Next Article in Journal
Water-Stress Influences on Three New Promising HLB-Tolerant Citrus Rootstocks
Previous Article in Journal
Detection of Above-Ground Physiological Indices of an Apple Rootstock Superior Line 12-2 with Improved Apple Replant Disease (ARD) Resistance
 
 
Font Type:
Arial Georgia Verdana
Font Size:
Aa Aa Aa
Line Spacing:
Column Width:
Background:
Article

Effects of 1-Methylcyclopropene Treatment on Fruit Quality during Cold Storage in Apple Cultivars Grown in Korea

1
Tree Fruit Research and Extension Center, Washington State University, Wenatchee, WA 98801, USA
2
Department of Horticultural Science, Kyungpook National University, Daegu 41566, Korea
3
Apple Research Institute, National Institute of Horticultural and Herbal Science, RDA, Gunwi 39000, Korea
4
Plant Immunity Research Center, Seoul National University, Seoul 08826, Korea
5
School of Food Science and Biotechnology, Kyungpook National University, Daegu 41566, Korea
6
School of Applied Biosciences, Kyungpook National University, Daegu 41566, Korea
*
Author to whom correspondence should be addressed.
These authors contributed equally to this work.
Horticulturae 2021, 7(10), 338; https://doi.org/10.3390/horticulturae7100338
Submission received: 4 August 2021 / Revised: 13 September 2021 / Accepted: 22 September 2021 / Published: 24 September 2021
(This article belongs to the Section Postharvest Biology, Quality, Safety, and Technology)

Abstract

The effect of 1-methylcyclopropene (1-MCP) treatment on improving the storability of four apple cultivars (‘Hwangok’, ‘Picnic’, ‘Gamhong’, and ‘Fuji’) was investigated by analyzing the physiological and biochemical factors associated with their postharvest quality attributes. The flesh firmness, titratable acidity, and soluble solids content of the cultivars were higher in treated fruits than untreated fruits, while the opposite results were observed for ethylene production. In the treated fruits, the traits affected by 1-MCP varied depending on the cultivars used. Higher firmness and lower ethylene production were observed in the ‘Hwangok’ and ‘Picnic’ than ‘Gamhong’ and ‘Fuji’ cultivars. However, 1-MCP only affected weight loss in the ‘Gamhong’ cultivar, while the sugar content was affected in all of the cultivars except ‘Hwangok’. When analyzing cell wall hydrolase activities, 1-MCP differently affected the activities (β-galactosidase, α-galactosidase, β-glucosidase, α-mannosidase, β-xylosidase, and β-arabinosidase), with greater effects in the ‘Fuji’ and ‘Picnic’ cultivars and moderate effects in the ‘Gamhong’ and ‘Hwangok’ cultivars. In this study, the suppression of ethylene production by 1-MCP was positively associated with a transcriptional decrease in the ethylene biosynthesis genes MdACS1 and MdACO1. Overall, this study suggests that 1-MCP distinctly enhanced the storability of all apple cultivars, with a greater effect on ‘Hwangok’.

1. Introduction

Korea is a major producer of apples, and its areas under apple cultivation and apple production have steadily increased and reached 33,330 ha and 576,000 metric tons in 2016–2017 [1]. Of the cultivars grown in Korea, ‘Fuji’ has covered over 60% of the total cultivation area for several years, due to its good quality attributes that satisfy consumer preferences [2]. However, apple market prices have decreased gradually in recent years in Korea due to increased apple production and shifting consumer demand [2]. Hence, Korean producers are increasingly planting alternative apple varieties, such as early or medium maturing varieties, to satisfy diversifying consumer demand and to overcome increased market competition [2]. Therefore, new apple varieties have been developed, such as ‘Gamhong’, ‘Picnic’, and ‘Hwangok’, which have high-quality attributes with low ethylene production, were introduced to the market [3,4]. However, appropriate storage methods are necessary to supply these apple varieties to the market year-round. Unfortunately, the physiological and molecular mechanisms that underlie the deterioration of fruit quality during storage are not well known for these new varieties. Therefore, in this study, we investigated the postharvest physiological mechanism of the ‘Gamhong’, ‘Picnic’, and ‘Hwangok’ cultivars comparing their postharvest fruit quality attributes to the ‘Fuji’ cultivar.
Ethylene is well known as the regulator of many plants’ physiological and development processes, including seed growth and germination, ripening, and senescence [5,6]. In general, ethylene regulates the ripening process by coordinating gene expression of key enzymes that are involve in ethylene biosynthesis and perception [4]. In fruits, ethylene is primarily synthesized during the fruit ripening period by the transcriptional activation of ethylene biosynthesis genes (ACS and ACO) [7,8,9,10]. Then, ethylene signaling is initiated upon its binding to the ethylene receptors [7,11]. The overproduction of ethylene during storage negatively affects fruit quality attributes, such as texture, flesh firmness, soluble solids content, and fruit acidity content, especially for climacteric fruits [12], as they are associated with softening-related cell wall hydrolase enzyme activities that control the fruit quality attributes [13,14,15,16]. Therefore, ethylene production in fruits needs to be effectively reduced to delay the deterioration of their quality attributes.
In climacteric fruits, 1-methylcyclopropene (1-MCP) has been widely used to inhibit ethylene production and maintain fruit quality attributes during storage [17,18,19]. However, the positive effect of 1-MCP on ethylene reduction and fruit quality maintenance still varies depending on the genotype [20,21,22]. Therefore, further investigation of the role of 1-MCP is necessary for new cultivars that have not been well characterized. In this study, we treated four cultivars ‘Hwangok’, ‘Picnic’, ‘Fuji’, and ‘Gamhong’ with 1-MCP and investigated whether 1-MCP could effectively reduce ethylene production and maintain fruit quality attributes by determining their quality, cell wall components and hydrolase activities, and ethylene production and expression levels of ethylene biosynthesis genes in comparison with non-1-MCP treated fruits (controls) during cold storage at 0 °C. Additionally, the storage durability of the new cultivars was compared to that of the ‘Fuji’ and ‘Gamhong’ cultivars.

2. Materials and Methods

2.1. Plant Materials and Treatment

The fruit samples ‘Gamhong’ (M.9) and ‘Fuji’ (M.9) apples were harvested on 16 October and 3 November 2015 from a commercial orchard in Sangju, Gyeongsangbuk-do, Korea. The fruit samples of ‘Hwangok’ (M.9) and ‘Picnic’ (M.9) apples were harvested on 17 September and 24 September 2015 from Apple Research Institute, Gunwi, Gyeongsangbuk-do, Korea. Cornell starch-iodine index chart was used for predicting the harvest date of all apple cultivars for long-term storage [23]. The parentage, year released of the cultivars, phenotype, and physiological characteristics of the four apple cultivars used in this study are presented in Supplementary Table S1 [24] and Table S2, respectively.
A total of 780 uniform-size fruits (195 fruits each for four cultivars), which were free from visible damage and infection, was selected for this study. Then, the fruits from each cultivar were divided into two groups (90 fruits per group), and the remaining 15 fruits were used for fruit quality analysis of 0 month (harvest). One group was treated with 1 μL·L−1 1-MCP (SmartFreshTM, AgroFresh, Yakima, WA, USA) for 18 h at 20 °C in an enclosed container [17]. According to Zhang et al. [25], a 1-MCP concentration of 1 μL·L−1 affected most ripening physiological indicators of climacteric fruits. Thus, 1 μL·L−1 1-MCP concentration has been chosen for this study. The other fruit group was used as the untreated control group. The treated and untreated fruits were stored at 0 ± 1 °C at 90–95% relative humidity, and the assessments were evaluated at a one month interval for up to six months. At one interval, fifteen individual fruits per treatment from each cultivar (n = 15) were removed from storage and used for all assessments in this study.

