Next Article in Journal
Genetic Diversity and Population Structure of Prunus persica Cultivars Revealed by Genotyping-by-Sequencing (GBS)
Next Article in Special Issue
Efficient Micropropagation Using Different Types of Explant and Addressing the Hyperhydricity of Ballota acetabulosa, a Mediterranean Plant with High Xeriscaping Potential
Previous Article in Journal
Impact of Elevated Temperature and Solar Radiation on Broccoli (Brassica oleraceae var. italica Plenck) Cultivation
Previous Article in Special Issue
Phenotypic and Genetic Diversity Analysis of 18 Ornamental Strawberries
 
 
Font Type:
Arial Georgia Verdana
Font Size:
Aa Aa Aa
Line Spacing:
Column Width:
Background:
Article

Flowering Responses to Vernalization and Photoperiod in Minuartia laricina (L.) Mattf., a Perennial Herb in the Korean Peninsula

1
Department of Horticulture and Breeding, Graduate School of Andong National University, Andong 36792, Republic of Korea
2
Department of Horticulture, Jeonbuk National University, Jeonju 54896, Republic of Korea
3
Institute of Agriculture Science & Technology, Jeonbuk National University, Jeonju 54896, Republic of Korea
4
Department of Smart Horticultural Science, Andong National University, Andong 36729, Republic of Korea
*
Author to whom correspondence should be addressed.
These authors contributed equally to this work.
Horticulturae 2025, 11(2), 188; https://doi.org/10.3390/horticulturae11020188
Submission received: 2 January 2025 / Revised: 24 January 2025 / Accepted: 9 February 2025 / Published: 10 February 2025
(This article belongs to the Special Issue Propagation and Flowering of Ornamental Plants)

Abstract

This study investigated the flowering physiology of Minuartia laricina (L.) Mattf. to provide fundamental information for the development of flowering control techniques. A phenology test was conducted in an open field, where M. laricina overwintered from December to February. Flower buds began to form in late March as temperatures and photoperiods increased. Flowering started in late April and continued until mid-June, with seeds maturing in capsule-shaped fruits by mid-August. In a greenhouse experiment, M. laricina was subjected to cold treatments at 5 °C for 0, 2, 4, 8, or 12 weeks, followed by photoperiod treatments of 9/15, 11/13, 13/11, 16/8, 24/0 h day/night photoperiod, or night interruption (9 h + 4 h). Plant growth and flowering were measured during the photoperiod treatments. The results showed 100% flowering with 8 weeks of cold treatment and under 16 h or longer photoperiod conditions. However, without cold treatments flowering was not observed across all photoperiods. These findings align with outdoor conditions, where M. laricina flowers experience a cold winter and under long photoperiods. Thus, M. laricina is classified as an obligate vernalization and long-day plant, requiring at least eight weeks of cold and a 16/8 h photoperiod to flower.

Graphical Abstract

1. Introduction

Native plants have gained attention as essential components in sustainable landscaping and biodiversity conservation. They are highly adaptable near their natural habitats, making them effective replacements for invasive species [1]. Additionally, native plants play a crucial role in ecosystems by supporting wildlife diversity, specifically by providing pollinators with food and habitat resources [2,3]. Recent studies indicated that consumers prefer landscapes featuring a higher proportion of native plants with aesthetic and functional values [4]. Therefore, interest in cultivating native plants has been increasing not only for their ecological roles but also for their ornamental and sustainable values [5]. However, the commercial use of native plants remains limited due to insufficient information on their growth characteristics and the lack of effective cultivation techniques [6,7].
Minuartia laricina (L.) Mattf., a perennial herbaceous plant of the family Caryophyllaceae, is native to Mt. Baekdu, and it is distributed across northern regions of the Korean Peninsula, as well as in Russia, Mongolia, and China. Normally, this species produces 4–5 white flowers arranged in cyme-type inflorescence at the top of each stem [8]. With a compact growth habit and a height of 10–30 cm, M. laricina shows considerable potential as a ground cover plant. Recognizing its ornamental potential, the Korean National Arboretum designated M. laricina as a new ornamental plant in 2019. Despite its promising traits, research on its flowering characteristics remains insufficient, limiting its application in horticulture practices.
Understanding flowering characteristics is significant not only for the development of cultivation methods, but also for maximizing the ecological benefits of native plants in garden ecosystems. Flowering traits directly influence interactions between flowers and pollinators, thus playing a fundamental role in maintaining ecological balance [9]. Furthermore, elucidating flowering characteristics of native plants provides essential insights for optimizing cultivation techniques and developing ecological guidelines for pollinator-friendly gardens.
Among the factors influencing flowering, vernalization and photoperiod are particularly significant. Vernalization refers to the promotion of flowering through exposure to low temperature ranging 1–7 °C for a specific duration [10,11]. Photoperiod, the length of daylight to which plants are exposed, plays a crucial role in regulating flowering in many plant species [12]. By utilizing the flowering physiological responses of plants, identifying specific environmental conditions that induce flowering will provide key information for the improvement of cultivation techniques and the development of new cultivars.
Previous research on M. laricina reported growth and flowering regulation using plant growth retardants [13]. However, the effects of vernalization and photoperiod on the flowering of this species have not been investigated. Therefore, the objective of this study was to elucidate the flowering responses of M. laricina to cold treatment and photoperiod. By providing fundamental data on flowering control, this research aims to support the cultivation and industrialization of M. laricina, ultimately contributing to its wider use as an ornamental plant in sustainable landscaping.

2. Materials and Methods

2.1. Plants Materials

Seeds of M. laricina were sown in June 2022 at a wildflower nursery (Samhan Plants, Yongin-si, Republic of Korea) and subsequently grown in 8 × 7 cm (diameter × height) plastic pots filled with a soilless media (Baroker; Seoul Bio Co., Ltd., Eumseong, Republic of Korea). They were moved to either open field plots or a greenhouse at Andong National University in October 2022 for this study. The plants used in the experiments had an average height of 4.5 ± 0.3 cm and an average width of 7.8 ± 0.6 cm (n = 12).

