Effect of EC Levels of Nutrient Solution on Glasswort (Salicornia perennis Mill.) Production in Floating System
Abstract
1. Introduction
2. Materials and Methods
2.1. Test Site, Plant Material and Growing Conditions
2.2. Nutrient Solution and Treatments
2.3. Measurements and Calculations
2.4. Experimental Design and Statistical Analysis
3. Results and Discussion
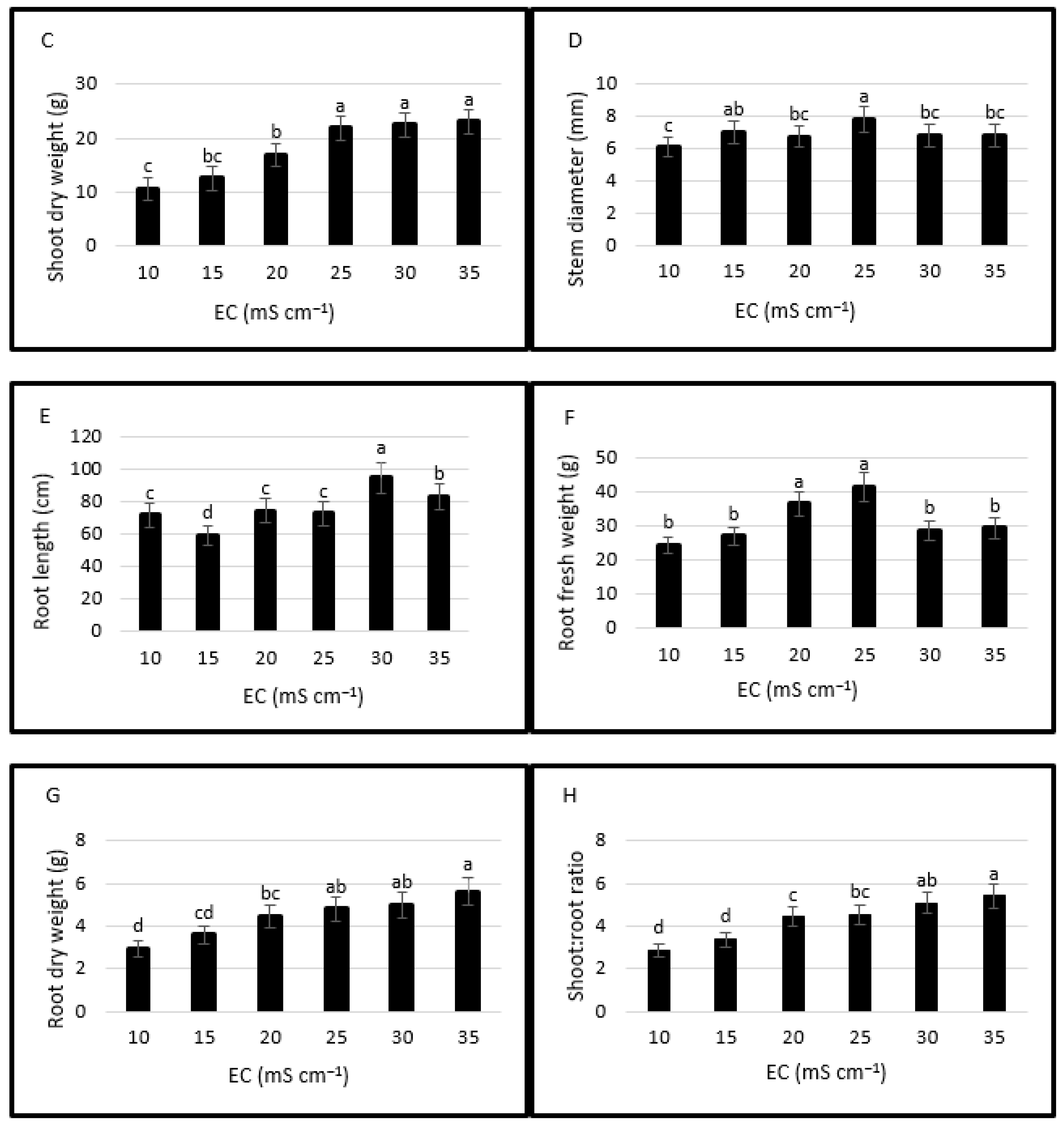
3.1. Plant Growth
3.2. Fresh Biomass
3.3. Evapotranspiration
3.4. Color
3.5. Shoot Mineral Content
4. Conclusions
Author Contributions
Funding
Institutional Review Board Statement
Informed Consent Statement
Data Availability Statement
Conflicts of Interest
References
- UN—United Nations, Department of Economic and Social Affairs, Population Division. World Population Prospects. Highlights (ST/ESA/SER.A/423). 2019. Available online: https://population.un.org/wpp/publications/files/wpp2019_highlights.pdf (accessed on 21 February 2023).
