Potential Use of Superabsorbent Polymer on Drought-Stressed Processing Tomato (Solanum lycopersicum L.) in a Mediterranean Climate
Abstract
:1. Introduction
2. Materials and Methods
2.1. Location and Experimental Design
2.2. Materials and Growing Conditions
2.3. Crop Evapotranspiration (ETc) and Irrigation Management
2.4. Plant Measurements
2.5. Statistical Analysis
3. Results
3.1. Climate during the Experiment
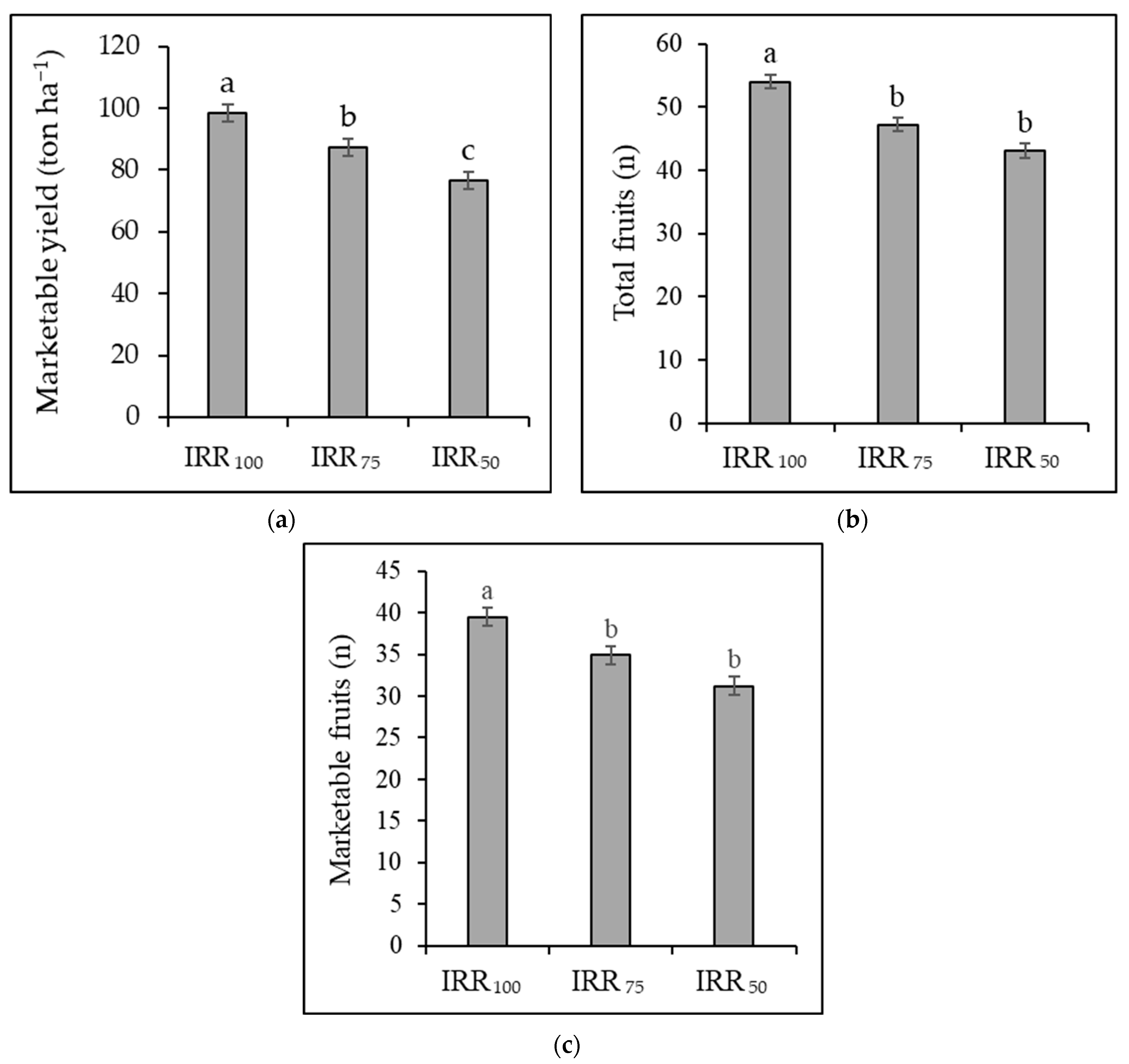
3.2. Morphological and Productive Parameters
3.3. Qualitative Parameters
4. Discussion
5. Conclusions
Supplementary Materials
Author Contributions
Funding
Data Availability Statement
Acknowledgments
Conflicts of Interest
References
- Iglesias, A.; Garrote, L. Adaptation strategies for agricultural water management under climate change in Europe. Agric. Water Manag. 2015, 155, 113–124. [Google Scholar] [CrossRef] [Green Version]
- Fader, M.; Shi, S.; von Bloh, W.; Bondeau, A.; Cramer, W. Mediterranean irrigation under climate change: More efficient irrigation needed to compensate for increases in irrigation water requirements. Hydrol. Earth Syst. Sci. 2016, 20, 953–973. [Google Scholar] [CrossRef] [Green Version]
- Flörke, M.; Schneider, C.; McDonald, R.I. Water competition between cities and agriculture driven by climate change and urban growth. Nat. Sustain. 2018, 1, 51–58. [Google Scholar] [CrossRef]
- Chartzoulakis, K.; Bertaki, M. Sustainable water management in agriculture under climate change. Agric. Agric. Sci. Proc. 2015, 4, 88–98. [Google Scholar] [CrossRef] [Green Version]
- Serraj, R.; Krishnan, L.; Pingali, P. Agriculture and Food Systems to 2050: A Synthesis; World Scientific: Singapore, 2019; pp. 3–45. [Google Scholar]
- Steduto, P.; Faurès, J.M.; Hoogeveen, J.; Winpenny, J.; Burke, J. Coping with water scarcity: An action framework for agriculture and food security. FAO Water Rep. 2016, 16, 78. [Google Scholar]
- Fereres, E.; Soriano, M.A. Deficit irrigation for reducing agricultural water use. J. Exp. Bot. 2007, 58, 147–159. [Google Scholar] [CrossRef] [Green Version]
- Coyago-Cruz, E.; Meléndez-Martínez, A.J.; Moriana, A.; Girón, I.F.; Martín-Palomo, M.J.; Galindo, A.; Corell, M. Yield response to regulated deficit irrigation of greenhouse cherry tomatoes. Agric. Water Manag. 2019, 213, 212–221. [Google Scholar] [CrossRef]
- Liu, X.; Chan, Z. Application of potassium polyacrylate increases soil water status and improves growth of bermudagrass (Cynodon dactylon) under drought stress condition. Sci. Hortic. 2015, 197, 705–711. [Google Scholar] [CrossRef]
- Mazen, A.M.; Radwan, D.E.M.; Ahmed, A.F. Growth responses of maize plants cultivated in sandy soil amended by different superabsorbant hydrogels. J. Plant Nutr. 2015, 38, 325–337. [Google Scholar] [CrossRef]