2.2. Assessments of Fruit Quality Attributes

For ethylene production, fruits were placed individually into 1.6 L enclosed containers for 1 h, and 1 mL of headspace gas was taken and injected into a gas chromatograph (GC-2010, Shimadzu Co., Tokyo, Japan), which was activated with a capillary column and flame ionization detector. For internal ethylene concentration (IEC), a hypodermic needle (a stainless steel 18 gauge 3.8 cm long) was inserted into the core cavity through the calyx end of the apple fruit, and 1 mL sample of internal gas was taken into a syringe through the needle [26]. Then, the sample gas was injected into a chromatograph. Both IEC and ethylene production were analyzed isothermally at 90 °C oven temperature activated with injector and detector temperatures at 100 and 200 °C, respectively, with a 25 mL·min−1 He flow rate. The amount of ethylene was quantified by peak area using an internal standard for calibration.
Flesh firmness was measured using a Rheo-meter (Compac-100II, Sun Scientific Co., Tokyo, Japan), and three locations per fruit were sampled around the equator regions of the fruit, and the unit of measurement was expressed as newtons (N). Titratable acidity (TA) and the soluble solids content (SSC) were measured using a juice sample of individual fruit. The TA was measured using a mixture of 5 mL of juice sample and 45 mL of DDW, which was titrated at a titrator (DL-15, Mettler Toledo, Columbus, OH, USA), following the reduction method of malic acid equivalent [19]. SSC was measured using a refractometer (PR-201α, Atago Co., Ltd., Tokyo, Japan). The fruit weight loss was measured on the loss of fruit water content before and after storage of fifteen individual fruit throughout the storage period.
After the assessment of quality attributes, 10 g of each flesh tissue sample from fifteen individual fruits was frozen, divided into three groups, and stored at −80 °C for further analysis of cell wall materials, enzyme activities, and the expression of genes.

2.3. Extraction of Cell Wall Materials

Cell wall materials were extracted and determined using the methods of Yoo et al. [16] and Yamaki et al. [27]. Frozen tissue samples (of 10 g) were extracted with 100 mL of boiling ethanol for 40 min at 80 °C. The extracted residue was filtered through a filter paper (No. 4, Whatman International Ltd., Kent, UK), then washed successively with ethanol and acetone, and air-dried for 24 h at 30 °C. The air-dried powder was used as alcohol insoluble substances (AIS) for cell wall material and polysaccharide analysis. For the analysis of cell wall materials, the sample solution was prepared by extracting the AIS sample (10 mg) with sulfuric acid (2 mL) for 30 min and filling it up to 50 mL with distilled water.

2.4. Determination of Total Sugar and Uronic Acid Content

The amount of total sugar and uronic acid content was determined according to the method described by Yoo et al. [16].
The AIS sample (0.5 mL) and 5% phenol (0.5 mL) were added to a test tube to determine the total sugar content. After adding sulfuric acid (2.5 mL) into the mixture, the reaction was incubated for 30 min and read against a blank at 490 nm using a spectrophotometer (UV-1800 Shimadzu, Tokyo, Japan). A glucose standard curve was used to calculate the content of total sugar content, which was expressed as μg·mg−1 of AIS.
The uronic acid content was determined by using the AIS sample (0.5 mL) and sulfuric acid (3 mL), which were added to a test tube. Then, the mixture was activated for 30 min in boiling water, and it was cooled on ice. After adding 0.1% of carbazole (0.1 mL) into the mixture, the reaction was incubated at 30 °C for 2 h and read against a blank at 530 nm using a spectrophotometer. A D-galactruronic acid standard curve was used to calculate the content of uronic acid, which was expressed as μg·mg−1 of AIS.

2.5. Extraction of Cell Wall Hydrolase Enzyme Activities

Cell wall hydrolases were extracted and measured using the methods of Yoo et al. [16] and Pressey [28]. All of the extraction steps were conducted at approximately 4 °C. A frozen tissue sample (50 g) was homogenized with 100 mL of 10 mM sodium phosphate buffer (pH 7.0) containing polyvinylpolypyrrolidone (75 mg). Then, the homogenate was stirred for 3 h at 4 °C after adding NaCl (8.775 g). Next, the suspension was centrifuged for 1 h (12,000× g, at 4 °C), the supernatants were collected, and then it was stirred for 12 h after adding ammonium sulfate. Then, the suspension was centrifuged again for 1 h (12,000× g, at 4 °C), and the pellets were collected. The collected pellets were dialyzed for 2 d by dissolving them in 10 mM of sodium phosphate buffer. Lastly, the dialyzed solution was centrifuged for 1 h (22,000× g, at 4 °C), and the crude extract was collected and used to analyze the activities of cell wall hydrolase enzymes.

2.6. Determination of Cell Wall Hydrolase Enzyme Activities

The activities of β-Gal, α-Gal, β-Glc, α-Man, β-Ara, and β-Xyl were determined by measuring the amount of ρ-nitrophenol that was released from each ρ-nitrophenyl-pyranoside (Sigma-Aldrich Co., St. Louis, MO, USA). The crude extract (250 μL) and 10 mM sodium acetate buffer (250 μL; pH 4.0) were added to a test tube. Then, 2% of each ρ-nitrophenyl-pyranoside (125 μL) was added to the test tube, and the mixture was incubated for 1 h at 30 °C. After adding 1 M sodium carbonate (1 mL) into the reaction, the absorbance was read at 410 nm using a spectrophotometer. One unit of enzyme was defined as the quantity of activities released from 1 μmol of ρ-nitrophenyl per kg over 1 h at 30 °C on a fresh weight basis.

2.7. Transcriptional Analysis of Ethylene Biosynthesis and Receptor Genes

MdACS1, MdACO1, and MdETR2 genes were evaluated using real-time PCR [29]. First, RNA was extracted from untreated and treated flesh tissue samples (100 mg) following the manufacturer’s instructions (Robospin PlantTM Kit, GeneAll, Seoul, Korea). Untreated, harvested fruit was used as a positive control. Reverse transcription was performed using 1 μg of the total RNA and oligo dT18 primers following the manufacture’s protocol (Promega Corporation, Madison, WI, USA). The expression levels of genes were determined using a StepOnePlus real-time PCR system (Thermo Fisher Scientific, Waltham, MA, USA) normalized to the actin gene in the cDNA template. The analysis was repeated three times. The PCR conditions and primer sequences were selected from previous studies [8,9,30], and they are reported in Supplementary Table S3.

2.8. Statistical Analysis

All data were analyzed using SPSS statistical software (IBM SPSS-25, SPSS Inc., Armonk, NY, USA). Analysis of variance (ANOVA) was used to perform on all variables to find statistical differences between treatments at 95% level of significance. An individual student T-test was used for mean separation between control and 1-MCP treatments at * p < 0.05 and ** p < 0.01 levels of significance. Pearson’s correlation coefficient was used to analyze the relationship between the analyses of four apple cultivars. The correlation analysis was performed with three replications (n = 3), and the results are presented at * p < 0.05 and ** p < 0.01 levels of significance.