- Marondedze, C.; Liu, X.; Huang, S.; Wong, C.; Zhou, X.; Pan, X.; An, H.; Xu, N.; Tian, X.; Wong, A. Towards a tailored indoor horticulture: A functional genomics guided phenotypic approach. Hortic. Res. 2018, 5, 68. [Google Scholar] [CrossRef]
- Arora, N.K. Impact of climate change on agriculture production and its sustainable solutions. Environ. Sustain. 2019, 2, 95–96. [Google Scholar] [CrossRef]
- Mukhopadhyay, R.; Sarkar, B.; Jat, H.S.; Sharma, P.C.; Bolan, N.S. Soil salinity under climate change: Challenges for sustainable agriculture and food security. J. Environ. Manag. 2021, 280, 111736. [Google Scholar] [CrossRef]
- Jamil, A.; Riaz, S.; Ashraf, M.; Foolad, M.R. Gene Expression profiling of plants under salt stress. Crit. Rev. Plant Sci. 2011, 30, 435–458. [Google Scholar] [CrossRef]
- Shrivastava, P.; Kumar, R. Soil salinity: A serious environmental issue and plant growth promoting bacteria as one of the tools for its alleviation. Saudi J. Biol. Sci. 2015, 22, 123–131. [Google Scholar] [CrossRef] [PubMed]
- Butcher, K.; Wick, A.F.; DeSutter, T.; Chatterjee, A.; Harmon, J. Soil Salinity: A Threat to Global Food Security. Agron. J. 2016, 108, 2189–2200. [Google Scholar] [CrossRef]
- Ullah, A.; Bano, A.; Khan, N. Climate change and salinity effects on crops and chemical communication between plants and plant growth-promoting microorganisms under stress. Front. Sustain. Food Syst. 2021, 5, 618092. [Google Scholar] [CrossRef]
- Isayenkov, S.V.; Maathuis, F.J.M. Plant salinity stress: Many unanswered questions remain. Front. Plant Sci. 2019, 10, 80. [Google Scholar] [CrossRef]
- Hassani, A.; Azapagic, A.; Shokri, N. Global predictions of primary soil salinization under changing climate in the 21st century. Nat. Commun. 2021, 12, 6663. [Google Scholar] [CrossRef]
- Mishra, A.; Tanna, B. Halophytes: Potential resources for salt stress tolerance genes and promoters. Front. Plant Sci. 2017, 8, 829. [Google Scholar] [CrossRef]
- Hasanuzzaman, M.; Nahar, K.; Alam, M.; Bhowmik, P.C.; Hossain, A.; Rahman, M.M.; Prasad, M.N.V.; Ozturk, M.; Fujita, M. Potential use of halophytes to remediate saline soils. BioMed Res. Int. 2014, 2014, 589341. [Google Scholar] [CrossRef] [PubMed]
- Behera, S.S.; Ramachandran, S. Chapter 15—Potential uses of halophytes for biofuel production: Opportunities and challenges. In Sustainable Biofuel; Elsevier: Amsterdam, The Netherlands, 2021; pp. 425–448. [Google Scholar]
- Flowers, T.J.; Colmer, T.D. Salinity tolerance in halophytes. New Phytol. 2008, 179, 945–963. [Google Scholar] [CrossRef]
- Cárdenas-Pérez, S.; Piernik, A.; Chanona-Pérez, J.J.; Grigore, M.N.; Perea-Flores, M.J. An overview of the emerging trends of the Salicornia L. genus as a sustainable crop. Environ. Exp. Bot. 2021, 191, 104606. [Google Scholar] [CrossRef]
- Lv, S.; Jiang, P.; Chen, X.; Fan, P.; Wang, X.; Li, Y. Multiple compartmentalization of sodium conferred salt tolerance in Salicornia europaea. Plant Physiol. Biochem. 2012, 51, 47–52. [Google Scholar] [CrossRef]
- Kadereit, G.; Ball, P.; Beer, S.; Mucina, L.; Sokoloff, D.; Teege, P.; Yaprak, A.E.; Freitag, H. A taxonomic nightmare comes true: Phylogeny and biogeography of glassworts (Salicornia L., Chenopodiaceae). Taxon 2007, 56, 1143–1170. [Google Scholar] [CrossRef]
