Next Article in Journal
Comparison between Ultrasonic Bath and Sonotrode Extraction of Phenolic Compounds from Mango Peel By-Products
Previous Article in Journal
Identification of the Transcription Factors RAP2-13 Activating the Expression of CsBAK1 in Citrus Defence Response to Xanthomonas citri subsp. citri
Previous Article in Special Issue
Biostimulants on Crops: Their Impact under Abiotic Stress Conditions
 
 
Font Type:
Arial Georgia Verdana
Font Size:
Aa Aa Aa
Line Spacing:
Column Width:
Background:
Article

Predicting the Chemical Attributes of Fresh Citrus Fruits Using Artificial Neural Network and Linear Regression Models

by
Adel M. Al-Saif
1,*,
Mahmoud Abdel-Sattar
1,
Dalia H. Eshra
2,
Lidia Sas-Paszt
3 and
Mohamed A. Mattar
4,*
1
Department of Plant Production, College of Food and Agriculture Sciences, King Saud University, Riyadh 11451, Saudi Arabia
2
Food Science and Technology Department, Faculty of Agriculture, Alexandria University, Alexandria 21545, Egypt
3
The National Institute of Horticultural Research, Konstytucji 3 Maja 1/3, 96-100 Skierniewice, Poland
4
Department of Agricultural Engineering, College of Food and Agriculture Sciences, King Saud University, Riyadh 11451, Saudi Arabia
*
Authors to whom correspondence should be addressed.
Horticulturae 2022, 8(11), 1016; https://doi.org/10.3390/horticulturae8111016
Submission received: 3 September 2022 / Revised: 25 October 2022 / Accepted: 26 October 2022 / Published: 1 November 2022
(This article belongs to the Special Issue Feature Papers in Horticulturae in 2022)

Abstract

Different chemical attributes, measured via total soluble solids (TSS), acidity, vitamin C (VitC), total sugars (Tsugar), and reducing sugars (Rsugar), were determined for three groups of citrus fruits (i.e., orange, mandarin, and acid); each group contains two cultivars. Artificial neural network (ANN) and multiple linear regression (MLR) models were developed for TSS, acidity, VitC, Tsugar, and Rsugar from fresh citrus fruits by applying different independent variables, namely the dimensions of the fruits (length (FL) and diameter (FD)), fruit weight (FW), yield/tree, and soil electrical conductivity (EC). The results of ANN application showed that a feed-forward back-propagation network type with four input neurons (Yield/tree, FW, FL, and FD) and eight neurons in one hidden layer provided successful modeling efficiencies for TSS, acidity, VitC, Tsugar, and Rsugar. The effect of the EC variable was not significant. The hyperbolic tangent of both the hidden layer and the output layer of the developed ANN model was chosen as the activation function. Based on statistical criteria, the ANN developed in this study performed better than the MLR model in predicting the chemical attributes of fresh citrus fruits. The root mean square error of TSS, acidity, VitC, Tsugar, and Rsugar ranged from 0.064 to 0.453 and 0.068 to 0.634, respectively, for the ANN model, and 0.568 to 4.768 and 0.550 to 4.830, respectively, for the MLR model using training and testing datasets. In addition, the relative errors obtained through the ANN approach provided high model predictability and feasibility. In chemical attribute modeling, the FD and FL variables exhibited high contribution ratios, resulting in a reliable predictive model. The developed ANN model generally showed a good level of accuracy when estimating the chemical attributes of fresh citrus fruit.

1. Introduction

Citrus, one of the most important fruit crops in the world, is grown on 10.072 million hectares and produces 158.49 million tons of fruit annually [1]. Therefore, it is the world’s largest cultivated fruit crop, accounting for approximately 18% of total fruit. Egypt is the leading producer of citrus in Africa. The total area under citrus trees is 197,363 hectares, out of which 178,492 hectares are fruitful, producing 4.34 million tons [2], which is also of exceptional economic significance among fruit crops in Egypt, notably for exportation. Citrus, as one of the most important crop types, is a significant source of income for farmers and is popular among consumers due to its nutritional value [3,4]. They are widely spread in the tropical and subtropical world due to their delicious flavors and therapeutic benefits, which are essential for human health [5,6] due to their low energy and fat content, good number of macronutrients (carbohydrates, organic acids, dietary fiber, vitamins), minerals, and bioactive phytochemicals, such as carotenoids, limonoids, flavonoids, and essential oils [7]. It is also a significant source of human nutrition because it contains bioactive substances such as antioxidants, i.e., ascorbic acid, flavonoids, carotenoids, limonoids, terpenoids, phenolic compounds, and pectins [8,9,10], which can be used to create newer food products that are safe for human nutrition [11,12].
The genus Citrus is one of the most important taxonomic subunits of the family Rutaceae, including 162 species, and is a rich bounty of edible fruits such as oranges, mandarins, tangerines, lemons, and limes [13,14]. The species belonging to the genus Citrus occur naturally in areas with a warm and mild climate, mainly in the Mediterranean region [15]. The most commonly used species of the genus Citrus included in this taxonomic unit are: Citrus sinensis—orange; Citrus reticulata; Citrus clementina—mandarin; Citrus latifolia; Citrus limon—acid group, and many others. Citrus species give rise to numerous varieties, cultivars, and hybrids, which have wide variations in cultivar morphological and genetic characteristics, and thus in their growth habits and yield production [15,16]. The intrinsic variations in photosynthesis, plant hormones, fruit set, fruit retention, tree size, and leaf area amongst cultivars may all be significant contributors to the diversity of fruit yield and quality. Oranges are by far the most widely produced citrus fruit, accounting for 71% of total production in Egypt and encompassing several cultivars with varying fruit quality. Mandarins are a diverse group of thin-skinned, easy-peeling fruits that include popular citrus types such as mandarin and tangerine [17], the production of which has recently undergone significant changes globally. Lemon and lime production has increased significantly over the past ten years, and they are widely used as condiments, as flavoring materials, especially for some hot cooked foods and vegetable salads, as an acidulant, and in the manufacture of lemonade [18].
Citrus fruit quality is highly variable and highly influenced by climatic conditions and agronomical and postharvest practices, and is dependent on the species and varieties, growing regions, and destination markets [19] and postharvest variations in hygrothermal conditions between refrigerated shipments [20]. Several studies have examined the effects of these conditions and practices on the yield and characteristics of fruits. In mandarin trees, Pedrero et al. [21] found that the use of reclaimed water in conjunction with deficit irrigation may have a detrimental effect on the soil and plants because it resulted in a decrease in fruit yield but an increase in fruit weight (FW) without appreciable changes in fruit quality. Water conservation and the use of reclaimed water during the second stage of fruit development in grapefruit trees had no detrimental effects on vegetative growth, yield, or fruit quality [22]. The combination of deficit irrigation and saline water increased total soluble solids (TSS), acidity, sugar content, and fruit ripening in peach [23,24], pomegranate [25,26,27], grapefruit [26,27], and mandarin [28,29]. In addition, Romero et al. [30] noted that the redistribution of photosynthesis by citrus trees toward their fruits as a result of a water shortage caused a decrease in water content as well as an increase in sugar content, TSS, and acidity. In date palm trees, Mattar et al. [31] found that deficit irrigation, whether with or without freshwater, can enhance fruit quality while adversely affecting yield, particularly when saline water is used. Shahin and Alhajhoj [32] discovered that date palm trees that were irrigated with groundwater produced more fruit with the greatest length (FL), diameter (FD), and flesh weight than those that were irrigated with both groundwater and agricultural drainage water. As a result, researchers in agriculture have made it a priority to predict crop yield and quality under these changes. In Egypt, citrus fruit quality is now valued as a key tool for both domestic consumption and export to European and Gulf nations. Citrus fruits contain a variety of important compounds, including TSS, acidity, vitamin C (VitC), sugars, and organic acids. These substances are of interest because they significantly affect how fruit juices taste, which is viewed as an important quality factor by both consumers and the food industry [33]. The ability of consumers and processors to accept citrus is largely dependent on a variety of quality factors, including TSS, acidity, flavor, and taste characteristics [34]. The high chemical properties of the fruit are crucial for identifying citrus quality for exportation markets and lowering competition with other producers. Thus, consumers, food scientists, and processors must be aware of the anticipated chemical properties that will help to further strengthen the citrus industry [35].
The architecture of an artificial neural network (ANN) model, a mathematical construction, is strikingly similar to that of the human brain. In essence, the layered and highly interconnected processing components mimic how brain neurons are arranged [36]. The ANNs learn through example, just as people do. Through a learning or training process, an ANN is set up for a particular application, such as pattern recognition or data classification. Even if the data are inaccurate and noisy, ANNs can handle challenges involving non-linear and complicated data. Agricultural data are well suited for modeling because they are known to be complicated and frequently non-linear. Although the idea of neural network analysis was conceived approximately 50 years ago, it has only been in the last 20 years that software applications have been developed to address practical issues. The ANN model has gained popularity recently among researchers as a forecasting tool for a variety of topics, including agricultural research [37,38,39,40]. The ANN technique has been used in agriculture to predict the viscosity of clarified fruit juice for orange, peach, and pear fruits [41]; the peroxide and acidity levels of olive oil [42]; the antioxidant activity of black and green teas [43]; fatty acid composition of oils [44]; fruit quality of loquat [45]; fruit quality of peach [46,47]; and evapotranspiration [48,49,50,51,52].
The multiple linear regression (MLR) model technique estimates the dependent variable with the aid of a number of independent factors, creating a regression equation that can be used to explain and forecast the value of the dependent variable. Although it is more accurate and useful than single independent variable prediction, it cannot address complex nonlinear issues. It estimates dependent variables by combining the best of many independent variables [53]. In recent years, the use of MLR has seen remarkable progress in predicting crop yield and fruit quality [54,55,56]. The MLR has been used to predict peach firmness [57], avocado fruit maturity parameters [58], and nutritional status ranges in grape leaves [59].
It is critical to be able to predict the chemical composition of fruit juice without the need for costly analyses in order to assess fruit quality in the fruit industry [46]. There is currently little information regarding the prediction of the chemical properties of fresh citrus fruits [60]. We hypothesized that ANN is an accurate model to predict the chemical attributes of VitC, total sugars (Tsugar), and reducing sugars (Rsugar) in fresh citrus fruits. The objective of this study was to estimate the chemical attributes that are of prime importance for the industry using tools of artificial intelligence.

2. Materials and Methods

2.1. Experimental Site and Plant Materials

This study was carried out on three groups of citrus, with two cultivars for each group, during the 2021 growing season, including the Orange group: Washington Navel orange (Citrus sinensis (L.) Osbeck), Valencia orange (Citrus sinensis (L.) Osbeck); Mandarin group: Clementine tangerine (Citrus clementina (Hort. ex Tan.)), Murcott mandarin (Citrus reticulata Blanco) x (Citrus sinensis (L.) Osbeck); Acid group: Bearss Seedless lime (Citrus latifolia (Yu Tanaka) Tanaka) and Eureka lemon (Citrus limon (L.) Burm. f.). The trees were budded on sour orange rootstock (Citrus aurantium L.), eight years old and grown in sandy loam soil. After removing the topsoil, the physical and chemical soil properties of the site were measured using the methods described by Page et al. [61] and Klute [62] at three soil depths (10–30, 30–60, and 60–90 cm), as shown in Table 1. A drip irrigation system was used in private commercial orchards near Nobaryia city, El-Behera Governorate, Egypt. Citrus trees were fertilized with mineral and organic fertilizers according to Abdel-Sattar et al. [63]. All citrus trees underwent the normal agricultural practices, i.e., pruning and pest control methods, which follow the recommendations of the Ministry of Agriculture, Egypt. Each citrus cultivar was replicated six times with four trees that were as uniform as feasible for each replication. According to commercial practice, fruits were picked mature when the color of the fruits became yellow-orange, and those with flaws such as splitting, bruising, or cuts in the husk were removed. The fruits were then immediately transported to the laboratory.

