The Co-Application of PGPR and Biochar Enhances the Production Capacity of Continuous Cropping Peppers in the Karst Yellow Soil Region of Southwest China
Abstract
:1. Introduction
2. Materials and Methods
2.1. Site Description
2.2. Experimental Materials
2.3. Experimental Design
2.4. Soil Sampling and Analysis
2.5. Plant Sampling and Analysis
2.6. Pepper Yield
2.7. Calculations
2.8. Statistical Analysis
3. Results
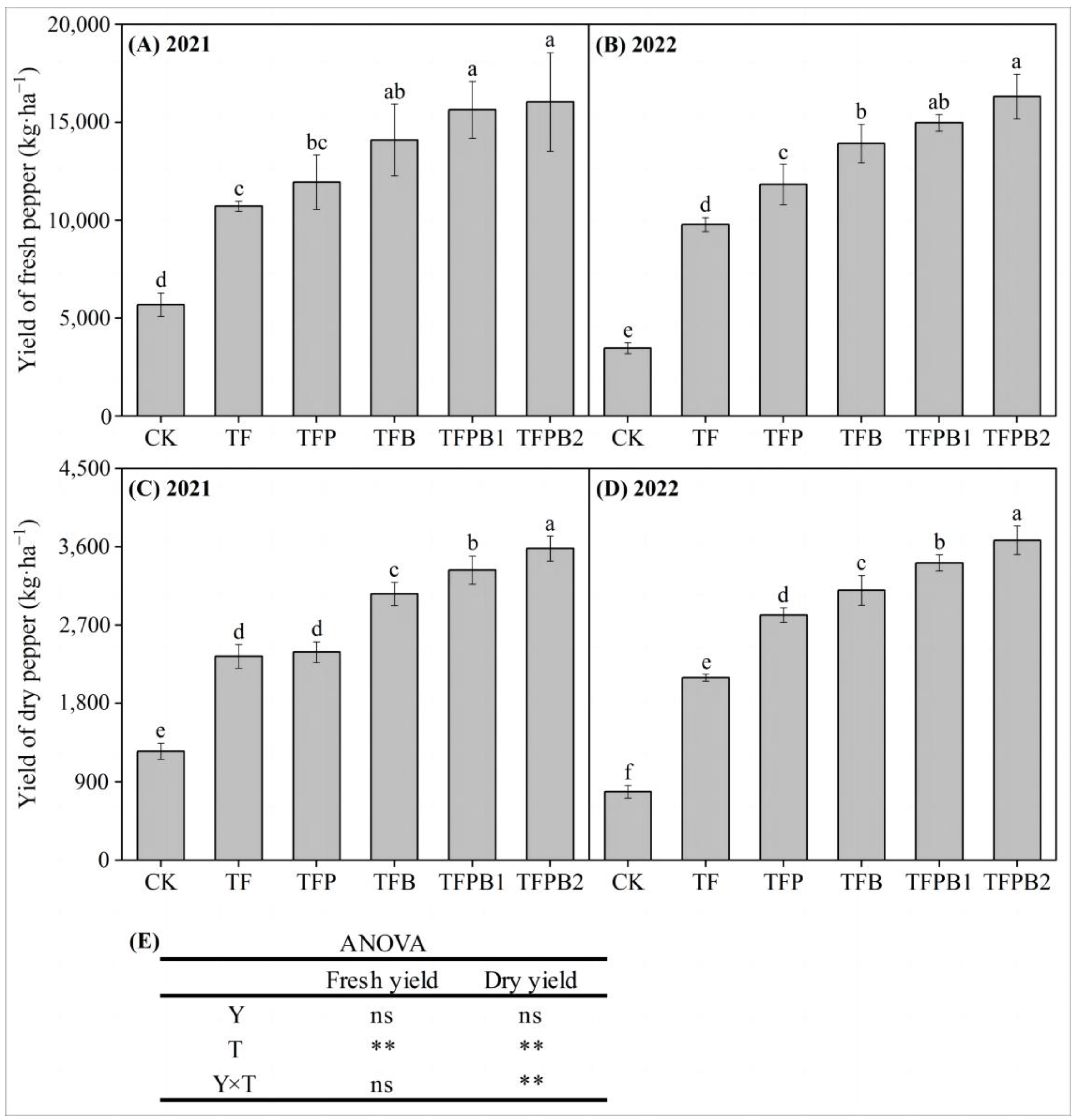
3.1. The Impact of Applying PGPR and Biochar on the Yield
3.2. The Impact of Applying PGPR and Biochar on the Quality of Fresh Pepper Fruits
3.3. The Impact of Applying PGPR and Biochar on the NPK Accumulation
3.4. The Impact of Applying PGPR and Biochar on Agronomic and Recovery Efficiency of NPK
3.5. The Impact of Applying PGPR and Biochar on Output Value and Net Income
4. Discussion
5. Conclusions
Author Contributions
Funding
Data Availability Statement
Conflicts of Interest
References
- Walia, S.S.; Kaur, T.; Gupta, R.K.; Siddiqui, M.H.; Rahman, M.A. Long-term impact of the continuous use of organic manures on crop and soil productivity under maize-potato-onion cropping systems. Sustainability 2023, 15, 8254. [Google Scholar] [CrossRef]
- Yang, W.; Zhao, Y.; Yang, Y.; Zhang, M.; Mao, X.; Guo, Y.; Li, X.; Tao, B.; Qi, Y.; Ma, L.; et al. Co-application of biochar and microbial inoculants increases soil phosphorus and potassium fertility and improves soil health and tomato growth. J. Soils Sediments 2023, 23, 947–957. [Google Scholar] [CrossRef]
- Tilman, D.; Balzer, C.; Hill, J.; Befort, B.L. Global food demand and the sustainable intensification of agriculture. Proc. Natl. Acad. Sci. USA 2011, 108, 20260–20264. [Google Scholar] [CrossRef] [PubMed]
- Liu, X.; Wang, Y.; Liu, Y.; Chen, H.; Hu, Y. Response of bacterial and fungal soil communities to Chinese Fir (Cunninghamia lanceolate) long-term monoculture plantations. Front. Microbiol. 2020, 11, 181. [Google Scholar] [CrossRef]
- Wang, B.; Lu, Y.; Li, W.; He, S.; Lin, R.; Qu, P.; Chen, H.; Zhang, F.; Zhao, M.; Shi, X.; et al. Effects of the continuous cropping of Amomum villosum on rhizosphere soil physicochemical properties, enzyme activities, and microbial communities. Agronomy 2022, 12, 2548. [Google Scholar] [CrossRef]
- Fan, Y.; Liu, J.; Liu, Z.; Hu, X.; Yu, Z.; Li, Y.; Chen, X.; Li, L.; Jin, J.; Wang, G. Chitin amendments eliminate the negative impacts of continuous cropping obstacles on soil properties and microbial assemblage. Front. Plant Sci. 2022, 13, 1067618. [Google Scholar] [CrossRef] [PubMed]
- Gu, S.; Xiong, X.; Tan, L.; Deng, Y.; Du, X.; Yang, X.; Hu, Q. Soil microbial community assembly and stability are associated with potato (Solanum tuberosum L.) fitness under continuous cropping regime. Front. Plant Sci. 2022, 13, 1000045. [Google Scholar] [CrossRef]
- Li, Z.; Alami, M.M.; Tang, H.; Zhao, J.; Nie, Z.; Hu, J.; Shu, S.; Zhu, D.; Yang, T. Applications of Streptomyces jingyangensis T. and Bacillus mucilaginosus A.improve soil health and mitigate the continuous cropping obstacles for Pinellia ternata (Thunb.) Breit. Ind. Crops Prod. 2022, 180, 114691. [Google Scholar] [CrossRef]
