Temperature Changes Affected Spring Phenology and Fruit Quality of Apples Grown in High-Latitude Region of South Korea
Abstract
1. Introduction
2. Materials and Methods
2.1. Plant Materials
2.2. Observation of Phenology and Fruit Quality
2.3. Collection of Meteorological Data
2.4. Data Analysis
3. Results and Discussion
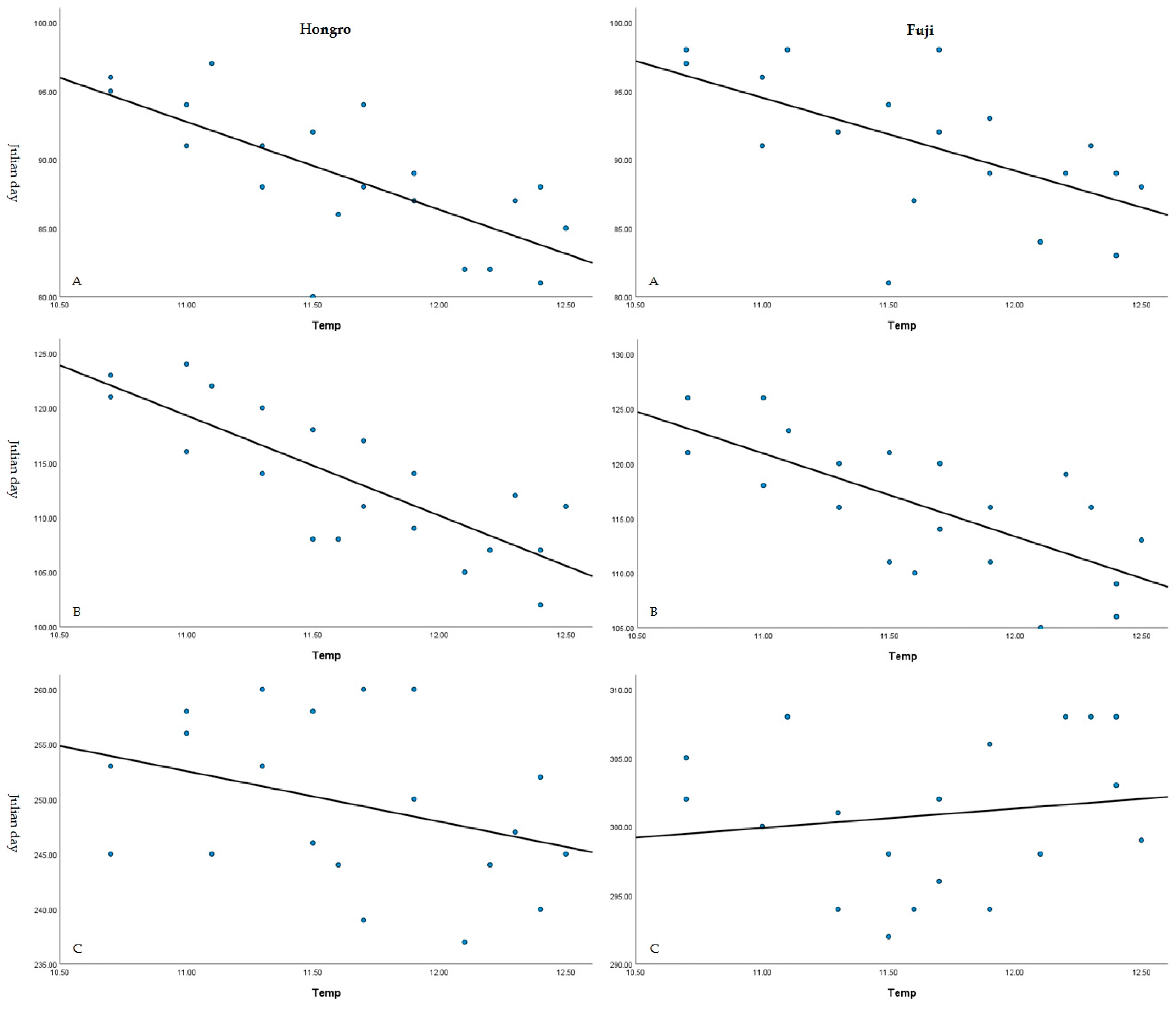
3.1. Effect of Temperature Change on Phenology in Apples Grown at High-Latitude Region of Korea
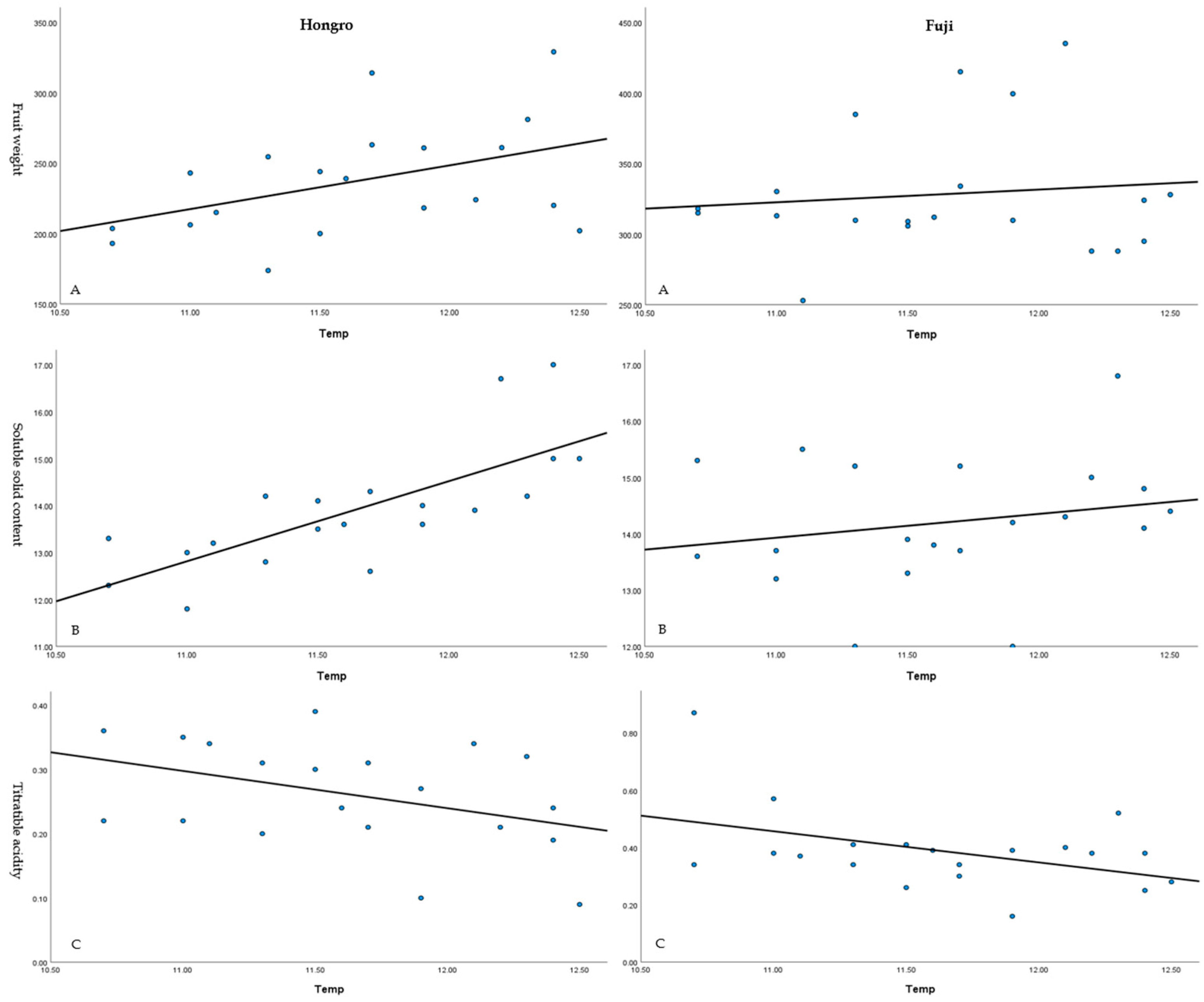
3.2. Effect of Temperature Change on Fruit Characteristics in Apples Grown at High-Latitude Region of Korea
4. Conclusions
Author Contributions
Funding
Institutional Review Board Statement
Informed Consent Statement
Data Availability Statement
Conflicts of Interest
References
- Kidoń, M.; Radziejewska-Kubzdela, E.; Biegańska-Marecik, R.; Kowalczewski, P.Ł. Suitability of Apples Flesh from Different Cultivars for Vacuum Impregnation Process. Appl. Sci. 2023, 13, 1528. [Google Scholar] [CrossRef]
- Kaplan, M. Determination of Population Change and Damage Rate of the Harmful Codling Moth (Cydia pomonella Linnaeus) (Lepidoptera: Tortricidae) in Apple Orchards in Malatya Province, Türkiye. Erwerbs-Obstba 2023. [Google Scholar] [CrossRef]
- Zhongming, Z.; Linong, L.; Xiaona, Y.; Wangqiang, Z.; Wei, L. AR6 Climate Change 2021: The Physical Science Basis. 2021. Available online: https://www.unep.org/resources/report/climate-change-2021-physical-science-basis-working-group-i-contribution-sixth (accessed on 1 June 2023).