2.2. Measurements

Twenty mature fruits were randomly selected from each experimental tree to determine the physical and chemical properties of the fresh fruit. A digital weighing scale (ME1002E, Mettler Toledo, Greifensee, Switzerland) with 0.01-g accuracy was used to weigh the chosen samples of each cultivar in order to calculate fresh FW. By dividing the average fruit weight per tree (kg) by the number of fruits per tree, one can calculate the yield per tree (yield/tree). Two linear measures, namely FL and FD, were measured using a digital caliper (SuperCaliper series 500–775, Mitutoyo, Japan) with 0.01 mm accuracy.
A hand refractometer was used to determine the percentage of TSS in the fruit juice (MA871, Milwaukee Instruments, Menomonee Falls, WI, USA). According to AOAC [64], the percentage of total acidity was determined by titration with 0.1 sodium hydroxide using phenolphthaline as an indicator as the amount of citric acid per 100 mL of juice. The ascorbic acid (VitC) content of the juice was determined by titration with 2,6-dichlorophenolindolphenol blue dye in accordance with AOAC [64] and expressed as milligrams of ascorbic acid/100 mm of juice. Moreover, the phenol sulfuric acid method described by Malik and Singh [65] was used to evaluate the Tsugar content in fruit. Using the Lane and Eynon approach, which was described by Egan et al. [66], the content of Rsugar in fruit was measured.

2.3. Artificial Neural Networks (ANNs)

A single input layer, one hidden layer, and one output layer were used as the architecture of the ANN. In this study, a back-propagation learning algorithm-based feed-forward ANN was used. The most common algorithm used to train feed-forward ANNs is back-propagation [67,68,69,70]. In feed-forward networks, a maximum of one hidden layer is needed because a three-layer network can produce arbitrarily complex decision regions [71]. A parallel network of linking nodes known as neurons is included in ANN. These connections, which are referred to as synapses, contain weights for storing information (the connection strengths and a transfer or activation function). A learning or training process is created by altering these weights in a learning algorithm. The feed-forward of the input training pattern, the calculation and back-propagation of the associated error, and the adjustment of the weights are the three steps in the back-propagation algorithm training of a network.
The network can be explained mathematically, as follows:
The following equation gives the value of the output layer neuron ( Y k ):
Y k = f ( j = 1 n j ( W 2 ) k j   h j + ( B 2 ) k )
where ( W 2 ) k j is weights from the hidden layer to the output layer, n j is number of output neurons; ( B 2 ) k is biases in the output layer, and h j is the neuron’s activation value in the hidden layer with the following equation [72]:
h j = f ( i = 1 n i ( W 1 ) j i   X i + ( B 1 ) j )
where ( W 1 ) j i is weights from the input layer to the hidden layer, X i is input parameters, n i is number of input neurons, ( B 1 ) j is biases in the hidden layer, and f ( ) is activation (transfer) function.
The sigmoid and hyperbolic tangent (tanh) functions are the most frequently used activation functions in most agricultural applications. In addition, the tanh function is the most popular form and is calculated faster than a sigmoid function. It can display various learning dynamics [73]. The neural network in this study was trained using the tanh function. The tanh function’s general functional form is applied as follows:
f ( x ) = 1 e x p ( 2 x ) 1 + e x p ( 2 x )
The importance ratio of each input variable in modeling the output of the system can be determined using the connection weights obtained from ANNs, according to a technique introduced by Garson [74]. Garson’s algorithm utilizes the absolute values of connection weights without taking into account the direction in which the relationship exists.

2.4. ANN Development

The Qnet2000 program was used to develop the ANN model. The input parameters, including yield/tree, FW, FL, FD, and EC, were used for estimating the TSS, acidity, VitC, Tsugar, and Rsugar of citrus fruits as output parameters. The output layer had five neurons, and the input layer had five neurons. The neural networks were trained with 70% of the 144 observations and tested with 30% of the remaining observations. The tested citrus groups (i.e., orange, mandarin, and acid) were used separately during the validation process to assess the effectiveness of the trained network (data not used in training). The statistical parameters of the inputs and outputs used for training and testing the models are shown in Table 2. The ANN model was developed through numerous iterations of trial and error. When the level of error is acceptable, the training of the ANN model is stopped, and the optimal number of hidden neurons is chosen [75]. Network inputs and outputs were automatically normalized between 0.15 and 0.85 before the data were exported to the ANN for training [72,73]. The training process is speeded up by this normalization, which also enhances the network’s generalization abilities. The normalization equation was as follows:
X n = ( 0.85 0.15 ) ( X 0 X m i n X m a x X m i n ) + 0.15
where X n is normalized value, X 0 is original value, X m i n is minimum value, and X m a x is maximum value. Figure 1 shows a schematic representation of the ANN modeling approach.
There were two stages to the neural network development process. The first stage, namely ANN configuration optimization, determined the number of input variables that significantly affect the output variable by estimating the contribution ratios of the inputs to the outputs, considering the error value. The second stage, namely the training process, was conducted using the determined inputs from the first stage’s determination. Following that, based on the statistical indicators, the ANN’s ideal hidden neuron count was decided.

2.5. Multiple Linear Regression

In order to evaluate the effectiveness of the developed ANN, the multiple linear regression (MLR) method was used to determine which yield/tree, FW, FL, FD, and EC had a significant impact on the five identical output variables (TSS, acidity, VitC, Tsugar, and Rsugar). Seventy percent of the datapoints (randomly chosen) were used to fit the MLR models, and the remaining 30% were used to test the models, in accordance with the same modeling strategy (datapoints) developed for ANN modeling. The MLR equation is as follows:
Y ^ = b 0 + b 1 X 1 + b 2 X 2 + b 3 X 3 + + b m X m
where Y ^ is the predicted or expected value of the dependent variable; X 1 through X m are m distinct independent or predictor variables; b 0 is the value of Y ^ when all of the independent variables ( X 1 through X m ) are equal to zero; and b 1 through b m are the estimated regression coefficients.

2.6. Models Evaluation

To evaluate the proposed models’ performance accuracy, statistical performance evaluation criteria were calculated. Five statistical measures, namely the coefficient of determination (R2), root mean square error (RMSE), mean absolute error (MAE), mean absolute relative error (MARE), and relative error (RE), were used. The expressions for each of these five statistical measures are as follows:
R 2 = ( i = 1 N ( E i E ¯ ) ( P i P ¯ ) ) 2 i = 1 N ( E i E ¯ ) 2   .   i = 1 N ( P i P ¯ ) 2
R M S E = i = 1 N ( P i E i ) 2 N
M A E = i = 1 N | P i E i | N
M A R E = 1 N ( i = 1 N | P i E i E i | × 100 )
R E = ( P i E i ) E i × 100
where E i is experimental value, P i is predicted value, E ¯ is averaged experimental values, P ¯ is averaged predicted values, and N is number of observations.
R2 measures how closely experimental and predicted values are correlated, with values close to 1 indicating strong model performance. The benefit of RMSE is that it expresses the error in the same units as the variable, giving more insight into the model’s effectiveness [76]. The lower the RMSE, the more accurate the prediction. Without considering the direction of the forecasts set, MAE calculates the average magnitude of the errors in them. Lower values of MAE, which range from 0 to ∞, are preferable. MARE provides an error percentage. The model quality increases as MARE approaches zero. According to RE, bias is the percentage that models provide.

3. Results

3.1. Exploratory Analysis with Six Cultivars

Analysis of variance revealed significant differences among the citrus cultivars for the traits, i.e., FW, FL, FD, TSS, acidity, VitC, Tsugar, and Rsugar (Table 3). The fruit yield/tree varied between 80.42 and 136.11 kg for all cultivars. The maximum yield/tree was recorded in the cultivar Valencia orange, followed by the cultivar Eureka lemon, while the minimum values of yield/tree were produced by the cultivar Clementine tangerine. The FW in all the citrus cultivars under study was in the range of 72.92 to 226.20 g. The most significant FW was recorded in the cultivar Washington Navel orange, followed by the cultivar Valencia orange. The minimum FW was recorded in the Bearss Seedless lime cultivar, followed by the Clementine tangerine. The cultivars Washington Navel orange and Valencia orange were recorded with the maximum FL (7.84 and 7.82 cm, respectively), followed by the cultivar Eureka lemon, while the lowest fruit length was observed in the cultivar Clementine tangerine. The most significant FD was recorded in cultivars Washington Navel orange and Murcott mandarin, followed by Valencia orange. The lowest FD was observed in the cultivar Bearss Seedless lime. In addition, the results revealed that citrus cultivars had significant differences in TSS, acidity, VitC, Tsugar, and Rsugar. The highest value of TSS was recorded in the cultivar Clementine tangerine, followed by the Murcott mandarin cultivar. The Eureka lemon cultivar provided the lowest TSS (7.86%), followed by Bearss Seedless lime (8.26%). The maximum acidity was recorded in Bearss Seedless lime. However, the cultivars Washington Navel orange and Murcott mandarin produced the minimum acidity (0.99%), followed by Clementine tangerine (1.04%). VitC levels were highest in the cultivars Washington Navel orange and Valencia orange, with the lowest levels found in the cultivar Bearss Seedless lime. In the citrus cultivars, the highest percentage of Tsugar was obtained in the cultivars Washington Navel orange and Bearss Seedless lime, whereas the lowest percentages of sugars were recorded in the Eureka lemon cultivar. The Bearss Seedless lime cultivar had the highest sugar content of fruits, while the Eureka lemon had the lowest sugar content.
Using the correlation coefficient (r) test, the relationship or linkage between fruit quality characteristics was investigated (Table 4). For six citrus cultivars, all factors were connected to one another, either positively or negatively, with varied r-values; r-values between 0.910 and 0.988 were found for Washington Navel oranges, 0.903 to 0.992 for Valencia oranges, 0.923 to 0.992 for Murcott mandarins, 0.954 to 0.994 for Clementine tangerines, 0.877 to 0.994 for Ureka Lemos, and 0.933 to 0.988 for Bearss Seedless limes, indicating strong positive correlations between all chemical attributes, except acidity, of fresh citrus fruit and dimensions of the fruits, FW, and yield/tree. This implies that raising yield/tree, FW, FL, and FD increased the TSS, VitC, Tsugar, and Rsugar, while decreasing acidity. The r-values in Washington Navel orange ranged from −0.924 to −0.983, in Valencia orange from −0.894 to −0.99, in Murcott mandarin from −0.911 to −0.988, in Clementine tangerine from −0.953 to −0.987, in Eureka lemon from −0.866 to −0.989, and in Bearss Seedless lime from −0.933 to −0.985. It is clear that increasing the EC decreases the TSS, VitC, Tsugar, and Rsugar. For six citrus cultivars, there was a positive correlation between EC and acidity, with r-values ranging from 0.939 to 0.964.