- Steffen, S.; Ball, P.; Mucina, L.; Kadereit, G. Phylogeny, biogeography and ecological diversification of Sarcocornia (Salicornioideae, Amaranthaceae). Ann. Bot. 2015, 115, 353–368. [Google Scholar] [CrossRef]
- Custódio, L.; Rodrigues, M.J.; Pereira, C.G.; Castañeda-Loaiza, V.; Fernandes, E.; Standing, D.; Sagi, M. A review on Sarcocornia species: Ethnopharmacology, nutritional properties, phytochemistry, biological activities and propagation. Foods 2021, 10, 2778. [Google Scholar] [CrossRef] [PubMed]
- Loconsole, D.; Cristiano, G.; De Lucia, B. Glassworts: From wild salt marsh species to sustainable edible crops. Agriculture 2019, 9, 14. [Google Scholar] [CrossRef]
- Patel, S. Salicornia: Evaluating the halophytic extremophile as a food and a pharmaceutical candidate. 3 Biotech 2016, 6, 104. [Google Scholar] [CrossRef]
- Guil, J.L.; Rodríguez-Garcí, I.; Torija, E. Nutritional and toxic factors in selected wild edible plants. Plant Foods Hum. Nutr. 1997, 51, 99–107. [Google Scholar] [CrossRef]
- Rodríguez-Ramos, F.; Leiva-Portilla, D.; Rodríguez-Núñez, K.; Pacheco, P.; Briones-Labarca, V. Mathematical modeling and quality parameters of Salicornia fruticosa dried by convective drying. J. Food Sci. Technol. 2021, 58, 474–483. [Google Scholar] [CrossRef] [PubMed]
- Tünek, M. Investigation of Antioxidant Parameters and Antimicrobial Properties of Glasswort (Sarcocornia perennis L.). Master’s Thesis, Department of Chemistry, Science Science Institute, Adnan Menderes University, Aydın, Türkiye, 2015. [Google Scholar]
- Ventura, Y.; Wuddineh, W.A.; Shpigel, M.; Samocha, T.M.; Klim, B.C.; Cohen, S.; Sagi, M. Effects of day length on flowering and yield production of Salicornia and Sarcocornia species. Sci. Hortic. 2011, 130, 510–516. [Google Scholar] [CrossRef]
- Rodendo-Gomez, S.; Wharmby, C.; Castillo, J.M.; Mateos-Naranjo, E.; Luque, C.J.; de Cires, A.; Luque, T.; Davy, A.J.; Figueroa, M.E. Growth and photosynthetic responses to salinity in anextreme halophyte, Sarcocornia fruticose. Physiol. Plant. 2006, 128, 116–124. [Google Scholar] [CrossRef]
- Duman, A.B. The Investigation of Glasswort (Salicornia europea) Cultuvation Possibilities under Different Saline Conditions. Master’s Thesis, Department of Horticulture, Graduate School of Natural and Applied Sciences, Namık Kemal University, Tekirdağ, Türkiye, 2009. [Google Scholar]
- Lima, A.R.; Castaneda-Loaiza, V.; Salazar, M.; Nunes, C.; Quintas, C.; Gama, F.; Barreira, L. Influence of cultivation salinity in the nutritional composition, antioxidant capacity and microbial quality of Salicornia ramosissima commercially produced in soilless systems. Food Chem. 2020, 333, 127525. [Google Scholar] [CrossRef]
- Araus Ortega, J.L.; Rezzouk, F.Z.; Thushar, S.; Shahid, M.; Elouafi, I.A.; Bort Pie, J.; Serret Molins, M.D. Effect of irrigation salinity and ecotype on the growth, physiological indicators and seed yield and quality of Salicornia europaea. Plant Sci. 2021, 304, 110819. [Google Scholar] [CrossRef]
- Abdal, M.S. Salicornia Production in Kuwait. World Appl. Sci. J. 2009, 6, 1033–1038. [Google Scholar]
- Ventura, Y.; Wuddineh, W.A.; Myrzabayeva, M.; Alikulov, Z.; Khozin-Goldberg, I.; Shpigel, M.; Sagi, M. Effect of seawater concentration on the productivity and nutritional value of annual Salicornia and perennial Sarcocornia halophytes as leafy vegetable crops. Sci. Hortic. 2011, 128, 189–196. [Google Scholar] [CrossRef]
