Abstract
This study was conducted to examine the effect of plant growth regulators on the rooting and growth of Rhododendron micranthum Turcz., a rare plant in South Korea. Indole-3-butyric acid (IBA) 150, 250, 350 mg·L−1 and α-naphthaleneacetic acid (NAA) 50, 150, 250 mg·L−1 treatment groups were established and cutting was performed in a commercial growth medium in March 2021 with 3 replications of 10 plants per group. After 70 days, the longest initial root growth was observed under the NAA 150 and 250 mg·L−1 treatments. Moreover, the number of roots and percentage of rooting were slightly higher in NAA 150 and 250 mg·L−1, indicating that these treatments were more effective in promoting plant growth. The above-ground part of plants treated with NAA 150 and 250 mg·L−1 had a taller plant height, longer and wider leaves, and a greater number of leaves compared to other groups. Accordingly, the survival rate of plants treated with NAA 150 and 250 mg·L−1 was higher than 80%, suggesting well-established roots and excellent above-ground growth. Therefore, treatment with growth regulator NAA at 150 and 250 mg·L−1 is considered beneficial for the cutting of R. micranthum Turcz.
1. Introduction
Rhododendron micranthum Turcz., belonging to the family Ericaceae and genus Rhododendron, is a rare plant species endemic to certain areas of North Gyeongsang, North Chuncheong, and Gangwon Provinces, South Korea. It has been designated as a vulnerable plant by the Korea Forest Service. Unlike the pink inflorescence of R. mucronulatum Turcz., the white flowers of R. micranthum Turcz. Have a high observational value [1]. The plant is used in traditional Korean medicine owing to the presence of functional substances such as saponin, tannin, and flavonoids and medicinal effects on high blood pressure, vascular disorder, and phlegm discharge [2,3]. However, R. micranthum Turcz. is a rare species, and there is a lack of preliminary knowledge on its cultivation and propagation.
Plants belonging to the genus Rhododendron can reproduce both sexually and asexually. However, it is difficult to manage their sampling, germination, and growth, and they are propagated by cutting, division, or grafting, among which, propagation by cutting is the most common method [4]. Despite a low number of parents, individuals identical to the parent can be obtained by cutting propagation, which is a typical reproduction method for floricultural crops [5]. The rooting and growth properties of cuttings may depend on the type of plant and the period of cutting propagation, and a growth regulator is applied to adjust the rooting and growth through plant hormones [6,7]. Particularly, different concentrations of auxins such as indole-3-butyric acid (IBA) and α-naphthaleneacetic acid (NAA) are applicable to plants, and they are highly effective for rooting [8,9]. Growth regulators are effective for rooting in woody plants during cutting propagation [10], and many studies are being conducted on growth regulator treatment for propagating woody plants for South Korean endemic plants [11,12,13]. Further, cutting propagation for Rhododendron shows that IBA and NAA treatments are effective for the reproduction of eight species, including the purple pillow (R. impeditum) [14], and a 200 mg·L−1 treatment of IBA via cutting propagation of a Chinese endemic species R. calophytum has been reported to be highly effective for the rooting rate and number of formed roots [15]. In domestic research of South Korea, the base of a R. schlippenbachii cutting had successfully rooted at a rate of 70% or above after dipping in 500 mg·L−1 IBA before propagation [16]. NAA treatment has a higher rooting rate than IBA treatment for R. mucronulatum and R. yedoense [17]. Additionally, 0.4% NAA rootone treatment conveniently used in farms is more effective for R. yedoense cutting propagation than the IBA short-term treatment [18]. Studies on the cutting propagation of plants belonging to the genus Rhododendron are limited to R. mucronulatum and R. yedoense, which are mainly used as ornamental flowering trees, and additional studies on a greater variety of species are required. This study aims to gather preliminary knowledge on the effect of plant growth regulators IBA and NAA on the rooting and growth of R. micranthum Turcz. when used in propagation by cutting.
2. Materials and Methods
2.1. Testing Materials and Environment for Cutting Propagation
The hardwood of R. micarnthum Turcz. growing in Goesan-gun (N 36°45′20.5″, E 128°01′18.9″) in Chungcheongbuk Province, South Korea was extracted in March 2021. The cuttings were segmented into 10-cm pieces, and all leaves, excluding two leaves at the top, were removed. Only half of the leaf was cut off to inhibit transpiration. About half of the cutting length was covered underground in a 50-cell tray filled with commercial nursery growth medium (Sunshine Mix #4, Sun Gro Horticulture, Agawam, MA, USA).