3. Results

3.1. Fruit Quality Attributes

Of the four apple cultivars, the highest level of flesh firmness was observed in ‘Hwangok’ and ‘Picnic’ apples at their commercial harvest time (Figure 1A–D). However, during cold storage, the flesh firmness was reduced in all apple cultivars, especially in untreated fruits. In comparison with 1-MCP-treated fruits, there was a significant loss of flesh firmness in untreated fruits, especially during storage (from two to six months) in the ‘Picnic’ and ‘Gamhong’ cultivars, and during later storage (from four to six months) in ‘Hwangok’ and ‘Fuji’ apples (Figure 1A–D).
Similarly, like flesh firmness, TA reduced in all apple cultivars during storage. Of the four cultivars, ‘Hwangok’ had the highest acidity (Figure 1E–H). In comparison with 1-MCP treated fruits, there was a significant loss of TA in untreated fruit during storage (from two to six months) in ‘Picnic’ and ‘Gamhong’ cultivars, from three to six months in the ‘Fuji’ cultivar, and from four to six months in ‘Hwangok’ apples (Figure 1E–H). Of the four cultivars, ‘Fuji’ had the lowest SSC (Figure 1I–L). The SSC increased in all apple cultivars during storage, whereas the SSC of 1-MCP-treated fruits was higher than that of untreated control fruit in all apple cultivars (Figure 1I–L).
Compared with untreated fruits, 1-MCP significantly inhibited the increase in both the IEC and ethylene production in all apple cultivars during storage (Figure 2A–H). The ‘Fuji’ apples had high IECs and ethylene production, while ‘Hwangok’ and ‘Picnic’ apples had low IECs and ethylene production, especially in untreated fruits (Figure 2A–H). Weight loss was directly related to the storage duration (Figure 2I–L). However, the suppression of weight loss by 1-MCP varied by cultivar, and it was only shown in the ‘Gamhong’ apple cultivar. Of the four apple cultivars, weight loss was highest in the ‘Picnic’ apple cultivar (Figure 2I–L).

3.2. Total Sugar and Uronic Acid Contents

The total sugar and uronic acid contents are important for composition of cell wall polysaccharides which are solubilized during fruit softening. The total sugar content increased in ‘Hwangok’ and ‘Picnic’ apples, while it decreased in ‘Gamhong’ and ‘Picnic’ apples (Figure 3A–D). Compared with untreated fruits, the total sugar content in 1-MCP-treated fruits was higher in all the apple cultivars, especially at the end of storage, except in the ‘Hwangok’ cultivar (Figure 3A–D). However, in all four cultivars, the uronic acid content was not affected by 1-MCP (Figure 3E–H).

3.3. Cell Wall Hydrolase Enzyme Activities

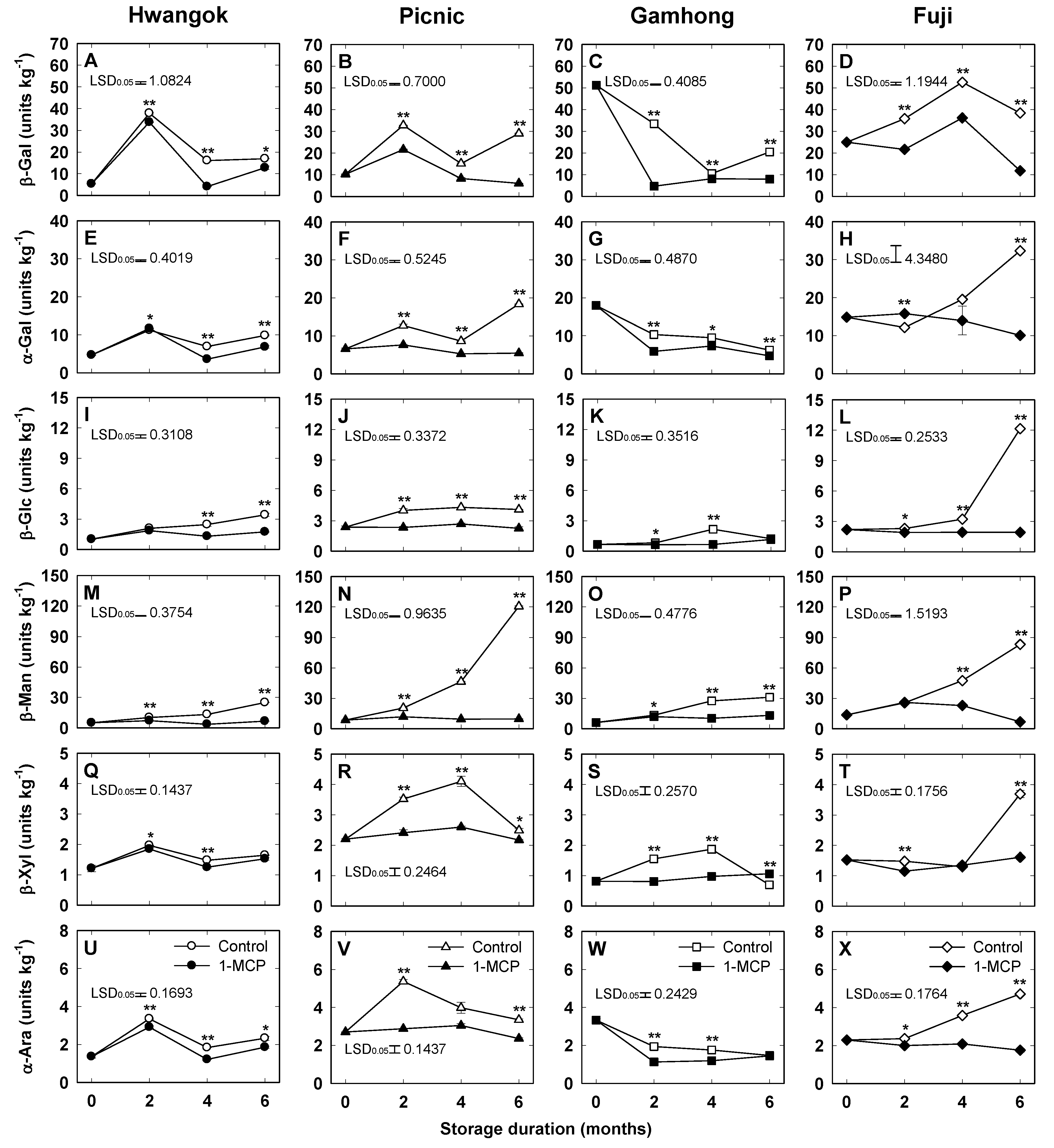
Fruit softening is regulated by the activities of cell wall hydrolase enzymes, which contribute to the cell wall disassembly of fruit. The activities of hydrolase enzymes (β-Gal, α-Gal, β-Glc, α-Man, β-Xyl, and β-Ara) were higher in untreated fruits than 1-MCP-treated fruits (Figure 4). The hydrolase activities of untreated fruits were critically higher in ‘Fuji’ (Figure 4D,H,L,P,T,X) and ‘Picnic’ apples (Figure 4B,F,J,N,R,V) and moderately higher in ‘Hwangok’ (Figure 4A,E,I,M,Q,U) and ‘Gamhong’ (Figure 4C,G,K,O,S,W) apples than 1-MCP-treated fruits.