- Satriani, A.; Catalano, M.; Scalcione, E. The role of superabsorbent hydrogel in bean crop cultivation under deficit irrigation conditions: A case-study in Southern Italy. Agric. Water Manag. 2018, 195, 114–119. [Google Scholar] [CrossRef]
- Gomez, J.S. Characterization and Effects of Cross-Linked Potassium Polyacrylate as Soil Amendment. Ph.D. Thesis, Universitad de Sevilla, Sevilla, Spain, 2015. [Google Scholar]
- Saha, A.; Sekharan, S.; Manna, U. Superabsorbent hydrogel (SAH) as a soil amendment for drought management: A review. Soil Tillage Res. 2020, 204, 104736. [Google Scholar] [CrossRef]
- Mikkelsen, R.L. Using hydrophilic polymers to control nutrient release. Fertil. Res. 1994, 38, 53–59. [Google Scholar] [CrossRef]
- Ekebafe, L.O.; Ogbeifun, D.E.; Okieimen, F.E. Polymer applications in agriculture. Biokemistri 2011, 23, 81–89. [Google Scholar]
- Young, T.; Cameron, D.D.; Sorrill, J.; Edwards, T.; Phoenix, G.K. Importance of different components of green roof substrate on plant growth and physiological performance. Urban For. Urban Green. 2014, 13, 507–516. [Google Scholar] [CrossRef] [Green Version]
- Abrisham, E.S.; Jafari, M.; Tavili, A.; Rabii, A.; Zare Chahoki, M.A.; Zare, S.; Tahmoures, M. Effects of a super absorbent polymer on soil properties and plant growth for use in land reclamation. Arid. Land Res. Manag. 2018, 32, 407–420. [Google Scholar] [CrossRef] [Green Version]
- Li, X.; He, J.Z.; Hughes, J.M.; Liu, Y.R.; Zheng, Y.M. Effects of super-absorbent polymers on a soil–wheat (Triticum aestivum L.) system in the field. Appl. Soil Ecol. 2014, 73, 58–63. [Google Scholar] [CrossRef]
- Pouresmaeil, P.; Habibi, D.; Boojar, M.M.A.; Tarighaleslami, M.; Khoshouei, S. Effects of superabsorbent application on agronomic characters of red bean (Phaseolus vulgaris L.) cultivars under drought stress conditions. Int. J. Agric. Crop Sci. 2012, 4, 1874–1877. [Google Scholar]
- Langaroodi, N.B.S.; Ashouri, M.; Dorodian, H.R.; Azarpour, E. Study effects of super absorbent application, saline water and irrigation management on yield and yield components of peanut (Arachis hypogaea L.). Ann. Biol. Res. 2013, 4, 160–169. [Google Scholar]
- Giuliani, M.M.; Gatta, G.; Nardella, E.; Tarantino, E. Water saving strategies assessment on processing tomato cultivated in Mediterranean region. Ital. J. Agron. 2016, 11, 69–76. [Google Scholar] [CrossRef] [Green Version]
- Nuruddin, M.M.; Madramootoo, C.A.; Dodds, G.T. Effects of water stress at different growth stages on greenhouse tomato yield and quality. HortScience 2003, 38, 1389–1393. [Google Scholar] [CrossRef] [Green Version]
- Patanè, C.; Tringali, S.; Sortino, O. Effects of deficit irrigation on biomass, yield, water productivity and fruit quality of processing tomato under semi-arid Mediterranean climate conditions. Sci. Hortic. 2011, 129, 590–596. [Google Scholar] [CrossRef]