- Li, M.; Wang, J.; Zhou, Q.; Yasen, M. Effects of continuous melon cropping on rhizospheric fungal communities. Rhizosphere 2023, 27, 100726. [Google Scholar] [CrossRef]
- Myresiotis, C.K.; Vryzas, Z.; Papadopoulou-Mourkidou, E. Biodegradation of soil-applied pesticides by selected strains of plant growth-promoting rhizobacteria (PGPR) and their effects on bacterial growth. Biodegradation 2011, 23, 297–310. [Google Scholar] [CrossRef]
- Hashem, A.; Tabassum, B.; Fathi Abd_Allah, E. Bacillus subtilis: A plant-growth promoting rhizobacterium that also impacts biotic stress. Saudi J. Biol. Sci. 2019, 26, 1291–1297. [Google Scholar] [CrossRef] [PubMed]
- Kannan, P.; Paramasivan, M.; Marimuthu, S.; Swaminathan, C.; Bose, J. Applying both biochar and phosphobacteria enhances Vigna mungo L. growth and yield in acid soils by increasing soil pH, moisture content, microbial growth and P availability. Agric. Ecosyst. Environ. 2021, 308, 107258. [Google Scholar] [CrossRef]
- Kong, Z.; Liu, H. Modification of rhizosphere microbial communities: A possible mechanism of plant growth promoting rhizobacteria enhancing plant growth and fitness. Front. Plant Sci. 2022, 13, 920813. [Google Scholar] [CrossRef] [PubMed]
- Zaidi, A.; Ahmad, E.; Khan, M.S.; Saif, S.; Rizvi, A. Role of plant growth promoting rhizobacteria in sustainable production of vegetables: Current perspective. Sci. Hortic. 2015, 193, 231–239. [Google Scholar] [CrossRef]
- Beheshti, M.; Etesami, H.; Alikhani, H.A. Interaction study of biochar with phosphate-solubilizing bacterium on phosphorus availability in calcareous soil. Arch. Agron. Soil Sci. 2017, 63, 1572–1581. [Google Scholar] [CrossRef]
- Li, H.; Qiu, Y.; Yao, T.; Ma, Y.; Zhang, H.; Yang, X. Effects of PGPR microbial inoculants on the growth and soil properties of Avena sativa, Medicago sativa, and Cucumis sativus seedlings. Soil Tillage Res. 2020, 199, 104577. [Google Scholar] [CrossRef]
- Ijaz, M.; Tahir, M.; Shahid, M.; Ul-Allah, S.; Sattar, A.; Sher, A.; Mahmood, K.; Hussain, M. Combined application of biochar and PGPR consortia for sustainable production of wheat under semiarid conditions with a reduced dose of synthetic fertilizer. Braz. J. Microbiol. 2019, 50, 449–458. [Google Scholar] [CrossRef]
- Malik, L.; Sanaullah, M.; Mahmood, F.; Hussain, S.; Siddique, M.H.; Anwar, F.; Shahzad, T. Unlocking the potential of co-applied biochar and plant growth-promoting rhizobacteria (PGPR) for sustainable agriculture under stress conditions. Chem. Biol. Technol. Agric. 2022, 9, 58. [Google Scholar] [CrossRef]
- Singh, I. Plant growth promoting rhizobacteria (PGPR) and their various mechanisms for plant growth enhancement in stressful conditions: A review. Eur. J. Biol. Res. 2018, 8, 191–213. [Google Scholar] [CrossRef]
- Hossain, M.Z.; Bahar, M.M.; Sarkar, B.; Donne, S.W.; Ok, Y.S.; Palansooriya, K.N.; Kirkham, M.B.; Chowdhury, S.; Bolan, N. Biochar and its importance on nutrient dynamics in soil and plant. Biochar 2020, 2, 379–420. [Google Scholar] [CrossRef]
- He, M.; Xiong, X.; Wang, L.; Hou, D.; Bolan, N.S.; Ok, Y.S.; Tsang, D.C.W. A critical review on performance indicators for evaluating soil biota and soil health of biochar-amended soils. J. Hazard. Mater. 2021, 414, 125378. [Google Scholar] [CrossRef] [PubMed]
