Two Experimental Devices for Record and Playback of Tactile Data
Abstract
1. Introduction
2. Fingernail Color Sensor for Human Fingertip
2.1. Outline
2.2. Principle of Fingernail Color Sensor
2.3. Prototype of Fingernail Color Sensor
2.4. Creating the Data Set
2.5. Multi-Task CNN
2.6. Results and Discussion
3. Robotic Three-Axis Tactile Sensor Imitating Human Index Finger
3.1. Outline
3.2. Principle of Optical Tactile Sensor
3.3. Prototype of Robotic Three-Axis Tactile Sensor
3.4. Experimental Method
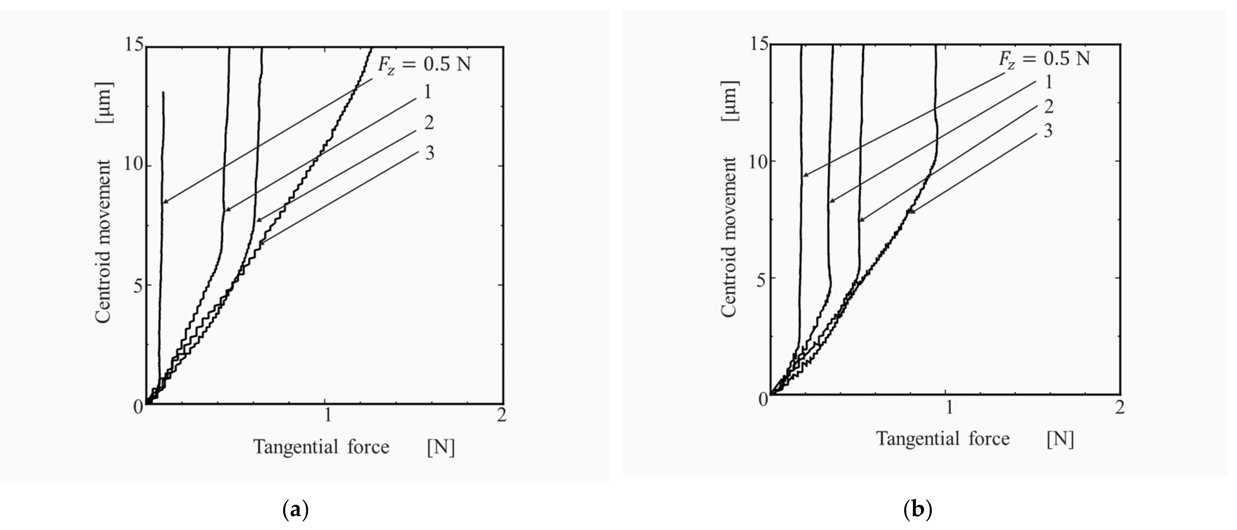
3.5. Results and Discussion
4. Contributions to Tactileology
5. Conclusions
Author Contributions
Funding
Institutional Review Board Statement
Informed Consent Statement
Data Availability Statement
Conflicts of Interest
References
- Techtile Tool Kit. Available online: http://www.techtile.org/en/techtiletoolkit/ (accessed on 19 April 2021).
- Nakatani, M.; Kakehi, Y.; Minamizawa, K.; Mihara, S.; Tachi, S. TECHTILE workshop for sharing haptic experience. TVRSJ 2014, 19, 593–603. (In Japanese) [Google Scholar]
- Suzuki, Y.; Suzuki, R. Tactile Score/A Knowledge Media for Tactile Sense; Springer: Tokyo, Japan, 2014; pp. 21–29. [Google Scholar]
- Mascaro, S.A.; Asada, H.H. Measurement of finger posture and three-axis fingertip touch using fingernail sensors. IEEE Trans. Robot. Autom. 2012, 20, 711–717. [Google Scholar] [CrossRef]
- Nomura, Y.; Maeda, T. The study of fingernail sensors for measuring finger forces and bending. TVRSJ 2001, 6, 210–215. (In Japanese) [Google Scholar]
- Hinatsu, S.; Yoshimoto, S.; Kuroda, Y.; Oshiro, O. Estimation of fingertip contact force by plethysmography in proximal part of finger. Med. Biol. Eng. 2017, 53, 115–124. (In Japanese) [Google Scholar]
- Nakatani, M.; Kawaue, T.; Shiojima, K.; Kotetsu, K.; Kinoshita, S.; Wada, J. Wearable Contact Force Sensor System Based on Fingerpad Deformation. In Proceedings of the 2011 IEEE World Haptic Conference, Istanbul, Turkey, 21–24 June 2011; IEEE: Piscataway, NJ, USA, 2011; pp. 323–328. [Google Scholar]
- Grieve, T.; Lincolon, L.; Sun, Y.; Hollerbach, J.M.; Mascaro, S.A. 3d force prediction using fingernail imaging with automated calibration. In Proceedings of the 2010 IEEE Haptics Symposium, Waltham, MA, USA, 25–26 March 2010; IEEE: Piscataway, NJ, USA, 2010; pp. 113–120. [Google Scholar]
- Ohka, M. Robotic Tactile Sensors. In Encyclopedia of Computer Science and Engineering; Wiley: Hoboken, NJ, USA, 2009; Volume 4, pp. 2454–2461. [Google Scholar]
- Ohka, M.; Nomura, R.; Yussof, H.; Zaharu, N.I. Development of human-finger-sized three-axis tactile sensor based on image data processing. In Proceedings of the 9th International Conference on Sensing Technology, Auckland, New Zealand, 8–10 December 2015; IEEE: Piscataway, NJ, USA, 2015; pp. 212–216. [Google Scholar]
- Ohka, M.; Mitsuya, Y.; Higashioka, I.; Kabeshita, H. An experimental optical three-axis tactile sensor for micro-robots. Robotica 2005, 23, 457–465. [Google Scholar] [CrossRef]
- Shimojo, M.; Namiki, A.; Ishikawa, M.; Makino, R.; Mabuchi, K. A tactile sensor sheet using pressure conductive rubber with electrical wires stitched method. IEEE Trans. Sens. 2004, 5, 589–596. [Google Scholar] [CrossRef]
