Impact of COVID-19 on Tuberculosis Indicators in Brazil: A Time Series and Spatial Analysis Study
Abstract
:1. Background
2. Methods
2.1. Study Design and Scenario
2.2. Population
2.3. Analysis Plan
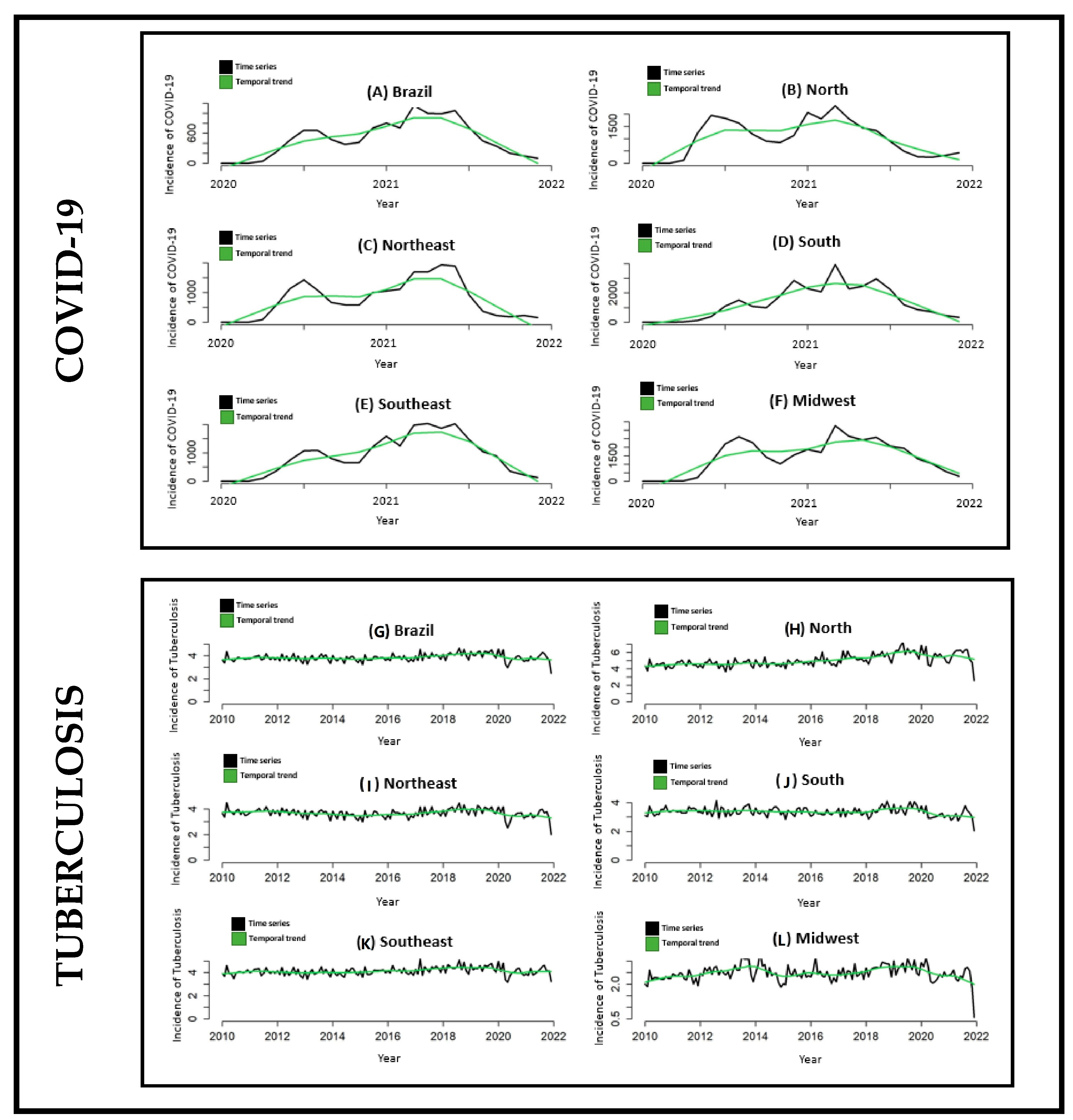
2.4. Time Series Analysis
2.5. Classification of Time Trend
2.6. Impact of COVID-19
2.7. Spatial Analysis
2.8. Statistical Analysis
3. Results
4. Discussion
5. Conclusions
Author Contributions
Funding
Institutional Review Board Statement
Informed Consent Statement
Data Availability Statement
Conflicts of Interest
References
- World Health Organization (WHO). WHO Coronavirus (COVID-19) Dashboard. Available online: https://covid19.who.int/ (accessed on 26 July 2022).
