Dengue Fever in Italy: The “Eternal Return” of an Emerging Arboviral Disease
Abstract
1. Introduction
2. Materials and Methods
- (a)
- days 0 to 8 from the onset of clinical symptoms, a positive serum PCR, OR seroconversion test by commercially available IgM, OR identification of viral antigen;
- (b)
- since the 9th day from the onset of symptoms, seroconversion test by commercially available IgM/IgG
3. Results
3.1. Demographics
3.2. Estimates for Notification Rates
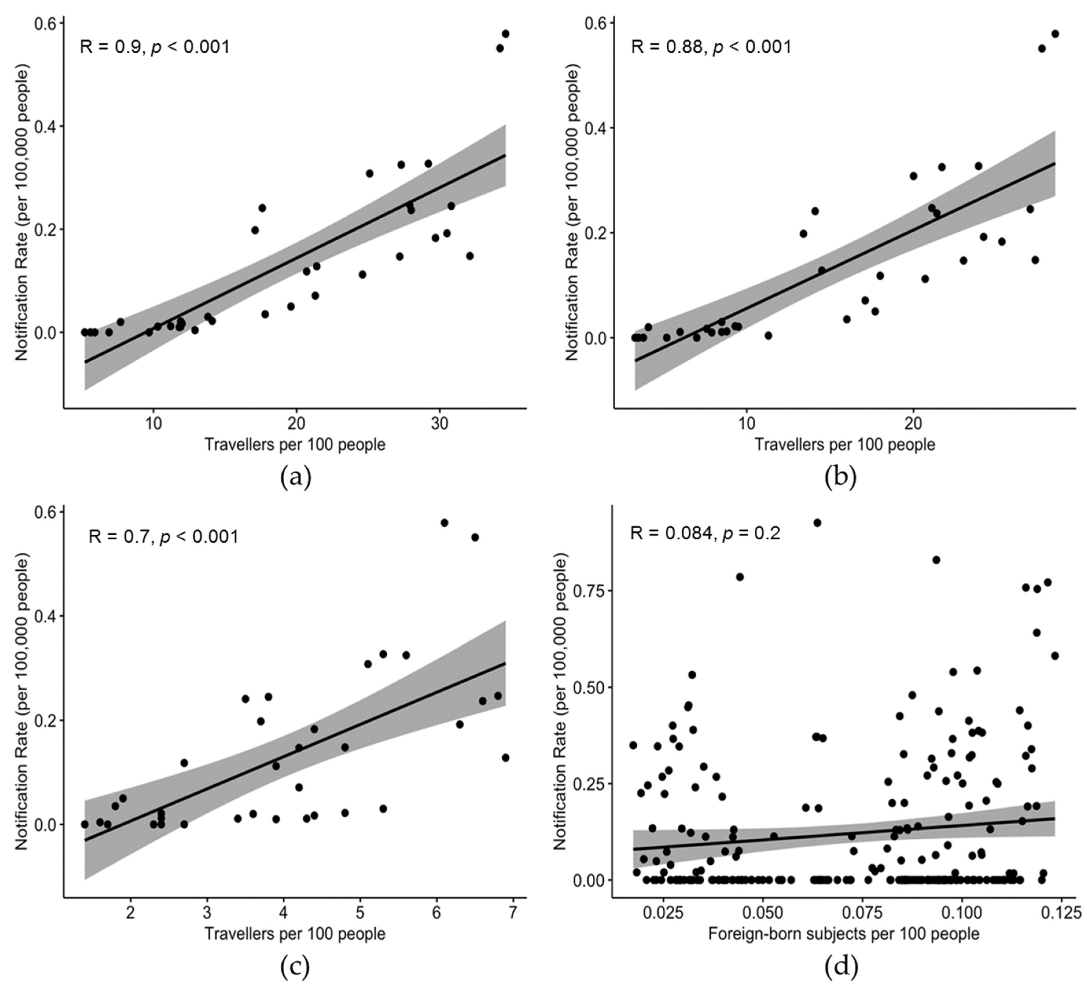
3.3. Univariate Analysis
3.4. Multivariable Analysis
4. Discussion
5. Conclusions
Author Contributions
Funding
Institutional Review Board Statement
Informed Consent Statement
Data Availability Statement
Conflicts of Interest
Appendix A
| Region | YEAR | POOLED | ||||||||||||
|---|---|---|---|---|---|---|---|---|---|---|---|---|---|---|
| 2010 | 2011 | 2012 | 2013 | 2014 | 2015 | 2016 | 2017 | 2018 | 2019 | 2020 | 2021 | |||
| North-Western Italy | Aosta Valley | - | - | - | - | - | - | 0.785 | - | - | - | - | - | 0.065 (0.001; 0.194) | 
| Piedmont | 0.114 | 0.023 | 0.113 | 0.271 | 0.090 | 0.271 | 0.318 | 0.387 | 0.206 | 0.254 | - | - | 0.171 (0.096; 0.245) | |
| Liguria | - | - | - | - | 0.063 | - | - | - | 0.257 | - | - | - | 0.027 (0.001; 0.069) | |
| Lombardy | 0.031 | 0.031 | 0.255 | 0.425 | 0.130 | 0.200 | 0.130 | 0.200 | 0.130 | 0.479 | 0.139 | - | 0.179 (0.095; 0.263) | |
| North-Eastern Italy | AP Trento | - | - | - | 0.187 | - | 0.186 | 0.372 | 0.371 | 0.926 | 0.368 | - | - | 0.201 (0.043; 0.359) | 
| AP Bolzano | - | - | - | - | 0.582 | 0.771 | 0.192 | 0.191 | 0.758 | 0.754 | - | - | 0.271 (0.078; 0.463) | |
| Veneto | 0.350 | 0.225 | 0.246 | 0.347 | 0.223 | 0.284 | 0.366 | 0.346 | 0.449 | 0.532 | 0.389 | 0.041 | 0.317 (0.245; 0.388) | |
| Friuli Venezia Giulia | 0.082 | 0.362 | - | - | - | - | 0.164 | - | 0.329 | 0.413 | - | - | 0.109 (0.020; 0.199) | |
| Emilia Romagna | 0.438 | 0.366 | 0.250 | 0.544 | 0.382 | 0.382 | 0.540 | 0.315 | 0.292 | 0.830 | 0.134 | 0.022 | 0.375 (0.257; 0.492) | |
| Central Italy | Tuscany | 0.054 | 0.134 | 0.268 | 0.401 | 0.133 | 0.453 | 0.240 | 0.294 | 0.268 | 0.216 | - | - | 0.205 (0.123; 0.288) | 
| Umbria | - | - | 0.112 | - | 0.112 | - | - | - | 0.113 | - | - | - | 0.028 (0.001; 0.057) | |
| Marche | - | - | 0.065 | - | 0.193 | - | 0.324 | - | 0.065 | 0.132 | - | - | 0.065 (0.006; 0.123) | |
| Latium | 0.018 | 0.072 | 0.250 | 0.440 | 0.290 | 0.339 | 0.401 | 0.153 | 0.322 | 0.641 | 0.017 | - | 0.245 (0.132; 0.358) | |
| Southern Italy | Abruzzo | - | - | - | - | 0.075 | - | - | - | - | - | - | - | 0.006 (0.001; 0.018) | 
