Quality and Readability of Google Search Information on HoLEP for Benign Prostate Hyperplasia
Abstract
1. Introduction
2. Methods
2.1. Webpage Selection
2.2. Quality Measures
2.3. Readability Measures
2.4. Statistical Analysis
3. Results
3.1. Descriptive Statistics
3.2. Correlations
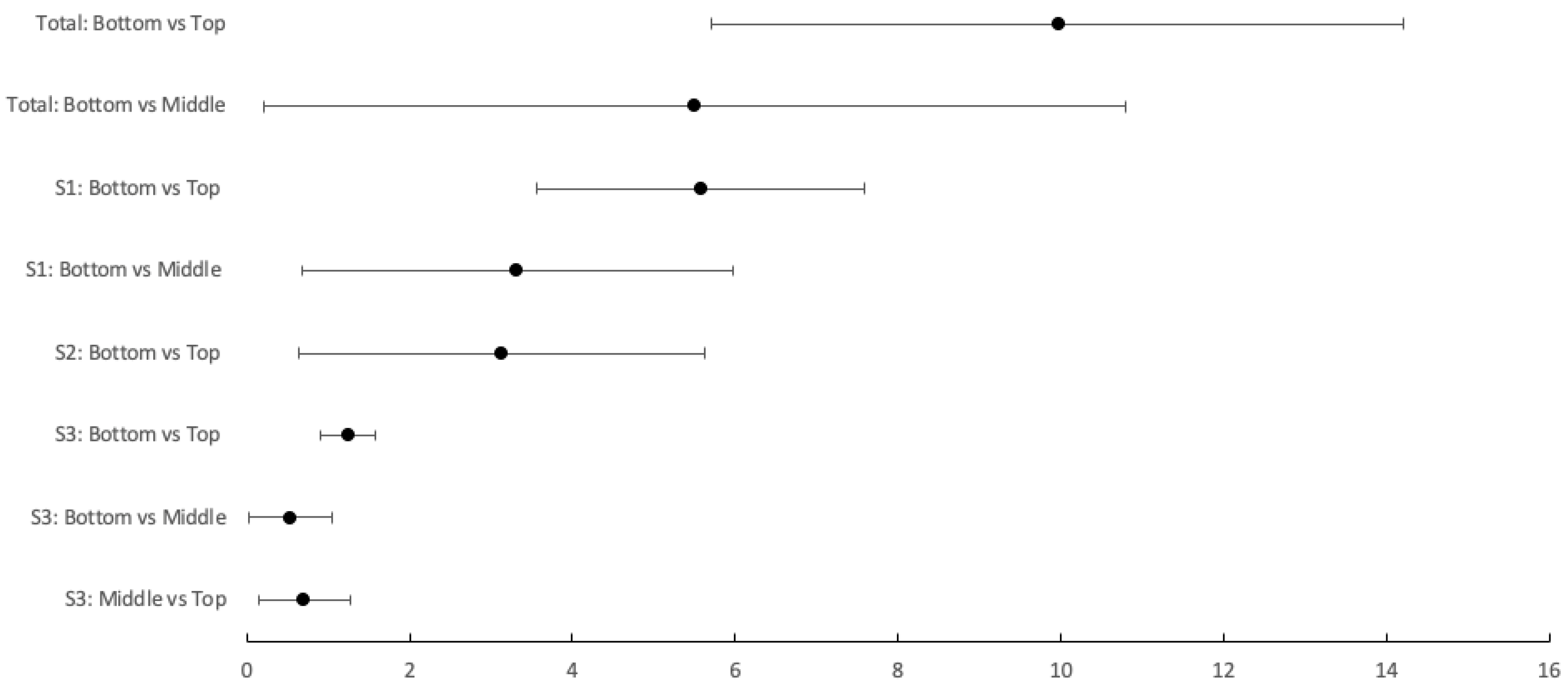
3.3. Kruskal-Wallis (KW) Test
3.4. Regression Analysis
4. Discussion
5. Conclusions
Supplementary Materials
Author Contributions
Funding
Institutional Review Board Statement
Informed Consent Statement
Data Availability Statement
Conflicts of Interest
References
- Martin, S.A.; Haren, M.T.; Marshall, V.R.; Lange, K.; Wittert, G.A. Prevalence and factors associated with uncomplicated storage and voiding lower urinary tract symptoms in community-dwelling Australian men. World J. Urol. 2011, 29, 179–184. [Google Scholar] [CrossRef]
- Oelke, M.; Bachmann, A.; Descazeaud, A.; Emberton, M.; Gravas, S.; Michel, M.C.; N’Dow, J.; Nordling, J.; de la Rosette, J.J. EAU guidelines on the treatment and follow-up of non-neurogenic male lower urinary tract symptoms including benign prostatic obstruction. Eur. Urol. 2013, 64, 118–140. [Google Scholar] [CrossRef]
- Peyronnet, B.; Cornu, J.N.; Rouprêt, M.; Bruyere, F.; Misrai, V. Trends in the Use of the GreenLight Laser in the Surgical Management of Benign Prostatic Obstruction in France Over the Past 10 Years. Eur. Urol. 2015, 67, 1193–1195. [Google Scholar] [CrossRef]
- Foster, H.E.; Dahm, P.; Kohler, T.S.; Lerner, L.B.; Parsons, J.K.; Wilt, T.J.; McVary, K.T. Surgical Management of Lower Urinary Tract Symptoms Attributed to Benign Prostatic Hyperplasia: AUA Guideline Amendment 2019. J. Urol. 2019, 202, 592–598. [Google Scholar] [CrossRef]
- Morton, A.; Williams, M.; Perera, M.; Teloken, P.E.; Donato, P.; Ranasinghe, S.; Chung, E.; Bolton, D.; Yaxley, J.; Roberts, M.J. Management of benign prostatic hyperplasia in the 21st century: Temporal trends in Australian population-based data. BJU Int. 2020, 126 (Suppl. S1), 18–26. [Google Scholar] [CrossRef]
- Patel, R.M.; Bariol, S. National trends in surgical therapy for benign prostatic hyperplasia in Australia. ANZ J. Surg. 2019, 89, 345–349. [Google Scholar] [CrossRef]
- Services Australia Australian Government Department of Health. Medicare Item Reports, MBS Item Statistics Reports 2023. Available online: http://medicarestatistics.humanservices.gov.au/statistics/mbs_item.jsp (accessed on 23 August 2023).
