Growth Characteristics of Lettuce Relative to Generation Position of Air Anions in a Closed-Type Plant Factory
Abstract
:1. Introduction
2. Materials and Methods
2.1. Samples and Cultivation Environment
2.2. Air Anion Treatment
2.3. Growth Characteristics
2.4. Antioxidant Capacity and Total Phenol Content
2.5. Statistical Analysis
3. Results
3.1. Concentration Relative to Air Anion Treatment
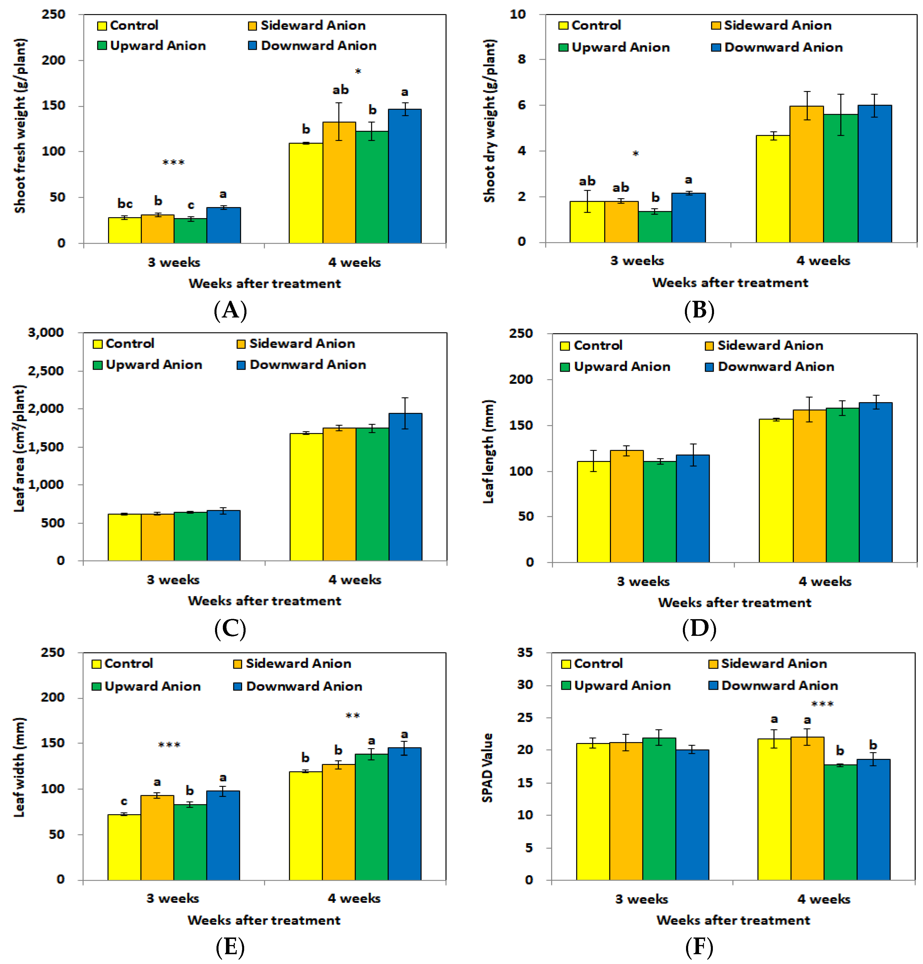
3.2. Growth Characteristics
3.3. Antioxidant Capacity and Total Phenolic Content
4. Discussion
Author Contributions
Funding
Data Availability Statement
Conflicts of Interest
References
- Cho, B.H.; Kang, T.H.; Han, C.S.; Lee, J.H.; Lee, D.I.; Noh, H.K. Estimation of lettuce growth characteristics under different LED intensities in a closed-type plant factory. Hortic. Sci. Technol. 2018, 36, 350–361. [Google Scholar] [CrossRef]
- Lee, R.J.; Bhandari, S.R.; Lee, G.; Lee, J.G. Optimization of temperature and light, and cultivar selection for the production of high-quality head lettuce in a closed-type plant factory. Hortic. Environ. Biotechnol. 2019, 60, 207–216. [Google Scholar] [CrossRef]
- Kelly, N.; Choe, D.; Meng, Q.; Runkle, E.S. Promotion of lettuce growth under an increasing daily light integral depends on the combination of the photosynthetic photon flux density and photoperiod. Sci. Hortic. 2020, 272, 109565. [Google Scholar] [CrossRef]
- Kozai, T.; Niu, G. Plant factory as a resource-efficient closed plant production system. In Plant Factory; Toyoki, K., Genhua, N., Michiko, T., Eds.; Academic Press: Cambridge, MA, USA, 2016; pp. 69–90. [Google Scholar] [CrossRef]
- Won, J.H.; Lee, J.H.; Cho, B.H.; Han, C.S.; Kang, T.H. Growth characteristics, antixoident capacity and total phenolic content of lettuce according to generation position of air anion in a closed-type plant factory. Hortic. Sci. Technol. 2018, 36, 820–830. [Google Scholar] [CrossRef]
- Wachter, S.L.; Widmer, R.E. The effects of negative air ions on plant growth [Ornamentals, vegetables]. HortScience 1976, 11, 576–578. [Google Scholar]
- Pohl, H.A. Electroculture. J. Biol. Phys. 1977, 5, 3–23. [Google Scholar] [CrossRef]
- Song, M.J.; Kang, T.H.; Han, C.S.; Oh, M.M. Air anions enhance lettuce growth in plant factories. Hortic. Environ. Biotechnol. 2014, 55, 293–298. [Google Scholar] [CrossRef]
- Lee, S.R.; Kang, T.H.; Han, C.S.; Oh, M.M. Air anions improve growth and mineral concentration of kale in a plant factory. Korean J. Hortic. Sci. Technol. 2015, 32, 41. [Google Scholar] [CrossRef] [Green Version]
- Brown, C.S.; Schuerger, A.C.; Sager, J.C. Growth and photomorphogenesis of pepper plants under red light-emitting dioes with supplemental blue or far-red lighting. J. Am. Soc. Hortic. Sci. 1995, 120, 808–813. [Google Scholar] [CrossRef] [PubMed] [Green Version]
- Choi, C.S.; Lee, J.G.; Jang, Y.A.; Lee, S.G.; Oh, S.S.; Lee, H.J.; Um, Y.C. Effect of artificial light sources on growth and quality characteristics of leaf lettuce in closed plant factory system. J. Agric. Life Sci. 2013, 47, 23–32. [Google Scholar] [CrossRef] [Green Version]
- Cha, M.K.; Cho, J.H.; Cho, Y.Y. Growth of leaf lettuce as affected by light quality of LED in closed-type plant factory system. Protected horticulture and Plant Factory. Korean Soc. Bio-Environ. Control 2013, 22, 291–297. [Google Scholar] [CrossRef]