3.2. Optimal ANN Architecture Selection

Using a trial-and-error procedure based on the statistical indicators displayed in Figure 2 and Figure 3, the optimum ANN architecture was chosen. As previously described, two stages were implemented in this procedure. In the first stage (i.e., ANN configuration optimization) using all input variables (five input neurons), the R2, RMSE, MAE, and MARE values of the ANN models for TSS, acidity, VitC, Tsugar, and Rsugar with an increasing number of hidden neurons are shown in Figure 2, using the tanh function during the training process. The ANN architecture was considerably improved with the addition of hidden neurons, as evidenced by the values of the statistical indicators. High values of R2 and low values of RMSE, MAE, and MARE, indicating good model performance, were obtained by increasing the number of neurons in the hidden layer to more than three. With the increase of the number of hidden neurons to 9, there was a clear improvement in the ANN for TSS, acidity, VitC, Tsugar, and Rsugar, as shown in Figure 2. The statistical parameters values were R2 of 0.998, 0.998, 0.996, 0.996, and 0.998; RMSE of 0.102, 0.102, 0.452, 0.065, and 0.053; MAE of 0.083, 0.075, 0.344, 0.047, and 0.041; and MARE of 0.807, 4.815, 0.769, 0.648, and 1.020 for TSS, acidity, VitC, Tsugar, and Rsugar, respectively. The importance ratio of input variables for the 5-9-2 construction of the ANN model showed that the EC variable is not significant, contributing only 3.69%, 2.82%, 8.97%, 5.41%, and 4.14%, respectively, for TSS, acidity, VitC, Tsugar, and Rsugar, while FD is the dominant input variable.
In the stage of training, the ANN model was developed using the following four input variables: yield/tree, FW, FL, and FD. Figure 3 shows that when increasing the number of neurons in the hidden layer from 3 to 5, there was a marked improvement in network performance for the TSS, acidity, VitC, Tsugar, and Rsugar. With TSS, the R2 value was approximately 3.98% increasing, while RMSE, MAE, and MARE values were about 45.84%, 41.48%, and 40.26% decreasing, respectively. The same trend applies for acidity, VitC, Tsugar, and Rsugar. The R2 values were in the range of 0.32–4.38% increasing, while decreasing in the range of 24.25–59.67%, 19.91–60.61%, and 33.32–61.92%, respectively (Figure 3). The ANN model considerably improved when the number of hidden neurons was increased from 5 to 8. This gave an R2 value increase of approximately, on average, 0.45% for the previous architecture (4-5-4) for TSS, acidity, VitC, Tsugar, and Rsugar. The corresponding RMSE, MAE, and MARE values decreased by approximately, in average, 29.88%, 28.72%, and 28.26%, respectively. As shown in Figure 3, increasing the number of hidden neurons to more than 8 hampered ANN performance. The most appropriate ANN architecture is 4-8-4 with a tanh function that gave the best prediction of TSS, acidity, VitC, Tsugar, and Rsugar with the lowest error (the maximum R2 and the minimum RMSE, MAE, and MARE). Using an ANN model reduces the amount of input data and is less time-consuming, and it has higher performance and accuracy. The production values of the adjusted bias and weight matrices of the proposed ANN model had to be delivered to a spreadsheet (i.e., Microsoft Excel) or in the Visual Basic programming language to create an interactive computer tool for predicting the chemical attributes of fresh citrus fruit. The TSS, acidity, VitC, Tsugar, and Rsugar models can be represented by an algebraic system of equations using the trained values of the weights and biases (Table 5).

3.3. ANN Model Performance

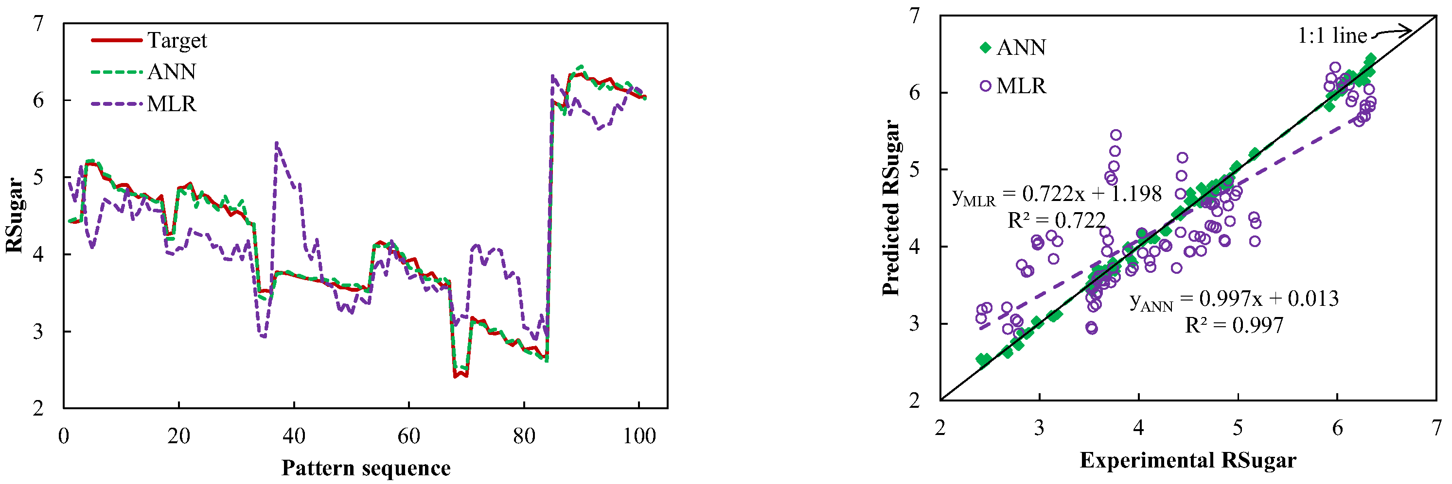
For the prediction of TSS, acidity, VitC, Tsugar, and Rsugar in fresh citrus fruits, a feed-forward back-propagation ANN with a tanh transfer function in the hidden and output layers was chosen. The 4-8-4 architecture of ANN was obtained through the best fit during the training process, as previously mentioned. To illustrate the goodness of fit, Figure 4 shows, for the used training data (green points), a comparison of the experimental and predicted TSS, acidity, VitC, Tsugar, and Rsugar values with the proposed ANN. It is clear from that figure that the predicted values using the proposed ANN model have a perfect fit with the observed values of TSS, acidity, VitC, Tsugar, and Rsugar. The R2 values had a range of 0.996–0.998, which is very close to one. Approximately 99.6% of the observed TSS variable can be explained in terms of the desired TSS, which is more homogeneous data with a strongly positive linear correlation [77], and so on for other variables. The values of the slope for the fit-line equation for TSS, acidity, VitC, Tsugar, and Rsugar (0.995, 0.999, 0.995, 0.995, and 0.997, respectively) are close to 1, while the intercept values (0.051, 0.003, 0.219, 0.035, and 0.013, respectively) for the equation are close to 0. For this network, the RMSE, MAE, and MARE values obtained had a range of 0.064–0.453, 0.05–0.384, and 0.793–5.007%, respectively, as presented in Table 6. The RMSE, MAE, and MARE values are close to zero.
In the testing process, Figure 5 shows that TSS, acidity, VitC, Tsugar, and Rsugar values mostly follow the 1:1 line, with slopes of 1.014, 1.007, 1.001, 1.003, and 0.993 (close to 1), respectively, and intercepts of 0.151, 0.051, 0.052, 0.018, and 0.047 (close to 0) in the fit-line equations, indicating a very good match between the predicted and experimental data, while R2 values were generally close to one. Table 6 shows statistical values for ANN outputs for test data. RMSE, MAE, and MARE test values were extremely low for all outputs. The ANN models excelled fairly similarly in their performances on both training and test datasets as there were no important differences in R2, RMSE, MAE, and MARE values (between the training and testing datasets) for TSS, acidity, VitC, Tsugar, and Rsugar. As Figure 6 depicts, the relative errors (RE) of predicted TSS, acidity, VitC, Tsugar, and Rsugar values (green points) are mostly around ±10%, except for some of a few datapoints with acidity values. Thus, these statistical criteria provide an indication that the proposed ANN model performance is sufficiently accurate.

3.4. Comparison between the Selected ANN and MLR Models

To verify the effectiveness of the suggested ANN model, MLR models were created. Table 7 presents the MLR equations developed for TSS, acidity, VitC, Tsugar, and Rsugar in order to confirm the capability of the proposed ANN model to predict these outputs. The MLR models were developed for TSS, acidity, VitC, Tsugar, and Rsugar data, which were used in the training process for developing the ANN. Table 8 also includes the regression analysis (SE, t-stat, and p-value) performed to determine the independent variables with significant effects on outputs at a 95% confidence level. It is observed that the absolute values of the independent variables’ t-stat for all MLR models are greater than 1.99, except for variable VitC, confirming the p-values (p < 0.05). The p-value of independent variables given in Table 8 indicates that FD is the most significant variable in the MLR models with the highest t-stat. The SE of the FD coefficients average was 33.16 × 10−2. The coefficients associated with the FD are larger than those associated with the other variables, indicating that the FD contributes more to the estimation of TSS, acidity, VitC, Tsugar, and Rsugar values than the other variables.
Figure 4 shows that many points in the MLR models are located above and below the 1:1 line for outputs during the training process. The values of slope in the fit-line equations are close to one, and the values of intercept reach zero with MLR models for TSS, acidity, and Rsugar, with the R2 values falling between 0.722 and 0.911. While MLR models for VitC and Tsugar showed a small correlation with experimental values, the R2 values were 0.534 and 0.542, respectively. The MLR models shown in Table 9 ranged in the RMSE of 0.568–4.768, MAE of 0.446–4.211, and MARE of 8.88–75.397%, based on the training subset. The MLR model’s Tsugar estimates were also closer to the corresponding experimental values, with lower values of RMSE, MAE, and MARE than those of the other models. The MLR model produced acidity values with the lowest accuracy, with a MARE of 75.397%. The RE in TSS, acidity, VitC, Tsugar, and Rsugar during the training process is plotted in Figure 5. We can see that singularities are produced by the proposed MLR (violet points) and are mostly around ±30%. Table 9 shows that MLR to model Tsugar has the best result compared to the other models during the testing dataset. This result is reflected in the RMSE, MAE, and MARE values. Finally, the estimated TSS, acidity, VitC, Tsugar, and Rsugar values from the MLR models during the testing process showed the same trend of results as with these models during the training process.
Based on the graphic comparison in Figure 4, the variability in the scatter plot of the ANN model is marginally less than that of the MLR models using the training dataset. This Figure shows that the ANN model exhibited a relatively close performances based on fit line equations, whereas the R2 of the ANN models is larger than that of the MLR models during the training process. The RE during the training process for TSS, acidity, VitC, Tsugar, and Rsugar is plotted in Figure 5. It is observed that singularity zones when using the proposed MLR are located throughout the graph. The low RE supports the use of the developed ANN model. A comparison between the performance statistics of the models is given in Table 3 and Table 6, which show considerable differences between the ANN and MLR models in terms of RMSE, MAE, and MARE. Using MLR to model TSS and Rsugar raised the RMSE, MAE, and MARE values to eight times the values for the ANN model, while these values increased approximately ten times with VitC and Tsugar, and twelve times with acidity during the training process.
The testing dataset led to a more realistic assessment of the predictive accuracy. Figure 5 depicts the relationship between the experimental and predicted values of TSS, acidity, VitC, Tsugar, and Rsugar during the testing process using the ANN and MLR models. As in the training process, the developed ANN model outperforms the MLR model in terms of agreement between experimental and predicted values. The R2 values for the ANN model were almost one for the MLR model. As can be seen from Table 3 and Table 6, the RMSE, MAE, and MARE values provide an indication that the MLR model performance is inadequately accurate. These findings indicate that ANN can be used to successfully model TSS, acidity, VitC, Tsugar, and Rsugar.