2.2. Expt. 1: Phenological Observation of Flowering Characteristics in M. laricina

M. laricina was planted in open field plots on 20 October 2022, at Andong National University. Measurements of growth and development were conducted monthly from 20 October 2022 to 28 September 2023, to evaluate flowering characteristics of M. laricina in an open field. Plant height and width were measured using a standard ruler, and the number of branches was counted manually. Branch length was determined by measuring the longest branch of each plant. The number of visible buds was recorded, and visible bud rate was calculated as the proportion of plants with at least five visible buds out of 12 plants. Similarly, the number of flowers and flowering rate were recorded. Air temperature was recorded every 10 min using a data logger (WatchDog 1650 Micro Station, Spectrum Technologies, Aurora, IL, USA) (Figure 1).

2.3. Expt. 2: Growth and Flowering Response to Cold Treatment and Photoperiod

M. laricina plants grown in 8 × 7 cm plastic pots were subjected to cold treatments at 5 °C in a cold storage chamber for 0, 2, 4, 8, or 12 weeks starting from 20 October 2022. During the cold treatment, plants were placed under a light intensity of 3–4 μmol·m−2·s−1 provided by a fluorescent lamp (30W FQU30EXN-D; Shanghai Haneup City Lighting Electric Co., Ltd., Shanghai, China) for 9 h per day. Plants were irrigated with tap water twice a week to prevent the potting media from drying.
Following each period of cold treatment, plants were transplanted into 12 cm × 10.5 cm (diameter × height) plastic pots filled with horticultural substrate (Sunshine Mix #4; Sun-Gro Horticulture, Agawam, MA, USA). Subsequently, 3 g of a controlled-release fertilizer (PurKote 14-14-14 [90-day]; Pursell, Sylacauga, AL, USA) was applied to each pot, and the plants were then subjected to various photoperiods.
The photoperiod treatments included 9/15, 11/13, 13/11, 16/8, and 24/0 h day/night photoperiods, as well as a night interruption (NI) treatment. In this study, we adopted these specific photoperiods of 9, 11, 13, 16 h, and continuous light (24 h) based on the commonly used methodology in horticultural and plant physiology research that centers around a 24 h cycle [14]. For these treatments, plants were exposed to natural light from 9:00 a.m. to 6:00 p.m., providing a 9 h day length. To extend the photoperiod, two fluorescent lamps (30 W FQU30EXN-D; Shanghai Haneup City Lighting Electric Co., Ltd., Shanghai, China) were used per bench, and black curtains were drawn around each bench to block external light and reduce the influence between photoperiod treatments. The light intensity during the photoperiod extension was maintained at 3–4 μmol·m−2·s−1 to ensure consistency of daily light integral (DLI). In the NI treatment, the photoperiod was extended from 10:00 p.m. to 2:00 a.m. the following day. It is well documented that under short-day conditions, interrupting the dark period with supplemental light can stimulate flowering in long-day plants (LDP) while concurrently suppressing flowering in short-day plants (SDP). In general, a 4 h NI photoperiod (from 22:00 to 02:00) is recommended to promote flowering in LDP, and this approach has been shown to be effective to induce flowering in various herbaceous perennial species [15,16]. During all photoperiod treatments, tap water was applied by overhead watering every three days.
Photoperiod treatments were conducted for 15 weeks in a greenhouse at Andong National University, where environmental conditions were continuously monitored using data loggers (WatchDog 1650 Micro Station, Spectrum Technologies, IL, USA). The air temperature and daily light integral (DLI) in the greenhouse as well as for the benches of each photoperiod treatment are shown in Figure 2 and Table 1, respectively.
During 15 weeks of photoperiod treatments, plant growth and development were measured as described above. Additionally, the time to flowering was calculated as the number of days from the formation of at least five visible buds to the blooming of at least five flowers. Measurements were conducted weekly until at least five visible buds formed, after which they were taken every three days.

2.4. Experimental Design and Statistical Analysis

Expt. 1. was conducted using a completely randomized design (CRD) with 12 replicates (n = 12), while Expt. 2. was laid in a 5 × 6 factorial arrangement (cold treatment × photoperiod) in a CRD with 12 replicates (n = 12). Each plant was analyzed as one replicate. Analysis of variance was performed using SAS 9.4 (SAS Institute Inc., Cary, NC, USA), and differences among the treatment means were assessed by Duncan’s multiple range test (p < 0.05). Regression analysis was conducted to evaluate the linear relationship between the number of flowers and the duration of cold treatment.

3. Results

3.1. Expt. 1: Phenological Observation of Flowering Characteristics in M. laricina

This experiment was conducted to investigate the growth and flowering characteristics of M. laricina under outdoor garden conditions. From November to January, a period with relatively low temperatures, M. laricina exhibited minimal growth. However, as temperatures and day lengths increased from March to August, plant height, width, number of branches, and branch length significantly increased (Figure 3A,B). Visible buds were first observed in late March, and flowering was initiated in late April, consistently producing over 80 flowers each until mid-June (Figure 3C and Figure 4D,E). Visible buds and flowers were observed in all tested plants between May and July (Figure 3D). M. laricina plants started producing capsule-shaped fruits in late June and their leaves and branches turned to brown in late September (Figure 4F).

