Quantitatively Determine the Iron Content in the Fruit of ‘Huangguan’ Pear Using Near-Infrared Spectroscopy
Abstract
1. Introduction
2. Materials and Methods
2.1. Test Pear Fruit Samples
2.2. Near-Infrared Spectral Data Acquisition
2.3. Near-Infrared Spectroscopy Data Preprocessing
2.4. Characteristic Wavelength Extraction
2.5. Detection of the Iron Content in Pear Peel and Pulp
2.6. Establishment of a Prediction Model for the Iron Content in the Peel and Pulp of ‘Huangguan’ Pear
2.7. Model Effect Evaluation Indicators
3. Results
3.1. Analysis of the Iron Content Detection in the Peel and Pulp of ‘Huangguan’ Pear
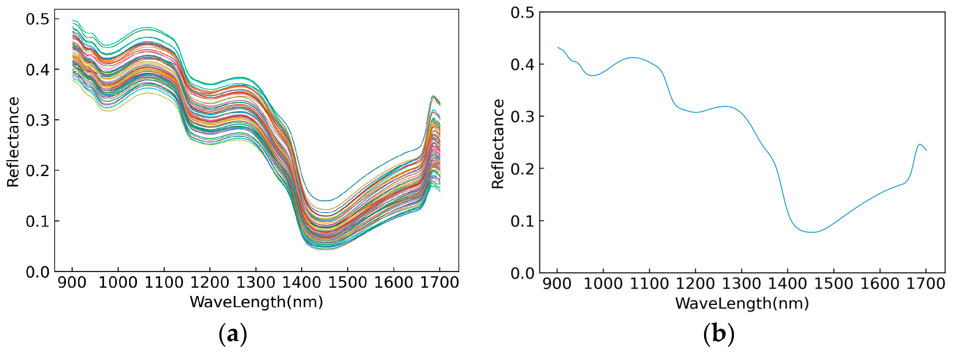
3.2. Raw Spectral Data Analysis
3.3. Analysis of Spectral Data Preprocessing Results
3.4. Full-Band Modeling
3.4.1. Full-Band Modeling of the Iron Content in the Peel of ‘Huangguan’ Pear
3.4.2. Full-Band Modeling of the Iron Content in the Pulp of ‘Huangguan’ Pear
3.5. Extraction of Characteristic Wavelengths
3.5.1. Characteristic Wavelength Extraction of the Iron Content Prediction Model for Pear Peel
3.5.2. Characteristic Wavelength Extraction of the Iron Content Prediction Model for Pear Pulp
3.6. Characteristic Wavelength Modeling
3.6.1. Based on the Characteristic Wavelength, a Model for Predicting the Iron Content in Pear Peel was Established
3.6.2. Based on the Characteristic Wavelength, a Model for Predicting the Iron Content in Pear Pulp was Established
3.7. Model Effect Evaluation
4. Discussion
5. Conclusions
Author Contributions
Funding
Institutional Review Board Statement
Informed Consent Statement
Data Availability Statement
Conflicts of Interest
References
- Higuchi, K.; Saito, A. Elucidation of efficient photosynthesis in plants with limited iron. Soil Sci. Plant Nutr. 2022, 68, 505–513. [Google Scholar] [CrossRef]
- Zhao, Y.; Liu, S.; Li, F.; Sun, M.; Liang, Z.; Sun, Z.; Yu, F.; Li, H. The low ferric chelate reductase activity and high apoplastic pH in leaves cause iron deficiency chlorosis in ‘Huangguan’ pears grafted onto quince A grown in calcareous soil. Sci. Hortic. 2023, 310, 111754. [Google Scholar] [CrossRef]
- Sorrenti, G.; Toselli, M.; Marangoni, B. Use of compost to manage Fe nutrition of pear trees grown in calcareous soil. Sci. Hortic. 2012, 136, 87–94. [Google Scholar] [CrossRef]
- Ikinci, A.; Bolat, I.; Ercisli, S.; Esitken, A. Response of Yield, Growth and Iron Deficiency Chlorosis of ‘Santa Maria’ Pear Trees on Four Rootstocks. Not. Bot. Horti Agrobot. Cluj-Napoca 2016, 44, 563–567. [Google Scholar] [CrossRef]
- Zhang, W.; Wang, X.; Lu, T.; Shi, H.; Zhao, Y. Influences of soil properties and hydrological processes on soil carbon dynamics in the cropland of North China Plain. Agric. Ecosyst. Environ. 2020, 295, 106886. [Google Scholar] [CrossRef]