| Campania | - | - | - | - | - | 0.017 | 0.017 | - | - | - | - | - | 0.003 (0.001; 0.007) | |
| Molise | - | - | - | - | - | - | - | - | - | - | - | - | - | |
| Apulia | 0.049 | 0.073 | - | 0.122 | 0.024 | 0.049 | - | 0.074 | 0.131 | 0.075 | - | 0.025 | 0.052 (0.027; 0.077) | |
| Basilicata | - | - | - | - | - | - | - | - | - | - | - | - | ||
| Calabria | - | - | - | - | - | - | 0.051 | - | - | 0.052 | - | - | 0.011 (0.001; 0.020) | |
| Islands | Sicily | 0.020 | - | - | 0.020 | 0.039 | - | - | - | - | 0.020 | - | - | 0.008 (0.001; 0.016) | 
| Sardinia | - | - | - | - | - | - | 0.061 | - | - | - | - | - | 0.005 (0.001; 0.015) | |
| TOTAL | 0.055 | 0.060 | 0.074 | 0.131 | 0.111 | 0.141 | 0.186 | 0.111 | 0.205 | 0.227 | 0.032 | 0.004 | 0.111 (0.072; 0.151) | |
References
- Pagani, G.; Zanchetta, N.; Galimberti, L.; Oreni, L.; Passerini, S.; Giacomelli, A.; Cordier, L.; Gismondo, M.R.; Rizzardini, G.; Galli, M.; et al. Imported Dengue Fever: A 16-Years Retrospective Analysis in Milan (Italy) and a Brief Review of the European Literature. Infez. Med. 2020, 28, 243–252. [Google Scholar]
- Guzman, M.G.; Harris, E. Dengue. Lancet 2015, 385, 453–465. [Google Scholar] [CrossRef]
- Roy, S.K.; Bhattacharjee, S. Dengue Virus: Epidemiology, Biology, and Disease Aetiology. Can. J. Microbiol. 2021, 67, 687–702. [Google Scholar] [CrossRef]
- Harapan, H.; Michie, A.; Sasmono, R.T.; Imrie, A. Dengue: A Minireview. Viruses 2020, 12, 829. [Google Scholar] [CrossRef]
- Wilder-Smith, A.; Ooi, E.E.; Horstick, O.; Wills, B. Dengue. Lancet 2019, 393, 350–363. [Google Scholar] [CrossRef]
- Katzelnick, L.C.; Coloma, J.; Harris, E. Dengue: Knowledge Gaps, Unmet Needs, and Research Priorities. Lancet Infect. Dis. 2017, 17, e88–e100. [Google Scholar] [CrossRef]
- Matusali, G.; Colavita, F.; Carletti, F.; Lalle, E.; Bordi, L.; Vairo, F.; Ippolito, G.; Capobianchi, M.R.; Castilletti, C. Performance of Rapid Tests in the Management of Dengue Fever Imported Cases in Lazio, Italy 2014–2019. Int. J. Infect. Dis. 2020, 99, 193–198. [Google Scholar] [CrossRef] [PubMed]
- Pang, T.; Mak, T.K.; Gubler, D.J. Prevention and Control of Dengue—The Light at the End of the Tunnel. Lancet Infect. Dis. 2017, 17, e79–e87. [Google Scholar] [CrossRef]
- Quam, M.B.; Khan, K.; Sears, J.; Hu, W.; Rocklöv, J.; Wilder-Smith, A. Estimating Air Travel-Associated Importations of Dengue Virus into Italy. J. Travel Med. 2015, 22, 186–193. [Google Scholar] [CrossRef] [PubMed]
- Rezza, G. Dengue and Other Aedes-Borne Viruses: A Threat to Europe? Eurosurveillance 2016, 21, 30238. [Google Scholar] [CrossRef]