3.5. TSS, Acidity, VitC, Tsugar, and Rsugar of the Citrus Fruits Groups with the Selected ANN and MLR Models

The developed ANN model’s accuracy was validated by using the orange, mandarin, and acid groups, which are separately used to check on the performance of the model. As seen in Table 10, the ANN model and the MLR model exhibit a considerable divergence. The table makes it clear that using the developed ANN model rather than the MLR model results in a reasonable agreement between experimental and predicted values of TSS, acidity, VitC, Tsugar, and Rsugar for the three citrus groups. The values of statistical parameters, such as RMSE, MAE, and MARE, clearly reflect this agreement. RMSE, MAE, and MARE values were close to zero with the ANN model for TSS, acidity, VitC, Tsugar, and Rsugar of the tested citrus fruits. The MLR model for TSS had average values of RMSE, MAE, and MARE that were approximately 7, 9, and 8 times, respectively, less accurate than those from the ANN model. The MLR model for acidity had average values of RMSE, MAE, and MARE that were approximately 10, 13, and 15 times, respectively, less accurate than those from the ANN model. Meanwhile, the MLR models had average values of RMSE, MAE, and MARE that were approximately 7 times for VitC, 9 times for Tsugar, and 7 times for Rsugar, respectively, less accurate; they were less accurate than those from the MLR model. The statistical criteria for the two models confirm that the MLR model performs poorly.
However, the results of statistical criteria show that the developed ANN model, as shown in Table 10, performs best when used to forecast the TSS and VitC of the mandarin group, the acidity of the orange group, and the Tsugar and Rsugar of the acid group. The RMSE value for TSS and VitC for the mandarin group decreased (approximately 50% and 18%, respectively) from 0.177 and 0.567 in the acid group to 0.088 and 0.478. The RMSE value for acidity’s orange group decreased (approximately 44%) from 0.121 in the acid group to 0.084. Finally, the RMSE value for Tsugar and Rsugar for the acid group decreased (approximately 134% and 40%, respectively) from 0.108 and 0.074 in the mandarin group to 0.046 and 0.053.

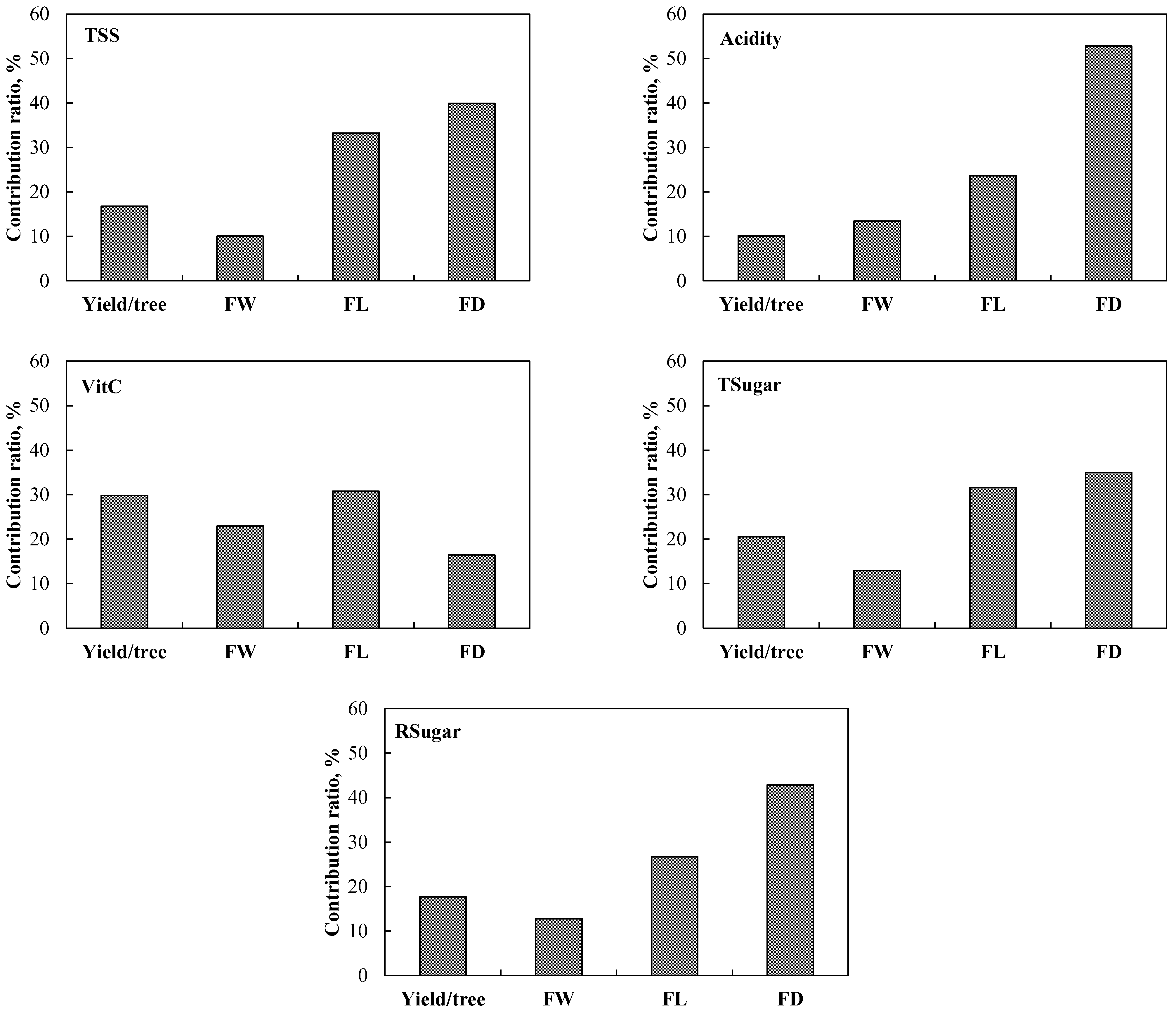
3.6. Importance-Ratio Analysis

Using the established ANN model, it was possible to calculate the contribution ratio of the yield/tree, FW, FL, and FD (inputs) to the TSS, acidity, VitC, Tsugar, and Rsugar (outputs), and the results are displayed in Figure 7 for citrus fruits. The importance of the input variable increases with the contribution percentage value. The findings obtained could indicate that the FD and FL are implicitly considered when estimating the TSS, acidity, Tsugar, and Rsugar values, where the contributions of FD and FL were 39.93% and 33.23%, 52.81% and 23.67%, 35.02% and 31.56%, and 42.32% and 26.73%, respectively. While FL and yield/tree contributed the most to VitC, with contribution ratios of 30.79% and 29.81%, respectively, FD contributed the least, with a value of 16.46%. Furthermore, FW contributed the lowest values for TSS, Tsugar, and Rsugar in the range of 10.04% to 12.89%.

4. Discussion

Fruit quality is one of the most important competitive market factors because it affects both the price and the amount of fruit sold [78]. The results of the present data analysis were consistent with the past findings as they mentioned significantly varied values for yield and physico-chemical fruit parameters among the citrus cultivars. Based on genetic make-up, intrinsic traits, climatic adaptability, growth factors, blooming, and fruit setting and management approached in cultivated areas in each region, various researchers have observed that citrus cultivars significantly differed in yield/tree, FW, FL, and FD, TSS, acidity, VitC, Tsugar, and Rsugar [15,16,19,79].
In order to assess fruit quality in the fruit industry, prediction of the chemical composition of fruit juice using mathematical models without the need for costly analyses is important [46]. Using the ANN model provides more accurate prediction values for the target variables. After examining the inputs, the network’s first layer was present with four inputs (Yield/tree, FW, FL, and FD), and its single output layer represented the quality chemical attributes. How well a dataset can be learned can be influenced by how many hidden neurons there are, which is important for identifying the best network architecture [80]. If the neurons are insufficiently used, this prevents the network from learning. When there are too many hidden neurons, overfitting can happen, which hinders the ability to generalize the input/output relationship but enhances network learning and data memorization [80,81]. The MLR models were developed to evaluate the performance of the proposed ANN model. An R2 value is commonly used to evaluate the performance of a definite model, while RMSE, MAE, and MARE can be used to evaluate the precision of a model by residual analysis. The ANN model was able to precisely predict the FW, FL, FD, TSS, acidity, VitC, Tsugar, and Rsugar of six different citrus cultivars with values of higher R2 and lower RMSE, MAE, and MARE than the values for MLR models for the test dataset, which was not used in the training phase. Previous prediction studies in various research areas have also demonstrated that ANN modeling methods are much more accurate than MLR modeling [46,82]. It is crucial to employ a dependable modeling technique to predict subjects in order to create an accurate prediction model [83]. Additionally, importance-ratio analysis is a useful tool in ANN models for extracting detailed information about the relationship between the input variables and the outcomes [84]. The importance of each predictor (independent variable) is calculated in this analysis in order to calculate the likelihood of an output in an ANN model [85]. The FD and FL variables were the most important, creating a powerful predictive ANN model, while the FW variable contributed the least. Abdel-Sattar et al. [46] showed that the FW of peach contributed different values to TSS, acidity, and VitC in the range of 19.61–23.48%.
From patterns of input and output data, ANNs can learn complex relationships and simplify outcomes. An ANN model’s main benefit is that it can predict a variety of non-linear functions, allowing for the development of the most accurate prediction model without the need to specify a prior closely fitting function. As a result, ANN is an effective method for simulating complex issues for which accurate models or workable solutions have not yet been developed. The quality of the training data, the type of data, the architecture of the ANN, and the learning algorithm used in that particular case can all have an impact on how well an ANN solves a problem [86]. Recently, more researchers have shown that the ANN model is a very effective forecasting tool to predict the accuracy of fruit quality, mainly including the classification and grading of fruit quality [87,88,89], the prediction of kiwi fruit yield [90], and fruit quality in loquat and peach [45,47]. Additionally, using inputs of juice volume, FW, and sphericity percentage, ANN was developed to forecast the TSS, acidity, TSS/acidity, anthocyanin, VitC, and total carotenoids content for fresh peach fruit [46]. Huang et al. [91] reported that developed ANN models with different topologies could accurately predict the FW, TSS, and acidity of loquat. A number of necessary assumptions, such as the fact that the linear function was regressed when the conventional MLR was used, were largely responsible for the ANN model’s superior performance compared with the MLR model. The established MLR model may therefore have only limited applications. The ANN model, in contrast, performed well at identifying patterns and fitting various functions to various types of data [92]. However, the ANN modeling method is constrained in some ways. Standardized coefficients that correspond to each parameter may not be as straightforward to identify in these procedures as they are in regular regression models. Regression analyses using the ANN procedure produce weights that are challenging to interpret because they are frequently affected by the computer software that created them [92,93].
We suggest that the established ANN model is capable of predicting the chemical properties of citrus fruits based on the high level of accuracy of the predicted data in both the training and testing stages [82]. The ANN technique had satisfactory generalizability when handling an entirely new dataset [94,95]. Lastly, it is very beneficial to predict the chemical properties of citrus fruits as improved raw materials for industrial or research applications because knowing the qualities of citrus samples will help with selecting the best fruit samples during the harvesting period and raising the price of potential commercial citrus.

5. Conclusions

The chemical attributes of citrus fruits at harvesting time play a significant role in the fruit industry. We used ANN to model the chemical attributes of citrus fruits, including TSS, acidity, VitC, Tsugar, and Rsugar (outputs) for three citrus groups. The yield/tree, FW, FL, FD, and EC (inputs) were used to create an ANN model with a feed-forward back propagation algorithm and hyperbolic tangent as the activation function in the hidden and output layers. The outcomes were contrasted with those derived from MLR models, which were used to forecast the chemical attributes of citrus fruits. The models’ performance was assessed using R2, RMSE, MAE, and MARE. Several neural network architectures were trained and tested to find the best structure with the least amount of errors, each with a different number of neurons in a single hidden layer. The maximum ANN model performance, as determined by statistical criteria, was achieved with 8 neurons in the hidden layer. Thus, the 4-8-5 neuron configuration was found to be the best ANN architecture, and the EC variable was disregarded because of its minimal contribution. The FD and FL were also the dominant factors, leading to a strong predictive model. As a result, an agronomist can recognize and concentrate on the factors that impact the state of the output while ignoring those that have minimal effects. The TSS, acidity, VitC, Tsugar, and Rsugar values of citrus fruits can be predicted with sufficient precision using the ANN model, which has demonstrated greater prediction ability than the MLR model. As a result, ANN is an effective and trustworthy technique for predicting the chemical characteristics of citrus fruits.