- Zhao, Y.; Sun, M.; Liang, Z.; Li, H.; Yu, F.; Liu, S. Analysis of contrast iron chlorosis tolerance in the pear cv. ‘Huangguan’ grafted onto pyres betulifolia and quince A grown in calcareous soils. Sci. Hortic. 2020, 271, 109488. [Google Scholar] [CrossRef]
- Jia, B.; Chang, X.; Fu, Y.; Heng, W.; Ye, Z.; Liu, P.; Liu, L.; Al Shoffe, Y.; Watkins, C.B.; Zhu, L. Metagenomic analysis of rhizosphere microbiome provides insights into occurrence of iron deficiency chlorosis in field of Asian pears. BMC Microbiol. 2022, 22, 18. [Google Scholar] [CrossRef]
- Wang, X.-Z.; Chang, Y.-Y.; Chen, Y.; Wu, H.-L.; Wang, T.; Ding, Y.-J.; Yu, R.-Q. Geographical origin traceability of medicine food homology species based on an extract-and-shoot inductively coupled plasma mass spectrometry method and chemometrics. Microchem. J. 2022, 183, 107937. [Google Scholar] [CrossRef]
- Li, C.; Cui, Z.-H.; Li, Z.; Gao, L.; Zhang, C.-Y.; Li, D.-X.; Zhang, Z.-M.; Huang, X.-Z. Determination of Mineral Elements in Nanyang Mugwort (Artemisia argyi) Leaves Harvested from Different Crops by Inductively Coupled Plasma Mass Spectrometry and Inductively Coupled Plasma Atomic Emission Spectrometry. Chem. Pharm. Bull. 2021, 69, 411–413. [Google Scholar] [CrossRef]
- Zhang, J.; Yuan, T.; Wang, Y.; Zhao, Y.; Zhang, J.; Jin, H. Determination of Mineral Elements in Gentiana rigescens from Different Zones of Yunnan, China. Biol. Trace Elem. Res. 2012, 147, 329–333. [Google Scholar] [CrossRef]
- Rossa, U.B.; Angelo, A.C.; Nisgoski, S.; Westphalen, D.J.; Tobaldini Frizon, C.N.; Hoffmann-Ribani, R. Application of the NIR Method to Determine Nutrients in Yerba Mate (Ilex paraguariensis A. St.-Hill) Leaves. Commun. Soil Sci. Plant Anal. 2015, 46, 2323–2331. [Google Scholar] [CrossRef]
- Mir-Marques, A.; Martinez-Garcia, M.; Garrigues, S.; Luisa Cervera, M.; de la Guardia, M. Green direct determination of mineral elements in artichokes by infrared spectroscopy and X-ray fluorescence. Food Chem. 2016, 196, 1023–1030. [Google Scholar] [CrossRef]
- Lastras, C.; Revilla, I.; Gonzalez-Martin, M.I.; Vivar-Quintana, A.M. Prediction of fatty acid and mineral composition of lentils using near infrared spectroscopy. J. Food Compos. Anal. 2021, 102, 104023. [Google Scholar] [CrossRef]
- Greenhall, J.; Sinha, D.N.; Pantea, C. Genetic algorithm-wavelet transform feature extraction for data-driven acoustic resonance spectroscopy. IEEE Trans. Ultrason. Ferroelectr. Freq. Control 2023, 70, 736–747. [Google Scholar] [CrossRef] [PubMed]
- Sota-Uba, I.; White, C.G.G.; Booksh, K.; Lavine, B.K.K. Authentication of edible oils using an infrared spectral library and digital sample sets: A feasibility study. J. Chemom. 2023, 37, e3469. [Google Scholar] [CrossRef]