3.2. Expt. 2: Growth and Flowering Response to Cold Treatment and Photoperiod

This experiment investigated the effects of the duration of cold treatment and photoperiod. The results showed that cold treatment significantly influences plant height, width, the number of branches, and flower production (Table 2). Plant height increased with longer cold treatment durations, peaking at 12.5 cm under 12 weeks of cold treatment. Plant width and branch number also increased with extended cold treatment, with the widest plants (32.7 cm) and the most branches (38.6) recorded under 12 weeks of cold treatment and 24 h photoperiod. Both photoperiod and its interaction with cold treatment had significant effects, with longer photoperiods (16 or 24 h) generally promoting better growth and development.
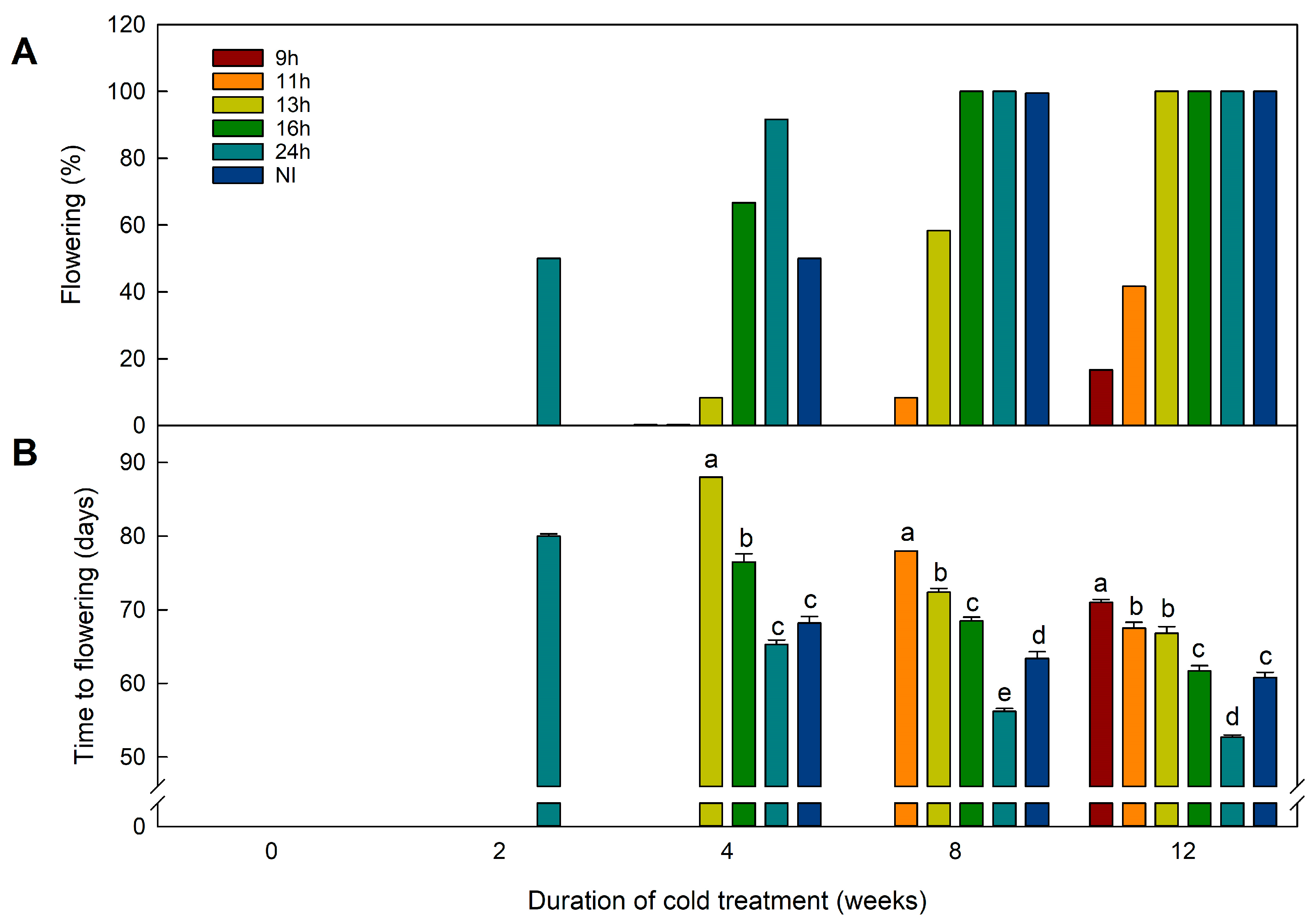
Without cold treatment, no flowering was observed across photoperiods (Table 2 and Figure 5, Figure 6 and Figure 7). While at least four weeks of cold treatment induced flowering, with the highest flower number (74.5) observed under 12 weeks of cold treatment combined with 24 h photoperiod. Twelve-week cold treatment resulted in flowering rates of 16%, 67%, 100%, 100%, 100%, and 100% under 9 h, 11 h, 13 h, 16 h, 24 h photoperiods, and NI, respectively, (Figure 5A). As the duration of cold treatment and day length increased, the flowering rate also increased. Moreover, the number of days until flowering decreased with prolonged cold treatment, reaching the shortest time (56.2 days) under 12-week cold treatment and 24 h photoperiod (Figure 5B). Flowering was the fastest under 24 h photoperiod, followed by NI, 16 h, 13 h, and 11 h photoperiods, respectively, after at least eight weeks of cold treatment.
Regression analysis revealed that both cold treatment duration and photoperiod significantly influence the flower number of M. laricina (Figure 7). The number of flowers increased as the duration of cold treatment extended across all photoperiod conditions, with the highest regression coefficients observed under 24 h (6.8599 ***) and NI (3.0930 ***) photoperiods, showing the strongest correlations (R2 = 0.7282 and 0.6041, respectively). Conversely, the flower number under the 9 h photoperiod showed the lowest coefficient (0.1333 *) and correlation (R2 = 0.0906), indicating minimal response to cold treatment. At least eight weeks of cold treatment were necessary to achieve substantial flowering, with longer photoperiods (16 h, 24 h, and NI) increasing flower production. The regression equations and R2 values indicate that cold treatment duration strongly promoted flowering under extended photoperiods, with the effect being less pronounced under shorter photoperiods (9 h and 11 h). These results highlight that longer cold treatment durations, combined with extended photoperiods, are critical for maximizing flowering in M. laricina.