- Massad, E.; Amaku, M.; Coutinho, F.A.B.; Struchiner, C.J.; Burattini, M.N.; Khan, K.; Liu-Helmersson, J.; Rocklöv, J.; Kraemer, M.U.G.; Wilder-Smith, A. Estimating the Probability of Dengue Virus Introduction and Secondary Autochthonous Cases in Europe. Sci. Rep. 2018, 8, 4629. [Google Scholar] [CrossRef]
- Neumayr, A.; Muñoz, J.; Schunk, M.; Bottieau, E.; Cramer, J.; Calleri, G.; López-Vélez, R.; Angheben, A.; Zoller, T.; Visser, L.; et al. Sentinel Surveillance of Imported Dengue via Travellers to Europe 2012 to 2014: Tropnet Data from the Denguetools Research Initiative. Eurosurveillance 2017, 22, 30433. [Google Scholar] [CrossRef] [PubMed]
- Tomasello, D.; Schlagenhauf, P. Chikungunya and Dengue Autochthonous Cases in Europe, 2007–2012. Travel Med. Infect. Dis. 2013, 11, 274–284. [Google Scholar] [CrossRef]
- Lazzarini, L.; Barzon, L.; Foglia, F.; Manfrin, V.; Pacenti, M.; Pavan, G.; Rassu, M.; Capelli, G.; Montarsi, F.; Martini, S.; et al. First Autochthonous Dengue Outbreak in Italy, August 2020. Eurosurveillance 2020, 25, 8–11. [Google Scholar] [CrossRef]
- Fabrizio, C.; Lepore, L.; Chironna, M.; Angarano, G.; Saracino, A. Dengue Fever in Travellers and Risk of Local Spreading: Case Reports from Southern Italy and Literature Update. New Microbiol. 2017, 40, 1121–7138. [Google Scholar]
- Lagi, F.; Zammarchi, L.; Strohmeyer, M.; Bartalesi, F.; Mantella, A.; Meli, M.; Blanc, P.; Tacconi, D.; Farese, A.; Zanelli, G.; et al. Imported Dengue Fever in Tuscany, Italy, in the Period 2006 to 2012. J. Travel Med. 2014, 21, 340–343. [Google Scholar] [CrossRef][Green Version]
- Napoli, C.; Salcuni, P.; Pompa, M.G.; Declich, S.; Rizzo, C. Estimated Imported Infections of Chikungunya and Dengue in Italy, 2008 to 2011. J. Travel Med. 2012, 19, 294–297. [Google Scholar] [CrossRef] [PubMed]
- Fiore, V.; Caruana, G.; Are, R.; Perezzu, F.; Bagella, P.; Naitana, A.; Salis, T.; Babudieri, S.; Madeddu, G. Emerging Arbovirosis in Italy: Report on 8 Cases of Imported Dengue Virus Infection in Sardinia. Infect. Dis. Trop. Med. 2017, 3, E366. [Google Scholar]
- Gobbi, F.; Capelli, G.; Angheben, A.; Giobbia, M.; Conforto, M.; Franzetti, M.; Cattelan, A.M.; Raise, E.; Rovere, P.; Mulatti, P.; et al. Human and Entomological Surveillance of West Nile Fever, Dengue and Chikungunya in Veneto Region, Italy, 2010–2012. BMC Infect. Dis. 2014, 14, 60. [Google Scholar] [CrossRef]
- Burdino, E.; Allice, T.; Milia, M.; Gregori, G.; Ruggiero, T.; Proietti, A.; Malta, M.; Torta, I.; Calleri, G.; Caramello, P.; et al. Four-Year Surveillance of Imported Dengue Virus Infection in Italy North-West. In Proceedings of the 26th ECCMID, Amsterdam, The Netherlands, 9–12 April 2021. [Google Scholar]