- Caredda, M.; Mara, A.; Ciulu, M.; Floris, I.; Pilo, M.I.; Spano, N.; Sanna, G. Use of genetic algorithms in the wavelength selection of FT-MIR spectra to classify unifloral honeys from Sardinia. Food Control 2023, 146, 109559. [Google Scholar] [CrossRef]
- Ba, W.; Jin, X.; Lu, J.; Rao, Y.; Zhang, T.; Zhang, X.; Zhou, J.; Li, S. Research on predicting early Fusarium head blight with asymptomatic wheat grains by micro-near infrared spectrometer. Spectrochim. Acta Part A Mol. Biomol. Spectrosc. 2023, 287, 122047. [Google Scholar] [CrossRef]
- Jin, X.; Wang, L.; Zheng, W.; Zhang, X.; Liu, L.; Li, S.; Rao, Y.; Xuan, J. Predicting the nutrition deficiency of fresh pear leaves with a miniature near-infrared spectrometer in the laboratory. Measurement 2022, 188, 110553. [Google Scholar] [CrossRef]
- Wang, Y.-J.; Jin, S.-S.; Li, M.-H.; Liu, Y.; Li, L.-Q.; Ning, J.-M.; Zhang, Z.-Z. Onsite nutritional diagnosis of tea plants using micro near-infrared spectrometer coupled with chemometrics. Comput. Electron. Agric. 2020, 175, 105538. [Google Scholar] [CrossRef]
- Liu, H.; Zhang, Z.; Yang, Y.; Chen, T.; Zhang, C. Identification terahertz spectra for the dyestuffs based on principal component analysis and Savitzky-Golay filter. Optik 2018, 172, 668–673. [Google Scholar] [CrossRef]
- Antonov, L. An alternative for the calculation of derivative spectra in the near-infrared spectroscopy. J. Near Infrared Spectrosc. 2017, 25, 145–148. [Google Scholar] [CrossRef]
- Shang, T.-H.; Chen, R.-H.; Zhang, J.-H.; Wang, Y.-J. Estimation of soil organic matter content in Yinchuan Plain based on fractional derivative combined with spectral indices. Ying Yong Sheng Tai Xue Bao J. Appl. Ecol. 2023, 34, 717–725. [Google Scholar] [CrossRef]
- Ayman, A.; Zeid, A.M.; Wahba, M.E.K.; El-Shabrawy, Y. Simultaneous determination of ergotamine, caffeine and dipyrone in their ternary mixture by applying double divisor and first derivative ratio spectra methods. Ann. Pharm. Françaises 2022, 80, 718–729. [Google Scholar] [CrossRef] [PubMed]
- Zhang, X.; Nie, L.; Gao, H.; Yu, H.; Liu, D. Applying second derivative synchronous fluorescence spectroscopy combined with Gaussian band fitting to trace variations of DOM fractions along an urban river. Ecol. Indic. 2023, 146, 109872. [Google Scholar] [CrossRef]
- Li, Q.; Tu, G.; Zhang, X.; Cheng, S.; Yang, T. Application of a back propagation neural network model based on genetic algorithm to in situ analysis of marine sediment cores by X-ray fluorescence core scanner. Appl. Radiat. Isot. 2022, 184, 110191. [Google Scholar] [CrossRef] [PubMed]
- Chrysouli, C.; Tefas, A. Spectral clustering and semi-supervised learning using evolving similarity graphs. Appl. Soft Comput. 2015, 34, 625–637. [Google Scholar] [CrossRef]