4. Discussion

Phenology refers to the recurring seasonal cycles of biological events in organisms, particularly in response to climatic variations, providing a model for understanding plant responses to these changes [17]. Therefore, the phenology experiment allowed us to confirm that M. laricina flowers in spring as temperatures increase and photoperiods become longer after a cold winter. According to World Flora Online data, M. laricina is known to flower from July to September [18]. However, the results of this experiment indicated that the flowering of M. laricina occurred from late April to mid-June (Figure 3). A study of Patrinia rupestris reported that the flowering period differed from that observed in the natural habitat, attributing this discrepancy to differences between experimental conditions and the natural environment [19]. Northern plant species are highly sensitive to temperature changes during spring and summer, which play crucial roles in regulating growth and flowering [20,21]. Although the Mt. Baekdu region, where M. laricina is native, can be classified as a temperate area, it is characterized as both of temperate and cold climate. Therefore, the region where this phenology study was conducted has shorter winters and an earlier onset of temperature increases compared to the natural habitat, resulting in earlier flowering of M. laricina.
To identify the optimum conditions for growth and flowering in M. laricina, flowering responses were characterized under various cold treatments and photoperiods. The flowering rate increased with longer periods of cold treatment, being particularly high under the 12-week cold treatment condition (Figure 5). Some plants require sufficient cold treatment to break dormancy, which serves as a crucial survival strategy to prevent damage from sudden temperature drops following spring budburst [9,22]. The effectiveness of cold treatment in promoting flowering varies in terms of temperature and duration depending on the plant species [23]. Based on their cold requirements for flowering, plants can be broadly classified into three categories: non-vernalization plants, which flower without cold treatment; facultative vernalization plants, for which cold treatment is not essential but promotes flowering; and obligate vernalization plants, which require cold treatment for flowering [24,25]. Studies classifying flowering responses to cold treatment in perennial herbaceous plants have categorized Veronica kiusiana var. diamantiaca [26], Lysimachia mauritiana Lam. [27], Oenothera fruticose [28], and Corydalis speciosa [29] as obligate vernalization plants, which necessitate cold treatment for flowering. In contrast, V. rotunda var. subintegra (Nakai) T. Yamaz., V. longifolia L. [30], and Aquilegia ‘Origami Blue and White’ [31] have been reported to flower without cold treatment. According to the results of this study, M. laricina is considered an obligate vernalization plant as it required at least four weeks of cold conditions for flowering.
Plants that exhibit enhanced flowering under long-day conditions are classified as long-day plants, and this characteristic enables them to recognize seasonal changes and transition to the reproductive growth stage [32]. If the critical day length is not met, the flowering of long-day plants is either delayed or does not occur [33]. Long-day plants can be broadly categorized into obligate long-day plants and facultative long-day plants based on their requirements for day length [22,24,34]. Obligate long-day plants flower only when exposed to day lengths exceeding a specific critical day length, and they do not flower under shorter day lengths. Facultative long-day plants, on the other hand, experience enhanced flowering under certain day lengths, but they do not require a specific critical day length to flower. In other words, while extended day lengths promote flowering, facultative long-day plants can still flower under relatively shorter day lengths. Obligate long-day plants tend to exhibit a significant increase in flowering rate once the critical day length is surpassed. In studies classifying flowering responses to photoperiod in perennial herbaceous plants, Rudbeckia fulgida ‘Goldsturm’ was categorized as an obligate long-day plant. Research investigating flowering responses to cold treatment and photoperiod conditions found that the critical day length before and after cold treatment was approximately 14 h and 13 h, respectively. Although cold treatment shortened the critical day length, flowering only proceeded under specific day lengths exceeding a certain threshold, thus classifying it as an obligate long-day plant [35]. In contrast, Leucanthemum × superbum ‘Snowcap’ [36] and Lobelia × speciosa ‘Compliment Scarlet’ [37] were classified as obligate long-day plants when not subjected to cold treatment. However, after cold treatment, they were able to flower without requiring a specific critical day length, thus being reclassified as facultative long-day plants. Similarly, the response to day length following cold treatment can vary [23]. In this study, M. laricina achieved a 100% flowering rate under photoperiods exceeding 13/11 h following a 12-week cold treatment (Figure 5, Figure 6 and Figure 7). Conversely, under photoperiods of 13/11 h or less, the flowering rate was very low, and flowering was considered unsuccessful (Figure 5, Figure 6 and Figure 7). Some individuals that did flower under relatively shorter photoperiods were likely influenced by complex factors within the greenhouse cultivation environment. Therefore, M. laricina was classified as an obligate long-day plant, requiring specific critical day lengths for flowering.
Cold treatment and long-day conditions influence not only flowering but also the overall plant growth. Cold treatment has been reported to promote the production of growth hormones such as gibberellin, thereby inducing plant elongation [33]. Additionally, an increase in the number of branches leads to enhanced photosynthetic capacity, thereby promoting overall plant growth and development. In a related study on Pisum sativum, cold and long-day conditions were reported to promote branch formation through the interaction of hormones such as auxin and cytokinin [38]. Therefore, the increased plant growth observed under relatively extended periods of cold treatment and long-day conditions is presumed to be attributable to growth-related hormones. Furthermore, considering that analysis of hormones was not conducted, follow-up studies are needed to elucidate the effects of hormonal changes on plant growth.
Comparing these two experiments, it appears that M. laricina in Expt. 1 underwent a prolonged period of natural cold exposure during winter, thereby satisfying its vernalization requirement. However, as daily mean temperatures remained below 10 °C in early spring, the transition from vegetative growth to flowering was delayed. By May, when the daily mean temperature was above 10 °C, flowering occurred. In contrast, plants in Expt. 2 received an 8-week cold treatment under controlled conditions and were then immediately exposed to relatively warm greenhouse temperatures. After vernalization, the warmer temperature, referred to as the forcing temperature, facilitated earlier flowering. The forcing temperature is defined as the post-vernalization temperature that stimulates and accelerates plant development, particularly the transition to flowering. The optimal range of forcing temperature may vary not only between different species but also within a single species, reflecting their respective climatic origins [39]. These observations align with findings for Oenothera fruticosa, in which increasing the forcing temperature from 14 to 29 °C significantly reduced the time to visible bud formation, shortened the bud-to-flower time, and accelerated the overall stages of flowering [28]. Similarly, although M. laricina satisfied its vernalization requirement in both experimental conditions, the higher temperature in Expt. 2 expedited the flowering process compared with the more gradual warming under natural conditions in Expt. 1.
During the phenological observations, several pollinator species were observed visiting M. laricina flowers, including Seladoni aeraria, Apis mellifera, Andrena sp., Eristalis cerealis, Pseudozizeeria maha, and Formicidae sp. (Figure 8). These findings highlight the potential of M. laricina in supporting biodiversity. Specifically, native plants are known to be more preferred by indigenous pollinators due to their long-term adaptation to the local environment [40]. Furthermore, pollinator gardens utilizing native plants can enhance biodiversity by providing habitats and food sources for various pollinators [41]. If the flowering control and cultivation techniques for M. laricina are successfully developed and commercialized for use in garden landscapes, it could contribute to the creation of pollinator gardens and enhance the ecological value of garden environments.