This experiment was conducted in a plastic greenhouse at the garden plant propagation center of Korea National Arboretum located in Yangpyeong, Gyeonggi-do, South Korea. The temperature, humidity, and photoperiod of the environment for cutting propagation was maintained at 23 ± 2 ℃, 70 ± 3%, and 16/8 h (light/dark), respectively, and the cuttings were spray-irrigated every three days.
2.2. Growth Regulator Treatment
A growth regulator treatment was conducted to study the cutting propagation of R. micarnthum Turcz. An untreated cutting was set as the control, and other cuttings were treated with Rootone (Dongbu Chemical, Busan, Korea); 150, 250, and 250 mg·L−1 IBA (Sigma Aldrich, USA); and 50, 150, and 250 mg·L−1 NAA (Sigma Aldrich, Massachusetts, USA). The bases of cuttings were treated with Rootone before insertion into the soil bed, and they were soaked in IBA and NAA for 30 min and 30 s, respectively.
2.3. Plant Growth Traits
The characteristics of R. micarnthum Turcz. cuttings were examined by differentiating the above- and below-ground parts 70 days after cutting. The number and length of roots in the underground section and fresh and dry weights were measured, and the plant height, number of leaves, fresh and dry weights, and chlorophyll content were examined. Additionally, roots with lengths of 5 mm or above were used to determine the rooting rate (%), days required for rooting, and survival rate (%) of rooted and grown cuttings. The rooting rate was calculated relative to the number of cuttings originated in each treatment group. Dry weights of above and underground sections were measured after treatment in a dry oven at 75 ℃ for 48 h. The chlorophyll content of leaves was assessed by the soil plant analysis development value as measured using a chlorophyll meter (SPAD 502, Konica Minolta, Tokyo, Japan).
2.4. Statistical Analysis
The study propagated three cuttings for each group, and a total of 10 groups were created. The groups were randomly arranged within the greenhouse. Duncan’s multiple range test was used to measure statistical significance with SPSS (SPSS 25.0 Statistics, SPSS Inc., Chicago, IL, USA), and p ≤ 0.05 was considered statistically significant. Additionally, the effect of different IBA and NAA concentrations on the rooting and survival rates, were investigated using regression and Pearson’s analyses to determine the interrelation between the factors of survival rates, rooting rates, and cutting propagation characteristics of R. micarnthum Turcz.
3. Results and Discussion
The growth characteristics, rooting rate, and survival rate of above- and underground cuttings were studied and analyzed to determine the impact of each factor to elucidate the asexual propagation features of R. micarnthum Turcz. (Table 1). The rooting rate was positively correlated to the number of roots (r = 0.740**), length of roots (r = 0.844**), and number of leaves (r = 0.649**), and the survival rate was positively correlated to the number of roots (r = 0.646**), length of roots (r = 0.673**), number of leaves (r = 0.738**), and chlorophyll content (r = 0.710**). Additionally, the rooting and survival rates had a high positive correlation at r = 0.794 with a significance level of 0.01. The development of underground sections, including the root length, has become a standard for determining propagation efficiency [12,19]. A sound root growth after planting facilitates the initial settlement of cuttings and augments the aboveground growth; thus, it was important to analyze the underground development of cuttings [20]. Additionally, an individual offshoot from the parent can be grown by rooting a cutting; however, if the plant does not have wholesome organs, its growth retards [21]. If moisture supply is inhibited due to retarded growth of the cutting after planting, plant photosynthesis decreases due to stress, which degrades its physiological activities [22]. As such, the number of roots, length of roots, and number of leaves affected the rooting and survival rates. Particularly, the chlorophyll content significantly impacted the survival rate.
Table 1.
Correlation between the root and shoot characteristics and rooting and survival ratio of Rhododendron micranthum Turcz.