- Ventura, Y.; Sagi, M. Halophyte crop cultivation: The case for Salicornia and Sarcocornia. Environ. Exp. Bot. 2013, 92, 144–153. [Google Scholar] [CrossRef]
- Garza-Torres, R.; Troyo-Diéguez, E.; Nieto-Garibay, A.; Lucero-Vega, G.; Magallón-Barajas, F.J.; García-Galindo, E.; Fimbres-Acedo, Y.; Murillo-Amador, B. Environmental and management considerations for adopting the halophyte Salicornia bigelovii Torr. as a sustainable seawater-irrigated crop. Sustainability 2020, 12, 707. [Google Scholar] [CrossRef]
- Bianciotto, O.; Aras Martin, F.; Arce, M.E.; Selzer, L.; Ortega Garcia, J.; Paoulo, G.; Cardenas, L.A.G.; Robledo, A.; Rueda Puento, E.O. Farming with drip sea water irrigation for Salicornia production in Tierra del Fuego, Argentina. Biotecnia 2021, 23, 77–85. [Google Scholar] [CrossRef]
- Grattan, S.R.; Benes, S.E.; Grattan, S.R.; Benes, S.E.; Peters, D.W.; Diaz, F. Feasibility of irrigating pickleweed (Salicornia bigelovii Torr) with hyper-saline drainage water. J. Environ. Qual. 2008, 37, S-149–S-156. [Google Scholar] [CrossRef]
- Shahid, M.; Jaradat, A.A.; Rao, N.K. Use of marginal water for Salicornia bigelovii Torr. Planting in the United Arab Emirates. In Developments in Soil Salinity Assessment and Reclamation: Innovative Thinking and Use of Marginal Soil and Water Resources in Irrigated Agriculture; Springer: Berlin/Heidelberg, Germany, 2013; pp. 451–462. [Google Scholar]
- Singh, A.; Sharma, S.; Shah, M.T. Successful cultivation of Salicornia brachiata—A sea asparagus utilizing ro reject water: A sustainable solution. Int. J. Waste Resour. 2018, 8, 1–5. [Google Scholar] [CrossRef]
- Lu, D.; Zhang, M.; Wang, S.; Cai, J.; Zhou, X.; Zhu, C. Nutritional characterization and changes in quality of Salicornia bigelovii Torr. during storage. LWT—Food Sci. Technol. 2010, 43, 519–524. [Google Scholar] [CrossRef]
- Antunes, M.D.; Gago, C.; Guerreiro, A.; Sousa, A.R.; Julião, M.; Miguel, M.G.; Panagopoulos, T. Nutritional characterization and storage ability of Salicornia ramosissima and Sarcocornia perennis for fresh vegetable salads. Horticulturae 2021, 7, 6. [Google Scholar] [CrossRef]
- Rhee, M.H.; Park, H.-J.; Cho, J.Y. Salicornia herbacea: Botanical, chemical and pharmacological review of halophyte marsh plant. J. Med. Plants Res. 2009, 3, 548–555. [Google Scholar]
- Kim, J.Y.; Cho, J.Y.; Ma, Y.K.; Park, K.Y.; Lee, S.H.; Ham, K.S.; Lee, H.J.; Park, K.H.; Moon, J.H. Dicaffeoylquinic acid derivatives and flavonoid glucosides from glasswort (Salicornia herbacea L.) and their antioxidative activity. Food Chem. 2011, 125, 55–62. [Google Scholar] [CrossRef]
- Bertin, L.R.; Maltez, H.F.; de Gois, J.S.; Borges, D.L.G.; Borges, G.S.C.; Gonzaga, L.V.; Fett, R. Mineral composition and bioaccessibility in Sarcocornia ambigua using ICP-MS. J. Food Compos. Anal. 2016, 47, 45–51. [Google Scholar] [CrossRef]
- Akcin, T.A.; Akcin, A.; Yalcın, E. Anatomical changes induced by salinity stress in Salicornia freitagii (Amaranthaceae). Braz. J. Bot. 2017, 40, 1013–1018. [Google Scholar] [CrossRef]
- Al-Yamani, W.; Kennedy, S.; Sgouridis, S.; Yousef, L.F. A land suitability study for the sustainable cultivation of the halophyte Salicornia bigelovii: The case of Abu Dhabi, UAE. Arid Land Res. Manag. 2013, 27, 349–360. [Google Scholar] [CrossRef]