- El-Zeiny, M.B.; Zawbaa, H.M.; Serag, A. An evaluation of different bio-inspired feature selection techniques on multivariate calibration models in spectroscopy. Spectrochim. Acta Part A Mol. Biomol. Spectrosc. 2021, 246, 119042. [Google Scholar] [CrossRef] [PubMed]
- Vera-Velez, R.; Grover, S.A.; Bischoff, B.K.; Carlyle, C.N.; Lamb, E.G. Wildfire-Grazing Impact on Forage Quality Assessed with Near-Infrared Spectroscopy and Generalized Partial Least Squares Regression. Rangel. Ecol. Manag. 2023, 87, 132–140. [Google Scholar] [CrossRef]
- Shan, P.; Bi, Y.; Li, Z.; Wang, Q.; He, Z.; Zhao, Y.; Peng, S. Unsupervised model adaptation for multivariate calibration by domain adaptation-regularization based kernel partial least square. Spectrochim. Acta Part A Mol. Biomol. Spectrosc. 2023, 292, 122418. [Google Scholar] [CrossRef]
- Sagar, C.; Singh, D.K.; Sharma, N. A Gradient Boosted Regression Tree Ensemble Model Using Wavelet Features for Post-acquisition Macromolecular Baseline Isolation from Brain MR Spectra. Appl. Magn. Reson. 2023, 54, 637–655. [Google Scholar] [CrossRef]
- Wei, L.; Yuan, Z.; Zhong, Y.; Yang, L.; Hu, X.; Zhang, Y. An Improved Gradient Boosting Regression Tree Estimation Model for Soil Heavy Metal (Arsenic) Pollution Monitoring Using Hyperspectral Remote Sensing. Appl. Sci. 2019, 9, 1943. [Google Scholar] [CrossRef]
- Chang, C.W.; Laird, D.A.; Mausbach, M.J.; Hurburgh, C.R. Near-infrared reflectance spectroscopy-principal components regression analyses of soil properties. Soil Sci. Soc. Am. J. 2001, 65, 480–490. [Google Scholar] [CrossRef]
- Shi, S.; Zhao, D.; Pan, K.; Ma, Y.; Zhang, G.; Li, L.; Cao, C.; Jiang, Y. Combination of near-infrared spectroscopy and key wavelength-based screening algorithm for rapid determination of rice protein content. J. Food Compos. Anal. 2023, 118, 105216. [Google Scholar] [CrossRef]
- Zhu, H.; Yang, L.; Han, Z. Quantitative aflatoxin B1 detection and mining key wavelengths based on deep learning and hyperspectral imaging in subpixel level. Comput. Electron. Agric. 2023, 206, 107561. [Google Scholar] [CrossRef]
- Li, X.; Wang, T.; Bin, Z.; Gao, W.; Cao, J.; Huang, L. Chemical composition and antioxidant and anti-inflammatory potential of peels and flesh from 10 different pear varieties (Pyrus spp.). Food Chem. 2014, 152, 531–538. [Google Scholar] [CrossRef] [PubMed]
- Fang, J.; Jin, X.; Wu, L.; Zhang, Y.; Jia, B.; Ye, Z.; Heng, W.; Liu, L. Prediction Models for the Content of Calcium, Boron and Potassium in the Fruit of ‘Huangguan’ Pears Established by Using Near-Infrared Spectroscopy. Foods 2022, 11, 3642. [Google Scholar] [CrossRef]
- Grgic, F.; Jurina, T.; Valinger, D.; Kljusuric, J.G.; Tusek, A.J.; Benkovic, M. Near-Infrared Spectroscopy Coupled with Chemometrics and Artificial Neural Network Modeling for Prediction of Emulsion Droplet Diameters. Micromachines 2022, 13, 1876. [Google Scholar] [CrossRef]