The number of roots, length of roots, and fresh and dry weights of underground sections of plants treated with growth regulators were higher than those of the control group. The growth characteristics of underground sections are shown in Table 2. Particularly, the number of roots was 7.0 and 7.2 in groups treated with 150 mg·L−1 and 250 mg·L−1 NAA, respectively, which was greater than that in other groups. The lengths of roots in groups treated with 150 mg·L−1 and 250 mg·L−1 NAA were 6.2 cm and 5.3 cm, respectively. Thus, NAA was more effective in rooting than IBA. The rooting rate was 60% higher in the NAA treatment group than in the control, Rootone, and IBA treatment groups and the rate was as high >= 90% in groups treated with 150 mg·L−1 and 250 mg·L−1 NAA (Figure 1). Additionally, groups treated with 150 mg·L−1 and 250 mg·L−1 NAA showed high rooting rates and shortest latent days (14 days) due to the impact of growth regulators (Figure 1).
Table 2.
Characteristics of root growth as affected by rooting promoters at 70 days after cutting Rhododendron micranthum Turcz.
Figure 1.
Percentage and average occurrence of rooting in Rhododendron micranthum Turcz. under rooting promoters. Error bars indicate standard errors (n = 10). Different letters indicate significant differences between treatments according to Duncan’s multiple range test (p ≤ 0.05).
The growth of above- and underground sections were more effective after NAA treatment than in the control, Rootone, and IBA treatments. After planting, the plant height of the cuttings as well as the number and size of the expressed leaves of the above-ground part were investigated. It has been reported that if the growth of the underground part of the plant is excellent after cutting, the initial establishment of the cutting is increased and the growth of the above-ground part is improved, with beneficial effects on survival [20]. The results showed that the plant height was higher (between 5.2–5.8 cm) in groups treated with 150 mg·L−1 and 250 mg·L−1 NAA than that in other groups, and the number of leaves in groups treated with 250 mg·L−1, 150 mg·L−1, and 50 mg·L−1 NAA was 6.9, 6.2, and 5.2, respectively (Table 3). The fresh and dry weights of aboveground sections and the chlorophyll content were higher in groups treated with 250 mg·L−1 and 150 mg·L−1 NAA than those in other treatment groups. The survival rate for growth after cutting propagation of R. micarnthum Turcz. was the same as the results for rooting rate; where the rate was >80% for 150 mg·L−1 and 250 mg·L−1 NAA treatments, indicating a good aboveground growth (Figure 2). For optimal conditions for cutting propagation, underground development factors, such as the number of roots, are impactful, and the rooting and rooting rate of cutting propagation of woody plants, such as flowering plants, can be used to determine successful mass production of cuttings [23,24]. The activation of auxin impacts the process of root differentiation, and carbohydrates and auxins generated in the buds or leaves are known to transport to the base of the plant and promote cell division to form the root primordium [25,26].