- Kim, A.; Hak, A.J.; Choi, W.S.; Paick, S.H.; Kim, H.G.; Park, H. Comparison of Long-Term Effect and Complications between Holmium Laser Enucleation and Transurethral Resection of Prostate: Nations-Wide Health Insurance Study. Urology 2021, 154, 300–307. [Google Scholar] [CrossRef]
- Zhong, J.; Feng, Z.; Peng, Y.; Liang, H. A Systematic Review and Meta-analysis of Efficacy and Safety Following Holmium Laser Enucleation of Prostate and Transurethral Resection of Prostate for Benign Prostatic Hyperplasia. Urology 2019, 131, 14–20. [Google Scholar] [CrossRef]
- Wong, C.; Harrison, C.; Britt, H.; Henderson, J. Patient use of the internet for health information. Aust. Fam. Physician 2014, 43, 875–877. [Google Scholar]
- Teh, J.; Wei, J.; Chiang, G.; Nzenza, T.C.; Bolton, D.; Lawrentschuk, N. Men’s health on the web: An analysis of current resources. World J. Urol. 2019, 37, 1043–1047. [Google Scholar] [CrossRef]
- Alkhateeb, S.; Lawrentschuk, N. Consumerism and its impact on robotic-assisted radical prostatectomy. BJU Int. 2011, 108, 1874–1878. [Google Scholar] [CrossRef]
- Chang, D.T.S.; Abouassaly, R.; Lawrentschuk, N. Quality of Health Information on the Internet for Prostate Cancer. Adv. Urol. 2018, 2018, 6705152. [Google Scholar] [CrossRef]
- Chen, E.C.; Manecksha, R.P.; Abouassaly, R.; Bolton, D.M.; Reich, O.; Lawrentschuk, N. A multilingual evaluation of current health information on the Internet for the treatments of benign prostatic hyperplasia. Prostate Int. 2014, 2, 161–168. [Google Scholar] [CrossRef]
- Charnock, D.; Shepperd, S.; Needham, G.; Gann, R. DISCERN: An instrument for judging the quality of written consumer health information on treatment choices. J. Epidemiol. Community Health 1999, 53, 105–111. [Google Scholar] [CrossRef]
- Robillard, J.M.; Jun, J.H.; Lai, J.A.; Feng, T.L. The QUEST for quality online health information: Validation of a short quantitative tool. BMC Med. Inform. Decis. Mak. 2018, 18, 87. [Google Scholar] [CrossRef]
- Silberg, W.M.; Lundberg, G.D.; Musacchio, R.A. Assessing, Controlling, and Assuring the Quality of Medical Information on the Internet: Caveant Lector et Viewor—Let the Reader and Viewer Beware. JAMA 1997, 277, 1244–1245. [Google Scholar] [CrossRef]
- Badarudeen, S.; Sabharwal, S. Assessing readability of patient education materials: Current role in orthopaedics. Clin. Orthop. Relat. Res. 2010, 468, 2572–2580. [Google Scholar] [CrossRef]
- Readable, A.F. Measure the Readability of Text—Text Analysis Tools—Unique Readability Tools to Improve Your Writing! New York. 2020. Available online: https://readable.com/ (accessed on 9 July 2023).