- Cárdenas-Pérez, S.; Piernik, A.; Ludwiczak, A.; Duszyn, M.; Szmidt-Jaworska, A.; Chanona-Pérez, J.J. Image and fractal analysis as a tool for evaluating salinity growth response between two Salicornia europaea populations. BMC Plant Biol. 2020, 20, 1–14. [Google Scholar] [CrossRef]
- Muscolo, A.; Panuccio, M.R.; Piernik, A. Ecology, distribution and ecophysiology of Salicornia europaea L. In Sabkha Ecosystems: Volume IV: Cash Crop Halophyte and Biodiversity Conservation; Springer: Berlin/Heidelberg, Germany, 2014; pp. 233–240. [Google Scholar]
- Ventura, Y.; Eshel, A.; Pasternak, D.; Sagi, M. The development of halophyte-based agriculture: Past and present. Ann. Bot. 2015, 115, 529–540. [Google Scholar] [CrossRef] [PubMed]
- Ozturk, M.; Altay, V.; Orçen, N.; Yaprak, A.E.; Tuğ, G.N.; Güvensen, A. A little-known and a little-consumed natural resource: Salicornia. In Global Perspectives on Underutilized Crops; Springer: Berlin/Heidelberg, Germany, 2018; pp. 83–108. [Google Scholar]
- Buhmann, A.; Papenbrock, J. Biofiltering of aquaculture effluents by halophytic plant plants: Basic principles, current issues and future perspectives. Environ. Exp. Bot. 2013, 92, 122–133. [Google Scholar] [CrossRef]
- Singh, D.; Buhmann, A.K.; Flowers, T.J.; Seal, C.E.; Papenbrock, J. Salicornia as a crop plant in temperate regions: Selection of genetically characterized ecotypes and optimization of their cultivation conditions. AoB Plants 2014, 6, plu071. [Google Scholar] [CrossRef]
- Barroca, M.J.; Guiné, R.P.; Amado, A.M.; Ressurreição, S.; da Silva, A.M.; Marques, M.P.M.; de Carvalho, L.A.E. The drying process of Sarcocornia perennis: Impact on nutritional and physico-chemical properties. J. Food Sci. Technol. 2020, 57, 4443–4458. [Google Scholar] [CrossRef]
- Hoagland, D.R.; Arnon, D.I. The water-culture method for growing plants without soil. In Circular; California Agricultural Experiment Station: Davis, CA, USA, 1950; Volume 347, p. 32. [Google Scholar]
- Zhang, H.; Xiong, Y.; Huang, G.; Xu, X.; Huang, Q. Effects of water stress on processing tomatoes yield, quality and water use efficiency with plastic mulched drip irrigation in sandy soil of the Hetao Irrigation District. Agric. Water Manag. 2017, 179, 205–214. [Google Scholar] [CrossRef]
- Kacar, B. Bitki ve Toprağın Kimyasal Analizleri III; Ankara Üniversitesi Ziraat Fakültesi Eğitim, Araştırma ve Geliştirme Vakfı Yayınları: Ankara, Türkiye, 1995; No: 3; p. 705. [Google Scholar]
- Yaprak, A.E. Sarcocornia obclavata (Amaranthaceae) a new species from Türkiye. Phytotaxa 2012, 49, 55–60. [Google Scholar] [CrossRef]
- González-Orenga, S.; Llinares, J.V.; Al Hassan, M.; Fita, A.; Collado, F.; Lisón, P. Physiological and morphological characterisation of Limonium species in their natural habitats, insights into their abiotic stress responses. Plant Soil 2020, 449, 267–284. [Google Scholar] [CrossRef]
- Wang, S.; Zhao, Z.; Ge, S.; Peng, B.; Zhang, K.; Hu, M.; Mai, W.; Tian, C. Root morphology and rhizosphere characteristics are related to salt tolerance of Suaeda salsa and Beta vulgaris L. Front. Plant Sci. 2021, 12, 677767. [Google Scholar] [CrossRef] [PubMed]