- Liu, J.; Jiang, B.; Shen, J.; Zhu, X.; Yi, W.; Li, Y.; Wu, J. Contrasting effects of straw and straw-derived biochar applications on soil carbon accumulation and nitrogen use efficiency in double-rice cropping systems. Agric. Ecosyst. Environ. 2021, 311, 107286. [Google Scholar] [CrossRef]
- Yang, X.; Tsibart, A.; Nam, H.; Hur, J.; El-Naggar, A.; Tack, F.M.G.; Wang, C.H.; Lee, Y.H.; Tsang, D.C.W.; Ok, Y.S. Effect of gasification biochar application on soil quality: Trace metal behavior, microbial community, and soil dissolved organic matter. J. Hazard. Mater. 2019, 365, 684–694. [Google Scholar] [CrossRef]
- Zhang, M.; Liu, Y.; Wei, Q.; Gu, X.; Liu, L.; Gou, J. Biochar application ameliorated the nutrient content and fungal community structure in different yellow soil depths in the karst area of Southwest China. Front. Plant Sci. 2022, 13, 1020832. [Google Scholar] [CrossRef]
- Zhang, M.; Liu, Y.; Wei, Q.; Gou, J. Effects of short-term application of Moutai lees biochar on nutrients and fungal community structure in yellow soil of Guizhou. Environ. Sci. Pollut. Res. 2021, 28, 67404–67413. [Google Scholar] [CrossRef]
- Phares, C.A.; Akaba, S. Co-application of compost or inorganic NPK fertilizer with biochar influences soil quality, grain yield and net income of rice. J. Integr. Agric. 2022, 21, 2600–3610. [Google Scholar] [CrossRef]
- Liu, J.; Zhang, J.; Zhu, M.; Wan, H.; Chen, Z.; Yang, N.; Duan, J.; Wei, Z.; Hu, T.; Liu, F. Effects of plant growth promoting rhizobacteria (PGPR) strain bacillus licheniformis with biochar amendment on potato growth and water use efficiency under reduced irrigation regime. Agronomy 2022, 12, 1031. [Google Scholar] [CrossRef]
- Zhang, M.; Gou, J.; Wei, Q.; Liu, Y.; Qin, S. Effects of different biochar-based fertilizers on the biological properties and economic benefits of pod pepper (Capsicum annuum var. frutescens L.). Appl. Ecol. Environ. Res. 2021, 19, 2829–2841. [Google Scholar] [CrossRef]
- Ning, C.; Liu, R.; Kuang, X.; Chen, H.; Tian, J.; Cai, K. Nitrogen fertilizer reduction combined with biochar application maintain the yield and nitrogen supply of rice but improve the nitrogen use efficiency. Agronomy 2022, 12, 3039. [Google Scholar] [CrossRef]
- Zhang, Y.; Gao, X.; Shen, Z.; Zhu, C.; Jiao, Z.; Li, R.; Shen, Q. Pre-colonization of PGPR triggers rhizosphere microbiota succession associated with crop yield enhancement. Plant Soil 2019, 1–2, 553–567. [Google Scholar] [CrossRef]
- Anbuganesan, V.; Vishnupradeep, R.; Varshini, V.S.; Archana, A.S.; Soundarya, S.; Bruno, L.B.; Rajkumar, M. Effect of plant growth-promoting rhizobacteria and biochar on Ricinus communis growth, physiology, nutrient uptake and soil enzyme activities. Appl. Ecol. Environ. Sci. 2022, 10, 640–651. [Google Scholar] [CrossRef]
- Phares, C.A.; Amoakwah, E.; Danquah, A.; Afrifa, A.; Beyaw, L.R.; Frimpong, K.A. Biochar and NPK fertilizer co-applied with plant growth promoting bacteria (PGPB) enhanced maize grain yield and nutrient use efficiency of inorganic fertilizer. J. Agric. Food Res. 2022, 10, 100434. [Google Scholar] [CrossRef]