- Allen, R.G.; Pereira, L.S.; Raes, D.; Smith, M. Crop Evapotranspiration: Guidelines for Computing Crop Water Requirements; Irrigation and Drainage Paper 56; Food and Agriculture Organization of the United Nations: Rome, Italy, 1998; Volume 300, p. D0 5109.
- Feller, C.; Bleiholder, H.; Buhr, L.; Hack, H.; Hess, M.; Klose, R.; Weber, E. Phenological growth stages of vegetable crops. II. Fruit vegetables and pulses. Coding and description according to the extended BBCH scale with illustrations. Nachr. Dtsch. Pflanzenschutzd. 1995, 47, 217–232. [Google Scholar]
- Michelon, N.; Pennisi, G.; Ohn Myint, N.; Orsini, F.; Gianquinto, G. Strategies for improved Water Use Efficiency (WUE) of field-grown lettuce (Lactuca sativa L.) under a semi-arid climate. Agronomy 2020, 10, 668. [Google Scholar] [CrossRef]
- D'Souza, M.C.; Singha, S.; Ingle, M. Lycopene concentration of tomato fruit can be estimated from chromaticity values. HortScience 1992, 27, 465–466. [Google Scholar] [CrossRef] [Green Version]
- Kaloo, G. Vegetable Breeding; CRC Press Inc.: Boca Raton, FL, USA, 1993; Volume III. [Google Scholar]
- Rao, N.K.S.; Bhatt, R.M.; Sadasivan, A.T. Tolerance to water stress in tomato cultivars. Photosynthetica 2000, 38, 465–467. [Google Scholar] [CrossRef]
- Tuberosa, R.; Salvi, S. Genomics-based approaches to improve drought tolerance of crops. Trends Plant Sci. 2006, 11, 405–412. [Google Scholar] [CrossRef]
- Patanè, C.; Cosentino, S.L. Effects of soil water deficit on yield and quality of processing tomato under a Mediterranean climate. Agric. Water Manag. 2010, 97, 131–138. [Google Scholar] [CrossRef]
- Giardini, L.; Giovanardi, R.; Borin, M. Water consumption and yield responses of tomato in relation to water availability at difference soil depth. Acta Hortic. 1988, 228, 119–126. [Google Scholar] [CrossRef]
- Zegbe-Domınguez, J.A.; Behboudian, M.H.; Lang, A.; Clothier, B.E. Deficit irrigation and partial rootzone drying maintain fruit dry mass and enhance fruit quality in ‘Petopride’processing tomato (Lycopersicon esculentum, Mill.). Sci. Hortic. 2003, 98, 505–510. [Google Scholar] [CrossRef]
- Salter, P.J. The effects of different water regimes on the growth of plants under class. 1. Experiments with tomatoes (Lycopersicon esculentum Mill.). J. Hortic. Sci. 1954, 29, 258–268. [Google Scholar] [CrossRef]
- Jangid, K.K.; Dwivedi, P. Physiological responses of drought stress in tomato: A review. Int. J. Agric. Environ. Biotechnol. 2016, 9, 53. [Google Scholar] [CrossRef]
- Doorenbos, J.; Kassam, A.H. Yield Response to Water; Food and Agriculture Organization of the United Nations: Rome, Italy, 1979. [Google Scholar]