- Moatabarniya, S.; Rad, A.C.; Sima, N.A.K.; Askari, H.; Zeinalabedini, M.; Hesarkhani, Z.; Ghaffari, M.R. Morphological and anatomical changes of Salicornia roots are associated with different salinity and nutrients conditions in contrasting genotypes. Rhizosphere 2022, 24, 100629. [Google Scholar] [CrossRef]
- Ungar, I.A.; Benner, D.K.; McGraw, D.C. The distribution and growth of Salicornia europaea on an inland salt pan. Ecology 1979, 60, 329–336. [Google Scholar] [CrossRef]
- Riehl, T.E.; Ungar, I.A. Growth and ion accumulation in Salicornia europaea under saline field conditions. Oecologia 1982, 54, 193–199. [Google Scholar] [CrossRef]
- Yucel, C.; Farhan, M.; Khairo, A.; Ozer, G.; Cetin, M.; Ortas, I.; Islam, K. Evaluating Salicornia as a potential forage crop to remediate high groundwater-table saline soil under continental climates. Int. J. Plant Soil Sci. 2017, 16, 1–10. [Google Scholar] [CrossRef]
- Agawu, E.T. Comparison between Salicornia and Sarcocornia Ecotypes to Optimize Yield for Vegetable Production Applying Highly Saline Irrigation. Master’s Thesis, Ben-Gurion University of the Negev, the Jacob Blaustein Institutes for Desert Research, The Albert Katz International School for Desert Studies, Beersheba, Israel, 2012. [Google Scholar]
- ICBA—International Center for Biosaline Agriculture. ICBA Achieves Progress in Breaking Salicornia Yield Ceiling. 2018. Available online: https://www.biosaline.org/news/2018-05-10-6466 (accessed on 21 February 2023).
- Zapata-Sifuentes, G.; Preciado-Rangel, P.; Guillén-Enríquez, R.R.; Bernal, F.S.; Holguin-Peña, R.J.; Borbón-Morales, C.; Rueda-Puente, E.O. Lipid and Yield Evaluation in Salicornia bigelovii by the Influence of Chitosan-IBA, in Conditions of the Sonora Desert. Agronomy 2021, 11, 428. [Google Scholar] [CrossRef]
- Pandya, J.B.; Gohil, R.H.; Patolia, J.S.; Shah, M.T.; Parmar, D.R. A study on Salicornia (S. brachiata Roxb.) in salinity ingressed soils of India. Int. J. Agric. Res. 2006, 1, 91–99. [Google Scholar] [CrossRef]
- Lombardi, T.; Bertacchi, A.; Pistelli, L.; Pardossi, A.; Pecchia, S.; Toffanin, A.; Sanmartin, C. Biological and agronomic traits of the main halophytes widespread in the Mediterranean region as potential new vegetable crops. Horticulturae 2022, 8, 195. [Google Scholar] [CrossRef]
- Rathore, A.P.; Chaudhary, D.R.; Jha, B. Biomass production, nutrient cycling, and carbon fixation by Salicornia brachiata Roxb.: A promising halophyte for coastal saline soil rehabilitation. Int. J. Phytoremediat. 2016, 18, 801–811. [Google Scholar] [CrossRef]
- Khan, M.A.; Gul, B.; Weber, D.J. Effect of salinity on the growth and ion content of Salicornia rubra. Commun. Soil Sci. Plant Anal. 2001, 32, 2965–2977. [Google Scholar] [CrossRef]
- Kong, Y.; Zheng, Y. Potential of Producing Salicornia bigelovii hydroponically as a vegetable at moderate NaCl salinity. HortScience 2014, 49, 1154–1157. [Google Scholar] [CrossRef]
- Park, K.W.; An, J.Y.; Lee, H.J.; Son, D.; Sohn, Y.G.; Kim, C.; Lee, J.J. The growth and accumulation of osmotic solutes of the halophyte common glasswort (Salicornia europaea) under salinity conditions. J. Aquat. Plant Manag. 2013, 51, 103–108. [Google Scholar]
- Algharib, A.M.; Orçen, N.; Nazarian, G.R. Effect of salt stress on plant growth and physiological parameters of common glasswort (Salicornia europaea). Int. J. Biosci. 2016, 8, 218–227. [Google Scholar]