5. Conclusions

M. laricina exhibited a flowering period from late April to mid-June under outdoor garden conditions. The greenhouse experiment revealed that successful flowering required a cold treatment at 5 °C for a minimum of 8 weeks and photoperiods longer than 16 h. Consequently, M. laricina has an obligate requirement for both cold and long-day photoperiods for flowering.
In aspects of commercial production, accurately controlling cold treatment durations and extending photoperiods can be used to schedule flowering to meet market demands, ensuring a more predictable and profitable supply. By manipulating vernalization and daylength, growers can optimize plant growth cycles and schedule their crops to match specific shipping or retail periods. In terms of conservation, replicating natural seasonal cues is essential for achieving normal flowering in seed collection programs, supporting the preservation and potential reintroduction of M. laricina or other similarly adapted species into their native habitats.
This study provides important data to develop cultivation techniques for M. laricina. The successful cultivation and flowering of M. laricina under controlled conditions highlight its potential as a key plant for the garden industry, which increasingly demands a variety of species. Furthermore, M. laricina can contribute significantly to sustainable landscaping and biodiversity conservation, supporting the creation of pollinator-friendly environments.

Author Contributions

Conceptualization, D.G.L., S.P. and S.Y.L.; Investigation, D.G.L., C.W.K. and J.H.K.; data curation, D.G.L.; writing—original draft preparation, D.G.L., S.P. and S.Y.L.; writing—review and editing, S.P. and S.Y.L. All authors have read and agreed to the published version of the manuscript.

Funding

This research was funded by the Basic Science Research Program through the National Research Foundation of Korea (NRF) funded by the Ministry of Education (NRF-2018R1A6A1A03024862).

Data Availability Statement

The original contributions presented in this study are included in the article. Further inquiries can be directed to the corresponding author.

Acknowledgments

Thanks to every member of Floriculture & Landscape Plants Lab (FLPL, Andong National University).

Conflicts of Interest

The authors declare no conflicts of interest.