- Sodré, F. COVID-19 epidemic: Critical issues for public health management in Brazil. Trab. Educ. Saúde 2020, 18, e00302134. [Google Scholar] [CrossRef]
- Hino, P.; Yamamoto, T.T.; Magnabosco, G.T.; Bertolozzi, M.R.; Taminato, M.; Fornari, L.F. Impacto da COVID-19 no controle e reorganização da atenção à tuberculose. Acta Paul. Enferm. 2021, 34, eAPE002115. [Google Scholar] [CrossRef]
- World Health Organization (WHO). Global Tuberculosis Report 2015; World Health Organization: Geneva, Switzerland, 2015; Available online: https://apps.who.int/iris/bitstream/handle/10665/191102/9789241565059_eng.pdf?sequence=1&isAllowed=y (accessed on 26 July 2022).
- Johns Hopkins University of Medicine. Baltimore (MD): The University; c2021. COVID-19 Dashboard by the Center for Systems Science and Engineering (CSSE). Available online: https://coronavirus.jhu.edu/map.html (accessed on 26 July 2022).
- Santos, J.P.; Siqueira, A.S.; Praça, H.L.; Albuquerque, H.G. Vulnerabilidade a formas graves de COVID-19: Uma análise intramunicipal na cidade do Rio de Janeiro, Brasil. Cad. Saúde Pública 2020, 6, e00075720. [Google Scholar] [CrossRef]
- Dheda, K.; Perumal, T.; Moultrie, H.; Perumal, R.; Esmail, A.; Scott, A.J.; Udwadia, Z.; Chang, K.C.; Peter, J.; Pooran, A.; et al. The intersecting pandemics of tuberculosis and COVID-19: Population-level and patient-level impact, clinical presentation, and corrective interventions. Lancet Respir. Med. 2022, 10, 603–622. [Google Scholar] [CrossRef]
- BRASIL. Ministério da Saúde. Secretaria de Vigilância em Saúde. Boletim Epidemiológico—Tuberculose 2021a. 40p. Available online: https://www.gov.br/saude/pt-br/media/pdf/2021/marco/24/boletim-tuberculose-2021_24.03 (accessed on 26 July 2022).
- World Health Organization (WHO). Global Tuberculosis Report 2021; World Health Organization: Geneva, Switzerland, 2021; Available online: https://www.who.int/publications/i/item/9789240037021 (accessed on 26 July 2022).
- BRASIL. Ministério da Saúde. Secretaria de Vigilância em Saúde. Boletim Epidemiológico n° 118—Boletim COE Coronavírus. 2022; 108p. Available online: https://www.gov.br/saude/pt-br/centrais-de-conteudo/publicacoes/boletins/boletins-epidemiologicos/covid-19/2022/boletim-epidemiologico-no-118-boletim-coe-coronavirus.pdf/view (accessed on 26 July 2022).