- Burdino, E.; Milia, M.G.; Sergi, G.; Gregori, G.; Allice, T.; Cazzato, M.L.; Lucchini, A.; Lipani, F.; Calleri, G.; Orofino, G.; et al. Diagnosis of Dengue Fever in North West Italy in Travelers from Endemic Areas: A Retrospective Study. J. Clin. Virol. 2011, 51, 259–263. [Google Scholar] [CrossRef]
- Guzzetta, G.; Montarsi, F.; Baldacchino, F.A.; Metz, M.; Capelli, G.; Rizzoli, A.; Pugliese, A.; Rosà, R.; Poletti, P.; Merler, S. Potential Risk of Dengue and Chikungunya Outbreaks in Northern Italy Based on a Population Model of Aedes Albopictus (Diptera: Culicidae). PLoS Negl. Trop. Dis. 2016, 10, e0004762. [Google Scholar] [CrossRef]
- Loconsole, D.; Metallo, A.; de Robertis, A.L.; Morea, A.; Quarto, M.; Chironna, M. Seroprevalence of Dengue Virus, West Nile Virus, Chikungunya Virus, and Zika Virus in International Travelers Attending a Travel and Migration Center in 2015-2017, Southern Italy. Vector-Borne Zoonotic Dis. 2018, 18, 331–334. [Google Scholar] [CrossRef]
- Gobbi, F.; Barzon, L.; Capelli, G.; Angheben, A.; Pacenti, M.; Napoletano, G.; Piovesan, C.; Montarsi, F.; Martini, S.; Rigoli, R.; et al. Surveillance for West Nile, Dengue, and Chikungunya Virus Infections, Veneto Region, Italy, 2010. Emerg. Infect. Dis. 2012, 18, 671–673. [Google Scholar] [CrossRef]
- Riccò, M.; Gualerzi, G.; Ranzieri, S.; Ferraro, P. West Nile Virus Infection: Before Involving Occupational Physicians in Active Surveillance, Make Sure They Are More Aware. Infect. Dis. Now 2021, 51, 569–572. [Google Scholar] [CrossRef]
- Riccò, M. West Nile Virus in Italy: The Reports of Its Disappearance Were Greatly Exaggerated. Pathog. Glob. Health 2021. [Google Scholar] [CrossRef]
- Riccò, M.; Peruzzi, S.; Balzarini, F. Epidemiology of West Nile Virus Infections in Humans, Italy, 2012–2020: A Summary of Available Evidences. Trop. Med. Infect. Dis. 2021, 6, 61. [Google Scholar] [CrossRef] [PubMed]
- Riccò, M.; Peruzzi, S.; Balzarini, F. Public Perceptions on Non-Pharmaceutical Interventions for West Nile Virus Infections: A Survey from an Endemic Area in Northern Italy. Trop. Med. Infect. Dis. 2021, 6, 116. [Google Scholar] [CrossRef]
- Eurostat’s task force Eurostat Methodologies and Working Papers. Revision of the European Standard Population. In Report of Eurostat’s Task Force; Eurostat: Brussels, Belgium, 2013; ISBN 978-92-79-31094-2. [Google Scholar]
- 30. R Development Core Team. In R a Language and Environment for Statistical Computing: Reference Index; R Foundation for Statistical Computing; R Development Core Team: Vienna, Austria, 2010.