References

  1. Ryu, B.Y. Selection of native plants for the use of veranda container garden at apartment house. J. Korean People Plants Environ. 2004, 7, 19–23. [Google Scholar]
  2. Burghardt, K.T.; Tallamy, D.W.; Shriver, W.G. Impact of native plants on bird and butterfly biodiversity in suburban landscapes. Conserv. Biol. 2009, 23, 219–224. [Google Scholar] [CrossRef]
  3. Pardee, G.L.; Philpott, S.M. Native plants are the bee’s knees: Local and landscape predictors of bee richness and abundance in backyard gardens. Urban Ecosyst. 2014, 17, 641–659. [Google Scholar] [CrossRef]
  4. Gillis, A.J.; Swim, J.K. Adding native plants to home landscapes: The roles of attitudes, social norms, and situational strength. J. Environ. Psychol. 2020, 72, 101519. [Google Scholar] [CrossRef]
  5. Rupp, L.A.; Anderson, R.M.; Klett, J.; Love, S.L.; Goodspeed, J.; Gunnell, J. Native and adapted plant introduction for low-water landscaping. HortTechnology 2018, 28, 431–435. [Google Scholar] [CrossRef]
  6. Fausey, B.A.; Cameron, A.C. Evaluating herbaceous perennial species as new flowering potted crops. Acta Hortic. 2005, 683, 207–214. [Google Scholar] [CrossRef]
  7. Wilde, H.D.; Gandhi, K.J.; Colson, G. State of the science and challenges of breeding landscape plants with ecological function. Hortic. Res. 2015, 2, 14054. [Google Scholar] [CrossRef]
  8. National Institute of Biological Resources. National Biodiversity Information Sharing System. Available online: https://species.nibr.go.kr/home/mainHome.do?cont_link=009&subMenu=009002&contCd=009002&pageMode=view&ktsn=120000060765 (accessed on 1 June 2024).
  9. Fenster, C.B.; Armbruster, W.S.; Wilson, P.; Dudash, M.R.; Thomson, J.D. Pollination Syndromes and Floral Specialization. Annu. Rev. Ecol. Evol. Syst. 2004, 35, 375–403. [Google Scholar] [CrossRef]
  10. Amasino, R.M. Vernalization, competence, and the epigenetic memory of winter. Plant Cell 2004, 16, 2553–2559. [Google Scholar] [CrossRef]
  11. Kim, D.H.; Doyle, M.R.; Sung, S.; Amasino, R.M. Vernalization: Winter and the timing of flowering in plants. Annu. Rev. Cell Dev. Biol. 2009, 25, 277–299. [Google Scholar] [CrossRef] [PubMed]
  12. Osnato, M.; Cota, I.; Nebhnani, P.; Cereijo, U.; Pelaz, S. Photoperiod control of plant growth: Flowering time genes beyond flowering. Front. Plant Sci. 2022, 12, 805635. [Google Scholar] [CrossRef] [PubMed]
  13. Park, J.W.; Shin, U.S.; Oh, H.J.; Lee, S.I.; Kwon, Y.E.; Lee, S.Y.; Jeong, M.J. Effect of plant growth retardants on growth and flowering of Minuartia laricina (L.) Mattf. Flower Res. J. 2022, 30, 92–99. [Google Scholar] [CrossRef]
  14. Thomas, B.; Vince-Prue, D. Photoperiodism in Plants; Elsevier: Amsterdam, The Netherlands, 1996. [Google Scholar]
  15. Runkle, E.S.; Heins, R.D. Photocontrol of flowering and extension growth in the long-day plant pansy. J. Am. Soc. Hortic. Sci. 2003, 128, 479–485. [Google Scholar] [CrossRef]
  16. Chung, S.E.; Park, J.W.; Im, N.H.; Lee, H.B. Long-day Requirement for Floral Induction in Lythrum salicaria ‘Dwarf Pink’. J. People Plants Environ. 2024, 27, 269–278. [Google Scholar] [CrossRef]
  17. Katal, N.; Rzanny, M.; Mäder, P.; Wäldchen, J. Deep learning in plant phenological research: A systematic literature review. Front. Plant Sci. 2022, 13, 805738. [Google Scholar] [CrossRef]
  18. The World Flora Online. Available online: https://www.worldfloraonline.org/taxon/wfo-0001292108 (accessed on 1 June 2024).
  19. Song, S.J.; Shin, U.S.; Kim, S.Y.; Jeong, M.J.; Lee, S.Y. Growth and flowering response of Patrinia rupestris in response to different cold durations and photoperiods. Flower Res. J. 2019, 27, 101–108. [Google Scholar] [CrossRef]
  20. Xiang, K.; Guo, Q.; Zhang, B.; Wang, J.; Jin, N.; Wang, Z.; Liu, J.; Wang, C.; Du, Z.; Wang, L.; et al. Impact of preseason climate factors on vegetation photosynthetic phenology in mid–high latitudes of the northern hemisphere. Plants 2024, 13, 1254. [Google Scholar] [CrossRef]
  21. Ettinger, A.K.; Chamberlain, C.J.; Morales-Castilla, I.; Buonaiuto, D.M.; Flynn, D.F.B.; Savas, T.; Wolkovich, E.M. Winter temperatures predominate in spring phenological responses to warming. Nat. Clim. Chang. 2020, 10, 1137–1142. [Google Scholar] [CrossRef]
  22. Blanchard, M.G.; Runkle, E.S. Intermittent light from a rotating high-pressure sodium lamp promotes flowering of long-day plants and seedlings. HortScience 2010, 45, 236–241. [Google Scholar] [CrossRef]
  23. Lang, A. Physiology of flower initiation. In Encyclopedia of Plant Physiology; Ruhland, W., Ed.; Springer: Berlin, Germany, 1965. [Google Scholar]
  24. Michigan State University Extension Floriculture & Greenhouse Crop Production. Life After Cold! Available online: https://www.canr.msu.edu/resources/vernalization-part-4 (accessed on 1 June 2024).
  25. Michigan State University Extension Floriculture & Greenhouse Crop Production. Cool Campanula. Available online: https://www.canr.msu.edu/resources/cool-campanula (accessed on 1 June 2024).
  26. Song, S.J.; Jeong, M.J.; Lee, S.Y. Ecophysiology of growth and flowering of four Korean native Veronica taxa in response to the photoperiod and cold treatment. Acta Hortic. 2020, 1291, 205–214. [Google Scholar] [CrossRef]
  27. Im, N.H.; Lim, S.H.; Lee, H.B.; An, S.K.; Lee, S.Y.; Kim, K.S. Growth and flowering responses of Lysimachia mauritiana Lam. to cold treatment and photoperiod. Sci. Hortic. 2020, 270, 109429. [Google Scholar] [CrossRef]
  28. Clough, E.A.; Cameron, A.C.; Heins, R.D.; Carlson, W.H. Growth and development of Oenothera fruticosa is influenced by vernalization duration, photoperiod, forcing temperature, and plant growth regulators. J. Am. Soc. Hortic. Sci. 2001, 126, 269–274. [Google Scholar] [CrossRef]
  29. Park, J.W.; Im, N.H.; Lee, H.B. Corydalis speciosa Maxim. is a day-neutral plant with an obligate cold requirement. Sci. Hortic. 2024, 325, 112686. [Google Scholar] [CrossRef]
  30. Lim, S.H.; Im, N.H.; An, S.K.; Lee, H.B.; Kim, K.S. Korean native Veronica rotunda and Veronica longifolia are day-neutral plants with no vernalization requirements. Hortic. Environ. Biotechnol. 2021, 62, 859–869. [Google Scholar] [CrossRef]
  31. Whitman, C.M.; Runkle, E.S. Determining the flowering requirements of two Aquilegia cultivars. HortScience 2012, 47, 1261–1264. [Google Scholar] [CrossRef]
  32. Mattson, N.S.; Erwin, J.E. The impact of photoperiod and irradiance on flowering of several herbaceous ornamentals. Sci. Hortic. 2005, 104, 275–292. [Google Scholar] [CrossRef]
  33. Taiz, L.; Zeiger, E.; Møller, I.M.; Murphy, A. Plant Physiology and Development, 6th ed.; Oxford University Press: Oxford, UK, 2018. [Google Scholar]
  34. Ha, T.M. A review of plants’ flowering physiology: The control of floral induction by juvenility, temperature and photoperiod in annual and ornamental crops. Asian J. Agric. Food Sci. 2014, 2, 186–195. [Google Scholar]
  35. Runkle, E.S.; Heins, R.D.; Cameron, A.C.; Carlson, W.H. Photoperiod and cold treatment regulate flowering of Rudbeckia fulgida ‘Goldsturm’. HortScience 1999, 34, 55–58. [Google Scholar] [CrossRef]
  36. Runkle, E.S.; Heins, R.D.; Cameron, A.C.; Carlson, W.H. Flowering of Leucanthemum × superbum ‘Snowcap’ in response to photoperiod and cold treatment. HortScience 1998, 33, 1003–1006. [Google Scholar] [CrossRef]
  37. Runkle, E.S.; Heins, R.D.; Cameron, A.C.; Carlson, W.H. Cold treatment modifies the photoperiodic flowering response of Lobelia × speciosa. Sci. Hortic. 1999, 80, 247–258. [Google Scholar] [CrossRef]
  38. Ferguson, B.J.; Beveridge, C.A. Roles for auxin, cytokinin, and strigolactone in regulating shoot branching. Plant Physiol. 2009, 149, 1929–1944. [Google Scholar] [CrossRef]