- Tadolini, M.; Codecasa, L.; García-García, J.-M.; Blanc, F.-X.; Borisov, S.; Alffenaar, J.-W.; Andréjak, C.; Bachez, P.; Bart, P.-A.; Belilovski, E.; et al. Active tuberculosis, sequelae and COVID-19 co-infection: First cohort of 49 cases. Eur. Respir. J. 2020, 56, 2001398. [Google Scholar] [CrossRef]
- Motta, I.; Centis, R.; D’Ambrosio, L.; García-García, J.-M.; Goletti, D.; Gualano, G.; Lipani, F.; Palmieri, F.; Sánchez-Montalvá, A.; Pontali, E.; et al. Tuberculosis, COVID-19 and migrants: Preliminary analysis of deaths occurring in 69 patients from two cohorts. Pulmonology 2020, 26, 233–240. [Google Scholar] [CrossRef]
- Silva, D.R.; Mello, F.C.Q.; D’Ambrosio, L.; Centis, R.; Dalcolmo, P.; Migliori, G.B. Tuberculose e COVID-19, o novo dueto maldito: Quais as diferenças entre Brasil e Europa? J. Bras. Pneumol. 2021, 47, e20210044. [Google Scholar]
- Teixeira, P.P.; Torres, S. Tuberculosis in times of COVID-19: We cannot lose focus on the diagnosis. Radiol. Bras. 2022, 55, V–VI. [Google Scholar]
- Migliori, G.B.; Thong, P.M.; Akkerman, O.; Alffenaar, J.-W.; Álvarez-Navascués, F.; Assao-Neino, M.M.; Bernard, P.V.; Biala, J.S.; Blanc, F.X.; Bogorodskaya, E.M.; et al. Worldwide Effects of Coronavirus Disease Pandemic on Tuberculosis Services, January–April 2020. Emerg. Infect. Dis. 2020, 26, 2709–2712. [Google Scholar] [CrossRef]
- de Souza, C.D.F.; Coutinho, H.S.; Costa, M.M.; Magalhães, M.A.F.M.; Carmo, R.F. Impact of COVID-19 on TB diagnosis in Northeastern Brazil. Int. J. Tuberc. Lung Dis. 2020, 24, 1220–1222. [Google Scholar] [CrossRef]
- Rothman, K.J.; Greenland, S.; Lash, T.L. Modern Epidemiology, 3rd ed.; Lippincott Williams & Wilkins: Philadelphia, PA, USA, 2009. [Google Scholar]
- Instituto Brasileiro de Geografia e Estatística (IBGE). Brasil em Síntese. 2022. Available online: https://brasilemsintese.ibge.gov.br/ (accessed on 26 July 2022).
- Brasil. Ministério da Saúde. Secretaria de Vigilância em Saúde. Departamento de Vigilância Epidemiológica. Tratamento Diretamente Observado (TDO) da Tuberculose na Atenção Básica: Protocolo de Enfermagem. 2011; 172p. Available online: https://bvsms.saude.gov.br/bvs/publicacoes/tratamento_diretamente_observado_tuberculose.pdf (accessed on 26 July 2022).
- Antunes, J.L.F.; e Cardoso, M.R.A. Uso da análise de séries temporais em estudos epidemiológicos. Epidemiol. Serv. Saúde 2015, 24, 565–576. [Google Scholar] [CrossRef]
- Cleveland, R.; Cleveland, W.; McRee, J.E. Seasonal-trend decomposition procedure based on LOESS. J. Offic. Stat. 1990, 6, 3–73. [Google Scholar]
- Wagner, A.K.; Soumerai, S.B.; Zhang, F.; Ross-Degnan, D. Segmented regression analysis of interrupted time series studies in medication use research. J. Clin. Pharm. Ther. 2002, 27, 299–309. [Google Scholar] [CrossRef]
- Câmara, G.; Carvalho, M.S.; Cruz, O.G.; Correa, V. Análise espacial de áreas. In Análise Espacial de Dados Geográficos; Fuks, S.D., Carvalho, M.S., Câmara, G., Eds.; Instituto Nacional de Pesquisas Espaciais—INPE: São José dos Campos, SP, Brazil, 2002. [Google Scholar]
- Hyndman, R.; Athanasopoulos, G.; Bergmeir, C.; Caceres, G.; Chhay, L.; Kuroptev, K.; O’Hara-Wild, M.; Petropoulos, F.; Razbash, S.; Wang, E.; et al. R Documentation—Package ‘Forecast’ Version 8.17.0. 2022. Available online: https://cran.r-project.org/web/packages/forecast/forecast.pdf (accessed on 26 July 2022).
- Moura, E.C.; Silva, E.N.; Sanchez, M.N.; Cavalcante, F.V.; Oliveira, L.G.; Oliveira, A.; Frio, G.S.; Santos, L.M.P. Timely availability of public data for health management: COVID-19 wave’s analysis. SciELO 2021, Preprints. [Google Scholar] [CrossRef]
- World Health Organization (WHO). Global Tuberculosis Report 2020; World Health Organization: Geneva, Switzerland, 2020; Available online: https://www.who.int/publications/i/item/9789240013131 (accessed on 26 July 2022).