- Boni, A. Uno Studio Sulla Coltura Idroponica e la Conservazione Post-Raccolta Della Salicornia europaea. Scienze Agrarie, Alimentari E Agro-Ambientali. Master’s Thesis, University of Pisa, Pisa, Italy, 2023. [Google Scholar]
- Chaudhary, D.R.; Rathore, A.P.; Jha, B. Aboveground, belowground biomass and nutrients pool in Salicornia brachiata at coastal area of India: Interactive effects of soil characteristics. Ecol. Res. 2018, 33, 1207–1218. [Google Scholar] [CrossRef]
- Allen, R.G.; Pereira, L.S.; Raes, D.; Smith, M. Crop Evapotranspiration—Guidelines for Computing Crop Water Requirements; FAO Irrigation and Drainage Paper 56; FAO: Rome, Italy, 1998; Volume 300, p. D05109. [Google Scholar]
- Miceli, A.; Moncada, A.; Sabatino, L.; Vetrano, F. Effect of gibberellic acid on growth, yield, and quality of leaf lettuce and rocket grown in a floating system. Agronomy 2019, 9, 382. [Google Scholar] [CrossRef]
- Amiri, B.; Assareh, M.H.; Rasuoli, B.; Arzani, H.; Jafari, A.A. Effect of salinity on growth, ion content and water status of glasswort (Salicornia herbacea L.). Casp. J. Environ. Sci. 2010, 8, 79–87. [Google Scholar]
- Itle, R.A.; Kabelka, E.A. Correlation between L* a* b* color space values and carotenoid content in pumpkins and squash (Cucurbita spp.). HortScience 2009, 44, 633–637. [Google Scholar] [CrossRef]
- Al-Jaloud, A.A.; Al-Saiady, M.Y.; Assaeed, A.M.; Chaudhary, S.A. Some halophyte plants of Saudi Arabia, their composition and relation to soil properties. Pak. J. Biol. Sci. 2001, 5, 531–534. [Google Scholar]
- Altay, A.; Celep, G.S.; Yaprak, A.E.; Baskose, I.; Bozoglu, F. Glassworts as possible anticancer agents against human colorectal adenocarcinoma cells with their nutritive, antioxidant and phytochemical profiles. Chem. Biodivers. 2017, 14, e1600290. [Google Scholar] [CrossRef]
- Ushakova, S.A.; Kovaleva, N.P.; Gribovskaya, I.V.; Dolgushev, V.A.; Tikhomirova, N.A. Effect of NaCl concentration on productivity and mineral composition of Salicornia europaea as a potential crop for utilization NaCl in LSS. Adv. Space Res. 2005, 36, 1349–1353. [Google Scholar] [CrossRef]
- Lopes, M.; Roque, M.J.; Cavaleiro, C.; Ramos, F. Nutrient value of Salicornia ramosissima—A green extraction process for mineral analysis. J. Food Compos. Anal. 2021, 104, 104135. [Google Scholar] [CrossRef]
- Kiyas, U. The Effects of Different Salt and Leonardit Applications on Seedling Growth of Common Beans (Phaseolus vulgaris L.). Master’s Thesis, Department of Field Crops, Graduate School of Natural and Applied Sciences, Bingöl University, Bingöl, Türkiye, 2020. [Google Scholar]





| Ions | Value | Ions | Value |
|---|---|---|---|
| Nitrate (NO3−) (mg L−1) | 14.69 | Iron (Fe) (µg L−1) | - |
| Potassium (K) (mg L−1) | 0.75 | Mangane (Mn) (µg L−1) | - |
| Phosphorus (P) (mg L−1) | 0.045 | Zinc (Zn) (µg L−1) | 13.51 |
| Calcium (Ca) (mg L−1) | 44.89 | Copper (Cu) (µg L−1) | 3.098 |
| Magnesium (Mg) (mg L−1) | 29.17 | Borium (B) (µg L−1) | 12.15 |
| Sodium (Na) (mg L−1) | 0.75 | Fluoride (F−) (mg L−1) | 0.30 |
| Chlor (Cl) (mg L−1) | 7.93 | Sulphate (SO4−2) (mg L−1) | 37.05 |
| Treatment (mS cm−1) | Evapotranspiration | WUE |
|---|---|---|
| 10 | 6.89 | 11.71 b |
| 15 | 8.02 | 11.2 b |
| 20 | 8.42 | 16.49 a |
| 25 | 10.90 | 14.84 ab |
| 30 | 8.64 | 14.82 ab |
| 35 | 9.27 | 16.49 a |