3.4. Expression Analysis of Ethylene Biosynthesis and Receptor Genes

The expression of ethylene biosynthesis (MdACS1 and MdACO1) and receptor (MdETR2) genes was further investigated to analyze the involvement of 1-MCP in the ethylene mechanism (Figure 5). In all apple cultivars, the expression level of MdACS1 genes was significantly higher in untreated fruits than 1-MCP-treated fruits (Figure 5A–D). A similar result was observed for the expression of the MdACO1 gene, which was significantly more expressed in untreated than treated fruits (Figure 5E–H). Notably, there were high expression levels of both MdACS1 and MdACO1 genes in ‘Gamhong’ apples (Figure 5A–H). However, in the receptor MdETR2 gene, the expression level of the gene was higher in untreated fruits than treated fruits in all cultivars, except the ‘Hwangok’ cultivar (Figure 5I–L).

3.5. Pearson’s Correlation Coefficient Analysis

Pearson’s correlation analysis was used to evaluate the relationship between the ethylene response genes and the fruit quality attributes, cell wall materials, and hydrolase activities. For all apple cultivars, there was a stronger correlation between these factors for untreated fruit than treated fruit (Figure 6). Flesh firmness, weight loss, TA, ethylene production, and IEC were strongly correlated with each other, especially in untreated fruits. Particularly, in untreated ‘Fuji’ apples, the ethylene response genes were strongly correlated with firmness and cell wall hydrolase activities (Figure 6).

4. Discussion

After harvest and during storage, the loss of fruit quality, which is associated with ethylene production, is a major challenge in the maintenance of quality attributes in apples. Therefore, 1-MCP has been widely used in many apple fruit industries to control ethylene production, which is associated with delaying the fruit ripening mechanism. However, the effect of 1-MCP highly depends on the cultivar used. Therefore, this study helps to understand differences in the physiological and biochemical characteristics of the apple cultivars and their responses to 1-MCP during fruit ripening.
Flesh firmness is an indicator of fruit maturity or softening. For long-term storage, combined storage in air or controlled atmosphere with 1-MCP can effectively maintain flesh firmness, and cold storage with 1-MCP can delay the loss of firmness in apple cultivars [17,31], as similarly observed in this study. Additionally, TA is important for taste, and the stability of the TA content in apples is associated with the fruit respiration rate and ethylene production [19,32,33]. Firmness and TA follow a similar trend, and the reduction of these factors during postharvest storage is a characteristic of fruit ripening. However, reductions in firmness and TA can be delayed by 1-MCP [19]. Similarly, firmness and TA were positively correlated in this study, and the correlation was more significant in untreated than treated fruit. The SSC is a factor that is important for consumer preferences, and it measures a marketable quality trait. Notably, previous research has found that during cold storage, SSC can be increased by 1-MCP [17,34], which is in agreement with our findings. Additionally, TA and SSC were negatively correlated in this study, indicating that the reduction of TA is associated with the increase in SSC during apple fruit ripening.
Climacteric fruits naturally produce large amounts of ethylene at the onset of ripening [35]. An increase in the level of endogenous ethylene is considered to be the immediate trigger of ripening in climacteric fruits [35]. Therefore, IEC is commonly used as a maturity index to determine commercial harvest dates for apple fruits [36]. Previous research has shown that ‘Hwangok’ and ‘Picnic’ are low ethylene cultivars compared with other apple cultivars [4], which is in agreement with our findings that the ‘Hwangok’ and ‘Picnic’ cultivars had a very low level of ethylene, while ‘Fuji’ apples had a high ethylene concentration during storage. Ethylene production is associated with the climacteric ripening stage of fruit, which occurs when untreated fruit ripen [37,38]. Additionally, ethylene production and the IEC were strongly negatively correlated with firmness and TA, indicating that fruit ripening is associated with ethylene production, resulting in a reduction in firmness and TA. This relationship was particularly observed in untreated fruit in this study. Therefore, the inhibition of ethylene by 1-MCP could delay fruit softening and fruit acidity, as reported in previous studies [18,19]. Additionally, the inhibition of ethylene by 1-MCP strongly depends on the apple cultivar and type of storage condition [17,39]. Fruit weight loss is associated with the fruit transpiration rate. However, the effect of 1-MCP fruit weight loss could also vary by cultivar [19]. Similarly, 1-MCP was only affected in ‘Gamhong’ apples in this study.
Neutral sugars are essential of the polymerization of the cell wall structure, and the solubilization of side-chain neutral sugar is an indicator of softening [40]. Cell wall pectin is bound with neutral sugars, and the loss of neutral sugars is highly associated with the reduction of flesh firmness [41,42,43]. In this study, the 1-MCP treatment slowed the solubilization of total sugars, especially at the end of storage. However, the middle lamella of the cell wall is rich in polyuronides, and the solubilization of uronic acid polymers could be due to the dissolution of the middle lamella, resulting in the loss of firmness [44]. Galacturonic acid is a sugar acid, which is the primary component of pectin, and it is used to determine the contents of uronic acid dissolution in the cell wall. Billy et al. [45] reported that the changes in galacturonic acid are strongly associated with changes in the crunchiness and firmness of the fruit. However, in this study, 1-MCP did not affect the uronic acid content of all cultivars.
The fruit softening mechanism is regulated by the activities of cell wall hydrolase enzymes, which are closely associated with ethylene production [13,14,15,16,46]. Hydrolase activities increase during storage, which is probably due to the changes in the mesocarp texture of the fruit [47,48]. Therefore, the increased activities of cell wall hydrolase enzymes could be due to the faster mechanism of fruit softening. Additionally, the cell wall hydrolase activities were positively correlated with IEC in all apple cultivars in this study. β-Ara and β-Gal are responsible for the removal of side-chain arabinosyl and galactosyl residues from cell wall pectin, resulting in the loss of firmness [13,43,49]. Additionally, Win et al. [19] reported on the relationship between ethylene and β-Ara and β-Gal enzymes during apple fruit softening. β-Glc and β-Xyl are responsible for the cellulose and hemicellulose network, and α-Gal and α-Man are involved in the oligosaccharides of pectin backbones [50]. Therefore, these hydrolase activities regulated the softening-related cell wall metabolism, and this mechanism was delayed by 1-MCP. The different hydrolase activities observed in this study could be due to the different cultivars and ripening mechanism of the fruit.
In ethylene metabolism, ACS and ACO are the key enzymes that catalyze the ethylene biosynthesis pathway [10,51]. However, ACS and ACO are encoded by multigene families [8,9,10]. Among them, the MdACS1 and MdACO1 genes are closely associated with climacteric ethylene production because of their higher expression patterns during ripening [10,52,53,54]. In this study, the expression levels of MdACS1 and MdACO1 were significantly higher in untreated fruit than treated fruit, and the different expression levels of these genes might be due to differences in cultivar [52]. ETR is a signal of ethylene receptor, which is also encoded with a multigene family. MdETR2 was selected to analyze the ethylene signal at the receptor level, and higher expression levels were found in untreated fruit of all the apple cultivars, except ‘Hwangok’. 1-MCP effectively blocks the ethylene response at the receptor level [55,56]. The function of the ethylene receptor is negatively regulated in the ethylene signaling pathway [57,58], and the increased expression of ethylene receptor genes in apple fruit could be due to the production of more proteins, which can repress the ethylene response [54]. The low level of expression of the MdETR2 gene in ‘Hwangok’ apple could be due to the low production of ethylene during ripening.