- Cavalcante, J.R.; Cardoso-dos-Santos, A.C.; Bremm, J.M.; Lobo, A.P.; Macário, E.M.; Oliveira, W.K. COVID-19 in Brazil: Evolution of the epidemic up until epidemiological week 20 of 2020. Epidemiol. Serv. Saude 2020, 29, e2020376. [Google Scholar]
- Maia, C.M.F.; Martelli, D.R.B.; Silveira, D.M.M.L.; Oliveira, E.A.; Martelli Júnior, H. Tuberculosis in Brazil: The impact of the COVID-19 pandemic. J. Bras. Pneumol. 2022, 48, e20220082. [Google Scholar]
- Lakoh, S.; Jiba, D.F.; Baldeh, M.; Adekanmbi, O.; Barrie, U.; Seisay, A.L.; Deen, G.F.; Salata, R.A.; Yendewa, G.A. Impact of COVID-19 on Tuberculosis Case Detection and Treatment Outcomes in Sierra Leone. Trop. Med. Infect. Dis. 2021, 6, 154. [Google Scholar] [CrossRef]
- Sarınoğlu, R.C.; Sili, U.; Eryuksel, E.; Yildizeli, S.O.; Cimsit, C.; Yagci, A.K. Tuberculosis and COVID-19: An overlapping situation during pandemic. J. Infect. Dev. Ctries 2020, 14, 721–725. [Google Scholar] [CrossRef]
- Mishra, A.; George, A.A.; Sahu, K.K.; Lal, A.; Abraham, G. Tuberculosis and COVID-19 Co-infection: An Updated Review. Acta Biomed. 2020, 92, e2021025. [Google Scholar]
- Wingfield, T.; Cuevas, L.E.; MacPherson, P.; Millington, K.A.; Squire, S.B. Tackling two pandemics: A plea on World Tuberculosis Day. Lancet Respir. Med. 2020, 8, 536–538. [Google Scholar] [CrossRef]
- Musso, M.; Di Gennaro, F.; Gualano, G.; Mosti, S.; Cerva, C.; Fard, S.N.; Libertone, R.; Di Bari, V.; Cristofaro, M.; Tonnarini, R.; et al. Concurrent cavitary pulmonary tuberculosis and COVID-19 pneumonia with in vitro immune cell anergy. Infection 2021, 49, 1061–1064. [Google Scholar] [CrossRef]
- Tan, L.; Wang, Q.; Zhang, D.; Ding, J.; Huang, Q.; Tang, Y.Q.; Wang, Q.; Miao, H. Lymphopenia predicts disease severity of COVID-19: A descriptive and predictive study. Signal Transduct. Target. Ther. 2020, 5, 33. [Google Scholar] [CrossRef]
- Weiskopf, D.; Schmitz, K.S.; Raadsen, M.P.; Grifoni, A.; Okba, N.M.A.; Endeman, H.; van den Akker, J.P.C.; Molenkamp, R.; Koopmans, M.P.G.; van Gorp, E.C.M.; et al. Phenotype and kinetics of SARS-CoV-2-specific T cells in COVID-19 patients with acute respiratory distress syndrome. Sci. Immunol. 2020, 5, eabd2071. [Google Scholar] [CrossRef]
- Liu, W.; Fontanet, A.; Zhang, P.H.; Zhan, L.; Xin, Z.T.; Tang, F.; Baril, L.; Cao, W. Pulmonary Tuberculosis and SARS, China. Emerg. Infect. Dis. 2006, 12, 707–709. [Google Scholar] [CrossRef]
- Low, J.G.; Lee, C.C.; Leo, Y.S.; Low, J.G.; Lee, C.C.; Leo, Y.S. Severe acute respiratory syndrome and pulmonary tuberculosis. Clin. Infect. Dis. 2004, 38, e123–e125. [Google Scholar] [CrossRef]
- Amelio, P.; Portevin, D.; Hella, J.; Reither, K.; Kamwela, L.; Lweno, O.; Tumbo, A.; Geoffrey, L.; Ohmiti, K.; Ding, S.; et al. HIV infection functionally impairs mycobacterium tuberculosis-specific CD4 and CD8 T-Cell responses. J. Virol. 2009, 93, 5. [Google Scholar] [CrossRef] [Green Version]
