2022—Location 3 for 2022, and L3/2021—Location 3 for 2023.
Horticulturae 10 00577 g012
Figure 13. The PCA biplot diagram of the relationships among detected compounds in annual caraway samples; L1/2021—Location 1 for 2021, L1/2022—Location 1 for 2022, L1/2023—Location 1 for 2023, L2/2021—Location 2 for 2021, L2/2022—Location 2 for 2022, L2/2023—Location 2 for 2023, L3/2021—Location 3 for 2021, L3/2022—Location 3 for 2022, and L3/2021—Location 3 for 2023.
Figure 13. The PCA biplot diagram of the relationships among detected compounds in annual caraway samples; L1/2021—Location 1 for 2021, L1/2022—Location 1 for 2022, L1/2023—Location 1 for 2023, L2/2021—Location 2 for 2021, L2/2022—Location 2 for 2022, L2/2023—Location 2 for 2023, L3/2021—Location 3 for 2021, L3/2022—Location 3 for 2022, and L3/2021—Location 3 for 2023.
Horticulturae 10 00577 g013
Table 1. Chemical composition and environmental influence on volatile compounds in coriander fruits’ essential oils (n = 3 repetitions).
Table 1. Chemical composition and environmental influence on volatile compounds in coriander fruits’ essential oils (n = 3 repetitions).
NoCompoundRTMeanSDRange (%)L1L2L3ISO 3516 [52]
MinMaxKTKpKiKTKpKiKTKpKi
1α-pinene58.2708.51.06.610.5−0.39−3.26−0.79−2.40−2.30−3.850.04−0.16−0.023.0–7.0
2camphene62.2860.90.20.61.2−0.12−0.70−0.21−0.39−0.26−0.57−0.16−0.37−0.26-
3β-pinene70.2770.80.00.70.80.030.230.06−0.05−0.09−0.100.070.130.10-
4myrcene74.0540.60.30.11.1−0.19−1.24−0.34−0.62−0.58−0.99−0.45−0.99−0.690.5–1.5
5p-cymene85.5890.80.20.51.1−0.20−1.22−0.34−0.17−0.08−0.24−0.17−0.37−0.26-
6limonene87.0051.80.41.22.5−0.17−1.13−0.31−0.80−0.62−1.22−0.48−1.07−0.742.0–5.0
7γ-terpinene98.0797.60.86.18.5−0.31−1.71−0.51−1.61−0.69−2.22−0.43−1.03−0.702.0–7.0
8linalool115.73572.65.065.380.52.018.432.948.9211.9415.763.966.985.5165–78
9camphor132.5973.10.52.53.9−0.33−2.24−0.60−0.82−1.08−1.44−0.42−0.91−0.644.0–6.0
10geranyl acetate238.2001.60.80.63.0−0.31−2.09−0.56−1.10−1.06−1.76−1.05−2.30−1.621.0–3.5
RT—retention time, L1—location 1, L2—location 2, L3—location 3, SD—standard deviation, KT—regression coefficient for temperature, Kp—regression coefficient for precipitation, and Ki—regression coefficient for insolation. All regression coefficients are statistically significant at p < 0.05 level.
Table 2. Chemical composition and environmental influence on volatile compounds in aniseed fruits’ essential oils (n = 3 repetitions).
Table 2. Chemical composition and environmental influence on volatile compounds in aniseed fruits’ essential oils (n = 3 repetitions).
NoCompoundRTMeanSDRangeL1L2L3ISO 3475 [53]
MinMaxKTKpKiKTKpKiKTKpKi
1cis-dihydro carvone 11920.10.10.00.30.130.230.150.17−0.750.350.060.130.58-
2methyl chavicol12000.50.30.20.9−0.34−0.60−0.39−0.210.96−0.44−0.19−0.37−1.610.5–3.0
3trans-anethole129494.94.392.496.83.066.633.260.48−29.173.705.760.86−0.3087–94
4α-himachalene14520.20.10.10.3−0.10−0.18−0.12−0.100.38−0.20−0.04−0.10−0.43-
5γ-himachalene14822.50.51.83.4−0.69−1.12−0.81−0.583.61−1.30−0.32−0.48−2.051.0–5.0
6trans-muurola−4(14),5-diene14850.30.20.10.6−0.15−0.26−0.17−0.251.15−0.52−0.09−0.19−0.84-
7α-zingiberene14990.20.10.10.5−0.21−0.37−0.24−0.090.33−0.18−0.06−0.11−0.50-
8β-himachalene15040.20.00.10.2−0.05−0.09−0.06−0.030.20−0.08−0.01−0.04−0.19-
9β-bisabolene15120.10.10.00.3−0.13−0.22−0.15−0.110.44−0.22−0.03−0.07−0.32-
10pseudo isoeugenyl 2-methylbutyrate18480.80.20.31.3−0.48−0.84−0.550.030.020.04−0.010.020.100.3–2.0
RT-retention time, L1—location 1, L2—location 2, L3—location 3, SD—standard deviation, KT—regression coefficient for temperature, Kp—regression coefficient for precipitation, and Ki—regression coefficient for insolation. All regression coefficients are statistically significant at p < 0.05 level.
Table 3. Chemical composition and environmental influence on volatile compounds in the caraway fruits’ essential oils (n = 3 repetitions).
Table 3. Chemical composition and environmental influence on volatile compounds in the caraway fruits’ essential oils (n = 3 repetitions).
NoCompoundRTMeanSDRangeL1L2L3ISO 8896 [54]
MinMaxKTKpKiKTKpKiKTKpKi
1myrcene7.4470.20.10.10.3−0.08−0.05−0.10−0.07−0.12−0.09−0.22−0.08−0.210.2–0.7
2p-cymene8.5810.10.10.00.30.150.100.200.280.830.330.020.010.02-
3limonene8.78061.06.454.070.38.266.4711.4012.0612.2514.017.832.825.6133–45
4cis-limonene oxide12.7800.10.10.00.3−0.12−0.08−0.15−0.05−0.10−0.06−0.20−0.07−0.18-
5trans-limonene oxide12.9700.20.10.00.3−0.03−0.02−0.040.090.140.10−0.20−0.07−0.18-
6trans-dihydro carvone15.8690.20.10.10.30.020.020.030.050.110.06−0.29−0.10−0.27-
7trans-carveol16.5530.20.10.10.30.010.010.020.150.230.170.120.040.10-
8neo iso-dihydro carveol 17.0380.10.10.00.30.140.100.180.260.510.300.230.080.21-
9carvone17.73836.86.127.444.5−8.34−6.05−11.10−15.10−29.91−17.56−6.95−2.53−3.9550–63
10trans-caryophyllene25.3990.20.00.10.20.060.040.080.060.090.060.000.00−0.02-
RT—retention time, L1—location 1, L2—location 2, L3—location 3, SD—standard deviation, KT—regression coefficient for temperature, Kp—regression coefficient for precipitation, and Ki—regression coefficient for insolation. All regression coefficients are statistically significant at p < 0.05 level.
Disclaimer/Publisher’s Note: The statements, opinions and data contained in all publications are solely those of the individual author(s) and contributor(s) and not of MDPI and/or the editor(s). MDPI and/or the editor(s) disclaim responsibility for any injury to people or property resulting from any ideas, methods, instructions or products referred to in the content.