- Wang, S.; Gao, P.; Zhang, Q.; Shi, Y.; Guo, X.; Lv, Q.; Wu, W.; Zhang, X.; Li, M.; Meng, Q. Biochar improves soil quality and wheat yield in saline-alkali soils beyond organic fertilizer in a 3-year field trial. Environ. Sci. Pollut. Res. 2023, 30, 19097–19110. [Google Scholar] [CrossRef] [PubMed]
- Yan, S.; Zhang, S.; Yan, P.; Aurangzeib, M. Effect of biochar application method and amount on the soil quality and maize yield in Mollisols of Northeast China. Biochar 2022, 4, 56. [Google Scholar] [CrossRef]
- Li, C.; Zhao, C.; Zhao, X.; Wang, Y.; Lv, X.; Zhu, X.; Song, X. Beneficial effects of biochar application with nitrogen fertilizer on soil nitrogen retention, absorption and utilization in maize production. Agronomy 2023, 13, 113. [Google Scholar] [CrossRef]
- Lv, Y.; Xu, L.; Guo, X.; Liu, J.; Zou, B.; Guo, Y.; Zhang, Y.; Li, H.; Zheng, G.; Guo, Y.; et al. Effect of biochar on soil physiochemical properties and bacterial diversity in dry direct-seeded rice paddy fields. Agronomy 2023, 13, 4. [Google Scholar] [CrossRef]
- Wan, H.; Liu, X.; Shi, Q.; Chen, Y.; Jiang, M.; Zhang, J.; Cui, B.; Hou, J.; Wei, Z.; Hossain, M.A.; et al. Biochar amendment alters root morphology of maize plant: Its implications in enhancing nutrient uptake and shoot growth under reduced irrigation regimes. Front. Plant Sci. 2023, 14, 112742. [Google Scholar] [CrossRef]
- Manzoor; Ma, L.; Ni, K.; Ruan, J. Effect of integrated use of rapeseed cake, biochar and chemical fertilizers on root growth, nutrients use efficiency and productivity of tea. Agronomy 2022, 12, 1823. [Google Scholar] [CrossRef]
- Wu, D.; Zhang, W.; Xiu, L.; Sun, Y.; Gu, W.; Wang, Y.; Zhang, H.; Chen, W. Soybean yield response of biochar-regulated soil properties and root growth strategy. Agronomy 2022, 12, 1412. [Google Scholar] [CrossRef]
- Hosseini, E.; Zarei, M.; Sepehri, M.; Safarzadeh, S. Do bagasse biochar and microbial inoculants positively affect barley grain yield and nutrients, and microbial activity? J. Plant Nutr. 2021, 45, 522–539. [Google Scholar] [CrossRef]
- Saxena, J.; Rana, G.; Pandey, M. Impact of addition of biochar along with Bacillus sp. on growth and yield of French beans. Sci. Hortic. 2013, 162, 351–356. [Google Scholar] [CrossRef]
- Medeiros, E.V.D.; Silva, L.F.D.; Silva, J.S.A.D.; Costa, D.P.D.; Souza, C.A.F.D.; Berger, L.R.R.; Lima, J.R.D.S.; Hammecker, C. Biochar and Trichoderma spp. in management of plant diseases caused by soilborne fungal pathogens: A review and perspective. Res. Soc. Dev. 2021, 10, e296101522465. [Google Scholar] [CrossRef]
- Liu, Z.; Zhou, W.; Sun, Y.; Peng, Y.; Niu, J.; Tan, J.; Wei, M. Biochar and its coupling with microbial inoculants for suppressing plant diseases: A review. Appl. Soil Ecol. 2023, 190, 105025. [Google Scholar] [CrossRef]
- Gorovtsov, A.V.; Minkina, T.M.; Mandzhieva, S.S.; Perelomov, L.V.; Soja, G.; Zamulina, I.V.; Rajput, V.D.; Sushkova, S.N.; Mohan, D.; Yao, J. The mechanisms of biochar interactions with microorganisms in soil. Environ. Geochem. Health 2020, 42, 2495–2518. [Google Scholar] [CrossRef] [PubMed]
- Yan, B.; Zhang, Y.; Wang, Y.; Rong, X.; Peng, J.; Feia, J.; Luo, G. Biochar amendments combined with organic fertilizer improve maize productivity and mitigate nutrient loss by regulating the C-N-P stoichiometry of soil, microbiome, and enzymes. Chemosphere 2023, 324, 138293. [Google Scholar] [CrossRef]