- Tada, Y.; Inoue, M.; Kawasaki, T.; Kawahito, Y.; Ishiguro, H.; Suganuma, K. A flexible and stretchable tactile sensor utilizing static electricity. In Proceedings of the IEEE/RSJ International Conference on Intelligent Robots and Systems, San Diego, CA, USA, 29 October–2 November 2007; IEEE: Piscataway, NJ, USA, 2007; pp. 684–689. [Google Scholar]
- Tanaka, M.; Lévêque, J.L.; Tagami, H.; Kikuchi, K.; Chonan, S. The “haptic finger”—A new device for monitoring skin condition. Ski. Res. Technol. 2003, 9, 131–136. [Google Scholar] [CrossRef] [PubMed]
- Takenawa, S. A magnetic type tactile sensor using a two-dimensional array of inductors. In Proceedings of the IEEE ICRA 2009, St. Louis, MO, USA, 12–17 May 2009; IEEE: Piscataway, NJ, USA, 2009; pp. 3295–3300. [Google Scholar]
- Dahiya, R.S.; Adami, A.; Pinna, L.; Collini, C.; Valle, M.; Lorenzelli, L. Tactile sensing chips with POSFET array and integrated interface electronics. IEEE Sens. J. 2014, 14, 3448–3457. [Google Scholar] [CrossRef]
- Nicholls, H.R. Tactile sensing using an optical transduction method. In Traditional and Non-Traditional Robot Sensors; Henderson, T.C., Ed.; Springer: Berlin/Heidelberg, Germany, 1990; pp. 83–99. [Google Scholar]
- Sagisaka, T.; Ohmura, Y.; Nagakubo, A.; Kuniyoshi, Y.; Ozaki, K. High-density conformable tactile sensing glove. J. Robot. Soc. Jpn. 2012, 30, 711–727. (In Japanese) [Google Scholar] [CrossRef]
- Adbulnabi, A.H.; Wang, G.; Jia, K. Multi-task CNN model for attribute prediction. IEEE Trans. Multimed. 2015, 17, 1949–1959. [Google Scholar]
- Simonyan, K.; Zisserman, A. Very deep convolutional network for large-scale image recognition. arXiv 2015, arXiv:1409.1556. [Google Scholar]
- Maeda, Y.; Sekine, M.; Tamura, T.; Suzuki, T.; Kameyama, K. Position dependency in photoplethysmographic sensor—Comparison of adjoining ppg signals in light sources and measurement sites. J. Life Support Eng. 2011, 23, 124–129. [Google Scholar] [CrossRef][Green Version]
- OpenCV/Color Conversions. Available online: https://docs.opencv.org/3.4/de/d25/imgproc_color_conversions.html (accessed on 28 April 2021).
- Kingma, D.P.; Ba, J.L. Adam: A method for stochastic optimization. arXiv 2017, arXiv:1412.6980v9. [Google Scholar]










Publisher’s Note: MDPI stays neutral with regard to jurisdictional claims in published maps and institutional affiliations. |
© 2021 by the authors. Licensee MDPI, Basel, Switzerland. This article is an open access article distributed under the terms and conditions of the Creative Commons Attribution (CC BY) license (https://creativecommons.org/licenses/by/4.0/).
Share and Cite
Ohka, M.; Komura, H.; Watanabe, K.; Nomura, R. Two Experimental Devices for Record and Playback of Tactile Data. Philosophies 2021, 6, 54. https://doi.org/10.3390/philosophies6030054
Ohka M, Komura H, Watanabe K, Nomura R. Two Experimental Devices for Record and Playback of Tactile Data. Philosophies. 2021; 6(3):54. https://doi.org/10.3390/philosophies6030054
Chicago/Turabian StyleOhka, Masahiro, Hiraku Komura, Keisuke Watanabe, and Ryota Nomura. 2021. "Two Experimental Devices for Record and Playback of Tactile Data" Philosophies 6, no. 3: 54. https://doi.org/10.3390/philosophies6030054
APA StyleOhka, M., Komura, H., Watanabe, K., & Nomura, R. (2021). Two Experimental Devices for Record and Playback of Tactile Data. Philosophies, 6(3), 54. https://doi.org/10.3390/philosophies6030054