- Riccò, M.; Vezzosi, L.; Balzarini, F.; Gualerzi, G.; Valente, M.; Bragazzi, N.L. Air Temperatures and Occupational Injuries in the Agricultural Settings: A Report from Northern Italy (Po River Valley, 2013–2017). Acta Biomed. 2020, 91, e2020094. [Google Scholar] [CrossRef] [PubMed]
- European Centre for Disease Prevention and Contorl (ECDC). Annual Epidemiological Report for 2019: Dengue; European Centre for Disease Prevention and Contorl (ECDC): Stockholm, Sweden, 2019. [Google Scholar]
- National Institute for Statistics (ISTAT). Trips and Holidays in Italy and Abroad-Year 2018; National Institute for Statistics (ISTAT): Rome, Italy, 2018. [Google Scholar]
- Nicoletti, L.; Ciccozzi, M.; Marchi, A.; Fiorentini, C.; Martucci, P.; D’Ancona, F.; Degli Atti, M.C.; Pompa, M.G.; Rezza, G.; Ciufolini, M.G. Chikungunya and Dengue Viruses in Travelers. Emerg. Infect. Dis. 2008, 14, 177–178. [Google Scholar] [CrossRef]
- Pierro, A.; Varani, S.; Rossini, G.; Gaibani, P.; Cavrini, F.; Finarelli, A.C.; Macini, P.; Cagarelli, R.; Mattivi, A.; Angelini, P.; et al. Imported Cases of Dengue Virus Infection: Emilia-Romagna, Italy, 2010. Clin. Microbiol. Infect. 2011, 17, 1349–1352. [Google Scholar] [CrossRef] [PubMed]
- Anker, M.; Arima, Y. Male-Female Differences in the Number of Reported Incident Dengue Fever Cases in Six Asian Countries. West. Pac. Surveill. Response 2011, 2, 17–23. [Google Scholar] [CrossRef] [PubMed]
- Leder, K.; Torresi, J.; Libman, M.D.; Cramer, J.P.; Castelli, F.; Schlagenhauf, P.; Wilder-Smith, A.; Wilson, M.E.; Keystone, J.S.; Schwartz, E.; et al. GeoSentinel Surveillance of Illness in Returned Travelers, 2007–2011. Ann. Intern. Med. 2013, 158, 456–468. [Google Scholar] [CrossRef] [PubMed]
- Metallo, A.; Loconsole, D.; de Robertis, A.L.; Morea, A.; Pepe, D.A.; Casulli, D.; Chironna, M. Seroprevalence of Dengue Virus (DV), West Nile Virus (WNV), Chikungunya Virus (CHIKV) and Zika Virus (ZV) in Italian International Travelers. In Proceedings of the 27th ECCMID, Vienna, Austria, 22–25 April 2017; ECCMID: Vienna, Austria, 2017. [Google Scholar]
- Chiarenza, A.; Dauvrin, M.; Chiesa, V.; Baatout, S.; Verrept, H. Supporting Access to Healthcare for Refugees and Migrants in European Countries under Particular Migratory Pressure. BMC Health Serv. Res. 2019, 19, 513. [Google Scholar] [CrossRef] [PubMed]
- Riccò, M.; Garbarino, S.; Bragazzi, N.L. Migrant Workers from the Eastern-Mediterranean Region and Occupational Injuries: A Retrospective Database-Based Analysis from North-Eastern Italy. Int. J. Environ. Res. Public Health 2019, 16, 673. [Google Scholar] [CrossRef]
- Moyce, S.C.; Schenker, M. Migrant Workers and Their Occupational Health and Safety. Annu. Rev. Public Health 2018, 39, 351–365. [Google Scholar] [CrossRef]
- Giraudo, M.; Bena, A.; Costa, G. Migrant Workers in Italy: An Analysis of Injury Risk Taking into Account Occupational Characteristics and Job Tenure. BMC Public Health 2017, 17, 351. [Google Scholar] [CrossRef]
- Solimini, A.G.; Manica, M.; Rosà, R.; della Torre, A.; Caputo, B. Estimating the Risk of Dengue, Chikungunya and Zika Outbreaks in a Large European City. Sci. Rep. 2018, 8, 16435. [Google Scholar] [CrossRef] [PubMed]
- Parreira, R.; Sousa, C.A. Dengue Fever in Europe: Could There Be an Epidemic in the Future? Expert Rev. Anti-Infect. Ther. 2015, 13, 29–40. [Google Scholar] [CrossRef]
- Signorelli, C.; Scognamiglio, T.; Odone, A. COVID-19 in Italy: Impact of Containment Measures and Prevalence Estimates of Infection in the General Population. Acta Bio-Med. Atenei Parm. 2020, 91, 175–179. [Google Scholar] [CrossRef]