- Chen, K.; Wang, B.; Chen, C.; Zhou, G. MaxEnt Modeling to Predict the Current and Future Distribution of Pomatosace filicula under Climate Change Scenarios on the Qinghai–Tibet Plateau. Plants 2022, 11, 670. [Google Scholar] [CrossRef]
- Clarke, B.; Otto, F.; Stuart-Smith, R.; Harrington, L. Extreme Weather Impacts of Climate Change: An Attribution Perspective. Environ. Res. Clim. 2022, 1, 012001. [Google Scholar] [CrossRef]
- Lim, D.H.; Kim, T.I.L.; Park, S.M.; Ki, K.S.; Kim, Y. Evaluation of Heat Stress Responses in Holstein and Jersey Cows by Analyzing Physiological Characteristics and Milk Production in Korea. J. Anim. Sci. Technol. 2021, 63, 872–883. [Google Scholar] [PubMed]
- Ruchel, Q.; Zandoná, R.R.; Fraga, D.S.; Agostinetto, D.; Langaro, A.C. Effect of High Temperature and Recovery from Stress on Crop–Weed Interaction. Bragantia 2020, 79, 582–591. [Google Scholar] [CrossRef]
- Getahun, M.; Fininsa, C.; Bekeko, Z.; Mohammed, A. Analysis of the Spatial Distribution and Association of Wheat Fusarium Head Blight with Biophysical Factors in Ethiopia. Eur. J. Plant Pathol. 2022, 164, 391–410. [Google Scholar] [CrossRef]
- Saqib, M.; Anjum, M.A.; Ali, M.; Ahmad, R.; Sohail, M.; Zakir, I.; Ahmad, S.; Hussain, S. Horticultural Crops as Affected by Climate Change BT-Building Climate Resilience in Agriculture: Theory, Practice and Future Perspective. In Building Climate Resilience in Agriculture; Jatoi, W.N., Mubeen, M., Ahmad, A., Cheema, M.A., Lin, Z., Hashmi, M.Z., Eds.; Springer International Publishing: Cham, Switzerland, 2022; pp. 95–109. ISBN 978-3-030-79408-8. [Google Scholar]
- Fujisawa, M.; Kobayashi, K. Apple (Malus pumila var. domestica) Phenology is Advancing due to Rising Air Temperature in Northern Japan. Glob. Chang. Biol. 2010, 16, 2651–2660. [Google Scholar] [CrossRef]
- Chmielewski, F.M.; Müller, A.; Bruns, E. Climate Changes and Trends in Phenology of Fruit Trees and Field Crops in Germany, 1961–2000. Agric. For. Meteorol. 2004, 121, 69–78. [Google Scholar] [CrossRef]
- Sugiura, T.; Ogawa, H.; Fukuda, N.; Moriguchi, T. Changes in the taste and textural attributes of apples in response to climate change. Sci. Rep. 2013, 3, 2418. [Google Scholar] [CrossRef] [PubMed]
- Qu, Z.; Zhou, G. Possible Impact of Climate Change on the Quality of Apples from the Major Producing Areas of China. Atmosphere 2016, 7, 113. [Google Scholar] [CrossRef]
- Sahu, N.; Saini, A.; Behera, S.K.; Sayama, T.; Sahu, L.; Nguyen, V.T.V.; Takara, K. Why Apple Orchards Are Shifting to the Higher Altitudes of the Himalayas? PLoS ONE 2020, 15, e0235041. [Google Scholar] [CrossRef]
- Mandić, M.V.; Vimić, A.V.; Akšić, M.F.; Meland, M. Climate Potential for Apple Growing in Norway—Part 2: Assessment of Suitability of Heat Conditions under Future Climate Change. Atmosphere 2023, 14, 937. [Google Scholar] [CrossRef]