- Eysenbach, G.; Powell, J.; Kuss, O.; Sa, E.R. Empirical studies assessing the quality of health information for consumers on the world wide web: A systematic review. JAMA 2002, 287, 2691–2700. [Google Scholar] [CrossRef]
- Daraz, L.; Morrow, A.S.; Ponce, O.J.; Beuschel, B.; Farah, M.H.; Katabi, A.; Alsawas, M.; Majzoub, A.M.; Benkhadra, R.; Seisa, M.O.; et al. Can Patients Trust Online Health Information? A Meta-Narrative Systematic Review Addressing the Quality of Health Information on the Internet. J. Gen. Intern. Med. 2019, 34, 1884–1891. [Google Scholar] [CrossRef]
- Wang, Y.; McKee, M.; Torbica, A.; Stuckler, D. Systematic Literature Review on the Spread of Health-Related Misinformation on Social Media. Soc. Sci. Med. 2019, 240, 112552. [Google Scholar] [CrossRef]
- Swire-Thompson, B.; Lazer, D. Public Health and Online Misinformation: Challenges and Recommendations. Annu. Rev. Public Health 2020, 41, 433–451. [Google Scholar] [CrossRef]
- Bouhadana, D.; Nguyen, D.-D.; Raizenne, B.; Vangala, S.K.; Sadri, I.; Chughtai, B.; Elterman, D.S.; Zorn, K.C.; Bhojani, N. Assessing the Accuracy, Quality, and Readability of Information Related to the Surgical Management of Benign Prostatic Hyperplasia. J. Endourol. 2022, 36, 528–534. [Google Scholar] [CrossRef]
- Eysenbach, G.; Köhler, C. How do consumers search for and appraise health information on the world wide web? Qualitative study using focus groups, usability tests, and in-depth interviews. BMJ 2002, 324, 573–577. [Google Scholar] [CrossRef]
- Shepperd, S.; Charnock, D.; Gann, B. Helping patients access high quality health information. BMJ 1999, 319, 764–766. [Google Scholar] [CrossRef]
- Pattenden, T.A.; Raleigh, R.A.; Pattenden, E.R.; Thangasamy, I.A. Quality and readability of online patient information on treatment for erectile dysfunction. BJUI Compass 2021, 2, 412–418. [Google Scholar] [CrossRef]
- Pruthi, A.; Nielsen, M.E.; Raynor, M.C.; Woods, M.E.; Wallen, E.M.; Smith, A.B. Readability of American online patient education materials in urologic oncology: A need for simple communication. Urology 2015, 85, 351–356. [Google Scholar] [CrossRef]
- McInnes, N.; Haglund, B.J. Readability of online health information: Implications for health literacy. Inform. Health Soc. Care 2011, 36, 173–189. [Google Scholar] [CrossRef]

| Total Score | Top Ranked | Middle Ranked | Bottom Ranked | |
|---|---|---|---|---|
| DISCERN | 42 (35–49) | 45 (41–52) | 42 (34.5–47.5) | 35.5 (31.5–42) |