- Lee, M.J.; Son, J.E.; Oh, M.M. Increase in biomass and bioactive compounds in lettuce under various ratios of red to far-red LED light supplemented with blue LED light. Hortic. Environ. Biotechnol. 2016, 57, 139–147. [Google Scholar] [CrossRef]
- Lee, M.J.; Son, J.E.; Oh, M.M. Growth and phenolic content of sowthistle grown in a closed-type plant production system with a UV-A or UV-B lamp. Hortic. Environ. Biotechnol. 2013, 54, 492–500. [Google Scholar] [CrossRef]
- Elkiey, T.M.; Bhartendu, S.; Barthakur, N. Air ion effect on respiration and photosynthesis of barley and Antirrhinum majus. Int. J. Biometeorol. 1985, 29, 285–292. [Google Scholar] [CrossRef]
- Taiz, L.; Zeiger, E. Plant Physiology, 4th ed.; Sinauer Associates: Sunderland, MA, USA, 2006. [Google Scholar]
- An, J.I.; Lee, S.R.; Oh, M.M. Air anions promote the growth and mineral accumulation of spinach (Spinacia oleracea) cultivated in greenhouses. Hortic. Sci. Technol. 2021, 30, 332–342. [Google Scholar] [CrossRef]
- Scaife, M.A. The early relative growth rates of six lettuce cultivars as affected by temperature. Ann. Appl. Biol. 1973, 74, 119–128. [Google Scholar] [CrossRef]
- Shimizu, H.; Kushida, M.; Fujinuma, W. A growth model for leaf lettuce under greenhouse environments. Environ. Control Biol. 2008, 46, 211–219. [Google Scholar] [CrossRef] [Green Version]
- Son, K.H.; Oh, M.M. Leaf shape, growth, and antioxidant phenolic compounds of two lettuce cultivars grown under various combinations of blue and red Light-emitting diodes. HortScience 2013, 48, 988–995. [Google Scholar] [CrossRef]
- Son, K.H.; Park, J.H.; Kim, D.I.; Oh, M.M. Leaf shape index, growth, and phytochemicals in two leaf lettuce cultivars grown under monochromatic light-emitting diodes. Korean J. Hortic. Sci. Technol. 2012, 30, 664–672. [Google Scholar] [CrossRef]




Publisher’s Note: MDPI stays neutral with regard to jurisdictional claims in published maps and institutional affiliations. |
© 2022 by the authors. Licensee MDPI, Basel, Switzerland. This article is an open access article distributed under the terms and conditions of the Creative Commons Attribution (CC BY) license (https://creativecommons.org/licenses/by/4.0/).
Share and Cite
Won, J.-H.; Cho, B.-H.; Kim, Y.-H.; Lee, J.-H. Growth Characteristics of Lettuce Relative to Generation Position of Air Anions in a Closed-Type Plant Factory. Horticulturae 2022, 8, 346. https://doi.org/10.3390/horticulturae8040346
Won J-H, Cho B-H, Kim Y-H, Lee J-H. Growth Characteristics of Lettuce Relative to Generation Position of Air Anions in a Closed-Type Plant Factory. Horticulturae. 2022; 8(4):346. https://doi.org/10.3390/horticulturae8040346
Chicago/Turabian StyleWon, Jin-Ho, Byeong-Hyo Cho, Yong-Hyeon Kim, and Jung-Hyun Lee. 2022. "Growth Characteristics of Lettuce Relative to Generation Position of Air Anions in a Closed-Type Plant Factory" Horticulturae 8, no. 4: 346. https://doi.org/10.3390/horticulturae8040346
APA StyleWon, J.-H., Cho, B.-H., Kim, Y.-H., & Lee, J.-H. (2022). Growth Characteristics of Lettuce Relative to Generation Position of Air Anions in a Closed-Type Plant Factory. Horticulturae, 8(4), 346. https://doi.org/10.3390/horticulturae8040346