- Esmail, H.; Riou, C.; Bruyn, E.D.; Lai, R.P.; Harley, Y.X.R.; Meintjes, G.; Wilkinson, K.A.; Wilkinson, R.J. The immune response to mycobacterium tuberculosis in HIV-1-coinfected persons. Annu. Rev. Immunol. 2018, 36, 603–638. [Google Scholar] [CrossRef]
- Song, W.; Zhao, J.; Zhang, Q.; Liu, S.; Zhu, X.; An, Q.; Xu, T.; Li, S.; Liu, J.; Tao, N.; et al. COVID-19 and Tuberculosis Coinfection: An Overview of Case Reports/Case Series and Meta-Analysis. Front. Med. 2021, 8, 657006. [Google Scholar] [CrossRef]
- BRASIL. Ministério da Saúde. Secretaria de Vigilância em Saúde. Boletim Epidemiológico 22-Indicadores operacionais da tuberculose no Brasil e a COVID-19: Análise comparativa dos anos de 2019 e 2020. 2021; 4p. Available online: https://www.gov.br/saude/pt-br/centrais-de-conteudo/publicacoes/boletins/epidemiologicos/edicoes/2021/boletim_epidemiologico_svs_22-2.pdf (accessed on 26 July 2022).
- Loveday, M.; Cox, H.; Evans, D.; Furin, J.; Ndjeka, N.; Osman, M.; Naidoo, K. Opportunities from a new disease for an old threat: Extending COVID-19 efforts to address tuberculosis in South Africa. S. Afr. Med. J. 2020, 110, 1160–1167. [Google Scholar] [CrossRef]
- United Nations Development Programme. Human Development Report 2016. In Human Development Report for Everyone; United Nations Development Programme: New York, NY, USA, 2016; 193p. [Google Scholar]
- Cortez, A.O.; Melo, A.C.; Neves, L.O.; Resende, K.A.; Camargos, P. Tuberculose no Brasil: Um país, múltiplas realidades. J. Bras. Pneumol. 2021, 47, e20200119. [Google Scholar]
- Gonçalves, M.J.; Leon, A.C.; Penna, M.L. A multilevel analysis of tuberculosis associated factors. Rev. Salud. Publica (Bogota) 2009, 11, 918–930. [Google Scholar] [CrossRef]
- Ferreira, M.R.L.; Bonfim, R.O.; Siqueira, T.C.; Orfão, N.H. Abandono do tratamento da tuberculose: Uma revisão integrativa. Rev. Enferm. Contemp. 2018, 7, 63–71. [Google Scholar] [CrossRef]
- Giovanella, L.; Bousquat, A.; Schenkman, A.; Almeida, P.F.; Sardinha, L.M.V.; Vieira, M.L.F.P. Cobertura da Estratégia Saúde da Família no Brasil: O que nos mostram as Pesquisas Nacionais de Saúde 2013 e 2019. Ciênc Saúde Colet 2021, 26 (Suppl. S1), 2543–2556. [Google Scholar] [CrossRef]
- Silva, Y.S.; Matias, P.R.S.; Sandim, L.S.; Queiroz, M.G.; Serqueira, J.R. Análise dos casos notificados de tuberculose na região Centro-Oeste. Ver. Baiana. Enferm. 2022, 36, e43082. [Google Scholar] [CrossRef]
- Garnelo, L.; Lima, J.G.; Rocha, E.S.C.; Herkrath, F.J. Acesso e cobertura da Atenção Primária à Saúde para populações rurais e urbanas na região norte do Brasil. Saúde Debate 2018, 42, 81–97. [Google Scholar] [CrossRef]
- Garnelo, L.; Sousa, A.B.L.; Silva, C.O. Regionalização em Saúde no Amazonas: Avanços e desafios. Ciênc Saúde Colet 2017, 22, 1225–1234. [Google Scholar] [CrossRef]
- Alves, L.S.; Dos Santos, D.T.; Arcoverde, M.A.M.; Berra, T.Z.; Arroyo, L.H.; Ramos, A.C.V.; de Assis, I.S.; de Queiroz, A.A.R.; Alonso, J.B.; Alves, J.D.; et al. Detection of risk clusters for deaths due to tuberculosis specifically in areas of southern Brazil where the disease was supposedly a non-problem. BMC Infect. Dis. 2019, 19, 628. [Google Scholar] [CrossRef] [Green Version]