Table 3.
Characteristics of shoot growth as affected by rooting promoters at 70 days after cutting Rhododendron micranthum Turcz.
Figure 2.
Survival ratio of Rhododendron micranthum Turcz. under rooting promoters. Error bars indicate standard errors (n = 10). Different letters indicate significant differences between treatments according to Duncan’s multiple range test (p ≤ 0.05).
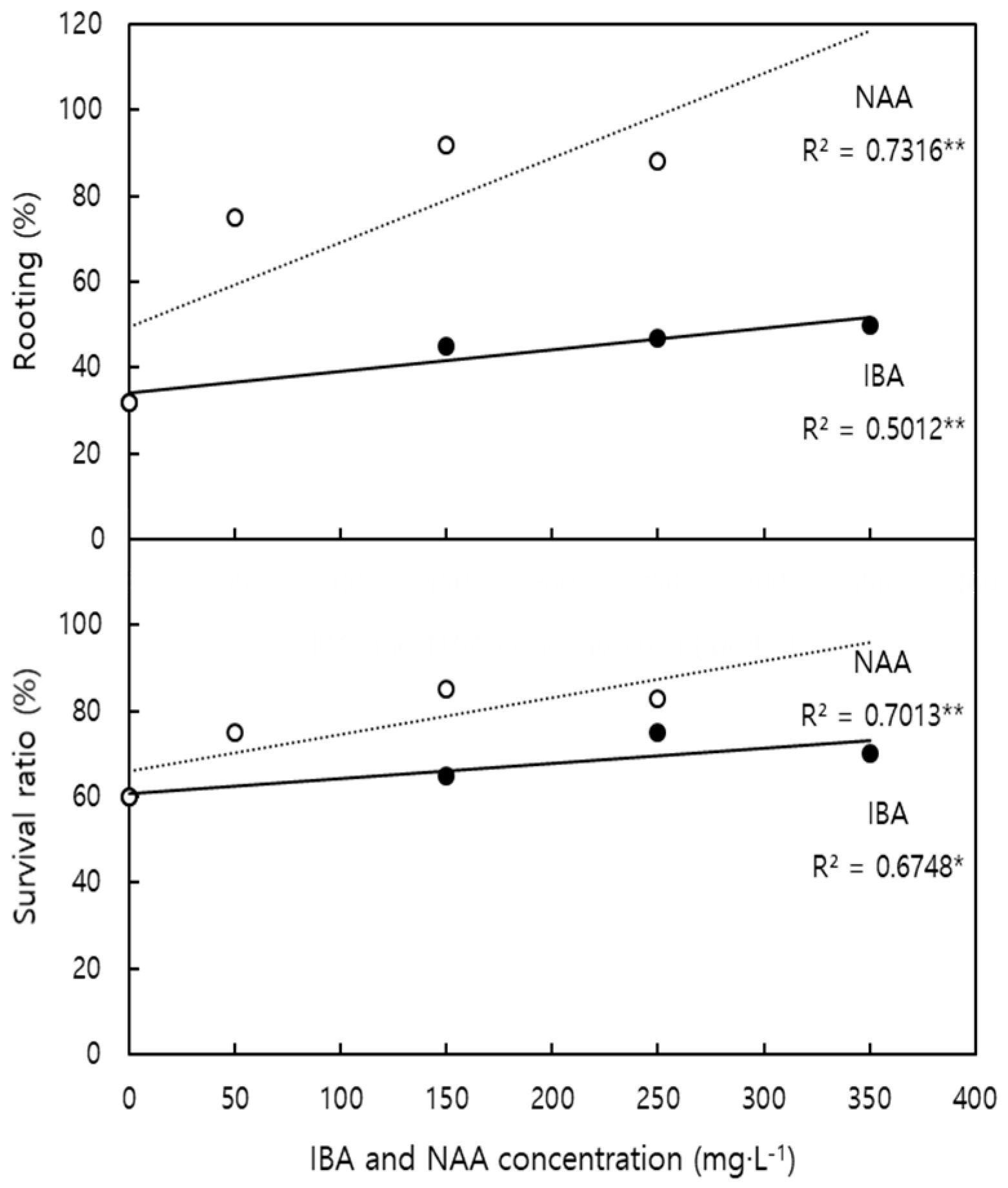
Accordingly, growth regulator treatment during propagation of R. micarnthum Turcz. cuttings facilitates the growth and development of underground sections of plants. The active growth of aboveground sections was a result of treatment with auxin hormones IBA and NAA, which favorably affect the growth of plant organs. To elucidate the impact of this, correlations between the rooting rate and survival rate of R. micarnthum Turcz. and IBA and NAA concentrations were analyzed through regression (Figure 3). Growth regulators IBA and NAA were highly correlated to the rooting and survival rates of R. micarnthum Turcz. The rooting and survival rates increased with the increase in the concentration of growth regulators. Particularly, NAA had a higher correlation with rooting and survival rates as compared to IBA (r = 0.7316** and 0.7013**, respectively).
Figure 3.
Correlation between rooting (top), survival ratio (bottom), and IBA and NAA concentrations of Rhododendron micranthum Turcz. ● and ○ denote IBA and NAA, respectively; * and ** denote significant at p ≤ 0.05 and 0.01, respectively (n = 30).
Auxin treatment affecting the rooting of cuttings differs according to the propagated plant, type of cuttage, and concentration of auxin, and the treatment has a direct impact on the speed and form of rooting [20]. Indole-3-acetic acid (IAA), as an endogenous auxin, can get easily destroyed due to light rays or IAA oxidase and lose vigor. Due to its insecure activation due to temperature, the relatively stable external auxins IBA and NAA, having a similar physiological vigor as IAA, are frequently used for cutting propagation [27,28]. The effects of IBA and NAA vary for each plant, and thus, they cannot be compared [29]; some reports have suggested that each plant must be treated with suitable concentrations of IBA and NAA [20,30]. Ferus et al. (2017) [14] studied the rooting rate of IBA and NAA treatment for cutting propagation of eight types of plants of the genus Rhododendron in Slovakia. The rooting rate of the wild plant R. brachycarpum of Ulleung Island in South Korea has been reported to increase by approximately two times or above after 250 mg·L−1 IBA and 125 mg·L−1 NAA treatments [7]. Additionally, the long-term submerged IBA treatment of R. mucronulatum Turcz. significantly affects the rooting rate (80% or above) [31]. Our results for the employed method and concentration of growth regulator treatment differ from those of previous research, but root facilitation due to IBA and NAA treatment of Rhododendron plants, including R. micranthum Turcz., was similar.