- Descamps, C.; Boubnan, N.; Jacquemart, A.L.; Quinet, M. Growing and Flowering in a Changing Climate: Effects of Higher Temperatures and Drought Stress on the Bee-Pollinated Species Impatiens glandulifera Royle. Plants 2021, 10, 988. [Google Scholar] [CrossRef] [PubMed]
- Başak, H. The effects of super absorbent polymer application on the physiological and biochemical properties of tomato (Solanum lycopersicum L.) plants grown by soilless agriculture technique. Appl. Ecol. Environ. Res. 2020, 18, 5907–5921. [Google Scholar] [CrossRef]
- Sultana, S.; Shariff, M.A.; Hossain, M.A.; Khatun, A.; Huque, R. Effect of super water absorbent (SWA) hydrogel on productivity and quality of Tomato. Arch. Appl. Sci. Res. 2016, 8, 5–9. [Google Scholar]
- Behera, S.; Mahanwar, P.A. Superabsorbent polymers in agriculture and other applications: A review. Polym.-Plast. Technol. Mater. 2020, 59, 341–356. [Google Scholar] [CrossRef]
- Fallahi, H.R.; Kalantari, R.T.; Aghhavani-Shajari, M.; Soltanzadeh, M.G. Effect of super absorbent polymer and irrigation deficit on water use efficiency, growth and yield of cotton. Not. Sci. Biol. 2015, 7, 338–344. [Google Scholar] [CrossRef] [Green Version]
- Aljibury, F.; May, D. Irrigation schedules and production of processed tomatoes on the San Joaquin Westside. Calif. Agric. 1970, 24, 10–11. [Google Scholar]
- Rabinowitch, H.D.; Kedar, N.; Budowski, P. Induction of sunscald damage in tomatoes under natural and controlled conditions. Sci. Hortic. 1974, 2, 265–272. [Google Scholar] [CrossRef]
- Wien, H.C. The Physiology of Vegetable Crops, 1st ed.; CAB International: New York, NY, USA, 1997; ISBN 978-0851991467. [Google Scholar]
- Gierson, D.; Kader, A.A. Fruit ripening and quality. In The Tomato Crop; Rudich, J., Ed.; Springer: London, UK, 1986; pp. 241–280. [Google Scholar] [CrossRef]
- Montesano, F.F.; Parente, A.; Santamaria, P.; Sannino, A.; Serio, F. Biodegradable superabsorbent hydrogel increaseswater retention properties of growing media and plant growth. Agric. Agric. Sci. Procedia 2015, 4, 451–458. [Google Scholar] [CrossRef] [Green Version]







| Treatments | Marketable Yield | Total Fruits | Marketable Fruits | Fruit Weight | Dry Matter | Fresh Biomass | HI | IWUE |
|---|---|---|---|---|---|---|---|---|
| Irrigation (IRR) | *** | *** | *** | ns | ns | ** | ns | *** |
| F-value | 16.27 | 25.17 | 17.05 | 1.22 | 1.77 | 13.50 | 0.782 | 58.66 |
| p-value | <0.001 | <0.001 | <0.001 | 0.334 | 0.219 | 1.14 × 10−3 | 0.483 | <0.001 |
| Sum of square | 1406 | 367 | 209 | 5.85 | 0.463 | 158,335 | 0.001 | 768 |
| SAP application (SAP) | ** | *** | *** | ns | ns | ns | ns | ** |
| F-value | 18.50 | 24.49 | 22.65 | 0.014 | 1.22 | 0.725 | 3.12 | 20.79 |
| p-value | 1.15 × 10−3 | <0.001 | <0.001 | 0.909 | 0.295 | 0.414 | 0.107 | 1.04 × 10−3 |