- Souza, C.D.F.; Paiva, J.P.S.; Silva, L.F.; Leal, T.C.; Magalhães, M.A.F.M. Tendência da mortalidade por tuberculose no Brasil (1990–2015): Análise por pontos de inflexão. J. Bras. Pneumol. 2019, 45, 1–6. [Google Scholar]
- Berra, T.Z.; Bruce, A.T.I.; Alves, Y.M.; Campoy, L.T.; Arroyo, L.H.; Crispim, J.; Alves, L.S.; Arcêncio, R.A. Related factors, time trend and spatial association of abandonment of treatment for tuberculosis in Ribeirão Preto-SP. Ver. Eletr. Enferm. 2020, 22, 58883. [Google Scholar]
- Manhiça, I.; Augusto, O.; Sherr, K.; Cowan, J.; Cuco, R.M.; Agostinho, S.; Macuacua, B.C.; Ramiro, I.; Carimo, N.; Matsinhe, M.B.; et al. COVID-19-Related Healthcare Impactver An Uncontrolled, Segmented Time-Series Analysis of Tuberculosis Diagnosis Services in Mozambique, 2017–2020. BMJ Glob. Health 2022, 7, e007878. [Google Scholar] [CrossRef]
- Rafael, R.M.R.; Netol, M.; Carvalho, M.M.B.; David, H.M.S.L.; Acioli, S.; Faria, M.G.A. Epidemiology, public policies and COVID-19 pandemics in Brazil: What can we expver? Rev. Enferm. UERJ 2020, 28, e49570. [Google Scholar] [CrossRef]
- Wang, M.L.; Behrman, P.; Dulin, A.; Baskin, M.L.; Buscemi, J.; Alcaraz, K.I.; Goldstein, C.M.; Carson, T.L.; Shen, M.; FitzGibbon, M. Addressing inequities in COVID-19 morbidity and mortality: Research and policy recommendations. Trans. Behav. Med. 2020, 10, 516–519. [Google Scholar] [CrossRef]
- Di Gennaro, F.; Gualano, G.; Timelli, L.; Vittozzi, P.; Di Bari, V.; Libertone, R.; Cerva, C.; Pinnarelli, L.; Nisii, C.; Ianniello, S.; et al. Increase in Tuberculosis Diagnostic Delay during First Wave of the COVID-19 Pandemic: Data from an Italian Infectious Disease Referral Hospital. Antibiotics 2021, 10, 272. [Google Scholar] [CrossRef] [PubMed]
- Cilloni, L.; Fu, H.; Vesga, J.F.; Dowdy, D.; Pretorius, C.; Ahmedov, S.; Nair, S.A.; Mosneaga, A.; Masini, E.; Sahu, S.; et al. The potential impact of the COVID-19 pandemic on the tuberculosis epidemic a modelling analysis. EClinicalMedicine 2020, 28, 100603. [Google Scholar] [CrossRef]
- McQuaid, C.F.; McCreesh, N.; Read, J.M.; Sumner, T. The potential impact of COVID-19-related disruption on tuberculosis burden. Eur. Respir. J. 2020, 56, 2001718. [Google Scholar] [CrossRef]
- Bhatia, V.; Mandal, P.P.; Satyanarayana, S.; Aditama, T.Y.; Sharma, M. Mitigating the impact of the COVID-19 pandemic on progress towards ending tuberculosis in the WHO South-East Asia Region WHO South East Asia. J. Public Health 2020, 9, 95–99. [Google Scholar] [CrossRef]
- Ferrara, G.; De Vincentiis, L.; Ambrosini-Spaltro, A.; Barbareschi, M.; Bertolini, V.; Contato, E.; Crivelli, F.; Feyles, E.; Mariani, M.P.; Morelli, L.; et al. Cancer Diagnostic Delay in Northern and Central Italy During the 2020 Lockdown Due to the Coronavirus Disease 2019 Pandemic. Am. J. Clin. Pathol. 2021, 155, 64–68. [Google Scholar] [CrossRef]