- Bolan, S.; Hou, D.; Wang, L.; Hale, L.; Egamberdieva, D.; Tammeorg, P.; Li, R.; Wang, B.; Xu, J.; Wang, T.; et al. The potential of biochar as a microbial carrier for agricultural and environmental applications. Sci. Total Environ. 2023, 886, 163968. [Google Scholar] [CrossRef]
- Tripti; Kumar, A.; Usmani, Z.; Kumar, V.; Anshumali. Biochar and flyash inoculated with plant growth promoting rhizobacteria act as potential biofertilizer for luxuriant growth and yield of tomato plant. J. Environ. Manag. 2017, 190, 20–27. [Google Scholar] [CrossRef]
- Hale, L.; Luth, M.; Kenney, R.; Crowley, D. Evaluation of pinewood biochar as a carrier of bacterial strain Enterobacter cloacae UW5 for soil inoculation. Appl. Soil Ecol. 2014, 84, 192–199. [Google Scholar] [CrossRef]
- Shi, J.W.; Lu, L.X.; Shi, H.M.; Ye, J.R. Effects of plant growth-promoting rhizobacteria on the growth and soil microbial community of Carya illinoinensis. Curr. Microbiol. 2023, 79, 352. [Google Scholar] [CrossRef]
- He, Y.; Wu, Z.; Ye, B.C.; Wang, J.; Guan, X.; Zhang, J. Viability evaluation of alginate-encapsulated Pseudomonas putida Rs-198 under simulated salt-stress conditions and its effect on cotton growth. Eur. J. Soil Biol. 2016, 75, 135–141. [Google Scholar] [CrossRef]
- Almaroai, Y.A.; Eissa, M.A. Effect of biochar on yield and quality of tomato grown on a metal-contaminated soil. Sci. Hortic. 2020, 265, 109210. [Google Scholar] [CrossRef]
- Lévesque, V.; Jeanne, T.; Dorais, M.; Ziadi, N.; Hogue, R.; Antoun, H. Biochars improve tomato and sweet pepper performance and shift bacterial composition in a peat-based growing medium. Appl. Soil Ecol. 2020, 153, 103579. [Google Scholar] [CrossRef]
- Akhtar, S.S.; Li, G.; Andersen, M.N.; Liu, F. Biochar enhances yield and quality of tomato under reduced irrigation. Agric. Water Manag. 2014, 138, 37–44. [Google Scholar] [CrossRef]
- Wang, Y.; Li, W.; Du, B.; Li, H. Effect of biochar applied with plant growth-promoting rhizobacteria (PGPR) on soil microbial community composition and nitrogen utilization in tomato. Pedosphere 2021, 31, 872–881. [Google Scholar] [CrossRef]
- Etesami, H.; Glick, B.R. Halotolerant plant growth-promoting bacteria: Prospects for alleviating salinity stress in plants. Environ. Exp. Bot. 2020, 178, 104124. [Google Scholar] [CrossRef]
- Gupta, S.; Kaushal, R.; Sood, G. Impact of plant growth-promoting rhizobacteria on vegetable crop production. Int. J. Veg. Sci. 2018, 24, 289–300. [Google Scholar] [CrossRef]
- Ullah, S.; Ali, I.; Yang, M.; Zhao, Q.; Iqbal, A.; Wu, X.; Ahmad, S.; Muhammad, I.; Khan, A.; Adnan, M.; et al. Partial substitution of urea with biochar induced improvements in soil enzymes activity, ammonia-nitrite oxidizers, and nitrogen uptake in the double-cropping rice system. Microorganisms 2023, 11, 527. [Google Scholar] [CrossRef]
- Zhao, P.; Wang, S.; Liu, D.; Li, H.; Han, S.; Li, M. Study on influence mechanism of biochar on soil nitrogen conversion. Environ. Pollut. Bioavailab. 2022, 34, 419–432. [Google Scholar] [CrossRef]