- Hirotsu, Y.; Maejima, M.; Shibusawa, M.; Amemiya, K.; Nagakubo, Y. Analysis of COVID-19 and Non-COVID-19 Viruses, Including Influenza Viruses, to Determine the Influence of Intensive Preventive Measures in Japan. J. Clin. Virol. 2020, 129, 104543. [Google Scholar] [CrossRef]
- Lillepold, K. More Arboviral Disease Outbreaks in a Warming Climate? Aedes Albopictus Cont. Eur. 2018, 2018, 8–12. [Google Scholar]
- Lindh, E.; Argentini, C.; Remoli, M.E.; Fortuna, C.; Faggioni, G.; Benedetti, E.; Amendola, A.; Marsili, G.; Lista, F.; Rezza, G.; et al. The Italian 2017 Outbreak Chikungunya Virus Belongs to an Emerging Aedes Albopictus-Adapted Virus Cluster Introduced from the Indian Subcontinent. Open Forum Infect. Dis. 2019, 6, ofy321. [Google Scholar] [CrossRef] [PubMed]
- Aliaga-Samanez, A.; Cobos-Mayo, M.; Real, R.; Segura, M.; Romero, D.; Fa, J.E.; Olivero, J. Worldwide Dynamic Biogeography of Zoonotic and Anthroponotic Dengue. PLoS Negl. Trop. Dis. 2021, 15, e0009496. [Google Scholar] [CrossRef]
- Riccò, M. Air temperature exposure and agricultural occupational injuries in the Autonomous Province of Trento (2000–2013, North-Eastern Italy). Int. J Occup. Med. Environ. Health 2018, 31, 317–331. [Google Scholar] [CrossRef] [PubMed]
- Medlock, J.M.; Hansford, K.M.; Schaffner, F.; Versteirt, V.; Hendrickx, G.; Zeller, H.; van Bortel, W. A Review of the Invasive Mosquitoes in Europe: Ecology, Public Health Risks, and Control Options. Vector-Borne Zoonotic Dis. 2012, 12, 435–447. [Google Scholar] [CrossRef] [PubMed]
- Rakotoarivony, L.M.; Schaffner, F. ECDC Guidelines for the Surveillance of Invasive Mosquitoes in Europe; ECDC: Stockholm, Sweden, 2012; Volume 17, ISBN 9789291933785. [Google Scholar]
- Majori, G. Short History of Malaria and Its Eradication in Italy with Short Notes on the Fight against the Infection in the Mediterranean Basin. Mediterr. J. Hematol. Infect. Dis. 2012, 4, e2012016. [Google Scholar] [CrossRef] [PubMed]
- European Centre for Disease Prevention and Control Autochthonous Transmission of Dengue Virus in Mainland EU/EEA, 2010–Present. Available online: https://www.ecdc.europa.eu/en/all-topics-z/dengue/surveillance-and-disease-data/autochthonous-transmission-dengue-virus-eueea (accessed on 13 January 2022).
- Thomas, S.J.; Yoon, I.K. A Review of Dengvaxia®: Development to Deployment. Hum. Vaccin. Immunther. 2019, 15, 2295–2314. [Google Scholar] [CrossRef]
- Tully, D.; Griffiths, C.L. Dengvaxia: The World’s First Vaccine for Prevention of Secondary Dengue. Ther. Adv. Vaccines Immunother. 2021, 9, 251513552110158. [Google Scholar] [CrossRef]
- Gubler, D.J.; Halstead, S.B. Is Dengvaxia a Useful Vaccine for Dengue Endemic Areas? BMJ 2019, 367, l5710. [Google Scholar] [CrossRef]
- Centers for Disease Control and Prevention Dengue Vaccine. Available online: https://www.cdc.gov/dengue/vaccine/ (accessed on 13 January 2022).
- Zeng, W.; Halasa-Rappel, Y.A.; Baurin, N.; Coudeville, L.; Shepard, D.S. Cost-Effectiveness of Dengue Vaccination in Ten Endemic Countries. Vaccine 2018, 36, 413–420. [Google Scholar] [CrossRef]
- Wilder-Smith, A. The First Licensed Dengue Vaccine: Can It Be Used in Travelers? Curr. Opin. Infect. Dis. 2019, 32, 394–400. [Google Scholar] [CrossRef]
- Salje, H.; Alera, M.T.; Chua, M.N.; Hunsawong, T.; Ellison, D.; Srikiatkhachorn, A.; Jarman, R.G.; Gromowski, G.D.; Rodriguez-Barraquer, I.; Cauchemez, S.; et al. Evaluation of the Extended Efficacy of the Dengvaxia Vaccine against Symptomatic and Subclinical Dengue Infection. Nat. Med. 2021, 27, 1395–1400. [Google Scholar] [CrossRef] [PubMed]
- Mendoza, R.U.; Dayrit, M.M.; Alfonso, C.R.; Ong, M.M.A. Public Trust and the COVID-19 Vaccination Campaign: Lessons from the Philippines as It Emerges from the Dengvaxia Controversy. Int. J. Health Plan. Manag. 2021, 36, 2048–2055. [Google Scholar] [CrossRef]