- De Vincentiis, L.; Carr, R.A.; Mariani, M.P.; Ferrara, G. Cancer diagnostic rates during the 2020 “lockdown,” due to COVID-19 pandemic, compared with the 2018–2019: An audit study from cellular pathology. J. Clin. Pathol. 2021, 74, 187–189. [Google Scholar] [CrossRef]
- D’Ovidio, V.; Lucidi, C.; Bruno, G.; Lisi, D.; Miglioresi, L.; Bazuro, M.E. Impact of COVID-19 Pandemic on Colorectal Cancer Screening Program. Clin. Colorectal Cancer 2021, 20, e5–e11. [Google Scholar] [CrossRef] [PubMed]



| Rate | Prais–Winsten (95%CI) | Trend | MPC (95%CI) |
|---|---|---|---|
| Brazil | |||
| Notification | <0.01 (0.00–0.01) | Increasing | +0.04 (0.01–0.09) |
| Cure | <−0.01 (0.00–0.01) | Stationary | NA |
| Treatment abandonment | <0.01 (0.00–0.01) | Increasing | +0.06 (0.02–0.13) |
| Death | <0.01 (0.00–0.01) | Increasing | +0.02 (0.01–0.04) |
| North | |||
| Notification | <0.01 (0.00–0.01) | Increasing | +0.23 (0.17–0.28) |
| Cure | <0.01 (0.00–0.01) | Stationary | NA |
| Treatment abandonment | <0.01 (0.00–0.01) | Increasing | +0.37 (0.37–0.52) |
| Death | <0.01 (0.00–0.01) | Stationary | NA |
| Northeast | |||
| Notification | <−0.01 (0.00–0.01) | Stationary | NA |
| Cure | <−0.01 (0.00–−0.01) | Decreasing | −0.11 (−0.05–−0.18) |
| Treatment abandonment | <−0.01 (0.00–0.01) | Stationary | NA |
| Death | <0.01 (0.00–0.01) | Increasing | +0.18 (0.09–0.28) |
| South | |||
| Notification | <−0.01 (0.00–0.01) | Stationary | NA |
| Cure | <−0.01 (0.00–−0.01) | Decreasing | −0.16 (−0.09–−0.22) |
| Treatment abandonment | <−0.01 (0.00–−0.01) | Decreasing | −0.16 (−0.03–−0.29) |
| Death | <−0.01 (0.00–0.01) | Stationary | NA |
| Southeast | |||
| Notification | <0.01 (0.00–0.01) | Increasing | +0.06 (0.01–0.19) |
| Cure | <−0.01 (0.00–0.01) | Stationary | NA |
| Treatment abandonment | <0.01 (0.00–0.01) | Increasing | +0.13 (0.01–0.15) |
| Death | <−0.01 (0.00–0.01) | Stationary | NA |
| Midwest | |||
| Notification | <0.01 (0.00–0.01) | Increasing | +0.07 (0.01–0.15) |
| Cure | <−0.01 (0.00–0.01) | Stationary | NA |
| Treatment abandonment | <0.01 (0.00–0.01) | Increasing | +0.32 (0.22–0.44) |
| Death | <0.01 (0.00–0.01) | Increasing | +0.25 (0.09–0.44) |
| Rate | Intervention | Post-Intervention | ||
|---|---|---|---|---|
| Trend | MPC (95%CI) | Trend | MPC (95%CI) | |
| Brazil | ||||
| Notification | Decreasing | −8.10 (−15.08–−0.54) | Stationary | NA |
| Cure | Decreasing | −1.98 (−0.54–5.96) | Decreasing | −15.02 (−25.50–−46.21) |
| Treatment abandonment | Stationary | NA | Decreasing | −1.98 (−31.98–−34.65) |
| Death | Stationary | NA | Decreasing | −15.35 (−3.17–−30.64) |
| North | ||||
| Notification | Decreasing | −8.47 (−6.21–−12.59) | Stationary | NA |
| Cure | Decreasing | −71.04 (−50.23–−83.15) | Decreasing | −18.78 (−15.59–−21.85) |
| Treatment abandonment | Decreasing | −64.73 (−53.36–−73.33) | Decreasing | −10.97 (−9.19–−12.76) |
| Death | Stationary | NA | Stationary | NA |
| Northeast | ||||
| Notification | Decreasing | −4.92 (−1.23–−6.89) | Stationary | NA |
| Cure | Decreasing | −19.33 (−16.42–−24.35) | Decreasing | −22.07 (−17.52–−26.36) |