Author Contributions

Conceptualization, D.H.E., L.S.-P. and M.A.M.; methodology, M.A.-S. and D.H.E.; software, M.A.-S., A.M.A.-S. and M.A.M.; formal analysis, M.A.-S., A.M.A.-S., M.A.M., L.S.-P. and D.H.E.; Investigation, M.A.-S. and D.H.E.; resources, M.A.-S., A.M.A.-S. and D.H.E.; data curation, M.A.-S., D.H.E. and M.A.M.; writing—original draft preparation, all authors; writing—review and editing, all authors. All authors have read and agreed to the published version of the manuscript.

Funding

This research was funded by the Researchers Supporting Project (number: RSP-2021/334), King Saud University, Riyadh, Saudi Arabia.

Institutional Review Board Statement

Not applicable.

Informed Consent Statement

Not applicable.

Data Availability Statement

The data presented in this study are available on request from the corresponding author.

Acknowledgments

The authors extend their appreciation to the Researchers Supporting Project (number: RSP-2021/334), King Saud University, Riyadh, Saudi Arabia.

Conflicts of Interest

The authors declare no conflict of interest.

References

  1. Food and Agriculture Organization of the United Nations. FAO Statistical Databases 2020. Available online: https://www.fao.org/faostat/ (accessed on 22 August 2022).
  2. Agricultural Static; Ministry of Agriculture; Egypt-Economic Affairs Sector. 2022. Available online: https://egypt.opendataforafrica.org/data#topic=Agriculture (accessed on 22 August 2022).
  3. Qi, L.; Qi, C.J. Status quo and development trend of world’s citrus Industry. Agric. Outlook 2016, 12, 46–52. [Google Scholar]
  4. Balfagón, D.; Arbona, V.; Gómez-Cadenas, A. El futuro de los cítricos: Impacto del cambio climático en la citricultura. Mètode Rev. Difus. Investig. 2021, 3, 60–67. [Google Scholar] [CrossRef]
  5. Dhillon, B.S.; Randhawa, J.S. Fruit Growth and Development in Citrus: Advance in Horticulture; Malhotra Publishing House: New Dehli, India, 1993; Volume 3. [Google Scholar]
  6. Nicolosi, E. Origin and taxonomy. In Citrus Genetics, Breeding and Biotechnology; Khan, I.A., Ed.; CAB International: Wallingford, UK, 2007; pp. 19–44. [Google Scholar]
  7. Liu, Y.; Heying, E.; Tanumihardjo, S.A. History, Global Distribution, and Nutritional Importance of Citrus Fruits. Compr. Rev. Food Sci. Food Saf. 2012, 11, 530–545. [Google Scholar] [CrossRef]
  8. Varnam, A.; Sutherland, J.M. Beverages: Technology, Chemistry and Microbiology; Springer Science & Business Media: New York, USA, 2012. [Google Scholar]
  9. Zhang, Y.; Sun, Y.; Xi, W.; Shen, Y.; Qiao, L.; Zhong, L.; Ye, X.; Zhou, Z. Phenolic compositions and antioxidant capacities of Chinese wild mandarin (Citrus reticulata Blanco) fruits. Food Chem. 2014, 145, 674–680. [Google Scholar] [CrossRef]
  10. Lado, J.; Gambeeta, G.; Zacarias, L. Key determinants of citrus fruit quality: Metabolites and main changes during maturation. Sci. Hortic. 2018, 233, 238–248. [Google Scholar] [CrossRef]
  11. Zou, Z.; Xi, W.; Hu, Y.; Nie, C.; Zhou, Z. Antioxidant activity of Citrus fruits. Food Chem. 2016, 196, 885–896. [Google Scholar] [CrossRef]
  12. Singh, B.; Singh, J.P.; Kaur, A.; Yadav, M.P. Insight into the chemical composition and bioactivities of citrus peel essential oils. Food Res. Int. 2021, 143, 110231. [Google Scholar] [CrossRef]
  13. Tanaka, T. Fundamental discussion of Citrus classification. Stud. Citrog. 1977, 14, 1–6. [Google Scholar]
  14. Taia, W.K.; Ibrahim, M.M.; Abdel-Sattar, M. Pollen morphological variations among some cultivated citrus species and its related genera in Egypt. Jordan J. Biol. Sci. 2020, 13, 499–508. [Google Scholar]
  15. Klimek-Szczykutowicz, M.; Szopa, A.; Ekiert, H. Citrus limon (Lemon) phenomenon—A review of the chemistry, pharmacological properties, applications in the modern pharmaceutical, food, and cosmetics industries, and biotechnological studies. Plants 2020, 9, 119. [Google Scholar] [CrossRef]
  16. Moore, G.A. Oranges and lemons: Clues to the taxonomy of Citrus from molecular markers. Trends Genet. 2001, 17, 536–540. [Google Scholar] [CrossRef]
  17. Obenland, D.; Collin, S.; Mackey, B.; Sievert, J.; Arpaia, M.L. Storage temperature and time influences sensory quality of mandarins by altering soluble solids, acidity and aroma volatile composition. Postharvest Biol. Technol. 2011, 59, 187–193. [Google Scholar] [CrossRef]
  18. Ziena, H.M.S. Quality attributes of Bearss Seedless lime (Citrus latifolia Tan) juice during storage. Food Chem. 2000, 71, 167–172. [Google Scholar] [CrossRef]
  19. Gupta, A.K.; Pathak, U.; Tongbram, T.; Medhi, M.; Terdwongworakul, A.; Magwaza, L.S.; Mditshwa, A.; Tao Chen, T.; Mishra, P. Emerging approaches to determine maturity of citrus fruit. Crit. Rev. Food Sci. Nutr. 2022, 62, 5245–5266. [Google Scholar] [CrossRef]
  20. Onwude, D.; Bahrami, F.; Shrivastava, C.; Berry, T.; Cronje, P.; North, J.; Kirsten, N.; Schudel, S.; Crenna, E.; Shoji, K.; et al. Physics-driven digital twins to quantify the impact of pre- and postharvest variability on the end quality evolution of orange fruit. Resour. Conserv. Recycl. 2022, 186, 106585. [Google Scholar] [CrossRef]
  21. Pedrero, F.; Maestre-Valero, J.F.; Mounzer, O.; Alarcón, J.J.; Nicolás, E. Physiological and agronomic mandarin trees performance under saline reclaimed water combined with regulated deficit irrigation. Agric. Water Manag. 2014, 146, 228–237. [Google Scholar] [CrossRef]
  22. Pedrero, F.; Maestre-Valero, J.F.; Mounzer, O.; Nortes, P.A.; Alcobendas, R.; Romero-Trigueros, C.; Bayona, J.M.; Alarcón, J.J.; Nicolás, E. Response of young ‘Star Ruby’ grapefruit trees to regulated deficit irrigation with saline reclaimed water. Agric. Water Manag. 2015, 158, 51–60. [Google Scholar] [CrossRef]
  23. Besset, J.; Génard, M.; Girard, T.; Serra, V.; Bussi, C. Effect of water stress applied during the final stage of rapid growth on peach trees (cv. Big-Top). Sci. Hortic. 2001, 91, 289–303. [Google Scholar] [CrossRef]
  24. Rahmati, M.; Vercambre, G.; Davarynejad, G.; Bannayan, M.; Azizi, M.; Génard, M. Water scarcity conditions affect peach fruit size and polyphenol contents more severely than other fruit quality traits. J. Sci. Food Agric. 2015, 95, 1055–1065. [Google Scholar] [CrossRef]
  25. Laribi, A.I.; Palou, L.; Intrigliolo, D.S.; Nortes, P.A.; Rojas-Argudo, C.; Taberner, V.; Bartual, J.; Pérez-Gago, M.B. Effect of sustained and regulated deficit irrigation on fruit quality of pomegranate cv. ‘Mollar de Elche’ at harvest and during cold storage. Agric. Water Manag. 2013, 125, 61–70. [Google Scholar] [CrossRef]
  26. Romero-Trigueros, C.; Parra, M.; Bayona, J.M.; Nortes, P.A.; Alarcón, J.J.; Nicolás, E. Effect of deficit irrigation and reclaimed water on yield and quality of grapefruits at harvest and postharvest. LWT Food Sci. Technol. 2017, 85, 405–411. [Google Scholar] [CrossRef]
  27. Pérez-Pérez, J.G.; Robles, J.M.; Botía, P. Effects of deficit irrigation in different fruit growth stages on ‘Star Ruby’ grapefruit trees in semi-arid conditions. Agric. Water Manag. 2014, 133, 44–54. [Google Scholar] [CrossRef]
  28. Navarro, J.M.; Pérez-Pérez, J.G.; Romero, P.; Botía, P. Analysis of the changes in quality in mandarin fruit, produced by deficit irrigation treatments. Food Chem. 2010, 119, 1591–1596. [Google Scholar] [CrossRef]
  29. Pérez-Pérez, J.G.; García-Sánchez, F.; Robles, J.M.; Botía, P. ‘Star Ruby’ grapefruit and ‘Clemenules’ mandarin trees show different physiological and agronomic responses to irrigation with saline water. Irrig. Sci. 2015, 33, 191–204. [Google Scholar] [CrossRef]
  30. Romero, P.; Navarro, J.M.; Pérez-Pérez, J.; García-Sánchez, F.; Gómez-Gómez, A.; Porras, I.; Martinez, V.; Botía, P. Deficit irrigation and rootstock: Their effects on water relations, vegetative development, yield, fruit quality and mineral nutrition of Clemenules mandarin. Tree Physiol. 2006, 26, 1537–1548. [Google Scholar] [CrossRef] [PubMed]
  31. Mattar, M.A.; Soliman, S.S.; Al-Obeed, R.S. Effects of Various Quantities of Three Irrigation Water Types on Yield and Fruit Quality of ‘Succary’ Date Palm. Agronomy 2021, 11, 796. [Google Scholar] [CrossRef]
  32. Shahin, M.M.; Alhajhoj, M.R. Effect of different irrigation water qualities on the content of some macro and micronutrients in leaves fruit, as well as yield and fruit quality of some date palm cultivars in Al-Hassa Oasis, Saudi Arabia. Middle East. J. Agric. Res. 2015, 4, 834–847. [Google Scholar]
  33. Legua, P.; Forner, J.B.; Hernández, F.; Forner-Giner, M.A. Total phenolics, organic acids, sugars and antioxidant activity of mandarin (Citrus clementina Hort. ex Tan.): Variation from rootstock. Sci. Hortic. 2014, 174, 60–64. [Google Scholar] [CrossRef]
  34. Iqbal, M.; NiamatullahKhan, M.; Zafar, M.; Munir, M. Effect of harvesting date on fruit size, fruit weight and total soluble solids of feutrell’s early and kinnow cultivars of madarin (Citrus reticulata) on the economic conditions of farming community of Faisalabad. Sarhad J. Agric. 2012, 28, 19–22. [Google Scholar]
  35. Singh, K.K.; Mridula, D.; Barnwal, P.; Rehal, J. Selected engineering and biochemical properties of 11 flaxseed varieties. Food Bioprocess Technol. 2013, 6, 598–605. [Google Scholar] [CrossRef]
  36. Kumar, M.; Raghuwanshi, N.S.; Singh, R.; Wallender, W.W.; Pruitt, W.O. Estimating evapotranspiration using artificial neural network. J. Irrig. Drain. Eng. 2002, 128, 224–233. [Google Scholar] [CrossRef]
  37. Mattar, M.A.; Alazba, A.A.; Zin El-Abedin, T.K. Forecasting furrow irrigation infiltration using artificial neural networks. Agric. Water Manag. 2015, 148, 63–71. [Google Scholar] [CrossRef]
  38. Mattar, M.A. Using gene expression programming in monthly reference evapotranspiration modeling: A case study in Egypt. Agric. Water Manag. 2018, 198, 28–38. [Google Scholar] [CrossRef]
  39. Shahabi, M.; Jafarzadeh, A.A.; Neyshabouri, M.R.; Ghorbani, M.A.; Kamran, K.V. Spatial modeling of soil salinity using multiple linear regression, ordinary kriging and artificial neural network methods. Arch. Agron. Soil Sci. 2016, 63, 151–160. [Google Scholar] [CrossRef]
  40. Abdipour, M.; Younessi-Hmazekhanlu, M.; Ramazani, S.H.R.; Omidi, A.H. Artificial neural networks and multiple linear regression as potential methods for modeling seed yield of safflower (Carthamus tinctorius L.). Ind. Crops Prod. 2019, 127, 185–194. [Google Scholar] [CrossRef]
  41. Rai, P.; Majumdar, G.C.; DasGupta, S.; De, S. Prediction of the viscosity of clarified fruit juice using artificial neural network: A combined effect of concentration and temperature. J. Food Eng. 2005, 68, 527–533. [Google Scholar] [CrossRef]
  42. Furferi, R.; Carfagni, M.; Daou, M. Artificial neural network software for real time estimation of olive oil qual-itative parameters during continuous extraction. Comput. Electron. Agric. 2007, 55, 115–131. [Google Scholar] [CrossRef]
  43. Cimpoiu, C.; Cristea, V.; Hosu, A.; Sandru, M.; Seserman, L. Antioxidant activity prediction and classification of some teas using artificial neural networks. Food Chem. 2011, 127, 1323–1328. [Google Scholar] [CrossRef]
  44. Yalcin, H.; Toker, O.S.; Ozturk, I.; Dogan, M.; Kism, O. Prediction of fatty acid composition of vegetable oils based on rheological measurements using nonlinear models. Eur. J. Lipid Sci. Technol. 2012, 114, 1217–1224. [Google Scholar] [CrossRef]
  45. Huang, X.; Wang, H.; Luo, W.; Xue, S.; Hayat, F.; Gao, Z. Prediction of loquat soluble solids and titratable acid content using fruit mineral elements by artificial neural network and multiple linear regression. Sci. Hortic. 2021, 278, 109873. [Google Scholar] [CrossRef]
  46. Abdel-Sattar, M.; Al-Obeed, R.S.; Aboukarima, A.; Eshra, D.H. Development of an artificial neural network as a tool for predicting the chemical attributes of fresh peach fruits. PLoS ONE 2021, 16, e0251185. [Google Scholar] [CrossRef] [PubMed]
  47. Huang, X.; Chen, T.; Zhou, P.; Huang, X.; Liu, D.; Jin, W.; Zhang, H.; Zhou, J.; Wang, Z.; Gao, Z. Prediction and optimization of fruit quality of peach based on artificial neural network. J. Food Compos. Anal. 2022, 111, 104604. [Google Scholar] [CrossRef]
  48. Zanetti, S.S.; Sousa, E.F.; Oliveira, V.P.S. Estimating evapotranspiration using artificial neural network and minimum climatological data. J. Irrig. Drain. Eng. 2007, 133, 83–89. [Google Scholar] [CrossRef]
  49. Landeras, G.; Ortiz-Barredo, A.; López, J.J. Comparison of artificial neural network models and empirical and semi-empirical equations for daily reference evapotranspiration estimation in the Basque Country Northern Spain. Agric. Water Manag. 2008, 95, 553–565. [Google Scholar] [CrossRef]