Therefore, Rhododendron micranthum Turcz. could propagate through growth regulator treatment using auxin hormones IBA and NAA. Particularly, when propagating R. micranthum Turcz. stem cuttings, 150 mg·L−1 and 250 mg·L−1 of NAA treatment showed sound rooting and survival of the cutting along with the aboveground growth. Therefore, IBA and NAA were considered appropriate growth regulators.
4. Conclusions
Studies on the cutting propagation of plants belonging to the genus Rhododendron are limited to R. mucronulatum and R. yedoense, which are mainly used as ornamental flowering trees, and additional studies on a greater variety of species are required. This study examined the characteristics of cutting propagation according to treatment with growth regulators IBA and NAA to generate basic data on the methods of reproducing R. micarnthum Turcz. The number of roots (r = 0.740**), length of root (r = 0.844**), and number of leaves (r = 0.649**) affected the rooting rate of R. micarnthum Turcz., and the number of roots (r = 0.646**), length of roots (r = 0.673**), number of leaves (r = 0.738**), and chlorophyll content (r = 0.710**) affected the survival rate. Further, the rooting and survival rates were highly correlated (r = 0.794**). The growth characteristics of underground sections after growth regulator treatment were as follows: the number of formed roots was 7.0 and 7.2, and the length of roots was 6.2 cm and 5.3 cm in 150 mg·L−1 and 250 mg·L−1 NAA treatment groups, respectively. The rooting rate was 60% or above in the growth regulator treatment groups compared to that in the control group. Particularly, the rooting rates of 150 mg·L−1 and 250 mg·L−1 NAA treatment groups were 90% or above, and the latent period before rooting was shorter than other treatment groups at approximately 14 days, which was considered to be effective for root growth. The aboveground growth characteristics after propagating the cuttings showed that groups treated with 150 mg·L−1 and 250 mg·L−1 NAA showed a significantly higher plant length (5.2–5.8 cm), number of leaves (6.2 and 6.9), and leaf-length and leaf-width as compared to other treatment groups. Moreover, the survival rates of 150 mg·L−1 and 250 mg·L−1 NAA treatment groups were 80% or above, and the sound root growth manifested in the tendency of good aboveground growth. Additionally, IBA and NAA were highly correlated to the rooting and survival rates during cutting propagation of R. micarnthum Turcz. The rooting and survival rates increased with the increase in growth regulator concentration. Particularly, NAA had a higher correlation to the rooting and survival rates than IBA (r = 0.7316**, 0.7013**). Thus, R. micarnthum Turcz. could be propagated through cutting. Growth regulator treatment with 150 mg·L−1 and 250 mg·L−1 of NAA was effective for rooting and root growth of cutting, and these treatments were considered appropriate because the effects of aboveground growth were positive.
Author Contributions
Conceptualization, S.I.O. and E.H.P.; methodology, S.I.O., E.H.P., H.M.K. and M.G.; software, S.I.O.; validation, S.I.O. and H.M.K.; formal analysis, S.I.O., E.H.P. and C.H.K.; investigation, S.I.O., E.H.P., H.M.K. and M.G.; writing—original draft preparation, S.I.O.; writing—review and editing M.J.Y., J.K.B. and C.H.K.; supervision, M.J.Y., J.K.B. and C.H.K.; project administration, M.J.Y., J.K.B. and C.H.K.; funding acquisition, M.J.Y., J.K.B. and C.H.K. All authors have read and agreed to the published version of the manuscript.
Funding
This research was financially supported by the Korea National Arboretum (‘Study on the Development of Propagation and Seedling Cultivation Techniques of Plants Native to Korea’, grant number KNA1-2-40, 21-3).
Data Availability Statement
Not applicable.
Conflicts of Interest
The Authors declare no conflict of interest.
References
- Korea National Arboretum (KNA). Available online: www.nature.go.kr (accessed on 18 November 2022).