5. Conclusions

In conclusion, 1-MCP treatment delayed the ripening of all apple cultivars. However, the effects of 1-MCP on physiological and biochemical attributes were highly dependent on cultivar. Fruit ripening is associated with ethylene production, which influences changes in physiological attributes. The cell wall materials were solubilized when the fruit was softened, and this softening mechanism was regulated by the activities of cell wall hydrolase enzymes. Additionally, ethylene production is regulated by MdACO1 and MdACS1 genes, which is signaled by MdETR2. Therefore, this study suggests that 1-MCP treatment improved the storability of four apple cultivars, delaying the fruit ripening and softening mechanism. According to the results observed in this study, ‘Hwangok’ apple cultivar has a greater storability than other apple cultivars. Therefore, the new cultivar ‘Hwangok’ has the potential to become popular in the apple industry.

Supplementary Materials

The following are available online at https://www.mdpi.com/article/10.3390/horticulturae7100338/s1, Table S1: Phenotype of four apple cultivars used in this study at their commercial harvest time; Table S2: Physiological characteristics of four apple cultivars used in this study at their commercial harvest time; Table S3: Primer sets for qRT-PCR amplification of ethylene biosynthesis and receptor genes expression and PCR condition.

Author Contributions

Conceptualization, J.Y. and N.M.W.; methodology, J.Y. and N.M.W.; software, J.Y.; validation, J.Y. and N.M.W.; formal analysis, J.Y. and N.M.W.; investigation, J.Y. and N.M.W.; resources, J.Y. and I.-K.K.; data curation, J.Y. and N.M.W.; writing—original draft preparation, J.Y. and N.M.W.; writing—review and editing, J.Y., N.M.W., H.M., Y.-J.C., H.-Y.J., and I.-K.K.; visualization, H.M., Y.-J.C., H.-Y.J., and I.-K.K.; supervision, I.-K.K.; project administration, I.-K.K.; funding acquisition, I.-K.K. All authors have read and agreed to the published version of the manuscript.

Funding

This research was funded by the 2021 research fund of Rural Development Administration, Republic of Korea (PJ01586702).

Institutional Review Board Statement

Not applicable.

Informed Consent Statement

Not applicable.

Data Availability Statement

All the data used in this study are included in this article.

Conflicts of Interest

The authors declare no conflict of interest.