  50. Landeras, G.; Ortiz-Barredo, A.; López, J.J. Forecasting weekly evapotranspiration with ARIMA and artificial neural network Models. J. Irrig. Drain. Eng. 2009, 135, 323–334. [Google Scholar] [CrossRef]
  51. Yassin, M.A.; Alazba, A.A.; Mattar, M.A. Modelling daily evapotranspiration using artificial neural networks under hyper arid conditions. Pak. J. Agric. Sci. 2016, 53, 695–712. [Google Scholar] [CrossRef]
  52. Roy, D.K.; Sarkar, T.K.; Kamar, S.S.A.; Goswami, T.; Muktadir, M.A.; Al-Ghobari, H.M.; Alataway, A.; Dewidar, A.Z.; El-Shafei, A.A.; Mattar, M.A. Daily Prediction and Multi-Step Forward Forecasting of Reference Evapotranspiration Using LSTM and Bi-LSTM Models. Agronomy 2022, 12, 594. [Google Scholar] [CrossRef]
  53. Emamgholizadeh, S.; Parsaeian, M.; Baradaran, M. Seed yield prediction of sesame using artificial neural network. Eur. J. Agron. 2015, 68, 89–96. [Google Scholar] [CrossRef]
  54. Niedbała, G. Application of multiple linear regression for multi-criteria yield prediction of winter wheat. J. Res. Appl. Agric. Eng. 2018, 63, 125–131. [Google Scholar]
  55. Torkashvand, A.M.; Ahmadi, A.; Nikravesh, N.L. Prediction of kiwifruit firmness using fruit mineral nutrient concentration by artificial neural network (ANN) and multiple linear regressions (MLR). J. Integr. Agric. 2017, 16, 1634–1644. [Google Scholar] [CrossRef]
  56. Niazian, M.; Sadat-Noori, S.A.; Abdipour, M. Artificial neural network and multiple regression analysis models to predict essential oil content of ajowan (Carum copticum L.). J. Appl. Res. Med. Aromat. Plants 2018, 9, 124–131. [Google Scholar] [CrossRef]
  57. Ivanovski, T.; Zhang, G.; Jemrić, T.; Gulić, M.; Matetić, M. Fruit firmness prediction using multiple linear regression. In Proceedings of the 2020 43rd International Convention on Information, Communication and Electronic Technology (MIPRO), Opatija, Croatia, 28 September–2 October 2020; pp. 1306–1311. [Google Scholar] [CrossRef]
  58. Shezi, S.; Magwaza, L.S.; Tesfay, S.Z.; Mditshwa, A. Simple and multiple linear regression models for predicting maturity of ‘Mendez#1’ and ‘Hass’ avocado fruit harvested from inside and outside tree canopy positions. Int. J. Fruit Sci. 2020, 20, 1969–1983. [Google Scholar] [CrossRef]
  59. Abdel-Sattar, M.; Al-Saif, A.M.; Aboukarima, A.M.; Eshra, D.H.; Sas-Paszt, L. Quality Attributes Prediction of Flame Seedless Grape Clusters Based on Nutritional Status Employing Multiple Linear Regression Technique. Agriculture 2022, 12, 1303. [Google Scholar] [CrossRef]
  60. Khalifa, S.; Komarizadeh, M.H.; Tousi, B. Usage of fruit response to both force and forced vibration applied to assess fruit firmness- a review. Aust. J. Crop Sci. 2011, 5, 516–522. [Google Scholar]
  61. Page, A.; Miller, R.; Keeney, D. Chemical and microbiological properties. In Methods of Soil Analysis, Part 2, 2nd ed.; Agronomy Monogram 9; Agronomy Society of America and Soil Science Society of America: Madison, WI, USA, 1982. [Google Scholar]
  62. Klute, A. Methods of Soil Analysis; Part 1 Book Series No. 9; American Society of Agronomy and Soil Science America: Madison, WI, USA, 1986. [Google Scholar]
  63. Abdel-Sattar, M.; EL-Tanany, M.; EL-Kouny, H.M. Reducing mineral fertilizers by using organic manure to improve Washington navel orange productivity and sandy soil characteristics. Alex. Sci. Exch. J. 2011, 32, 372–380. [Google Scholar]
  64. AOAC. Association of official analytical chemists. In Official Method of Analysis, 18th ed.; AOAC: Gaithersburg, MD, USA, 2005. [Google Scholar]
  65. Malik, C.P.; Singh, M.B. Plant enzymology and histoenzymology. In A Text Manual; Kalyani Publishers: New Delhi, India, 1980. [Google Scholar]
  66. Egan, H.; Kirk, R.S.; Sawyer, R. Pearson’s Chemical Analysis of Food: Churchill Livingstone; Churchill Livingstone: Minneapolis, MN, USA, 1981; p. 591. [Google Scholar]
  67. Thirumalaiah, K.; Deo, M.C. River stage forecasting using artificial neural networks. J. Hydrol. Eng. 1998, 3, 26–32. [Google Scholar] [CrossRef]
  68. Cigizoglu, H.K. Estimation, forecasting and extrapolation of river flows by artificial neural networks. Hydrol. Sci. J. 2003, 48, 349–361. [Google Scholar] [CrossRef]
  69. Jain, A.; Srinivasulu, S. Development of effective and efficient rainfall-runoff models using integration of deterministic, real-coded genetic algorithms, and artificial neural network techniques. Water Resour. Res. 2004, 40, W04302. [Google Scholar] [CrossRef]
  70. Fernando, D.A.K.; Shamseldin, A.Y. Investigation of internal functioning of the radial-basis-function neural network river flow forecasting models. J. Hydrol. Eng. 2009, 14, 286–292. [Google Scholar] [CrossRef]
  71. Maier, H.R.; Dandy, G.C. Neural networks for the prediction and forecasting of water resources variables: A review of modeling issues and application. Environ. Model. Softw. 2000, 15, 101–124. [Google Scholar] [CrossRef]
  72. Haykin, S. Neural networks. In A Comprehensive Foundation; Prentice Hall International Inc.: Hoboken, NJ, USA, 1999. [Google Scholar]
  73. Swingler, K. Applying Neural Networks, A Practical Guide, 3rd ed.; Academic Press: Cambridge, MA, USA; Morgan Kaufmann: San Francisco, CA, USA, 2001. [Google Scholar]
  74. Garson, G.D. Interpreting neuralnetwork connection weights. Artif. Intell. Expert. 1991, 6, 47–51. [Google Scholar]
  75. Jain, S.K.; Nayak, P.C.; Sudhir, K.P. Models for estimating evapotranspiration using artificial neural networks, and their physical interpretation. Hydrol. Process. 2008, 22, 2225–2234. [Google Scholar] [CrossRef]
  76. Legates, D.R.; McCabe, G.J., Jr. Evaluating the use of ‘‘goodness-of fit’’ measures in hydrologic and hydroclimatic model validation. Water Resour. Res. 1999, 35, 233–241. [Google Scholar] [CrossRef]
  77. Pagano, M.; Gauvreau, K. Princípios de Bioestatística; Cengage Learning: São Paulo, Brazil, 2012; p. 506. [Google Scholar]
  78. Cun, D.; Pu, J.; Gao, J.; Li, J.; Yue, J.; Du, Y.; Li, D.; Li, X.; Chen, L.; Zhou, X.; et al. The relationship between mineral element content in the peel and pulp of Yunnan Bingtang orange and fruit quality. Jiangsu Agric. Sci. 2020, 48, 207–214. [Google Scholar]
  79. Lowe, A.; Stephen, H.; Ashton, P. Ecological Genetics: Design, Analysis and Application; Blackwell Publishing: Hoboken, NJ, USA, 2004; p. 6-100.15. [Google Scholar]
  80. Kaveh, M.; Chayan, R.A. Prediction of some physical and drying properties of terebinth fruit (Pistacia atlantica L.) using artificial neural networks. Acta Sci. Pol. Technol. Aliment. 2014, 13, 65–78. [Google Scholar] [CrossRef]
  81. Gholipoor, M.; Nadali, F. Fruit yield prediction of pepper using artificial neural network. Sci. Hortic. 2019, 250, 249–253. [Google Scholar] [CrossRef]
  82. Jamshidi, S.; Yadollahi, A.; Ahmadi, H.; Arab, M.M.; Eftekhari, M. Predicting in vitro culture medium macro-nutrients composition for pear rootstocks using regression analysis and neural network models. Front. Plant Sci. 2016, 7, 274. [Google Scholar] [CrossRef]
  83. Eftekhari, M.; Yadollahi, A.; Ahmadi, H.; Shojaeiyan, A.; Ayyari, M. Development of an artificial neural networkas a tool for predicting the targeted phenolic profile of grapevine (Vitis vinifera) foliar wastes. Front. Inplant Sci. 2018, 9, 837. [Google Scholar] [CrossRef]
  84. Davoudi Kakhki, F.; Freeman, S.A.; Mosher, G.A. Evaluating Machine Learning Performance in Predicting Injury Severity in Agribusiness Industries. Saf. Sci. 2019, 117, 257–262. [Google Scholar] [CrossRef]
  85. Pianosi, F.; Wagener, T. A Simple and Efficient Method for Global Sensitivity Analysis Based Oncumulative Distribution Functions. Environ. Model. Softw. 2015, 67, 1–11. [Google Scholar] [CrossRef]
  86. Baykal, H.; Yildirim, H.K. Application of artificial neural networks (ANNs) in wine technology. Crit. Rev. Food Sci. Nutr. 2013, 53, 415–421. [Google Scholar] [CrossRef] [PubMed]
  87. Mazen, F.M.; Nashat, A.A. Ripeness classification of bananas using an artificial neural network. Arab. J. Sci. Eng. 2019, 44, 6901–6910. [Google Scholar] [CrossRef]
  88. Kaur, M.; Sharma, R. Quality detection of fruits by using ANN technique. IOSR J. Electron. Commun. Eng. (IOSR-JECE) 2015, 10, 35–41. [Google Scholar]
  89. Zhang, G.; Fu, Q.; Fu, Z.; Li, X.; Matetić, M.; Brkić, B.M.; Jemrić, T. A comprehensive peach fruit quality evaluation method for grading and consumption. Appl. Sci. 2020, 10, 1348. [Google Scholar] [CrossRef]
  90. Torkashvand, A.M.; Ahmadipour, A.; Khaneghah, A.M. Estimation of kiwifruit yield by leaf nutrients concentration and artificial neural network. J. Agric. Sci. 2019, 158, 185–193. [Google Scholar] [CrossRef]
  91. Huang, X.; Wang, H.; Qu, S.; Luo, W.; Gao, Z. Using artificial neural network in predicting the key fruit quality of loquat. Food Sci. Nutr. 2021, 9, 1780–1791. [Google Scholar] [CrossRef]
  92. Ahmadi, H.; Rodehutscord, M. Application of artificial neural network and support vector machines in predicting metabolizable energy in compound feeds for pigs. Front Nutr. 2017, 4, 27. [Google Scholar] [CrossRef]
  93. Abdel-Sattar, M.; Aboukarima, A.M.; Alnahdi, B.M. Application of artificial neural network and support vector regression in predicting massof ber fruits (Ziziphus mauritiana Lamk.) based on fruit axial dimensions. PLoS ONE 2021, 16, e0245228. [Google Scholar] [CrossRef]
  94. Rad, M.R.N.; Koohkan, S.; Fanaei, H.R.; Rad, M.R.P. Application of artificial neural networks to predict the final fruit weight and random forest to select important variables in native population of Melon (Cucumis melo L.). Sci Hortic. 2015, 181, 108–112. [Google Scholar] [CrossRef]
  95. Rad, M.R.N.N.; Ghalandarzehi, A.; Koohpaygani, J.A. Predicting eggplant individual fruit weight using an artificial neural network. Int. J. Veg. Sci. 2017, 23, 331–339. [Google Scholar] [CrossRef]
Figure 1. Flowchart for ANN Modeling.
Figure 1. Flowchart for ANN Modeling.
Horticulturae 08 01016 g001
Figure 2. Number of hidden neurons verse statistical performance of the ANN model for total soluble solids (TSS), acidity, vitamin C (VitC), total sugars (Tsugar), and reducing sugars (Rsugar) during the stage of ANN configuration optimization. R2, coefficient of determination; RMSE, root mean square error; MAE, mean absolute error; MARE, mean absolute relative error.
Figure 2. Number of hidden neurons verse statistical performance of the ANN model for total soluble solids (TSS), acidity, vitamin C (VitC), total sugars (Tsugar), and reducing sugars (Rsugar) during the stage of ANN configuration optimization. R2, coefficient of determination; RMSE, root mean square error; MAE, mean absolute error; MARE, mean absolute relative error.
Horticulturae 08 01016 g002
Figure 3. Number of hidden neurons verse statistical performance of the ANN model for total soluble solids (TSS), acidity, vitamin C (VitC), total sugars (Tsugar), and reducing sugars (Rsugar) during the training process. R2, coefficient of determination; RMSE, root mean square error; MAE, mean absolute error; MARE, mean absolute relative error.
Figure 3. Number of hidden neurons verse statistical performance of the ANN model for total soluble solids (TSS), acidity, vitamin C (VitC), total sugars (Tsugar), and reducing sugars (Rsugar) during the training process. R2, coefficient of determination; RMSE, root mean square error; MAE, mean absolute error; MARE, mean absolute relative error.
Horticulturae 08 01016 g003
Figure 4. Comparison between experimental and predicted values of total soluble solids (TSS), acidity, vitamin C (VitC), total sugars (Tsugar), and reducing sugars (Rsugar) using ANN and MLR models during training process.
Figure 4. Comparison between experimental and predicted values of total soluble solids (TSS), acidity, vitamin C (VitC), total sugars (Tsugar), and reducing sugars (Rsugar) using ANN and MLR models during training process.
Horticulturae 08 01016 g004aHorticulturae 08 01016 g004b
Figure 5. Comparison between experimental and predicted values of total soluble solids (TSS), acidity, vitamin C (VitC), total sugars (Tsugar), and reducing sugars (Rsugar) using ANN and MLR models during the testing process.
Figure 5. Comparison between experimental and predicted values of total soluble solids (TSS), acidity, vitamin C (VitC), total sugars (Tsugar), and reducing sugars (Rsugar) using ANN and MLR models during the testing process.
Horticulturae 08 01016 g005