Share and Cite

MDPI and ACS Style

Lončar, B.; Pezo, L.; Pezo, M.; Jovanović, A.; Šuput, D.; Radosavljević, M.; Aćimović, M. Do Climate Conditions Affect the Quality of the Apiaceae Fruits’ Essential Oils? Horticulturae 2024, 10, 577. https://doi.org/10.3390/horticulturae10060577

AMA Style

Lončar B, Pezo L, Pezo M, Jovanović A, Šuput D, Radosavljević M, Aćimović M. Do Climate Conditions Affect the Quality of the Apiaceae Fruits’ Essential Oils? Horticulturae. 2024; 10(6):577. https://doi.org/10.3390/horticulturae10060577

Chicago/Turabian Style

Lončar, Biljana, Lato Pezo, Milada Pezo, Aca Jovanović, Danijela Šuput, Miloš Radosavljević, and Milica Aćimović. 2024. "Do Climate Conditions Affect the Quality of the Apiaceae Fruits’ Essential Oils?" Horticulturae 10, no. 6: 577. https://doi.org/10.3390/horticulturae10060577

APA Style

Lončar, B., Pezo, L., Pezo, M., Jovanović, A., Šuput, D., Radosavljević, M., & Aćimović, M. (2024). Do Climate Conditions Affect the Quality of the Apiaceae Fruits’ Essential Oils? Horticulturae, 10(6), 577. https://doi.org/10.3390/horticulturae10060577

Note that from the first issue of 2016, this journal uses article numbers instead of page numbers. See further details here.

Article Metrics

Back to TopTop