- Sorrenti, G.; Toselli, M. Post-harvest foliar-applied Fe(II)-sulfate promotes Fe nutrition of pear trees grown in calcareous soil. J. Plant Nutr. 2020, 43, 3020–3034. [Google Scholar] [CrossRef]
- Morales, F.; Belkhodja, R.; Abadia, A.; Abadia, J. Photosystem II efficiency and mechanisms of energy dissipation in iron-deficient, field-grown pear trees (Pyrus communis L.). Photosynth. Res. 2000, 63, 9–21. [Google Scholar] [CrossRef]
- Tsagkaris, A.S.; Bechynska, K.; Ntakoulas, D.D.; Pasias, I.N.; Weller, P.; Proestos, C.; Hajslova, J. Investigating the impact of spectral data pre-processing to assess honey botanical origin through Fourier transform infrared spectroscopy (FTIR). J. Food Compos. Anal. 2023, 119, 105276. [Google Scholar] [CrossRef]
- Aparatana, K.; Naomasa, Y.; Sano, M.; Watanabe, K.; Mitsuoka, M.; Ueno, M.; Kawamitsu, Y.; Taira, E. Predicting sugarcane quality using a portable visible near infrared spectrometer and a benchtop near infrared spectrometer. J. Near Infrared Spectrosc. 2023, 31, 14–23. [Google Scholar] [CrossRef]
- Mills, J.D. Mitochondria-Targetable Ratiometric Time-Gated Luminescence Probe Activated by Selenocysteine for the Visual Monitoring of Liver Injuries. J. Phys. Chem. A 2023, 95, 4024–4032. [Google Scholar] [CrossRef]







| Sets | Sample Size | Maximum (mg/kg) | Minimum (mg/kg) | Average (mg/kg) | Standard Deviation |
|---|---|---|---|---|---|
| Modeling set (Peel) | 52 | 95.95 | 8.75 | 29.79 | 19.42 |
| Prediction set (peel) | 13 | 66.57 | 7.48 | 25.08 | 18.86 |
| Modeling set (pulp) | 52 | 10.40 | 0.28 | 1.52 | 1.77 |
| Prediction set (pulp) | 13 | 3.64 | 0.37 | 1.68 | 1.08 |
| Modeling Methods | Preprocessing Methods | Modeling Sets | Prediction Sets | Class of Models | ||
|---|---|---|---|---|---|---|
| R² | RPD | R² | RPD | |||
| PLSR | Raw (not preprocessed) | 0.955 | 3.371 | 0.547 | 1.195 | C |
| SNV | 0.922 | 2.583 | 0.603 | 1.254 | C | |
| FD | 0.939 | 2.908 | 0.697 | 1.395 | C | |
| MSC | 0.871 | 2.035 | 0.657 | 1.326 | C | |
| SD | 0.648 | 1.313 | 0.631 | 1.289 | C | |
| SG | 0.955 | 3.371 | 0.547 | 1.195 | C | |
| LG | 0.922 | 2.583 | 0.678 | 1.360 | C | |
| SG + MSC | 0.871 | 2.035 | 0.657 | 1.326 | C | |
| SG + SNV | 0.922 | 2.583 | 0.603 | 1.254 | C | |
| SG + MSC + FD | 0.767 | 1.558 | 0.733 | 1.470 | B | |
| SG + MSC + SD | 0.838 | 1.833 | 0.651 | 1.317 | C | |
| SG + SNV + FD | 0.773 | 1.576 | 0.733 | 1.470 | B | |
| SG + SNV + SD | 0.838 | 1.833 | 0.650 | 1.316 | C | |
| GBRT | Raw (not preprocessed) | 0.999 | 22.366 | 0.449 | 1.119 | C |
| SNV | 0.999 | 22.366 | 0.427 | 1.106 | C | |
| FD | 0.935 | 2.820 | 0.427 | 1.106 | C | |
| MSC | 0.943 | 3.005 | 0.469 | 1.132 | C | |
| SD | 0.899 | 2.283 | 0.408 | 1.095 | C | |
| SG | 0.999 | 22.366 | 0.498 | 1.153 | C | |
| LG | 0.764 | 1.550 | 0.530 | 1.179 | C | |