  39. Roberts, E.; Summerfield, R. Measurement and Prediction of Flowering in Annual Crops. In Manipulation of Flowering; Atherton, J.G., Ed.; Butterworth’s: London, UK, 1987; pp. 17–51. [Google Scholar]
  40. Harmon-Threatt, A.N.; Kremen, C. Bumble bees selectively use native and exotic species to maintain nutritional intake across highly variable and invaded local floral resource pools. Ecol. Entomol. 2015, 40, 471–478. [Google Scholar] [CrossRef]
  41. Menz, M.H.M.; Phillips, R.D.; Winfree, R.; Kremen, C.; Aizen, M.A.; Johnson, S.D.; Dixon, K.W. Reconnecting plants and pollinators: Challenges in the restoration of pollination mutualisms. Trends Plant Sci. 2011, 16, 4–12. [Google Scholar] [CrossRef] [PubMed]
Figure 1. Daily air temperatures in the open field during Expt. 1.
Figure 1. Daily air temperatures in the open field during Expt. 1.
Horticulturae 11 00188 g001
Figure 2. Average air temperature and daily light integral in the greenhouse during Expt. 2.
Figure 2. Average air temperature and daily light integral in the greenhouse during Expt. 2.
Horticulturae 11 00188 g002
Figure 3. Seasonal changes in growth characteristics of Minuartia laricina (L.) Mattf. in the open field experiment. Plant height and width (A), the number of branches and branch length (B), the number of visible buds and flowers (C), and visible bud and flowering rate (D) were assessed. Vertical bars are standard errors.
Figure 3. Seasonal changes in growth characteristics of Minuartia laricina (L.) Mattf. in the open field experiment. Plant height and width (A), the number of branches and branch length (B), the number of visible buds and flowers (C), and visible bud and flowering rate (D) were assessed. Vertical bars are standard errors.
Horticulturae 11 00188 g003
Figure 4. Seasonal changes in the phenotype of Minuartia laricina (L.) Mattf. during Expt. 1. on 20 October 2022 (A), 21 January 2023 (B), 21 March 2023 (C), 12 April 2023 (D), 10 May 2023 (E), and 20 September 2023 (F).
Figure 4. Seasonal changes in the phenotype of Minuartia laricina (L.) Mattf. during Expt. 1. on 20 October 2022 (A), 21 January 2023 (B), 21 March 2023 (C), 12 April 2023 (D), 10 May 2023 (E), and 20 September 2023 (F).
Horticulturae 11 00188 g004
Figure 5. Effects of cold duration and photoperiods on flowering rate (A) and the time to flowering (B) in Minuartia laricina (L.) Mattf. Different letters within each cold treatment indicate significant differences at p < 0.05 (Duncan’s multiple range tests). Vertical bars represent standard errors.
Figure 5. Effects of cold duration and photoperiods on flowering rate (A) and the time to flowering (B) in Minuartia laricina (L.) Mattf. Different letters within each cold treatment indicate significant differences at p < 0.05 (Duncan’s multiple range tests). Vertical bars represent standard errors.
Horticulturae 11 00188 g005
Figure 6. Effects of cold treatments and photoperiods on growth and flowering of Minuartia laricina (L.) Mattf. The photos were taken at 15 weeks after photoperiod following cold treatment: front view (A), and top view (B).
Figure 6. Effects of cold treatments and photoperiods on growth and flowering of Minuartia laricina (L.) Mattf. The photos were taken at 15 weeks after photoperiod following cold treatment: front view (A), and top view (B).
Horticulturae 11 00188 g006
Figure 7. Relationship between the duration of cold treatment and the number of flowers in Minuartia laricina (L.) Mattf. under various photoperiods at 15 weeks after cold treatment. The photoperiod treatments are 9/15, 11/13, 13/11, 16/8, 24/10 (day/night) h, and night interruption (NI). Each data point represents the average of flower numbers, but the regression analysis was performed with all data. Bars represent standard errors. *, significant at p < 0.05; ***, significant at p < 0.001.
Figure 7. Relationship between the duration of cold treatment and the number of flowers in Minuartia laricina (L.) Mattf. under various photoperiods at 15 weeks after cold treatment. The photoperiod treatments are 9/15, 11/13, 13/11, 16/8, 24/10 (day/night) h, and night interruption (NI). Each data point represents the average of flower numbers, but the regression analysis was performed with all data. Bars represent standard errors. *, significant at p < 0.05; ***, significant at p < 0.001.
Horticulturae 11 00188 g007
Figure 8. Observed pollinators during Expt. 1 with Minuartia laricina (L.) Mattf. Seladonia aeraria (A), Apis mellifera (B), Andrena sp. (C), Eristalis cerealis (D), Pseudozizeeria maha (E), and Formicidae sp. (F).
Figure 8. Observed pollinators during Expt. 1 with Minuartia laricina (L.) Mattf. Seladonia aeraria (A), Apis mellifera (B), Andrena sp. (C), Eristalis cerealis (D), Pseudozizeeria maha (E), and Formicidae sp. (F).
Horticulturae 11 00188 g008
Table 1. Air temperature and daily light integral for the benches of each photoperiod treatment in Expt. 2.
Table 1. Air temperature and daily light integral for the benches of each photoperiod treatment in Expt. 2.
Cold Treatment
(Weeks)
PhotoperiodAvg. Daily Air Temperature
(°C)
DLI
(mol∙m−2∙d−1)
09 h16.0±0.9 17.2±0.3 1
11 h15.7±1.06.8±0.3
13 h15.9±1.06.1±0.2
16 h16.5±1.15.9±0.2
24 h17.9±1.06.8±0.3
NI 217.8±0.97.0±0.3
29 h15.9±0.97.0±0.3
11 h15.5±0.96.5±0.3
13 h15.7±1.05.9±0.2
16 h16.3±1.05.8±0.2
24 h17.6±0.96.5±0.3
NI17.7±0.96.9±0.3
49 h16.1±1.07.7±0.4
11 h15.7±1.17.2±0.4
13 h15.9±1.16.6±0.3
16 h16.5±1.06.6±0.3
24 h17.6±0.97.3±0.4
NI17.9±0.97.6±0.4
89 h17.3±1.17.9±0.4
11 h17.3±1.28.1±0.4
13 h17.3±1.18.0±0.4
16 h17.6±1.18.2±0.4
24 h18.6±1.08.1±0.4
NI18.7±0.87.9±0.4
129 h20.5±1.37.8±0.4
11 h20.5±1.48.2±0.4
13 h20.7±1.39.0±0.4
16 h20.8±1.29.5±8.1
24 h21.1±1.38.1±0.4
NI20.6±1.28.0±0.4
1 Means ± SD of average daily air temperature and daily light integral (DLI). 2 NI means 9 h with a 4 h night interruption (22:00–02:00 HR).
Table 2. Growth characteristics of Minuartia laricina (L.) Mattf at 15 weeks after photoperiod following cold treatment.
Table 2. Growth characteristics of Minuartia laricina (L.) Mattf at 15 weeks after photoperiod following cold treatment.
Cold Treatment
(Weeks)
PhotoperiodPlant Height
(cm)
Plant Width
(cm)
Number of BranchesNumber of
Flowers
09 h3.1b 111.1c15.6d0
11 h3.0b11.2c17.4c0
13 h3.2b12.5c18.4c0
16 h3.6b14.5b21.3b0
24 h5.9a23.5a24.3a0.3
NI3.5b15.2b20.8b0
29 h3.5bc12.0d16.7d0b
11 h3.6bc13.5d17.7cd0b
13 h3.0c15.9c18.7c0b
16 h3.8bc21.2b21.3b0.5b
24 h5.4a25.9a24.8a9.3a
NI4.0b20.8b21.3b0b
49 h4.0c16.4d16.4e0c
11 h4.2c18.8c18.6de0.2c
13 h4.2c19.9c19.3cd1.3c
16 h5.8ab22.0b21.5bc8.9b
24 h6.8a26.1a24.0a18.8a
NI5.2bc22.8b21.8ab12.4b
89 h4.0d19.2d17.8c0.2c
11 h4.8cd20.9d18.0c0.9c
13 h6.0bc25.8c19.2c11c
16 h7.7a29.8b27.0b31.7b
24 h8.5a32.3a33.5a65.8a
NI7.3ab29.5b28.8b29.9b
129 h4.8e18.1d18.8c1.8c
11 h7.2d22.2c18.8c7.8c
13 h9.2c27.1b20.3c23.6b
16 h10.8b29.0b28.8b29.3b
24 h12.5a32.7a38.6a74.5a
NI10.6bc28.9B29.6b32b
Significance
Cold treatment (C)************
Photoperiod (P)************
C × P************
1 Different letters within each cold treatment indicate significant differences at p < 0.05 (Duncan’s multiple range tests). *** means significant at p < 0.001, respectively.
Disclaimer/Publisher’s Note: The statements, opinions and data contained in all publications are solely those of the individual author(s) and contributor(s) and not of MDPI and/or the editor(s). MDPI and/or the editor(s) disclaim responsibility for any injury to people or property resulting from any ideas, methods, instructions or products referred to in the content.