- Yan, H.; Liu, C.; Yu, W.; Zhu, X.; Chen, B. The aggregate distribution of Pseudomonas aeruginosa on biochar facilitates quorum sensing and biofilm formation. Sci. Total Environ. 2023, 856, 159034. [Google Scholar] [CrossRef]
- Kong, F.; Ling, X.; Iqbal, B.; Zhou, Z.; Meng, Y. Soil phosphorus availability and cotton growth affected by biochar addition under two phosphorus fertilizer levels. Arch. Agron. Soil Sci. 2023, 69, 18–31. [Google Scholar] [CrossRef]
- Pokharel, P.; Chang, S.X. Biochar decreases and nitrification inhibitor increases phosphorus limitation for microbial growth in a wheat-canola rotation. Sci. Total Environ. 2023, 858, 159773. [Google Scholar] [CrossRef]
- Yang, X.; Zhang, K.; Shaghaleh, H.; Qi, Z.; Gao, C.; Chang, T.; Zhang, J.; Zia-ur-Rehman, M.; Hamoud, Y.A. Continuous cropping alters soil hydraulic and physicochemical properties in the karst region of southwestern China. Agronomy 2023, 13, 1416. [Google Scholar] [CrossRef]
- Xia, H.; Riaz, M.; Liu, B.; Li, Y.; El-Desouki, Z.; Jiang, C. Over two years study: Peanut biochar promoted potassium availability by mediating the relationship between bacterial community and soil properties. Appl. Soil Ecol. 2022, 176, 104485. [Google Scholar] [CrossRef]
- Bertola, M.; Mattarozzi, M.; Sanangelantoni, A.M.; Careri, M.; Visioli, G. PGPB colonizing three-year biochar-amended soil: Towards biochar-mediated biofertilization. J. Soil Sci. Plant Nutr. 2019, 19, 841–850. [Google Scholar] [CrossRef]
- Zheng, B.X.; Ding, K.; Yang, X.R.; Wadaan, M.A.M.; Hozzein, W.N.; Peñuelas, J.; Zhu, Y.G. Straw biochar increases the abundance of inorganic phosphate solubilizing bacterial community for better rape (Brassica napus) growth and phosphate uptake. Sci. Total Environ. 2019, 647, 1113–1120. [Google Scholar] [CrossRef] [PubMed]
- Ren, H.; Huang, B.; Fernández-García, V.; Miesel, J.; Yan, L.; Lv, C. Biochar and rhizobacteria amendments improve several soil properties and bacterial diversity. Microorganisms 2020, 8, 502. [Google Scholar] [CrossRef] [PubMed]
- Santoyo, G.; Urtis-Flores, C.A.; Loeza-Lara, P.D.; Orozco-Mosqueda, M.d.C.; Glick, B.R. Rhizosphere colonization determinants by plant growth-promoting rhizobacteria (PGPR). Biology 2021, 10, 475. [Google Scholar] [CrossRef]
- Batista, B.D.; Lacava, P.T.; Ferrari, A.; Teixeira-Silva, N.S.; Bonatelli, M.L.; Tsui, S.; Mondin, M.; Kitajima, E.W.; Pereira, J.O.; Azevedo, J.L.; et al. Screening of tropically derived, multi-trait plant growth- promoting rhizobacteria and evaluation of corn and soybean colonization ability. Microbiol. Res. 2018, 206, 33–42. [Google Scholar] [CrossRef]
- Huang, J.; Liu, Z.; Li, S.; Xu, B.; Gong, Y.; Yang, Y.; Sun, H. Isolation and engineering of plant growth promoting rhizobacteria Pseudomonas aeruginosa for enhanced cadmium bioremediation. J. Gen. Appl. Microbiol. 2016, 62, 258–265. [Google Scholar] [CrossRef]
- Jiang, Y.; Yang, F.; Dai, M.; Ali, I.; Shen, X.; Hou, X.; Alhewairini, S.S.; Peng, C.; Naz, I. Application of microbial immobilization technology for remediation of Cr(VI) contamination: A review. Chemosphere 2022, 286, 131721. [Google Scholar] [CrossRef]