| Significance | 0.020 * |
| Treatment (mS cm−1) | L* | a* | b* | C* | h° |
|---|---|---|---|---|---|
| 10 | 32.28 | −1.84 | 15.51 a | 15.67 a | 96.95 |
| 15 | 31.76 | −2.42 | 13.74 ab | 14.03 ab | 100.18 |
| 20 | 30.56 | −1.97 | 12.08 b | 12.36 b | 105.77 |
| 25 | 32.09 | −1.79 | 14.36 ab | 14.51 ab | 97.60 |
| 30 | 31.24 | −2.36 | 12.38 b | 12.77 b | 101.75 |
| 35 | 32.94 | −1.89 | 13.61 ab | 13.90 ab | 105.04 |
| Significance * | n.s. | n.s. | *** | *** | n.s. |
| (a) | ||||||
| Treatment (mS cm−1) | Na (%) | K (%) | Na+/K+ Ratio | Cl (%) | Salt Concentrations (%, Dry Sample) | |
| 10 | 10.34 b | 4.87 a | 2.12 c | 14.20 e | 23.40 e | |
| 15 | 10.95 b | 4.43 b | 2.48 c | 15.98 d | 26.33 d | |
| 20 | 15.74 a | 4.30 bc | 3.67 b | 23.79 c | 39.20 c | |
| 25 | 16.95 a | 4.13 cd | 4.10 ab | 31.60 b | 52.07 b | |
| 30 | 16.68 a | 4.11 cd | 4.06 ab | 32.31 ab | 53.24 b | |
| 35 | 17.53 a | 3.97 d | 4.42 a | 33.73 a | 55.58 a | |
| Significance | *** | *** | *** | *** | *** | |
| (b) | ||||||
| Treatment (mS cm−1) | Mg (mg kg−1) | P (mg kg−1) | Ca (mg kg−1) | Fe (mg kg−1) | Mn (mg kg−1) | Zn (mg kg−1) |
| 10 | 5833 ± 27.5 a | 1941 ± 34.3 a | 1683.18 f | 68.1 ± 0.65 a | 72.42 ± 0.301 a | 41.09 ± 0.968 a |
| 15 | 5231 ± 39.78 b | 1776 ± 21.14 b | 1848.90 d | 61.04 ± 0.831 b | 47.84 ± 0.445 d | 29.07 ± 0.243 c |
| 20 | 4873 ± 24.01 c | 1538 ± 75.98 c | 2037.54 a | 46.64 ± 0.565 e | 61.39 ± 0.755 b | 27.61 ± 0.233 c |
| 25 | 4016 ± 9.64 e | 1418 ± 61.42 d | 2001.50 b | 52.47 ± 0.628 d | 73.04 ± 0.346 a | 32.34 ± 0.352 b |
| 30 | 4236 ± 14.09 d | 1537 ± 33.1 c | 1825.95 e | 55.83 ± 0.575 c | 47.61 ± 0.134 d | 23.94 ± 0.455 d |
| 35 | 3559 ± 13.06 f | 1318 ± 56.92 e | 1869.09 c | 47.69 ± 0.465 e | 51.46 ± 0.135 c | 25 ± 0.25 d |
| Significance | *** | *** | *** | *** | *** | *** |
Disclaimer/Publisher’s Note: The statements, opinions and data contained in all publications are solely those of the individual author(s) and contributor(s) and not of MDPI and/or the editor(s). MDPI and/or the editor(s) disclaim responsibility for any injury to people or property resulting from any ideas, methods, instructions or products referred to in the content. |
© 2023 by the authors. Licensee MDPI, Basel, Switzerland. This article is an open access article distributed under the terms and conditions of the Creative Commons Attribution (CC BY) license (https://creativecommons.org/licenses/by/4.0/).
Share and Cite
Okudur, E.; Tuzel, Y. Effect of EC Levels of Nutrient Solution on Glasswort (Salicornia perennis Mill.) Production in Floating System. Horticulturae 2023, 9, 555. https://doi.org/10.3390/horticulturae9050555
Okudur E, Tuzel Y. Effect of EC Levels of Nutrient Solution on Glasswort (Salicornia perennis Mill.) Production in Floating System. Horticulturae. 2023; 9(5):555. https://doi.org/10.3390/horticulturae9050555
Chicago/Turabian StyleOkudur, Esra, and Yuksel Tuzel. 2023. "Effect of EC Levels of Nutrient Solution on Glasswort (Salicornia perennis Mill.) Production in Floating System" Horticulturae 9, no. 5: 555. https://doi.org/10.3390/horticulturae9050555
APA StyleOkudur, E., & Tuzel, Y. (2023). Effect of EC Levels of Nutrient Solution on Glasswort (Salicornia perennis Mill.) Production in Floating System. Horticulturae, 9(5), 555. https://doi.org/10.3390/horticulturae9050555