- Tsheten, T.; Gray, D.J.; Clements, A.C.A.; Wangdi, K. Epidemiology and Challenges of Dengue Surveillance in the WHO South-East Asia Region. Trans. R. Soc. Trop. Med. Hyg. 2021, 115, 583–599. [Google Scholar] [CrossRef] [PubMed]
- Rizzoli, A.; Jiménez-Clavero, M.A.; Barzon, L.; Cordioli, P.; Figuerola, J.; Koraka, P.; Martina, B.; Moreno, A.; Nowotny, N.; Pardigon, N.; et al. The Challenge of West Nile Virus in Europe: Knowledge Gaps and Research Priorities. Eurosurveillance 2015, 20, 21135. [Google Scholar] [CrossRef]
- Rizzo, C.; Napoli, C.; Venturi, G.; Pupella, S.; Lombardini, L.; Calistri, P.; Monaco, F.; Cagarelli, R.; Angelini, P.; Bellini, R.; et al. West Nile Virus Transmission: Results from the Integrated Surveillance System in Italy, 2008 to 2015. Eurosurveillance 2016, 21, 15. [Google Scholar] [CrossRef] [PubMed]
- Behrens, R.H.; Leder, K. Visiting Friends and Relatives. In Travel Medicine; Elsevier: Amsterdam, The Netherlands, 2018; pp. 311–319. ISBN 9780323546966. [Google Scholar]
- Calleri, G.; Torta, I.; Gobbi, F.; Angheben, A.; Lipani, F.; Lucchini, A.; Burdino, E.; Ghisetti, V.; Caramello, P. Dengue Importée Dans Deux Hôpitaux Tertiaires En Italie: Utilisation Des Tests de Diagnostic Rapides. Bull. Soc. Pathol. Exot. 2017, 110, 13–19. [Google Scholar] [CrossRef]
- Vicente, C.R.; Herbinger, K.H.; Fröschl, G.; Romano, C.M.; Cabidelle, A.d.S.A.; Junior, C.C. Serotype Influences on Dengue Severity: A Cross-Sectional Study on 485 Confirmed Dengue Cases in Vitória, Brazil. BMC Infect. Dis. 2016, 16, 320. [Google Scholar] [CrossRef]
- Yung, C.F.; Lee, K.S.; Thein, T.L.; Tan, L.K.; Gan, V.C.; Wong, J.G.X.; Lye, D.C.; Ng, L.C.; Leo, Y.S. Dengue Serotype-Specific Differences in Clinical Manifestation, Laboratory Parameters and Risk of Severe Disease in Adults, Singapore. Am. J. Trop. Med. Hyg. 2015, 92, 999–1005. [Google Scholar] [CrossRef]



| Variable | No./1043, % | 
|---|---|
| Gender | |
| Males | 595, 57.0% | 
| Females | 444, 42.6% | 
| N.A. | 4, 0.4% | 
| Age Group | |
| 0 to 14 | 66, 6.3% | 
| 15 to 24 | 114, 11.0% | 
| 25 to 44 | 538, 51.6% | 
| 45 to 64 | 256, 24.6% | 
| 65 or more | 50, 4.8% | 
| N.A. | 19, 1.8% | 
| Geographic Area of Origin | |
| North-Western Italy | 302, 29.0% | 
| North-Eastern Italy | 431, 41.3% | 
| Central Italy | 269, 25.9% | 
| Southern Italy | 27, 2.5% | 
| Islands | 14, 1.3% | 
| Reporting year | |
| 2010–2014 | 398, 38.2% | 
| 2015–2019 | 609, 58.4% | 
| 2020–2021 | 36, 3.4% | 
| Reporting Month * | No./648, % | 
| January | 44, 6.8% | 
| February | 33, 5.1% | 
| March | 43, 6.6% | 
| April | 35, 5.4% | 
| May | 37, 5.7% | 
| June | 48, 7.4% | 
| July | 74, 11.4% | 
| August | 125, 19.3% | 
| September | 82, 12.7% | 
| October | 46, 7.1% | 
| November | 42, 6.5% | 
| December | 39, 6.0% | 
| Source of the infection ** | No./446, % | 
| Autochtonous Cases | 11, 2.5% | 
| Central America | 15, 3.4% | 
| South America | 14, 3.1% | 
| Caribe | 88, 19.7% | 
| Africa and Middle East | 30, 6.7% | 
| Southeast Asia | 116, 25.1% | 
| Southern and Eastern Asia | 121, 26.9% | 
| Oceania | 6, 1.3% | 
| NA | 50, 11.2% | 
| Year | Incident Cases (No./1043, %) | Autochtonous Cases (No./Incident Cases, %) | CIR per 100,000 Persons (95% CI) | ASR per 100,000 Persons (95% CI) | Incidence per 100,000 Travellers (95% CI) | 
|---|---|---|---|---|---|
| 2010 | 51, 4.9% | - | 0.085 (0.064; 0.087) | 0.075 (0.070; 0.081) | 0.325 (0.242; 0.427) | 
| 2011 | 47, 4.5% | - | 0.060 (0.028; 0.091) | 0.130 (0.124; 0.135) | 0.360 (0.265; 0.479) | 
| 2012 | 79, 7.6% | - | 0.074 (0.050; 0.098) | 0.234 (0.225; 0.243) | 0.541 (0.428; 0.673) | 