Figure 6. Relative error for the ANN and MLR models using the total soluble solids (TSS), acidity, vitamin C (VitC), total sugars (Tsugar), and reducing sugars (Rsugar) data during the testing process.
Figure 6. Relative error for the ANN and MLR models using the total soluble solids (TSS), acidity, vitamin C (VitC), total sugars (Tsugar), and reducing sugars (Rsugar) data during the testing process.
Horticulturae 08 01016 g006
Figure 7. Contribution ratio of the input variables in the ANN model. FW, fruit weight; FL, fruit length; FD, fruit diameter; TSS, total soluble solids; VitC, vitamin C; Tsugar, total sugars; Rsugar, reducing sugars.
Figure 7. Contribution ratio of the input variables in the ANN model. FW, fruit weight; FL, fruit length; FD, fruit diameter; TSS, total soluble solids; VitC, vitamin C; Tsugar, total sugars; Rsugar, reducing sugars.
Horticulturae 08 01016 g007
Table 1. Physical and chemical properties of the soil at the experimental site.
Table 1. Physical and chemical properties of the soil at the experimental site.
Depth (cm)Particle Size (%)TextureSoil’s Physical PropertiesSoil’s Chemical Properties
SandSiltClayρb
(g cm−3)
FC
(%)
WP
(%)
TAW
m3 m−3
EC
(dS m−1)
pHOM
(%)
CaCO3 (%)
0–3073.112.914.0Sandy loam 1.3911.04.50.111.487.630.462.33
30–6070.412.017.6Sandy loam 1.2512.15.20.121.447.670.522.28
60–9071.211.817.0Sandy loam 1.4611.24.60.101.577.820.362.45
ρb, bulk density; FC, field capacity; WP, wilting point; TAW, total available water; EC, electrical conductivity; OM, organic matter; CaCO3, total calcium carbonate.
Table 2. Descriptive statistics of the variables used in models development.
Table 2. Descriptive statistics of the variables used in models development.
StatisticsECYield/TreeFWFLFDTSSAcidityVitCTsugarRsugar
Training set
xmean1.50103.37134.826.436.3911.062.8043.637.394.31
xmax 1.68162.12246.698.557.8214.607.2258.988.986.34
xmin1.2864.4534.564.304.207.080.9033.465.182.41
Sx0.1224.4461.341.441.142.262.497.021.101.08
Csx−0.270.660.04−0.10−0.45−0.410.750.38−0.310.37
kx−0.98−0.35−1.09−1.68−1.25−1.32−1.38−0.95−1.24−0.68
Testing set
xmean1.50103.94136.216.486.4311.082.7543.867.424.31
xmax 1.68161.48246.788.597.8414.587.1457.898.956.38
xmin1.2866.0834.984.314.297.050.9033.595.152.48
Sx0.1222.2060.721.421.132.282.486.991.101.09
Csx−0.140.620.06−0.16−0.45−0.420.810.38−0.410.41
kx−1.160.14−0.99−1.66−1.22−1.28−1.33−0.91−1.08−0.50
xmean, mean value; xmax, maximum value; xmin, minimum value; Sx, standard deviation; Csx, skewness coefficient; kx, kurtosis coefficient; EC, electrical conductivity; FW, fruit weight; FL, fruit length; FD, fruit diameter; TSS, total soluble solids; VitC, vitamin C; Tsugar, total sugars; Rsugar, reducing sugars.
Table 3. Distribution of mean values of yield, fruit weight (FW), fruit length (FL), fruit diameter (FD), TSS, Acidity, Vitamin C (VitC), total sugar (Tsugar), and reducing sugar (Rsugar) of six cultivars of mature citrus in the investigated sites.
Table 3. Distribution of mean values of yield, fruit weight (FW), fruit length (FL), fruit diameter (FD), TSS, Acidity, Vitamin C (VitC), total sugar (Tsugar), and reducing sugar (Rsugar) of six cultivars of mature citrus in the investigated sites.
CultivarsYield/treeFWFLFDTSSAcidityVitCTsugarRsugar
(Kg)(gm)(cm)(cm)(%)(%)(mg/100mL Juice)(%)(%)
Washington Navel orange 95.01 c226.20 a7.84 a7.49 a11.93 c0.99 d53.00 a8.44 a4.79 b
Valencia orange136.11 a171.05 b7.82 a7.21 b11.52 d1.14 c49.51 b8.14 b4.55 c
Murcott mandarin 92.67 c146.86 c5.71 c7.44 a13.05 b0.99 d38.15 e6.55 d3.63 e
Clementine tangerine 80.42 d49.88 f4.49 e5.43 d13.57 a1.04 cd43.70 c6.93 c3.81 d
Eureka lemon116.65 b136.24 d7.65 b6.17 c7.86 f5.77 b40.85 d5.67 e2.78 f
Bearss Seedless lime91.78 c72.92 e5.03 d4.53 e8.26 e6.67 a34.99 f8.45 a6.15 a
LSD (5%)4.285.210.150.080.290.13351.14150.11340.0836
Different letters indicate that means are significantly different from each other (p < 0.05).
Table 4. Correlation coefficients describing the correlations among the yield/tree, fruit weight (FW), fruit length (FL), and fruit diameter (FD) and chemical attributes for six cultivars of fresh citrus fruit.
Table 4. Correlation coefficients describing the correlations among the yield/tree, fruit weight (FW), fruit length (FL), and fruit diameter (FD) and chemical attributes for six cultivars of fresh citrus fruit.
ECYield/TreeFWFLFDTSSAcidityVitCTsugarRsugar
Washington Navel orange
EC1−0.983−0.962−0.974−0.924−0.9600.964−0.959−0.967−0.957
Yield/tree 10.9650.9880.9190.957−0.9610.9670.9680.955
FW 10.9520.9700.985−0.9770.9880.9770.962
FL 10.9100.954−0.9490.9490.9740.967
FD 10.980−0.9400.9660.9650.957
TSS 1−0.9650.9760.9850.979
Acidity 1−0.972−0.963−0.956
VitC 10.9730.960
Tsugar 10.988
Rsugar 1
Valencia orange
EC1.000−0.966−0.955−0.894−0.956−0.9650.939−0.982−0.990−0.974
Yield/tree 10.9880.9620.9910.991−0.9800.9760.9740.978
FW 10.9680.9920.986−0.9750.9690.9660.972
FL 10.9690.958−0.9660.9090.9030.908
FD 10.992−0.9850.9670.9710.974
TSS 1−0.9850.9740.9770.976
Acidity 1−0.950−0.953−0.959
VitC 10.9870.986
Tsugar 10.987
Rsugar 1
Murcott mandarin
EC1−0.988−0.978−0.911−0.958−0.9570.959−0.975−0.972−0.962
Yield/tree 10.9920.9410.9770.978−0.9680.9890.9850.981
FW 10.9230.9640.974−0.9610.9840.9740.979
FL 10.9780.947−0.9420.9270.9560.932
FD 10.984−0.9720.9760.9890.971
TSS 1−0.9650.9820.9820.989
Acidity 1−0.966−0.967−0.960
VitC 10.9780.985
Tsugar 10.977
Rsugar 1
Clementine tangerine
EC1−0.971−0.971−0.987−0.953−0.9870.954−0.986−0.964−0.972
Yield/tree 10.9850.9830.9730.988−0.9780.9840.9780.974
FW 10.9840.9800.992−0.9790.9880.9870.982
FL 10.9700.992−0.9760.9890.9750.978
FD 10.981−0.9880.9680.9840.957
TSS 1−0.9830.9940.9890.985
Acidity 1−0.969−0.982−0.963
VitC 10.9810.991
Tsugar 10.978
Rsugar 1
Eureka lemon
EC1−0.982−0.966−0.866−0.980−0.9890.956−0.976−0.981−0.971
Yield/tree 10.9860.8910.9860.989−0.9650.9870.9830.978
FW 10.9180.9760.982−0.9750.9780.9740.968
FL 10.9010.877−0.9700.9080.9220.926
FD 10.983−0.9730.9840.9940.986
TSS 1−0.9590.9780.9820.974
Acidity 1−0.975−0.981−0.981
VitC 10.9840.980
Tsugar 10.991
Rsugar 1
Bearss Seedless lime
EC1−0.972−0.985−0.933−0.958−0.9750.960−0.982−0.979−0.957
Yield/tree 10.9680.9670.9780.967−0.9840.9710.9840.977
FW 10.9330.9630.975−0.9570.9740.9810.953
FL 10.9650.940−0.9720.9370.9550.988
FD 10.953−0.9790.9650.9710.971
TSS 1−0.9670.9640.9690.956
Acidity 1−0.977−0.979−0.975
VitC 10.9810.959
Tsugar 10.972
Rsugar 1
EC, electrical conductivity; TSS, total soluble solids; VitC, vitamin C; Tsugar, total sugars; Rsugar, reducing sugars.
Table 5. Values of weights (W) and biases (B) between the layers for the developed ANN model.
Table 5. Values of weights (W) and biases (B) between the layers for the developed ANN model.
InputsInputs Neurons (i)Hidden Neurons (j)
(W1)ji
12345678
Yield/tree1−2.841.90−3.90−1.09−3.423.610.354.27
FW21.04−5.011.314.20−1.93−2.531.433.36
FL33.22−3.53−8.773.570.450.72−5.33−3.10
FD4−6.13−0.7616.530.10−7.76−5.502.33−15.45
(B1)j −0.046.90−3.00−1.484.752.670.793.54
OutputsOutputs Neurons (k)(W2)kj(B2)k
12345678
TSS10.23−1.662.69−3.50−3.242.491.130.691.46
Acidity22.49−0.94−5.081.760.87−1.613.04−0.780.61
VitC31.75−7.012.850.72−2.405.980.830.110.45
TSugar4−2.69−1.424.920.40−2.082.47−4.606.75−0.93
RSugar5−3.22−0.073.301.08−0.981.00−3.226.42−2.20
( W 1 ) j i , weights from the input layer to the hidden layer; ( B 1 ) j , biases in the hidden layer; ( W 2 ) k j , weights from the hidden layer to the output layer; ( B 2 ) k , biases in the output layer; FW, fruit weight; FL, fruit length; FD, fruit diameter; TSS, total soluble solids; VitC, vitamin C; Tsugar, total sugars; Rsugar, reducing sugars.
Table 6. Statistical performance of the developed ANN model for total soluble solids (TSS), acidity, vitamin C (VitC), total sugars (Tsugar), and reducing sugars (Rsugar) for the training and testing processes.
Table 6. Statistical performance of the developed ANN model for total soluble solids (TSS), acidity, vitamin C (VitC), total sugars (Tsugar), and reducing sugars (Rsugar) for the training and testing processes.
Statistical ParametersTSSAcidityVitCTsugarRsugar
Training process
RMSE0.1430.1190.4530.0720.064
MAE0.1090.0900.3840.0580.050
MARE1.0575.0070.8910.7931.241
Testing process
RMSE0.1370.1060.6340.0800.068
MAE0.0980.0850.5060.0610.052
MARE0.9734.8191.1530.8341.231
RMSE, root mean square error; MAE, mean absolute error; MARE, mean absolute relative error.
Table 7. Equations derived from the MLR models for total soluble solids (TSS), acidity, vitamin C (VitC), total sugars (Tsugar), and reducing sugars (Rsugar).
Table 7. Equations derived from the MLR models for total soluble solids (TSS), acidity, vitamin C (VitC), total sugars (Tsugar), and reducing sugars (Rsugar).
Model EquationR2
TSSTSS = 5.05 + 6.58 × 10−3YT − 6.51 × 10−3FW − 1.46FL + 2.44FD0.741
AcidityAcidity = 13.82 + 8.24 × 10−3YT + 15.34 × 10−3FW + 0.71FL − 2.90FD0.911
VitCVitC = 23.83 + 36.81 × 10−3YT + 48.27 × 10−3FW + 0.55FL + 0.93FD0.534
TsugarTsugar = 14.12 + 25.47 × 10−3YT + 42.26 × 10−3FW − 1.13FL − 1.22FD0.542
RsugarRsugar = 13.45 + 26.49 × 10−3YT + 44.33 × 10−3FW − 1.26FL − 1.52FD0.722
R2, coefficient of determination; YT: yield/tree; FW, fruit weight; FL, fruit length; FD, fruit diameter
Table 8. Standard error of regression coefficients, t statistic, and probability factor of independent variables for regression models.
Table 8. Standard error of regression coefficients, t statistic, and probability factor of independent variables for regression models.
InterceptIndependent Variables
Yield/TreeFWFLFD
TSS
SE1.297.44 × 10−36.37 × 10−322.89 × 10−222.14 × 10−2
t-stat3.920.89–1.02–6.3611.00
p-value1.68 × 10−437.84 × 10−230.88 × 10−26.8 × 10−91.06 × 10−18
Acidity
SE1.458.37 × 10−37.17 × 10−325.76 × 10−224.91 × 10−2
t-stat9.520.982.142.77–11.63
p-value1.58 × 10−1532.75 × 10−234.82 × 10−36.77 × 10−34.93 × 10−20
VitC
SE5.383.10 × 10−22.66 × 10−295.52 × 10−292.38 × 10−2
t-stat4.431.191.820.581.01
p-value2.53 × 10−523.86 × 10−27.23 × 10−256.51 × 10−231.64 × 10−2
Tsugar
SE85.05 × 10−24.91 × 10−34.20 × 10−315.09 × 10−214.60 × 10−2
t-stat16.605.1910.07–7.50–8.33
p-value5.72 × 10−301.16 × 10−61.08 × 10−163.17 × 10−115.58 × 10−13
Rsugar
SE68.65 × 10−23.96 × 10−33.39 × 10−312.19 × 10−211.78 × 10−2
t-stat19.596.6913.08–10.34–12.94
p-value2.65 × 10−351.49 × 10−94.73 × 10−232.80 × 10−179.17 × 10−23
SE, standard error of regression coefficients; t-stat, t statistic; p-value, probability; FW, fruit weight; FL, fruit length; FD, fruit diameter.
Table 9. Statistical performance of the developed MLR models for total soluble solids (TSS), acidity, vitamin C (VitC), total sugars (Tsugar), and reducing sugars (Rsugar) for the training and testing processes.
Table 9. Statistical performance of the developed MLR models for total soluble solids (TSS), acidity, vitamin C (VitC), total sugars (Tsugar), and reducing sugars (Rsugar) for the training and testing processes.
Statistical ParametersTSSAcidityVitCTsugarRsugar
Training process
RMSE1.1431.2004.7680.7400.568
MAE1.0231.1264.2110.6190.446
MARE9.26375.3979.9258.88011.523
Testing process
RMSE1.1401.1874.8300.7240.550
MAE1.0131.1154.2060.6190.440
MARE9.16773.3939.8458.73410.905
RMSE, root mean square error; MAE, mean absolute error; MARE, mean absolute relative error.
Table 10. Total soluble solids (TSS), acidity, vitamin C (VitC), total sugars (Tsugar), and reducing sugars (Rsugar) of the fresh fruits for three citrus groups with the developed ANN and MLR models for the validation process.
Table 10. Total soluble solids (TSS), acidity, vitamin C (VitC), total sugars (Tsugar), and reducing sugars (Rsugar) of the fresh fruits for three citrus groups with the developed ANN and MLR models for the validation process.
Statistical ParametersOrange GroupMandarin GroupAcid Group
ANNMLRANNMLRANNMLR
TSS
RMSE0.1310.7620.0881.6100.1770.882
MAE0.0930.6810.0721.5690.1290.814
MARE0.8115.7280.53411.6451.58610.373
Acidity
RMSE0.0840.9770.1181.6640.1211.104
MAE0.0660.9520.0981.6630.0981.016
MARE5.6778.5259.34516.1311.63816.734
VitC
RMSE0.7993.4280.4786.9060.5673.368
MAE0.6492.7450.3826.7430.4773.234
MARE1.2525.0600.94516.2351.2538.580
Tsugar
RMSE0.0720.6950.1080.8210.0460.647
MAE0.0640.6590.0780.6420.0420.554
MARE0.7757.9551.1249.4280.6088.876
Rsugar
RMSE0.0750.4920.0740.6270.0530.528
MAE0.0620.4510.0480.4130.0470.455
MARE1.3289.6831.24411.1121.11512.007
RMSE, root mean square error; MAE, mean absolute error; MARE, mean absolute relative error.
Publisher’s Note: MDPI stays neutral with regard to jurisdictional claims in published maps and institutional affiliations.