Share and Cite

MDPI and ACS Style

Lee, D.G.; Park, S.; Kim, C.W.; Kim, J.H.; Lee, S.Y. Flowering Responses to Vernalization and Photoperiod in Minuartia laricina (L.) Mattf., a Perennial Herb in the Korean Peninsula. Horticulturae 2025, 11, 188. https://doi.org/10.3390/horticulturae11020188

AMA Style

Lee DG, Park S, Kim CW, Kim JH, Lee SY. Flowering Responses to Vernalization and Photoperiod in Minuartia laricina (L.) Mattf., a Perennial Herb in the Korean Peninsula. Horticulturae. 2025; 11(2):188. https://doi.org/10.3390/horticulturae11020188

Chicago/Turabian Style

Lee, Dong Gyu, Suejin Park, Chae Won Kim, Jae Hui Kim, and Seung Youn Lee. 2025. "Flowering Responses to Vernalization and Photoperiod in Minuartia laricina (L.) Mattf., a Perennial Herb in the Korean Peninsula" Horticulturae 11, no. 2: 188. https://doi.org/10.3390/horticulturae11020188

APA Style

Lee, D. G., Park, S., Kim, C. W., Kim, J. H., & Lee, S. Y. (2025). Flowering Responses to Vernalization and Photoperiod in Minuartia laricina (L.) Mattf., a Perennial Herb in the Korean Peninsula. Horticulturae, 11(2), 188. https://doi.org/10.3390/horticulturae11020188

Note that from the first issue of 2016, this journal uses article numbers instead of page numbers. See further details here.

Article Metrics

Back to TopTop