- Kang, K.J.; Seo, J.H.; Yoon, H.K.; Seo, J.S.; Choi, T.Y.; Chun, J.P. Effects of Wind Net Shading and Sprinkling on Growing Conditions and Fruit Quality in ‘Hongro’ and ‘Fuji’ Apple Fruits. J. Bio-Environ. Control 2019, 28, 126–133. [Google Scholar] [CrossRef]
- Geleta, B.T.; Lee, J.C.; Heo, J.Y. Antioxidant Activity and Mineral Content in Unripe Fruits of 10 Apple Cultivars Growing in the Northern Part of Korea. Horticulturae 2023, 9, 114. [Google Scholar] [CrossRef]
- Zebro, M.; Kang, J.S.; Heo, J.Y. Effects of Temperatures on Pollen Germination and Pollen Tube Growth in Apple. Bragantia 2023, 82, e20220242. [Google Scholar] [CrossRef]
- Ali, M.T.; Mir, M.S.; Mehraj, S.; Shah, I.A. Implications of Variable Environments on Phenology of Apple (Malus × domestica Borkh.) in Northwestern Himalayan Region. Int. J. Biometeorol. 2022, 66, 945–956. [Google Scholar] [CrossRef] [PubMed]
- Wyver, C.; Potts, S.G.; Edwards, R.; Edwards, M.; Senapathi, D. Climate Driven Shifts in the Synchrony of Apple (Malus × domestica Borkh.) Flowering and Pollinating Bee Flight Phenology. Agric. For. Meteorol. 2023, 329, 109281. [Google Scholar] [CrossRef]
- Grab, S.; Craparo, A. Advance of Apple and Pear Tree Full Bloom Dates in Response to Climate Change in the Southwestern Cape, South Africa: 1973–2009. Agric. For. Meteorol. 2011, 151, 406–413. [Google Scholar] [CrossRef]
- Gao, H.N.; Jiang, H.; Cui, J.Y.; You, C.X.; Li, Y.Y. The Effects of Hormones and Environmental Factors on Anthocyanin Biosynthesis in Apple. Plant Sci. 2021, 312, 111024. [Google Scholar] [CrossRef] [PubMed]
- Antunes, M.D.; Guimarães, A.C.; Gago, C.; Guerreiro, A.; Panagopoulos, J.; Vilas Boas, E.; Miguel, M.G. Membrane Fatty Acids and Physiological Disorders in Cold-Stored ‘Golden Delicious’ Apples Treated with 1-MCP and Calcium Chloride. Horticulturae 2022, 8, 162. [Google Scholar] [CrossRef]
- Lugaresi, A.; Steffens, C.A.; Souza, M.P.D.; Amarante, C.V.T.D.; Brighenti, A.F.; Pasa, M.D.S.; Martin, M.S.D. Late Summer Pruning Improves the Quality and Increases the Content of Functional Compounds in Fuji Apples. Bragantia 2022, 81, e3122. [Google Scholar] [CrossRef]
- Lee, S.Y.; Heo, J.Y. Combined Treatment with Gibberellic Acid and Thidiazuron Improves Fruit Quality of ‘Red Dream’ Grape Cultivar. Not. Sci. Biol. 2023, 15, 11499. [Google Scholar] [CrossRef]
- Yoo, J.; Park, M.Y.; Kang, I.K. Effect of Fruit Thinner on Fruit Set and Quality in ‘Hongro’ and ‘Fuji’ Apples. Hortic. Sci. 2014, 32, 577–583. [Google Scholar] [CrossRef]
- Arias, L.A.; Berli, F.; Fontana, A.; Bottini, R.; Piccoli, P. Climate Change Effects on Grapevine Physiology and Biochemistry: Benefits and Challenges of High Altitude as an Adaptation Strategy. Front. Plant Sci. 2022, 13, 835425. [Google Scholar] [CrossRef]
- Eftekhari, M.S. Impacts of Climate Change on Agriculture and Horticulture. In Climate Change: The Social and Scientific Construct; Springer International Publishing: Cham, Switzerlnad, 2022; pp. 117–131. [Google Scholar]