| QUEST | 9 (9–12) | 10 (9–12) | 9 (9–13) | 9 (9–12) |
| JAMA | 0 (0–1) | 0 (0–1.75) | 1 (0–1) | 0 (0–1) |
| DISCERN | QUEST | JAMA | |
|---|---|---|---|
| DISCERN | 1 | ||
| QUEST | τ = 0.436 p < 0.001 | 1 | |
| JAMA | τ = 0.3 p < 0.001 | τ = 0.646 p < 0.001 | 1 |
| GF | FKG | SMOG | FRE | |
|---|---|---|---|---|
| GF | 1 | |||
| FKG | τ = 0.78 p < 0.001 | 1 | ||
| SMOG | τ = 0.82 p < 0.001 | τ = 0.85 p < 0.001 | 1 | |
| FRE | τ = −0.61 p < 0.001 | τ = −0.71 p < 0.001 | τ = −0.625 p < 0.001 | 1 |
Disclaimer/Publisher’s Note: The statements, opinions and data contained in all publications are solely those of the individual author(s) and contributor(s) and not of MDPI and/or the editor(s). MDPI and/or the editor(s) disclaim responsibility for any injury to people or property resulting from any ideas, methods, instructions or products referred to in the content. |
© 2024 by the authors. Licensee MDPI, Basel, Switzerland. This article is an open access article distributed under the terms and conditions of the Creative Commons Attribution (CC BY) license (https://creativecommons.org/licenses/by/4.0/).
Share and Cite
Ho, Y.T.; Saad, J.; Ayeni, F.E.; Ranasinghe, S.; Arianayagam, M.; Canagasingham, B.; Goolam, A.; Jeffery, N.; Khadra, M.; Ko, R.; et al. Quality and Readability of Google Search Information on HoLEP for Benign Prostate Hyperplasia. Soc. Int. Urol. J. 2024, 5, 192-199. https://doi.org/10.3390/siuj5030029
Ho YT, Saad J, Ayeni FE, Ranasinghe S, Arianayagam M, Canagasingham B, Goolam A, Jeffery N, Khadra M, Ko R, et al. Quality and Readability of Google Search Information on HoLEP for Benign Prostate Hyperplasia. Société Internationale d’Urologie Journal. 2024; 5(3):192-199. https://doi.org/10.3390/siuj5030029
Chicago/Turabian StyleHo, Yam Ting, Jeremy Saad, Femi E. Ayeni, Sachinka Ranasinghe, Mohan Arianayagam, Bertram Canagasingham, Ahmed Goolam, Nicola Jeffery, Mohamed Khadra, Raymond Ko, and et al. 2024. "Quality and Readability of Google Search Information on HoLEP for Benign Prostate Hyperplasia" Société Internationale d’Urologie Journal 5, no. 3: 192-199. https://doi.org/10.3390/siuj5030029
APA StyleHo, Y. T., Saad, J., Ayeni, F. E., Ranasinghe, S., Arianayagam, M., Canagasingham, B., Goolam, A., Jeffery, N., Khadra, M., Ko, R., Mehan, N., Varol, C., Kam, J., & Thangasamy, I. A. (2024). Quality and Readability of Google Search Information on HoLEP for Benign Prostate Hyperplasia. Société Internationale d’Urologie Journal, 5(3), 192-199. https://doi.org/10.3390/siuj5030029