| SG + MSC | 0.999 | 22.366 | 0.469 | 1.132 | C | |
| SG + SNV | 0.999 | 22.366 | 0.424 | 1.104 | C | |
| SG + MSC + FD | 0.865 | 1.993 | 0.463 | 1.128 | C | |
| SG + MSC + SD | 0.999 | 22.366 | 0.402 | 1.092 | C | |
| SG + SNV + FD | 0.999 | 22.366 | 0.518 | 1.169 | C | |
| SG + SNV + SD | 0.799 | 1.663 | 0.524 | 1.174 | C | |
| Modeling Methods | Preprocessing Method | Modeling Sets | Prediction Set | Class of Models | ||
|---|---|---|---|---|---|---|
| R² | RPD | R² | RPD | |||
| PLSR | Raw (not preprocessed) | 0.991 | 7.64 | 0.167 | 1.014 | C |
| SNV | 0.087 | 1.004 | 0.015 | 1.000 | C | |
| FD | 0.819 | 1.743 | 0.633 | 1.291 | C | |
| MSC | 0.087 | 1.004 | 0.015 | 1.000 | C | |
| SD | 0.884 | 2.142 | 0.611 | 1.264 | C | |
| SG | 0.991 | 7.64 | 0.167 | 1.014 | C | |
| LG | 0.999 | 54.94 | 0.393 | 1.087 | C | |
| SG + MSC | 0.087 | 1.004 | 0.015 | 1.000 | C | |
| SG + SNV | 0.087 | 1.004 | 0.015 | 1.000 | C | |
| SG + MSC + FD | 0.840 | 1.846 | 0.721 | 1.445 | B | |
| SG + MSC + SD | 0.872 | 2.04 | 0.54 | 1.188 | C | |
| SG + SNV + FD | 0.854 | 1.923 | 0.725 | 1.451 | B | |
| SG + SNV + SD | 0.873 | 2.05 | 0.54 | 1.188 | C | |
| GBRT | Raw (not preprocessed) | 0.985 | 5.767 | 0.412 | 1.098 | C |
| SNV | 0.592 | 1.241 | 0.262 | 1.036 | C | |
| FD | 0.99 | 7.089 | 0.61 | 1.262 | C | |
| MSC | 0.592 | 1.241 | 0.177 | 1.016 | C | |
| SD | 0.99 | 7.089 | 0.2 | 1.021 | C | |
| SG | 0.985 | 5.766 | 0.413 | 1.098 | C | |
| LG | 0.894 | 2.233 | 0.394 | 1.088 | C | |
| SG + MSC | 0.592 | 1.241 | 0.177 | 1.016 | C | |
| SG + SNV | 0.592 | 1.241 | 0.262 | 1.036 | C | |
| SG + MSC + FD | 0.942 | 2.991 | 0.519 | 1.170 | C | |
| SG + MSC + SD | 0.99 | 7.089 | 0.256 | 1.034 | C | |
| SG + SNV + FD | 0.942 | 2.991 | 0.519 | 1.170 | C | |
| SG + SNV + SD | 0.99 | 7.078 | 0.209 | 1.022 | C | |
| Characteristic Wavelength Extraction Method | Models | Extract the Number of Characteristic Wavelengths | Specific Characteristic Bands (nm) |
|---|---|---|---|
| GA | SG + MSC + FD -PLSR | 106 | 901.57, 909.36, 933.92, 945.50, 949.35, 957.03, 960.87, 964.70, 969.80, 973.63, 977.45, 981.26, 996.48, 1000.27,1009.10, 1012.88, 1020.43, 1024.19, 1039.22, 1044.21, 1051.68, 1059.14,1082.65, 1090.04, 1093.72, 1104.76, 1108.43, 1116.98, 1124.29,1135.22, 1138.85, 1150.94, 1154.56, 1165.38, 1168.98, 1176.17,1198.82, 1202.38, 1205.93, 1209.49, 1213.03, 1216.58, 1224.83,1228.36, 1231.88, 1242.44, 1249.45, 1254.11, 1261.10, 1268.06, 1271.54, 1278.48, 1285.41, 1303.79, 1310.66, 1314.08, 1317.50,1322.06, 1339.07, 1373.89, 1380.58, 1404.96, 1414.87, 1429.11,1438.93, 1453.04, 1456.28, 1462.76, 1478.88, 1482.09, 1486.36,1489.56, 1492.76, 1516.07, 1522.39, 1525.54, 1528.69, 1531.84,1534.98, 1538.11, 1541.25, 1548.54, 1551.65, 1557.88, 1567.18 1573.36, 1586.69, 1589.76, 1592.82, 1598.93, 1601.98, 1606.04,1615.14, 1618.17, 1624.21, 1627.22, 1643.22, 1646.21, 1649.19,1658.11, 1667.98, 1670.93, 1685.63, 1691.47, 1695.36, 1698.27. |