- Liu, S.; Tang, W.; Yang, F.; Meng, J.; Chen, W.; Li, X. Influence of biochar application on potassium-solubilizing Bacillus mucilaginosus as potential biofertilizer. Prep. Biochem. Biotechnol. 2016, 47, 32–37. [Google Scholar] [CrossRef] [PubMed]
- Yu, Y.; An, Q.; Zhou, Y.; Deng, S.; Miao, Y.; Zhao, B.; Yang, L. Highly synergistic effects on ammonium removal by the co-system of Pseudomonas stutzeri XL-2 and modified walnut shell biochar. Bioresour. Technol. 2019, 280, 239–346. [Google Scholar] [CrossRef] [PubMed]


| pH | Organic Carbon (g·kg−1) | Total Nitrogen (g·kg−1) | Total Phosphorus (g·kg−1) | Available Phosphorus (mg·kg−1) | Total Potassium (g·kg−1) | Available Potassium (mg·kg−1) | |
|---|---|---|---|---|---|---|---|
| Soil | 6.19 | 11.88 | 1.36 | 1.02 | 17.11 | 14.72 | 156.83 |
| Biochar | 8.23 | 354.86 | 39.84 | 9.23 | 275.47 | 19.88 | 748.55 |
| Treatments | Chemical Fertilizer (kg·hm−2) | PGPR (kg·hm−2) | Biochar (kg·hm−2) |
|---|---|---|---|
| CK | 0 | 0 | 0 |
| TF | 1500.00 | 0 | 0 |
| TFP | 1500.00 | 15.00 | 0 |
| TFB | 1500.00 | 0 | 1500.00 |
| TFPB1 | 1500.00 | 15.00 | 1500.00 |
| TFPB2 | 1500.00 | 30.00 | 3000.00 |
| Year | Treatments | Free Amino Acid (g·kg−1) | Reducing Sugar (mg·kg−1) | VC (g·kg−1) | Nitrate (mg·kg−1) |
|---|---|---|---|---|---|
| 2021 | CK | 3.70 ± 0.10 a | 29.06 ± 0.91 f | 0.69 ± 0.04 e | 78.98 ± 1.64 b |
| TF | 3.74 ± 0.10 a | 32.73 ± 1.16 e | 0.95 ± 0.05 d | 84.19 ± 2.28 a | |
| TFP | 3.77 ± 0.09 a | 40.88 ± 1.65 d | 1.03 ± 0.04 c | 70.52 ± 2.70 c | |
| TFB | 3.79 ± 0.12 a | 43.54 ± 0.78 c | 1.11 ± 0.04 b | 67.95 ± 2.61 cd | |
| TFPB1 | 3.80 ± 0.09 a | 46.83 ± 1.30 b | 1.21 ± 0.03 a | 66.35 ± 2.62 cd | |
| TFPB2 | 3.83 ± 0.12 a | 49.38 ± 1.12 a | 1.26 ± 0.04 a | 66.00 ± 2.97 d | |
| 2022 | CK | 3.56 ± 0.07 c | 24.08 ± 1.01 e | 0.63 ± 0.03 e | 76.81 ± 3.14 b |
| TF | 3.69 ± 0.04 bc | 30.40 ± 0.80 d | 0.85 ± 0.03 d | 84.43 ± 2.81 a | |
| TFP | 3.79 ± 0.12 ab | 41.84 ± 1.21 c | 1.11 ± 0.02 c | 66.68 ± 3.35 c | |
| TFB | 3.80 ± 0.09 ab | 44.58 ± 0.66 c | 1.14 ± 0.04 c | 64.49 ± 3.28 cd | |
| TFPB1 | 3.81 ± 0.14 ab | 47.89 ± 2.48 b | 1.23 ± 0.04 b | 58.82 ± 3.40 d | |
| TFPB2 | 3.96 ± 0.09 a | 51.93 ± 2.59 a | 1.33 ± 0.03 a | 49.34 ± 4.07 e | |
| ANOVA | |||||
| Y | ns | ns | ns | ** | |
| T | ** | ** | ** | ** | |
| Y×T | ns | ** | ** | ** | |
| Year | Treatments | AE (kg·kg−1) | RE (%) | ||||
|---|---|---|---|---|---|---|---|
| AEN | AEP | AEK | REN | REP | REK | ||
| 2021 | CK | — | — | — | — | — | — |
| TF | 4.04 ± 0.33 c | 12.12 ± 1.00 c | 4.04 ± 0.33 c | 19.54 ± 1.09 e | 10.56 ± 0.55 d | 27.90 ± 1.82 e | |
| TFP | 4.22 ± 0.27 c | 12.66 ± 0.82 c | 4.22 ± 0.27 c | 23.87 ± 1.23 d | 11.34 ± 0.60 d | 33.96 ± 2.49 d | |
| TFB | 6.70 ± 0.80 b | 20.11 ± 2.41 b | 6.70 ± 0.80 b | 31.27 ± 2.04 c | 15.17 ± 0.77 c | 40.55 ± 2.76 c | |
| TFPB1 | 7.72 ± 0.62 a | 23.15 ± 1.85 a | 7.72 ± 0.62 a | 36.89 ± 1.47 b | 19.08 ± 0.28 b | 47.54 ± 1.90 b | |
| TFPB2 | 8.64 ± 0.38 a | 25.92 ± 1.13 a | 8.64 ± 0.38 a | 41.30 ± 0.55 a | 20.95 ± 1.07 a | 52.37 ± 0.42 a | |
| 2022 | CK | — | — | — | — | — | — |
| TF | 4.85 ± 0.28 e | 14.54 ± 0.85 e | 4.85 ± 0.28 e | 13.93 ± 0.82 e | 9.78 ± 0.94 e | 20.77 ± 1.74 e | |
| TFP | 7.52 ± 0.57 d | 22.55 ± 1.70 d | 7.52 ± 0.57 d | 24.01 ± 1.71 d | 16.60 ± 1.76 d | 35.59 ± 1.07 d | |