- Zhang, M.; Xie, Y.; Zhan, G.; Lei, L.; Shu, P.; Chen, Y.; Xue, Y.; Luo, Z.; Wan, Q.; Yao, G.; et al. Grayanane and leucothane diterpenoids from the leaves of Rhododendron micranthum. Phytochemistry 2015, 117, 107–115. [Google Scholar] [CrossRef] [PubMed]
- Oh, C.J.; Kim, H.O.; Jung, E.S.; Lee, E.S.; Lee, S.H.; Jeon, G.Y.; Kim, Y.C. Anti-wrinkle and skin-whitening efficacy of Rhododendron micranthum methanol extract. J. Invest. Cosmetol. 2018, 14, 405–411. [Google Scholar]
- Nawrocka-Grześkowiak, U. Effect of growth substances on the rooting of cuttings of rhododendron species. Folia. Horticult. 2004, 16, 115–123. [Google Scholar]
- Hartmann, H.T.; Kester, D.E.; Davies, F.T.; Geneve, R.L. Plant propagation: Principles and Practices, 6th ed.; Prentice-Hall Inc.: Upper Saddle River, New Jersey, USA, 1997. [Google Scholar]
- Spethmann, W. Stem cutting of oaks (Quercus robur L. and Quercus petraea [Matt.] Liebl.). Schriften Forstl. Fak. Uni. Göttingen U.D. Nieders. Forstl. Versuchsanstalt. 1986, 86, 1–99. [Google Scholar]
- Hwang, Y.; Song, C.Y.; Moon, J.Y.; Lee, J.H.; Kim, Y.Y. Effect of cutting time, rooting promoter and light shade on rooting of Rhododendron brachycarpum native and to Korea. Flower Res. J. 2015, 23, 37–42. [Google Scholar] [CrossRef]
- Dirr, M.A.; Brinson, B. Magnolia grandiflora: A propagation guide. Am. Nurserym. 1985, 162, 38–51. [Google Scholar]
- Morini, S.; Isoleri, M. Effect of IBA and NAA on rooting of Actinidia chinensis cuttings. Acta Hort. 1986, 179, 885–886. [Google Scholar] [CrossRef]
- Kashyap, U.; Chandel, A.; Sharma, D.; Bhardwaj, S.; Bhargava, B. Propagation of Jasminum parkeri: A critically endangered wild ornamental woody shrub from Western Himalaya. Agronomy 2021, 11, 331. [Google Scholar] [CrossRef]
- Ro, N.Y.; Song, E.Y.; Kim, S.C.; Ko, H.C.; Lee, S.Y. Propagation of a rare variety Daphne kiusiana Miq. in Korea through softwood cuttings. J. Bio-Environ. Control 2010, 19, 246–250. [Google Scholar]
- Lee, J.H.; Song, C.Y.; Woo, H.J.; Kwon, O.W. Effects of plant growth regulators for hard wood and cutting time for soft wood on rooting of Korean native Spiraea spp. Flower Res. J. 2011, 19, 103–109. [Google Scholar]
- Boo, J.Y.; Kim, J.S. A study on the native environment and cutting propagation for the black-berry magnolia vine [Schisandra repanda (Siebold & Zucc.) Radlk] in Halla mountain. Korean J. Med. Crop. Sci. 2020, 28, 354–359. [Google Scholar] [CrossRef]
- Ferus, P.; Konôpková, J.; Bošiaková, D.; Hoťka, P. Effective rhododendron propagation through stem cuttings. J. Appl. Hortic. 2017, 19, 226–229. [Google Scholar]
- Si, G.C.; Zhang, Y.L.; Gu, X.; Wang, Y.Q.; Zhao, B. Study on cutting propagation technology of qinling wild Rhododendron calophytum. J. North. Hortic. 2012, 3, 7. [Google Scholar]
- Yoo, B.A.; Lee, K.S.; Kim, W.H.; Lee, D.W.; Oh, Y.N.; Lee, J.S. Effect of cutting dates, rooting medium, and rooting promoters for rooted cutting production of Rhododendron mucronulatum T., R. Knap Hill hyb. ‘Golden Sunset’. Korean J. Hortic. Sci. Technol. 2002, 20, 102. [Google Scholar]
- Huh, Y.J.; Pak, C.H.; Kwack, B.H. Effect of ABA and NAA on rooting of Rhododendron mucronulatum and Rhododendron yedoense var. poukhanense cuttings. J. Korean Soc. Hortic. Sci. 1997, 21, 13–17. [Google Scholar]