| SG + SNV + FD -PLSR | 107 | 901.57, 909.36, 941.64, 969.80, 985.07, 996.48, 1000.27,1012.88,1031.71, 1039.22, 1044.21, 1051.68, 1055.42, 1059.14, 1078.95 1082.65, 1086.34, 1090.04, 1097.41, 1104.76, 1138.85, 1142.48, 1150.94, 1168.98, 1176.17, 1184.53, 1195.25, 1198.82, 1202.38, 1205.93, 1213.03, 1216.58, 1221.30, 1224.83, 1228.36, 1235.41, 1245.94, 1249.45, 1261.10, 1264.58, 1268.06, 1275.02, 1278.48, 1290.02, 1300.36, 1303.79, 1307.23, 1310.66, 1314.08, 1317.50 1322.06, 1328.87, 1339.07, 1342.46, 1357.10, 1360.47, 1363.83, 1370.54, 1377.24, 1383.92, 1388.36, 1391.69, 1395.02, 1398.34, 1404.96, 1422.55, 1425.83, 1438.93, 1442.19, 1453.04, 1478.88, 1486.36, 1492.76, 1495.95, 1502.32, 1505.50, 1511.85, 1516.07, 1519.23, 1525.54, 1528.69, 1531.84, 1541.25, 1544.37, 1548.54 1557.88, 1564.08, 1573.36, 1577.47, 1592.82, 1595.88, 1606.04, 1615.14, 1621.19, 1637.23, 1640.23, 1643.22, 1655.14, 1658.11, 1661.08, 1665.02, 1673.88, 1679.76, 1685.63, 1688.55, 1695.36, 1698.27 |
| Characteristic Wavelength Extraction Method | Models | Extract the Number of Characteristic Wavelengths | Specific Characteristic Bands (nm) |
|---|---|---|---|
| GA | SG + MSC + FD -PLSR | 120 | 909.36, 921.02, 924.89, 933.92, 937.78, 941.64, 945.50, 953.19 964.70, 985.07, 988.88, 996.48, 1000.27, 1005.32, 1012.88 1016.66, 1031.71, 1035.47, 1055.42, 1059.14, 1062.87, 1074.01 1078.95, 1093.72, 1097.41, 1101.08, 1135.22, 1138.85, 1142.48 1165.38, 1172.58, 1176.17, 1184.53, 1195.25, 1198.82, 1209.49 1216.58, 1231.88, 1242.44, 1245.94, 1249.45, 1264.58, 1271.54 1278.48, 1281.95, 1285.41, 1293.47, 1296.91, 1300.36, 1303.79 1307.23, 1310.66, 1314.08, 1325.47, 1328.87, 1332.28, 1339.07 1345.85, 1363.83, 1367.19, 1377.24, 1380.58, 1383.92, 1391.69 1398.34, 1404.96, 1411.57, 1414.87, 1418.16, 1456.28, 1459.52 1472.44, 1475.66, 1478.88, 1489.56, 1492.76, 1495.95, 1502.32 1505.50, 1508.68, 1511.85, 1516.07, 1519.23, 1528.69, 1534.98 1538.11, 1541.25, 1548.54, 1551.65, 1554.77, 1567.18, 1570.27 1577.47, 1580.55, 1589.76, 1598.93, 1601.98, 1609.08, 1612.11 1618.17, 1621.19, 1627.22, 1630.23, 1633.23, 1643.22, 1646.21 1649.19, 1652.17, 1655.14, 1658.11, 1661.08, 1665.02, 1667.98 1673.88, 1676.82, 1679.76, 1682.70, 1688.55, 1691.47, 1698.27 |
| SG + SNV + FD -PLSR | 111 | 913.25, 921.02, 930.06, 933.92, 937.78, 945.50, 949.35, 953.19 964.70, 973.63, 985.07, 992.68, 1009.10, 1012.88, 1016.66 1031.71, 1044.21, 1047.95, 1051.68, 1059.14, 1062.87, 1070.30 1074.01, 1086.34, 1093.72, 1112.10, 1116.98, 1124.29, 1127.93 1131.58, 1138.85, 1146.11, 1165.38, 1168.98, 1179.76, 1184.53 1188.11, 1191.68, 1195.25, 1198.82, 1205.93, 1209.49, 1224.83 1228.36, 1231.88, 1235.41, 1242.44, 1254.11, 1257.61, 