References

  1. Foreign Agriculture Service, United States Department of Agriculture (USDA). South Korea: 2017 Apple Report. Available online: https://www.fas.usda.gov/data/south-korea-2017-apple-report (accessed on 18 October 2017).
  2. Foreign Agriculture Service, United States Department of Agriculture (USDA). South Korea: Apple Report Update. Available online: https://kr.usembassy.gov/wp-content/uploads/sites/75/2019-Apple-Update_Seoul_Korea-Republic-of_12-03-2019.pdf (accessed on 8 December 2019).
  3. Shin, Y.U.; Whang, J.H.; Yae, B.W.; Kim, W.C.; Moon, J.Y.; Kim, J.H. ‘Gamhong’ a mid-season apple cultivar with high sugar content. Hortic. Sci. Technol. 1993, 11, 250–251. [Google Scholar]
  4. Yoo, J.; Lee, J.; Kwon, S.I.; Chung, K.H.; Lee, D.H.; Choi, I.M.; Mattheis, J.P.; Kang, I.K. Differences in ethylene and fruit quality attributes during storage in new apple cultivars. Hortic. Sci. Technol. 2016, 34, 257–268. [Google Scholar] [CrossRef]
  5. Abeles, F.B.; Morgan, P.W.; Saltveit, M.E. Ethylene in Plant Biology, 2nd ed.; Academic Press: San Diego, CA, USA, 1992. [Google Scholar] [CrossRef]
  6. Bouzayen, M.; Latche, A.; Nath, P.; Pech, J.C. Mechanism of fruit ripening. In Plant Developmental Biology-Biotechnological Perspectives; Pua, E.A., Davey, H.R., Eds.; Springer: Berlin, Germany, 2010; pp. 319–339. [Google Scholar] [CrossRef]
  7. Dal Cin, V.; Danesin, M.; Boschetti, A.; Dorigoni, A.; Ramina, A. Ethylene biosynthesis and perception in apple fruitlet abscission (Malus domestica L. Borkh). J. Exp. Bot. 2005, 56, 2995–3005. [Google Scholar] [CrossRef]
  8. Wiersma, P.A.; Zhang, H.; Lu, C.; Zuail, A.; Toivonen, P.M.A. Survey of the expression of genes for ethylene synthesis and perception during maturation and ripening of ‘Sunrise’ and ‘Golden Delicious’ apple fruit. Postharvest Biol. Technol. 2007, 44, 204–211. [Google Scholar] [CrossRef]
  9. Li, T.; Tan, D.; Yang, X.; Wang, A. Exploring the apple genome reveals six ACC synthase genes expressed during fruit ripening. Sci. Hortic. 2013, 157, 119–123. [Google Scholar] [CrossRef][Green Version]
  10. Yang, X.; Song, J.; Campbell-Palmer, L.; Fillmore, S.; Zhang, Z. Effect of ethylene and 1-MCP on expression of genes involved in ethylene biosynthesis and perception during ripening of apple fruit. Postharvest Biol. Technol. 2013, 78, 55–66. [Google Scholar] [CrossRef]
  11. Mata, C.I.; Magpantay, J.; Hertog, M.L.A.T.M.; Van de Poel, B.; Nicolai, B.M. Expression and protein levels of ethylene receptors, CTRs and EIN2 during tomato fruit ripening as affected by 1-MCP. Postharvest Biol. Technol. 2021, 179, 111573. [Google Scholar] [CrossRef]
  12. Martinez-Romero, D.; Bailen, G.; Serrano, M.; Guillen, F.; Valverde, J.M.; Zapata, P.; Castillo, S.; Valero, D. Tools to maintain postharvest fruit and vegetable quality through the inhibition of ethylene action: A review. Critic. Rev. Food Sci. Nutr. 2007, 47, 543–560. [Google Scholar] [CrossRef]
  13. Wei, J.; Ma, F.; Shi, S.; Qi, X.; Zhu, X.; Yuan, J. Changes and postharvest regulation of activity and gene expression of enzymes related to cell wall degradation in ripening apple fruit. Postharvest Biol. Technol. 2010, 56, 147–154. [Google Scholar] [CrossRef]
  14. Krongyut, W.; Srilaong, V.; Uthairatanakij, A.; Wongs-Aree, C.; Esguerra, E.B.; Kanlayanarat, S. Physiological changes and cell wall degradation in papaya fruits cv. ‘Kaek Dum’ and ‘Red Maradol’ treated with 1-methylcyclopropene. Int. Food Res. J. 2011, 18, 1251–1259. [Google Scholar]
  15. Chang, E.H.; Lee, J.S.; Kim, J.G. Cell wall degrading enzymes activity is altered by high carbon dioxide treatment in postharvest ‘Mihong’ peach fruit. Sci. Hortic. 2017, 225, 399–407. [Google Scholar] [CrossRef]
  16. Yoo, J.; Suk, Y.; Lee, J.; Jung, H.Y.; Choung, M.G.; Park, K.I.; Han, J.S.; Cho, Y.J.; Lee, D.H.; Kang, I.K. Preharvest sprayable 1-methylcyclopropene (1-MCP) effects on fruit quality attributes and cell wall metabolism in cold stored ‘Fuji’ apples. Hortic. Sci. Technol. 2018, 36, 853–862. [Google Scholar] [CrossRef]
  17. Watkins, C.B.; Nock, J.F.; Whitaker, B.D. Responses of early, mid, and late season apple cultivars to postharvest application of 1-methylcyclopropene (1-MCP) under air and controlled atmosphere storage conditions. Postharvest Biol. Technol. 2000, 19, 17–32. [Google Scholar] [CrossRef]
  18. Yoo, J.; Kang, B.K.; Lee, J.; Kim, D.H.; Lee, D.H.; Jung, H.Y.; Choi, D.G.; Choung, M.G.; Choi, I.M.; Kang, I.K. Effect of preharvest and postharvest 1-methylcyclopropene (1-MCP) treatments on fruit quality attributes in cold-stored ‘Fuji’ apples. Hortic. Sci. Technol. 2015, 33, 542–549. [Google Scholar] [CrossRef]
  19. Win, N.M.; Yoo, J.; Kwon, S.I.; Watkins, C.B.; Kang, I.K. Characterization of fruit quality attributes and cell wall metabolism in 1-methylcyclopropene (1-MCP)-treated ‘Summer King’ and ‘Green Ball’ apples during cold storage. Front. Plant Sci. 2019, 10, 1513. [Google Scholar] [CrossRef] [PubMed]
  20. Blankenship, S.M.; Dole, J.M. 1-Methylcyclopropene: A review. Postharvest Biol. Technol. 2003, 28, 1–25. [Google Scholar] [CrossRef]
  21. Watkins, C.B. The use of 1-methylcyclopropene (1-MCP) on fruits and vegetables. Biotechnol. Adv. 2006, 24, 389–409. [Google Scholar] [CrossRef]
  22. Watkins, C.B. Overview of 1-methylcyclopropene trials and uses for edible horticultural crops. HortScience 2008, 43, 86–94. [Google Scholar] [CrossRef]
  23. Blanpied, G.D.; Silsby, K.J. Predicting harvest date windows for apples. Cornell Coop. Ext. 1992, 221, 12. [Google Scholar]
  24. Ban, S.H.; Yun, W.H.; Kim, G.H.; Kwon, S.I.; Choi, C. Genetic identification of apple cultivars bred in Korea using simple sequence repeat markers. Hortic. Environ. Biotechnol. 2014, 55, 531–539. [Google Scholar] [CrossRef]
  25. Zhang, J.; Ma, Y.; Dong, C.; Terry, L.A.; Watkins, C.B.; Yu, Z.; Cheng, Z.M. Meta-analysis of the effects of 1-methylcyclopropene (1-MCP) treatment on climacteric fruit ripening. Hortic. Res. 2020, 7, 208. [Google Scholar] [CrossRef]
  26. Alwan, T.F.; Watkins, C.B. Intermittent warning effects on superficial scald development of ‘Cortland’, ‘Delicious’ and ‘Law Rome’ apple fruit. Postharvest Biol. Technol. 1999, 16, 203–212. [Google Scholar] [CrossRef]
  27. Yamaki, S.; Machida, Y.; Kakiuchi, N. Changes in cell wall polysaccharides and monosaccharides during development and ripening of Japanese pear fruit. Plant Cell Physiol. 1979, 20, 311–321. [Google Scholar] [CrossRef]
  28. Pressey, R. β-Galactosidases in ripening tomatoes. Plant Physiol. 1983, 71, 132–135. [Google Scholar] [CrossRef] [PubMed]
  29. Ai, T.N.; Naing, A.H.; Arun, M.; Lim, S.H.; Kim, C.K. Sucrose-induced anthocyanin accumulation in vegetative tissue of Petunia plants requires anthocyanin regulatory transcription factors. Plant Sci. 2016, 252, 144–150. [Google Scholar] [CrossRef]
  30. Guardo, D.M.; Tadiello, A.; Farneti, B.; Lorenz, G.; Masuero, D.; Vrhovsek, U.; Costa, G.; Velasco, R.; Costa, F. A multidisciplinary approach providing new insight into fruit flesh browning physiology in apple (Malus domestica Borkh.). PLoS ONE 2013, 8, e78004. [Google Scholar] [CrossRef] [PubMed]
  31. Bai, J.H.; Baldwin, E.A.; Goodner, K.L.; Mattheis, J.P.; Brecht, J.K. Response of four apple cultivars to 1-methylcyclopropene treatment and controlled atmosphere storage. HortScience 2005, 40, 1534–1538. [Google Scholar] [CrossRef]
  32. Harker, F.R.; Kupferman, E.M.; Marin, A.B.; Gunson, F.A.; Triggs, C.M. Eating quality standards for apples based on preferences. Postharvest Biol. Technol. 2008, 50, 70–78. [Google Scholar] [CrossRef]
  33. Mattheis, J.P.; Rudell, D.R.; Hanrahan, I. Impacts of 1-methylcyclopropene and controlled atmosphere established during conditioning on development of bitter pit in ‘Honeycrisp’ apples. HortScience 2017, 52, 132–137. [Google Scholar] [CrossRef]
  34. DeEll, J.R.; Murr, D.P.; Porteous, M.D.; Rupasinghe, H.P.V. Influence of temperature and duration of 1-methylcyclopropene (1-MCP) treatment on apple quality. Postharvest Biol. Technol. 2002, 24, 349–353. [Google Scholar] [CrossRef]
  35. McMurchie, E.J.; McGlasson, W.B.; Eaks, I.L. Treatment of fruit with propylene gives information about the biogenesis of ethylene. Nature 1972, 237, 235–236. [Google Scholar] [CrossRef] [PubMed]
  36. Chu, C.L. Use of internal ethylene concentration as a maturity index of eleven apple cultivars. Acta Hortic. 1984, 157, 129–134. [Google Scholar] [CrossRef]
  37. Mir, N.A.; Curell, E.; Khan, N.; Whitaker, M.; Beaudry, R.M. Harvest maturity, storage temperature, and 1-MCP application frequency alter firmness retention and chlorophyll fluorescence of ‘Redchief Delicious’ apples. J. Am. Soc. Hortic. Sci. 2001, 126, 618–624. [Google Scholar] [CrossRef]
  38. Delong, J.M.; Prange, R.K.; Harrison, P.A. The influence of 1-methylcyclopropene on ‘Cortland’ and ‘McIntosh’ apple quality following long-term storage. HortScience 2004, 39, 1062–1065. [Google Scholar] [CrossRef]
  39. Jung, S.K.; Watkins, C.B. Internal ethylene concentrations in apple fruit at harvest affect persistence of inhibition of ethylene production after 1-methylcyclopropene treatment. Postharvest Biol. Technol. 2014, 95, 1–6. [Google Scholar] [CrossRef]
  40. Lahaye, M.; Bouin, C.; Barbacci, A.; Gall, S.L.; Foucat, L. Water and cell wall contributions to apple mechanical properties. Food Chem. 2018, 268, 386–394. [Google Scholar] [CrossRef] [PubMed]
  41. Ben, J.; Gaweda, M. Changes of pectic compounds in Jonathan apples under various storage conditions. Acta Physiol. Plant 1985, 7, 45–54. [Google Scholar]
  42. Barajas, J.A.S.; Labavitch, J.; Greve, C.; Enciso, T.O.; Rangel, E.M.; Cepeda, J.S. Cell wall disassembly during papaya softening: Role of ethylene in changes in composition, pectin-derived oligomers (PDOs) production and wall hydrolases. Postharvest Biol. Technol. 2009, 51, 158–167. [Google Scholar] [CrossRef]