| 2013 | 142, 13.6% | - | 0.131 (0.100; 0.162) | 0.131 (0.125; 0.138) | 1.248 (1.053; 1.470) | 
| 2014 | 79, 7.6% | - | 0.111 (0.078; 0.145) | 0.178 (0.173; 0.184) | 0.857 (0.679; 1.067) | 
| 2015 | 116, 11.1% | - | 0.141 (0.103; 0.179) | 0.191 (0.184; 0.197) | 1.147 (0.949; 1.374) | 
| 2016 | 106, 10.2% | - | 0.186 (0.144; 0.227) | 0.159 (0.154; 0.164) | 1.137 (0.932; 1.374) | 
| 2017 | 94, 9.0% | - | 0.111 (0.081; 0.141) | 0.183 (0.177; 0.190) | 0.808 (0.653; 0.987) | 
| 2018 | 108, 10.4% | - | 0.205 (0.157; 0.253) | 0.197 (0.185; 0.209) | 0.997 (0.818; 1.202) | 
| 2019 | 185, 17.7% | - | 0.227 (0.187; 0.267) | 0.328 (0.314; 0.341) | 1.514 (1.305; 1.746) | 
| 2020 | 32, 3.1% | 11, 34.4% | 0.032 (0.001; 0.064) | 0.051 (0.048; 0.054) | 0.723 (0.448; 1.103) | 
| 2021 | 4, 0.4% | - | 0.011 (0.001; 0.015) | 0.008 (0.004; 0.011) | - | 
| POOLED | 1043, 100% | 11, 100% | 0.114 (0.071; 0.183) | 0.155 (0.105; 0.206) | 0.796 (0.599; 1.057) | 
| Variable | Risk Ratio (95% Confidence Interval) | 
|---|---|
| Gender | |
| Males | REFERENCE | 
| Females | 0.704 (0.622; 0.796) | 
| Age group | |
| 0 to 14 | 0.238 (0.181; 0.302) | 
| 15 to 24 | 0.589 (0.481; 0.720) | 
| 25 to 44 | REFERENCE | 
| 45 to 64 | 0.430 (0.371; 0.499) | 
| 65 or more | 0.110 (0.082; 0.147) | 
| Geographic Area of Origin | |
| North-Western Italy | REFERENCE | 
| North-Eastern Italy | 1.968 (1.699; 2.280) | 
| Central Italy | 1.205 (1.020; 1.417) | 
| Southern Italy | 0.102 (0.069; 0.152) | 
| Islands | 0.111 (0.065; 0.191) | 
| Reporting year, Travellers | |
| 2010–2014 | REFERENCE | 
| 2015–2019 | 1.808 (1.594; 2.051) | 
| 2020–2021 | 1.771 (1.238; 2.534) | 
| Reporting year, Residents | |
| 2010–2014 | REFERENCE | 
| 2015–2019 | 1.552 (1.352; 1.782) | 
| 2020–2021 | 0.487 (0.339; 0.699) | 
| Variable | IRR (95% Confidence Interval) | 
|---|---|
| Travelers per 100 inhabitants (+1.0%) | 1.065 (1.036; 1.096) | 
| Travels to South/Central America (+1000/year) | 1.001 (0.001; 100.3) | 
| Travels to Asia (+1000/year) | 0.999 (0.001; 100.5) | 
| Incidence in EU-EEA (+1000 cases/year) | 1.323 (1.165; 1.481) | 
| Population aged 25 to 44 (+1.0%) | 1.622 (1.338; 1.968) | 
| Foreign-born residents (+1.0%) | 2.717 (1.555; 3.881) | 
| Publisher’s Note: MDPI stays neutral with regard to jurisdictional claims in published maps and institutional affiliations. | 
© 2022 by the authors. Licensee MDPI, Basel, Switzerland. This article is an open access article distributed under the terms and conditions of the Creative Commons Attribution (CC BY) license (https://creativecommons.org/licenses/by/4.0/).
Share and Cite
Riccò, M.; Peruzzi, S.; Balzarini, F.; Zaniboni, A.; Ranzieri, S. Dengue Fever in Italy: The “Eternal Return” of an Emerging Arboviral Disease. Trop. Med. Infect. Dis. 2022, 7, 10. https://doi.org/10.3390/tropicalmed7010010
Riccò M, Peruzzi S, Balzarini F, Zaniboni A, Ranzieri S. Dengue Fever in Italy: The “Eternal Return” of an Emerging Arboviral Disease. Tropical Medicine and Infectious Disease. 2022; 7(1):10. https://doi.org/10.3390/tropicalmed7010010
Chicago/Turabian StyleRiccò, Matteo, Simona Peruzzi, Federica Balzarini, Alessandro Zaniboni, and Silvia Ranzieri. 2022. "Dengue Fever in Italy: The “Eternal Return” of an Emerging Arboviral Disease" Tropical Medicine and Infectious Disease 7, no. 1: 10. https://doi.org/10.3390/tropicalmed7010010
APA StyleRiccò, M., Peruzzi, S., Balzarini, F., Zaniboni, A., & Ranzieri, S. (2022). Dengue Fever in Italy: The “Eternal Return” of an Emerging Arboviral Disease. Tropical Medicine and Infectious Disease, 7(1), 10. https://doi.org/10.3390/tropicalmed7010010
 
         
                                                


 
       