- Lee, J.S.; Chang, Y.J.; Moon, C.Y.; Lee, S.C.; Kim, G.S.; Kim, Y.S. Effects of rooting promoters on plug cutting of new cultivar of pot azalea. Korean Hortic. Sci. 2006, 27, 313. [Google Scholar]
- Song, J.H.; Jang, K.H.; Hur, S.D. Propagation of cutting method of a rare endemic Juniperus chinensis var. sargentii Henry in Korea. Korean J. Plant. Res. 2010, 23, 368–373. [Google Scholar]
- Spethmann, W. The Vegetative Propagation of Trees; Gerd Krussmann Nursery, Parey Buchverlag: Berlin, Germany, 1997; pp. 382–438. [Google Scholar]
- Park, J.B.; Kim, J.S.; Kim, D.G. The change of somatic cell embryogenesis in Kalanchoe pinnata because of agar concentration in stimulating root stress. J. Plant Biotechnol. 2017, 44, 320–324. [Google Scholar] [CrossRef]
- Medrano, H.; Parry, M.A.J.; Socias, X.; Lawlor, D.W. Long term water stress inactivates Rubisco in subterranean clover. Ann. Appl. Biol. 1997, 131, 494–501. [Google Scholar] [CrossRef]
- Isebrands, J.G.; Crow, T.R. Techniques for Rooting juvenile Softwood Cutting of Northern Red Oak. In Proceedings of the 5th Central Hardwood Forest Conference, Urbana-Champaign, IL, USA, 15–17 April 1985; pp. 228–233. [Google Scholar]
- Kim, J.Y.; Kim, C.S.; You, D.H.; Kim, D.W.; Choi, D.C.; Kim, J.M.; Oh, N.K.; Park, C.G.; Ahn, Y.S.; Lee, K.S. Cuttings for mass propagation affecting the impact of increasing reproductive efficiency of Schisandra chinensis. Korean J. Med. Crop. Sci. 2014, 22, 231–236. [Google Scholar] [CrossRef]
- Christopher, J.F. Rooting of Rhododendron ‘Anna Rose Whitney’ cutting as related to stem carbohydrate concentration. Hort. Sci. 1990, 25, 409–411. [Google Scholar] [CrossRef]
- Kim, H.K.; Nam, Y.K.; Lee, J.S. Effect of cutting media and growth regulators on the cutting of Dendrobium nobile. Flower Res. J. 2010, 18, 23–28. [Google Scholar]
- Thimann, K.V.; Koepfli, J.B. Identity of the growth-promoting and root-forming substances of plants. Nature 1935, 135, 101–102. [Google Scholar] [CrossRef]
- Phillips, J.B. Effect of cutting techniques on coppice regrowth. Q. J. For. 1971, 65, 220–223. [Google Scholar]
- Hitchcock, A.E.; Zimmerman, P.W. Effects obtained with mixtures of root-inducing and other substances. Contrib. Boyce Thompson Inst. Plant Res. 1940, 11, 143–160. [Google Scholar]
- Kaushik, S.; Shukla, N. A review on effect of IBA and NAA and their combination on the rooting of stem cuttings of different ornamental crops. J. Pharmacogn. Phytochem. 2020, 9, 1881–1885. [Google Scholar]
- Yoo, B.S.; Park, K.Y.; Kwon, O.H.; Junh, H.H. Effect of periodic cutting, media and auxin treatments for rooting percentage and growth of rooted cutting of R. mucronulatum by cutting. Hortic. Sci. Technol. 2018, 36, 157. [Google Scholar]
Disclaimer/Publisher’s Note: The statements, opinions and data contained in all publications are solely those of the individual author(s) and contributor(s) and not of MDPI and/or the editor(s). MDPI and/or the editor(s) disclaim responsibility for any injury to people or property resulting from any ideas, methods, instructions or products referred to in the content. |
© 2023 by the authors. Licensee MDPI, Basel, Switzerland. This article is an open access article distributed under the terms and conditions of the Creative Commons Attribution (CC BY) license (https://creativecommons.org/licenses/by/4.0/).