  43. Gwanpua, S.G.; Buggenhout, S.V.; Verlinden, B.E.; Christiaens, S.; Shpigelman, A.; Vicent, V.; Kermani, Z.J.; Nicolai, B.M.; Hendrickx, M.; Geeraerd, A. Pectin modifications and the role of pectin-degrading enzymes during postharvest softening of ‘Jonagold’ apples. Food Chem. 2014, 158, 283–291. [Google Scholar] [CrossRef]
  44. Giongo, L.; Poncetta, P.; Loretti, P.; Costa, F. Texture profiling of blueberries (Vaccinium spp.) during fruit development: Ripening and storage. Postharvest Biol. Technol. 2013, 76, 34–39. [Google Scholar] [CrossRef]
  45. Billy, L.; Mehinagic, E.; Royer, G.; Renard, C.M.G.C.; Arvisenet, G.; Prost, C.; Jourjon, F. Relationship between texture and pectin composition of two apple cultivars during storage. Postharvest Biol. Technol. 2008, 47, 315–324. [Google Scholar] [CrossRef]
  46. Vicente, A.R.; Saladie, M.; Rose, J.K.C.; Labavitch, J.M. The linkage between cell wall metabolism and fruit softening: Looking to the future. J. Sci. Food Agric. 2007, 87, 1435–1448. [Google Scholar] [CrossRef]
  47. Chang, K.H.; Lee, D.H.; Byun, J.K. Changes in activities of cell wall hydrolases during softening in peach fruits. J. Korean Soc. Hortic. Sci. 1999, 40, 359–362. [Google Scholar]
  48. Ruiz, K.B.; Bressanin, D.; Ziosi, V.; Costa, G.; Torrigiani, P.; Tadiello, A.; Trainotti, L.; Bonghi, C. Early jasmonate application interferes with peach fruit development and ripening as revealed by several differentially expressed seed and mesocarp genes. Acta Hortic. 2010, 884, 101–106. [Google Scholar] [CrossRef]
  49. Payasi, A.; Mishra, N.N.; Chaves, A.L.S.; Singh, R. Biochemistry of fruit softening an overview. Physiol. Mol. Biol. Plants 2009, 15, 103–113. [Google Scholar] [CrossRef] [PubMed]
  50. Brummell, D.A.; Harpster, M.H. Cell wall metabolism in fruit softening and quality and its manipulation in transgenic plants. Plant Mol. Biol. 2001, 47, 311–340. [Google Scholar] [CrossRef] [PubMed]
  51. Huang, S.; Sawaki, T.; Takahashi, A.; Mizuno, S.; Takezawa, K.; Matsumura, A.; Yokotsuka, M.; Hirasawa, Y.; Sonoda, M.; Nakagawa, H.; et al. Melon EIN3-like transcription factors (CmEIL1 and CmEIL2) are positive regulators of an ethylene- and ripening-induced 1-aminocyclopropane-1-carboxylic acid oxidase gene (CmACO1). Plant Sci. 2010, 178, 251–257. [Google Scholar] [CrossRef]
  52. Wakasa, Y.; Kudo, H.; Ishikawa, R.; Akada, S.; Senda, M.; Niizeki, M.; Harada, T. Low expression of an endopolygalacturonase gene in apple fruit with long-term storage potential. Postharvest Biol. Technol. 2006, 39, 193–198. [Google Scholar] [CrossRef]
  53. Schaffer, R.J.; Friel, E.N.; Souleyre, E.J.F.; Bolitho, K.; Thodey, K.; Ledger, S.; Bowen, J.H.; Ma, J.H.; Nain, B.; Cohen, D.; et al. A genomics approach reveals that aroma production in apple is controlled by ethylene predominantly at the final step in each biosynthetic pathway. Plant Physiol. 2007, 144, 1899–1912. [Google Scholar] [CrossRef]
  54. Lv, J.; Zhang, M.; Zhang, J.; Ge, Y.; Li, C.; Meng, K.; Li, J. Effects of methyl jasmonate on expression of genes involved in ethylene biosynthesis and signaling pathway during postharvest ripening of apple fruit. Sci. Hortic. 2018, 229, 157–166. [Google Scholar] [CrossRef]
  55. Sisler, E.C.; Serek, M. Inhibitors of ethylene responses in plants at the receptor level: Recent development. Physiol. Plant 1997, 100, 577–582. [Google Scholar] [CrossRef]
  56. Serek, M.; Wolering, E.J.; Sisler, E.C.; Frello, S.; Sriskandarajah, S. Controlling ethylene responses in flowers at the receptor level. Biotechnol. Adv. 2006, 24, 368–381. [Google Scholar] [CrossRef]
  57. Tieman, D.W.; Taylor, M.G.; Ciarde, J.A.; Klee, H.J. The tomato ethylene receptors NR and Le-ETR4 are negative regulators of ethylene response and exhibit functional compensation within a multigene family. Proc. Nat. Acad. Sci. USA 2000, 97, 5663–5668. [Google Scholar] [CrossRef] [PubMed]
  58. Tatsuki, M.; Endo, A. Analyses of expression patterns of ethylene receptor genes in apple (Malus domestica Borkh.) fruits treated with or without 1-methylcyclopropene (1-MCP). J. Jpn. Soc. Hortic. Sci. 2006, 75, 481–487. [Google Scholar] [CrossRef]
Figure 1. Effects of 1-MCP treatment on flesh firmness, titratable acidity, and soluble solids content of ‘Hwangok’ (A,E,I), ‘Picnic’ (B,F,J), ‘Gamhong’ (C,G,K), and ‘Fuji’ (D,H,L) apple cultivars stored at 0 °C cold storage for up to six months. All values are expressed as mean standard error (n = 15). * p < 0.05 and ** p < 0.01 indicate the level of significant difference between the control and 1-MCP treatments.
Figure 1. Effects of 1-MCP treatment on flesh firmness, titratable acidity, and soluble solids content of ‘Hwangok’ (A,E,I), ‘Picnic’ (B,F,J), ‘Gamhong’ (C,G,K), and ‘Fuji’ (D,H,L) apple cultivars stored at 0 °C cold storage for up to six months. All values are expressed as mean standard error (n = 15). * p < 0.05 and ** p < 0.01 indicate the level of significant difference between the control and 1-MCP treatments.
Horticulturae 07 00338 g001
Figure 2. Effects of 1-MCP treatment on internal ethylene concentration (IEC), ethylene production, and weight loss of ‘Hwangok’ (A,E,I), ‘Picnic’ (B,F,J), ‘Gamhong’ (C,G,K), and ‘Fuji’ (D,H,L) apple cultivars stored at 0 °C cold storage for up to six months. All values are expressed as mean standard error (n = 15). * p < 0.05 and ** p < 0.01 indicate the level of significant difference between the control and 1-MCP treatments.
Figure 2. Effects of 1-MCP treatment on internal ethylene concentration (IEC), ethylene production, and weight loss of ‘Hwangok’ (A,E,I), ‘Picnic’ (B,F,J), ‘Gamhong’ (C,G,K), and ‘Fuji’ (D,H,L) apple cultivars stored at 0 °C cold storage for up to six months. All values are expressed as mean standard error (n = 15). * p < 0.05 and ** p < 0.01 indicate the level of significant difference between the control and 1-MCP treatments.
Horticulturae 07 00338 g002
Figure 3. Effects of 1-MCP treatment on total sugar content and uronic acid content of ‘Hwangok’ (A,E), ‘Picnic’ (B,F), ‘Gamhong’ (C,G), and ‘Fuji’ (D,H) apple cultivars stored at 0 °C cold storage for up to six months. All values are expressed as mean standard error (n = 3). * p < 0.05 and ** p < 0.01 indicate the level of significant difference between the control and 1-MCP treatments.
Figure 3. Effects of 1-MCP treatment on total sugar content and uronic acid content of ‘Hwangok’ (A,E), ‘Picnic’ (B,F), ‘Gamhong’ (C,G), and ‘Fuji’ (D,H) apple cultivars stored at 0 °C cold storage for up to six months. All values are expressed as mean standard error (n = 3). * p < 0.05 and ** p < 0.01 indicate the level of significant difference between the control and 1-MCP treatments.
Horticulturae 07 00338 g003
Figure 4. Effects of 1-MCP treatment on enzymatic activities of β-galactosidase (β-Gal), α-galactosidase (α-Gal), β-glucosidase (β-Glc), α-mannosidase (α-Man), β-xylosidase (β-Xyl), and β-arabinosidase (β-Ara) of ‘Hwangok’ (A,E,I,M,Q,U), ‘Picnic’ (B,F,J,N,R,V), ‘Gamhong’ (C,G,K,O,S,W), and ‘Fuji’ (D,H,L,P,T,X) apple cultivars stored at 0 °C cold storage for up to six months. All values are expressed as mean standard error (n = 3). * p < 0.05 and ** p < 0.01 indicate the level of significant difference between the control and 1-MCP treatments.
Figure 4. Effects of 1-MCP treatment on enzymatic activities of β-galactosidase (β-Gal), α-galactosidase (α-Gal), β-glucosidase (β-Glc), α-mannosidase (α-Man), β-xylosidase (β-Xyl), and β-arabinosidase (β-Ara) of ‘Hwangok’ (A,E,I,M,Q,U), ‘Picnic’ (B,F,J,N,R,V), ‘Gamhong’ (C,G,K,O,S,W), and ‘Fuji’ (D,H,L,P,T,X) apple cultivars stored at 0 °C cold storage for up to six months. All values are expressed as mean standard error (n = 3). * p < 0.05 and ** p < 0.01 indicate the level of significant difference between the control and 1-MCP treatments.
Horticulturae 07 00338 g004
Figure 5. Effects of 1-MCP treatment on expression patterns of the ethylene biosynthesis (MdACS1 and MdACO1) and receptor (MdETR2) genes of ‘Hwangok’ (A,E,I), ‘Picnic’ (B,F,J), ‘Gamhong’ (C,G,K), and ‘Fuji’ (D,H,L) apple cultivars stored at 0 °C cold storage for up to six months. All values are expressed as mean standard error (n = 3). * p < 0.05 and ** p < 0.01 indicate the level of significant difference between the control and 1-MCP treatments.
Figure 5. Effects of 1-MCP treatment on expression patterns of the ethylene biosynthesis (MdACS1 and MdACO1) and receptor (MdETR2) genes of ‘Hwangok’ (A,E,I), ‘Picnic’ (B,F,J), ‘Gamhong’ (C,G,K), and ‘Fuji’ (D,H,L) apple cultivars stored at 0 °C cold storage for up to six months. All values are expressed as mean standard error (n = 3). * p < 0.05 and ** p < 0.01 indicate the level of significant difference between the control and 1-MCP treatments.
Horticulturae 07 00338 g005
Figure 6. Pearson’s correlation coefficient (r) for fruit quality attributes, cell wall components and hydrolase activities, and ethylene biosynthesis and receptor genes of control and 1-MCP-treated ‘Hwangok’, ‘Picnic’, ‘Gamhong’, and ‘Fuji’ apple cultivars stored at 0 °C cold storage for up to six months. Red and blue colors indicate positive and negative correlation whereas asterisks (* or **) indicate significant correlation between analyses at p < 0.05 or p < 0.01, respectively.
Figure 6. Pearson’s correlation coefficient (r) for fruit quality attributes, cell wall components and hydrolase activities, and ethylene biosynthesis and receptor genes of control and 1-MCP-treated ‘Hwangok’, ‘Picnic’, ‘Gamhong’, and ‘Fuji’ apple cultivars stored at 0 °C cold storage for up to six months. Red and blue colors indicate positive and negative correlation whereas asterisks (* or **) indicate significant correlation between analyses at p < 0.05 or p < 0.01, respectively.
Horticulturae 07 00338 g006
Publisher’s Note: MDPI stays neutral with regard to jurisdictional claims in published maps and institutional affiliations.