- Gutiérrez-Gamboa, G.; Zheng, W.; de Toda, F.M. Current Viticultural Techniques to Mitigate the Effects of Global Warming on Grape and Wine Quality: A Comprehensive Review. Food Res. Int. 2021, 139, 109946. [Google Scholar] [CrossRef] [PubMed]
- Medda, S.; Fadda, A.; Mulas, M. Influence of Climate Change on Metabolism and Biological Characteristics in Perennial Woody Fruit Crops in the Mediterranean Environment. Horticulturae 2022, 8, 273. [Google Scholar] [CrossRef]
- Shabbir, R.; Singhal, R.K.; Mishra, U.N.; Chauhan, J.; Javed, T.; Hussain, S.; Kumar, S.; Anuragi, H.; Lal, D.; Chen, P. Combined Abiotic Stresses: Challenges and Potential for Crop Improvement. Agronomy 2022, 12, 2795. [Google Scholar] [CrossRef]
- Zahra, N.; Hafeez, M.B.; Wahid, A.; Al Masruri, M.H.; Ullah, A.; Siddique, K.H.; Farooq, M. Impact of Climate Change on Wheat Grain Composition and Quality. J. Sci. Food Agric. 2022, 103, 2745–2751. [Google Scholar] [CrossRef] [PubMed]


| Parameter | Minimum Value | Maximum Value | Mean Value | Standard Deviation | b | R-Squared | p Value |
|---|---|---|---|---|---|---|---|
| Temperature (°C) | 10.70 | 12.50 | 11.64 | 0.568 | 0.052 | 0.293 | 0.014 |
| Total precipitation (mm) | 674.40 | 2029.30 | 1391.58 | 348.01 | −19.01 | 0.104 | 0.165 |
| Total solar radiation | 4534.76 | 5162.29 | 4909.20 | 186.70 | 4.053 | 0.016 | 0.589 |
| Minimum Value | Maximum Value | Mean Value | Standard Deviation | b | R-Squared | p Value | |
|---|---|---|---|---|---|---|---|
| January | −9.50 | −0.10 | −4.30 | 2.01 | 0.052 | 0.023 | 0.520 |
| February | −3.80 | 1.50 | −0.77 | 1.72 | −0.011 | 0.001 | 0.878 |
| March | 3.20 | 7.80 | 5.38 | 1.27 | 0.138 | 0.418 | 0.002 |
| April | 9.10 | 14.00 | 11.87 | 1.48 | 0.071 | 0.082 | 0.222 |
| May | 16.40 | 19.10 | 17.93 | 0.80 | 0.043 | 0.101 | 0.172 |
| June | 20.50 | 24.20 | 22.58 | 0.90 | 0.070 | 0.212 | 0.041 |
| July | 23.10 | 27.30 | 25.12 | 1.13 | 0.123 | 0.415 | 0.002 |
| August | 23.60 | 27.30 | 25.32 | 1.01 | 0.074 | 0.189 | 0.055 |
| September | 18.90 | 21.30 | 20.11 | 0.67 | 0.042 | 0.133 | 0.114 |
| October | 10.90 | 15.10 | 13.12 | 1.12 | 0.022 | 0.014 | 0.626 |
| November | 3.79 | 8.20 | 5.82 | 1.34 | 0.007 | 0.001 | 0.900 |
| December | −6.20 | 0.10 | −2.45 | 1.98 | −0.024 | 0.005 | 0.767 |
| Parameter | Cultivar | Mean Value | Standard Deviation | b | R-Squared | p Value |
|---|---|---|---|---|---|---|
| Budburst | Fuji | 91.10 | 4.99 | −5.33 | 0.37 | <0.005 |
| Hongro | 88.65 | 5.09 | −6.41 | 0.51 | <0.000 | |
| Flowering | Fuji | 116.05 | 6.12 | −7.60 | 0.50 | <0.001 |
| Hongro | 113.45 | 6.47 | −9.15 | 0.65 | <0.001 | |
| Harvest date | Fuji | 300.80 | 5.23 | 1.41 | 0.02 | 0.519 |
| Hongro | 249.60 | 7.42 | −4.46 | 0.13 | 0.127 | |
| Fruit weight | Fuji | 328.34 | 45.64 | 8.97 | 0.01 | 0.638 |