1268.06 1271.54, 1275.02, 1290.02, 1293.47, 1296.91, 1300.36, 1307.23 1314.08, 1322.06, 1332.28, 1339.07, 1342.46, 1363.83, 1367.19 1373.89, 1383.92, 1401.65, 1404.96, 1408.27, 1411.57, 1425.83 1435.66, 1445.45, 1459.52, 1462.76, 1469.22, 1472.44, 1495.95 1499.14, 1502.32, 1511.85, 1519.23, 1522.39, 1528.69, 1531.84 1534.98, 1541.25, 1554.77, 1557.88, 1564.08, 1567.18, 1570.27 1573.36, 1583.62, 1589.76, 1595.88, 1618.17, 1630.23, 1633.23 1637.23, 1640.23, 1646.21, 1649.19, 1661.08, 1670.93, 1676.82 1679.76 |
| Models | Modeling Sets | Prediction Set | Class of Models | ||
|---|---|---|---|---|---|
| R² | RPD | R² | RPD | ||
| SG + MSC + FD-GA-PLSR | 0.997 | 12.920 | 0.976 | 4.592 | A |
| SG + SNV + FD-GA-PLSR | 0.998 | 5.819 | 0.987 | 6.222 | A |
| Models | Modeling Sets | Prediction Set | Class of Models | ||
|---|---|---|---|---|---|
| R2 | RPD | R2 | RPD | ||
| SG + MSC + FD-GA-PLSR | 0.701 | 1.403 | 0.987 | 6.405 | A |
| SG + SNV + FD-GA-PLSR | 0.753 | 1.521 | 0.989 | 6.793 | A |
Disclaimer/Publisher’s Note: The statements, opinions and data contained in all publications are solely those of the individual author(s) and contributor(s) and not of MDPI and/or the editor(s). MDPI and/or the editor(s) disclaim responsibility for any injury to people or property resulting from any ideas, methods, instructions or products referred to in the content. |
© 2023 by the authors. Licensee MDPI, Basel, Switzerland. This article is an open access article distributed under the terms and conditions of the Creative Commons Attribution (CC BY) license (https://creativecommons.org/licenses/by/4.0/).
Share and Cite
Li, L.; Li, C.; Fang, J.; Chen, X.; Qin, W.; Zhang, H.; Xu, J.; Jia, B.; Heng, W.; Jin, X.; et al. Quantitatively Determine the Iron Content in the Fruit of ‘Huangguan’ Pear Using Near-Infrared Spectroscopy. Horticulturae 2023, 9, 773. https://doi.org/10.3390/horticulturae9070773
Li L, Li C, Fang J, Chen X, Qin W, Zhang H, Xu J, Jia B, Heng W, Jin X, et al. Quantitatively Determine the Iron Content in the Fruit of ‘Huangguan’ Pear Using Near-Infrared Spectroscopy. Horticulturae. 2023; 9(7):773. https://doi.org/10.3390/horticulturae9070773
Chicago/Turabian StyleLi, Liangjun, Chen Li, Jing Fang, Xiaolong Chen, Wen Qin, Hanhan Zhang, Jing Xu, Bing Jia, Wei Heng, Xiu Jin, and et al. 2023. "Quantitatively Determine the Iron Content in the Fruit of ‘Huangguan’ Pear Using Near-Infrared Spectroscopy" Horticulturae 9, no. 7: 773. https://doi.org/10.3390/horticulturae9070773
APA StyleLi, L., Li, C., Fang, J., Chen, X., Qin, W., Zhang, H., Xu, J., Jia, B., Heng, W., Jin, X., & Liu, L. (2023). Quantitatively Determine the Iron Content in the Fruit of ‘Huangguan’ Pear Using Near-Infrared Spectroscopy. Horticulturae, 9(7), 773. https://doi.org/10.3390/horticulturae9070773