Share and Cite

MDPI and ACS Style

Yoo, J.; Win, N.M.; Mang, H.; Cho, Y.-J.; Jung, H.-Y.; Kang, I.-K. Effects of 1-Methylcyclopropene Treatment on Fruit Quality during Cold Storage in Apple Cultivars Grown in Korea. Horticulturae 2021, 7, 338. https://doi.org/10.3390/horticulturae7100338

AMA Style

Yoo J, Win NM, Mang H, Cho Y-J, Jung H-Y, Kang I-K. Effects of 1-Methylcyclopropene Treatment on Fruit Quality during Cold Storage in Apple Cultivars Grown in Korea. Horticulturae. 2021; 7(10):338. https://doi.org/10.3390/horticulturae7100338

Chicago/Turabian Style

Yoo, Jingi, Nay Myo Win, Hyunggon Mang, Young-Je Cho, Hee-Young Jung, and In-Kyu Kang. 2021. "Effects of 1-Methylcyclopropene Treatment on Fruit Quality during Cold Storage in Apple Cultivars Grown in Korea" Horticulturae 7, no. 10: 338. https://doi.org/10.3390/horticulturae7100338

APA Style

Yoo, J., Win, N. M., Mang, H., Cho, Y.-J., Jung, H.-Y., & Kang, I.-K. (2021). Effects of 1-Methylcyclopropene Treatment on Fruit Quality during Cold Storage in Apple Cultivars Grown in Korea. Horticulturae, 7(10), 338. https://doi.org/10.3390/horticulturae7100338

Note that from the first issue of 2016, this journal uses article numbers instead of page numbers. See further details here.

Article Metrics

Back to TopTop