| Hongro | 237.26 | 40.02 | 31.07 | 0.20 | <0.05 | |
| Soluble sugar content | Fuji | 14.20 | 1.15 | 0.42 | 0.04 | 0.378 |
| Hongro | 13.87 | 1.31 | 1.65 | 0.51 | <0.000 | |
| Titratable acidity | Fuji | 0.44 | 0.30 | −0.21 | 0.16 | 0.078 |
| Hongro | 0.26 | 0.08 | −0.06 | 0.16 | 0.082 |
| Budburst Date | Flowering Date | Harvest Date | Fruit Weight | Soluble Sugar Content | Titratable Acidity | |
|---|---|---|---|---|---|---|
| Budburst date | 1 | |||||
| Flowering date | 0.828 ** | 1 | ||||
| Harvest date | 0.244 | 0.481 * | 1 | |||
| Fruit weight | −0.459 * | −0.379 * | −0.018 | 1 | ||
| Soluble sugar content | −0.746 ** | −0.688 ** | −0.248 | 0.520 ** | 1 | |
| Titratable acidity | 0.182 | 0.114 | −0.079 | −0.215 | −0.322 | 1 |
| Budburst Date | Flowering Date | Harvest Date | Fruit Weight | Soluble Sugar Content | Titratable Acidity | |
|---|---|---|---|---|---|---|
| Budburst date | 1 | |||||
| Flowering date | 0.759 ** | 1 | ||||
| Harvest date | 0.243 | 0.196 | 1 | |||
| Fruit weight | −0.069 | −0.391 * | −0.224 | 1 | ||
| Soluble sugar content | 0.151 | −0.041 | 0.579 ** | 0.021 | 1 | |
| Titratable acidity | 0.254 | 0.336 | −0.014 | −0.225 | 0.268 | 1 |
Disclaimer/Publisher’s Note: The statements, opinions and data contained in all publications are solely those of the individual author(s) and contributor(s) and not of MDPI and/or the editor(s). MDPI and/or the editor(s) disclaim responsibility for any injury to people or property resulting from any ideas, methods, instructions or products referred to in the content. |
© 2023 by the authors. Licensee MDPI, Basel, Switzerland. This article is an open access article distributed under the terms and conditions of the Creative Commons Attribution (CC BY) license (https://creativecommons.org/licenses/by/4.0/).
Share and Cite
Lee, J.-C.; Park, Y.-S.; Jeong, H.-N.; Kim, J.-H.; Heo, J.-Y. Temperature Changes Affected Spring Phenology and Fruit Quality of Apples Grown in High-Latitude Region of South Korea. Horticulturae 2023, 9, 794. https://doi.org/10.3390/horticulturae9070794
Lee J-C, Park Y-S, Jeong H-N, Kim J-H, Heo J-Y. Temperature Changes Affected Spring Phenology and Fruit Quality of Apples Grown in High-Latitude Region of South Korea. Horticulturae. 2023; 9(7):794. https://doi.org/10.3390/horticulturae9070794
Chicago/Turabian StyleLee, Je-Chang, Young-Sik Park, Haet-Nim Jeong, Ju-Hyeon Kim, and Jae-Yun Heo. 2023. "Temperature Changes Affected Spring Phenology and Fruit Quality of Apples Grown in High-Latitude Region of South Korea" Horticulturae 9, no. 7: 794. https://doi.org/10.3390/horticulturae9070794
APA StyleLee, J.-C., Park, Y.-S., Jeong, H.-N., Kim, J.-H., & Heo, J.-Y. (2023). Temperature Changes Affected Spring Phenology and Fruit Quality of Apples Grown in High-Latitude Region of South Korea. Horticulturae, 9(7), 794. https://doi.org/10.3390/horticulturae9070794