| TFB | 8.57 ± 0.64 c | 25.70 ± 1.93 c | 8.57 ± 0.64 c | 31.71 ± 1.01 c | 22.21 ± 1.37 c | 43.16 ± 1.84 c | |
| TFPB1 | 9.74 ± 0.18 b | 29.21 ± 0.55 b | 9.74 ± 0.18 b | 37.37 ± 0.82 b | 26.63 ± 2.00 b | 51.06 ± 1.63 b | |
| TFPB2 | 10.70 ± 0.53 a | 32.10 ± 1.58 a | 10.70 ± 0.53 a | 43.51 ± 1.30 a | 33.99 ± 1.50 a | 55.57 ± 0.83 a | |
| ANOVA | |||||||
| Y | ** | ** | ** | ns | ** | ns | |
| T | ** | ** | ** | ** | ** | ** | |
| Y×T | ** | ** | ** | ** | ** | ** | |
| Year | Treatments | OV (CNY·ha−1) | FV (CNY·ha−1) | NEI (CNY·ha−1) |
|---|---|---|---|---|
| 2021 | CK | 24,990 ± 1829 e | — | 24,990 ± 1829 d |
| TF | 46,799 ± 2778 d | 5250 | 41,549 ± 2778 c | |
| TFP | 47,778 ± 2409 d | 5550 | 42,228 ± 2409 c | |
| TFB | 61,185 ± 2686 c | 8250 | 52,935 ± 2686 b | |
| TFPB1 | 66,659 ± 3238 b | 8550 | 58,109 ± 3238 a | |
| TFPB2 | 71,638 ± 2897 a | 11850 | 59,788 ± 2897 a | |
| 2022 | CK | 15,737 ± 1433 f | — | 15,737 ± 1433 d |
| TF | 41,903 ± 815 e | 5250 | 36,653 ± 815 c | |
| TFP | 56,332 ± 1663 d | 5550 | 50,782 ± 1663 b | |
| TFB | 62,004 ± 3430 c | 8250 | 53,754 ± 3430 b | |
| TFPB1 | 68,324 ± 1845 b | 8550 | 59,774 ± 1845 a | |
| TFPB2 | 73,514 ± 3301 a | 11850 | 61,664 ± 3301 a | |
| ANOVA | ||||
| Y | ns | — | ns | |
| T | ** | — | ** | |
| Y×T | ** | — | ** | |
Disclaimer/Publisher’s Note: The statements, opinions and data contained in all publications are solely those of the individual author(s) and contributor(s) and not of MDPI and/or the editor(s). MDPI and/or the editor(s) disclaim responsibility for any injury to people or property resulting from any ideas, methods, instructions or products referred to in the content. |
© 2023 by the authors. Licensee MDPI, Basel, Switzerland. This article is an open access article distributed under the terms and conditions of the Creative Commons Attribution (CC BY) license (https://creativecommons.org/licenses/by/4.0/).
Share and Cite
Zhang, M.; Liu, Y.; Wei, Q.; Gou, J.; Liu, L.; Gu, X.; Wang, M. The Co-Application of PGPR and Biochar Enhances the Production Capacity of Continuous Cropping Peppers in the Karst Yellow Soil Region of Southwest China. Horticulturae 2023, 9, 1104. https://doi.org/10.3390/horticulturae9101104
Zhang M, Liu Y, Wei Q, Gou J, Liu L, Gu X, Wang M. The Co-Application of PGPR and Biochar Enhances the Production Capacity of Continuous Cropping Peppers in the Karst Yellow Soil Region of Southwest China. Horticulturae. 2023; 9(10):1104. https://doi.org/10.3390/horticulturae9101104
Chicago/Turabian StyleZhang, Meng, Yanling Liu, Quanquan Wei, Jiulan Gou, Lingling Liu, Xiaofeng Gu, and Ming Wang. 2023. "The Co-Application of PGPR and Biochar Enhances the Production Capacity of Continuous Cropping Peppers in the Karst Yellow Soil Region of Southwest China" Horticulturae 9, no. 10: 1104. https://doi.org/10.3390/horticulturae9101104
APA StyleZhang, M., Liu, Y., Wei, Q., Gou, J., Liu, L., Gu, X., & Wang, M. (2023). The Co-Application of PGPR and Biochar Enhances the Production Capacity of Continuous Cropping Peppers in the Karst Yellow Soil Region of Southwest China. Horticulturae, 9(10), 1104. https://doi.org/10.3390/horticulturae9101104