| Treatment abandonment | Stationary | NA | Decreasing | −3.15 (−0.49–−5.74) |
| Death | Stationary | NA | Decreasing | −5.62 (−2.89–−8.27) |
| South | ||||
| Notification | Decreasing | −5.42 (−1.66–−10.89) | Stationary | NA |
| Cure | Decreasing | −31.32 (−30.45–−37.56) | Decreasing | −19.52 (−15.15–−23.67) |
| Treatment abandonment | Stationary | NA | Decreasing | −14.03 (−9.75–−18.09) |
| Death | Stationary | NA | Stationary | NA |
| Southeast | ||||
| Notification | Decreasing | −5.70 (−2.47–−9.39) | Stationary | NA |
| Cure | Decreasing | −13.12 (−7.52–−18.78) | Decreasing | −21.62 (−16.36–−26.79) |
| Treatment abandonment | Stationary | NA | Decreasing | −16.11 (−11.04–−20.89) |
| Death | Stationary | NA | Decreasing | −2.63 (−1.64–−3.60) |
| Midwest | ||||
| Notification | Decreasing | −15.35 (−12.53–−18.46) | Decreasing | −2.73 (−1.19–−4.25) |
| Cure | Decreasing | −60.20 (−30.91–−77.07) | Decreasing | −18.91 (−15.66–−22.03) |
| Treatment abandonment | Stationary | NA | Stationary | NA |
| Death | Stationary | NA | Stationary | NA |
Publisher’s Note: MDPI stays neutral with regard to jurisdictional claims in published maps and institutional affiliations. |
© 2022 by the authors. Licensee MDPI, Basel, Switzerland. This article is an open access article distributed under the terms and conditions of the Creative Commons Attribution (CC BY) license (https://creativecommons.org/licenses/by/4.0/).
Share and Cite
Berra, T.Z.; Ramos, A.C.V.; Alves, Y.M.; Tavares, R.B.V.; Tartaro, A.F.; Nascimento, M.C.d.; Moura, H.S.D.; Delpino, F.M.; de Almeida Soares, D.; Silva, R.V.d.S.; et al. Impact of COVID-19 on Tuberculosis Indicators in Brazil: A Time Series and Spatial Analysis Study. Trop. Med. Infect. Dis. 2022, 7, 247. https://doi.org/10.3390/tropicalmed7090247
Berra TZ, Ramos ACV, Alves YM, Tavares RBV, Tartaro AF, Nascimento MCd, Moura HSD, Delpino FM, de Almeida Soares D, Silva RVdS, et al. Impact of COVID-19 on Tuberculosis Indicators in Brazil: A Time Series and Spatial Analysis Study. Tropical Medicine and Infectious Disease. 2022; 7(9):247. https://doi.org/10.3390/tropicalmed7090247
Chicago/Turabian StyleBerra, Thaís Zamboni, Antônio Carlos Vieira Ramos, Yan Mathias Alves, Reginaldo Bazon Vaz Tavares, Ariela Fehr Tartaro, Murilo César do Nascimento, Heriederson Sávio Dias Moura, Felipe Mendes Delpino, Débora de Almeida Soares, Ruan Víctor dos Santos Silva, and et al. 2022. "Impact of COVID-19 on Tuberculosis Indicators in Brazil: A Time Series and Spatial Analysis Study" Tropical Medicine and Infectious Disease 7, no. 9: 247. https://doi.org/10.3390/tropicalmed7090247
APA StyleBerra, T. Z., Ramos, A. C. V., Alves, Y. M., Tavares, R. B. V., Tartaro, A. F., Nascimento, M. C. d., Moura, H. S. D., Delpino, F. M., de Almeida Soares, D., Silva, R. V. d. S., Gomes, D., Monroe, A. A., & Arcêncio, R. A. (2022). Impact of COVID-19 on Tuberculosis Indicators in Brazil: A Time Series and Spatial Analysis Study. Tropical Medicine and Infectious Disease, 7(9), 247. https://doi.org/10.3390/tropicalmed7090247