Share and Cite

MDPI and ACS Style

Al-Saif, A.M.; Abdel-Sattar, M.; Eshra, D.H.; Sas-Paszt, L.; Mattar, M.A. Predicting the Chemical Attributes of Fresh Citrus Fruits Using Artificial Neural Network and Linear Regression Models. Horticulturae 2022, 8, 1016. https://doi.org/10.3390/horticulturae8111016

AMA Style

Al-Saif AM, Abdel-Sattar M, Eshra DH, Sas-Paszt L, Mattar MA. Predicting the Chemical Attributes of Fresh Citrus Fruits Using Artificial Neural Network and Linear Regression Models. Horticulturae. 2022; 8(11):1016. https://doi.org/10.3390/horticulturae8111016

Chicago/Turabian Style

Al-Saif, Adel M., Mahmoud Abdel-Sattar, Dalia H. Eshra, Lidia Sas-Paszt, and Mohamed A. Mattar. 2022. "Predicting the Chemical Attributes of Fresh Citrus Fruits Using Artificial Neural Network and Linear Regression Models" Horticulturae 8, no. 11: 1016. https://doi.org/10.3390/horticulturae8111016

APA Style

Al-Saif, A. M., Abdel-Sattar, M., Eshra, D. H., Sas-Paszt, L., & Mattar, M. A. (2022). Predicting the Chemical Attributes of Fresh Citrus Fruits Using Artificial Neural Network and Linear Regression Models. Horticulturae, 8(11), 1016. https://doi.org/10.3390/horticulturae8111016

Note that from the first issue of 2016, this journal uses article numbers instead of page numbers. See further details here.

Article Metrics

Back to TopTop