| Sum of square | 799 | 178 | 139 | 0.033 | 0.159 | 4252 | 0.003 | 136 |
| IRR × SAP | ns | ns | ns | ns | ns | ns | ns | ns |
| F-value | 0.118 | 0.458 | 0.389 | 3.97 | 0.288 | 1.46 | 0.595 | 0.912 |
| p-value | 0.890 | 0.645 | 0.687 | 0.054 | 0.755 | 0.278 | 0.570 | 0.432 |
| Sum of square | 10.27 | 6.68 | 4.78 | 18.96 | 0.075 | 17,120 | 0.001 | 11.96 |
| Treatments | Brix | pH | Titratable Acidity | Firmness | Color | Sunburn |
|---|---|---|---|---|---|---|
| Irrigation (IRR) | ns | ns | ns | ns | ns | *** |
| F-value | 0.084 | 0.250 | 0.500 | 0.384 | 3.152 | 33.73 |
| p-value | 0.920 | 0.783 | 0.620 | 0.690 | 0.086 | <0.001 |
| Sum of square | 0.013 | 0.001 | 0.034 | 0.011 | 0.064 | 201 |
| SAP application | ns | ns | ns | ns | ns | ns |
| F-value | 0.472 | 0.248 | 0.189 | 0.119 | 1.556 | 0.001 |
| p-value | 0.507 | 0.629 | 0.673 | 0.736 | 0.240 | 0.972 |
| Sum of square | 0.038 | 7 × 10−4 | 0.006 | 0.001 | 0.015 | 0.04 |
| IRR × SAP | ns | ns | ns | ns | ns | ns |
| F-value | 0.168 | 2.03 | 1.53 | 0.991 | 1.84 | 1.02 |
| p-value | 0.847 | 0.181 | 0.263 | 0.404 | 0.207 | 0.395 |
| Sum of square | 0.027 | 0.012 | 0.104 | 0.028 | 0.037 | 6.104 |
Publisher’s Note: MDPI stays neutral with regard to jurisdictional claims in published maps and institutional affiliations. |
© 2022 by the authors. Licensee MDPI, Basel, Switzerland. This article is an open access article distributed under the terms and conditions of the Creative Commons Attribution (CC BY) license (https://creativecommons.org/licenses/by/4.0/).
Share and Cite
Cerasola, V.A.; Perlotti, L.; Pennisi, G.; Orsini, F.; Gianquinto, G. Potential Use of Superabsorbent Polymer on Drought-Stressed Processing Tomato (Solanum lycopersicum L.) in a Mediterranean Climate. Horticulturae 2022, 8, 718. https://doi.org/10.3390/horticulturae8080718
Cerasola VA, Perlotti L, Pennisi G, Orsini F, Gianquinto G. Potential Use of Superabsorbent Polymer on Drought-Stressed Processing Tomato (Solanum lycopersicum L.) in a Mediterranean Climate. Horticulturae. 2022; 8(8):718. https://doi.org/10.3390/horticulturae8080718
Chicago/Turabian StyleCerasola, Vito Aurelio, Lorenzo Perlotti, Giuseppina Pennisi, Francesco Orsini, and Giorgio Gianquinto. 2022. "Potential Use of Superabsorbent Polymer on Drought-Stressed Processing Tomato (Solanum lycopersicum L.) in a Mediterranean Climate" Horticulturae 8, no. 8: 718. https://doi.org/10.3390/horticulturae8080718
APA StyleCerasola, V. A., Perlotti, L., Pennisi, G., Orsini, F., & Gianquinto, G. (2022). Potential Use of Superabsorbent Polymer on Drought-Stressed Processing Tomato (Solanum lycopersicum L.) in a Mediterranean Climate. Horticulturae, 8(8), 718. https://doi.org/10.3390/horticulturae8080718

